Sign in to use this feature.

Years

Between: -

Subjects

remove_circle_outline
remove_circle_outline
remove_circle_outline
remove_circle_outline
remove_circle_outline

Journals

Article Types

Countries / Regions

Search Results (40)

Search Parameters:
Keywords = coxsackie virus

Order results
Result details
Results per page
Select all
Export citation of selected articles as:
19 pages, 427 KB  
Review
The Role of Viral Infections in the Immunopathogenesis of Type 1 Diabetes Mellitus: A Narrative Review
by Ioanna Kotsiri, Maria Xanthi, Charalampia-Melangeli Domazinaki and Emmanouil Magiorkinis
Biology 2025, 14(8), 981; https://doi.org/10.3390/biology14080981 - 2 Aug 2025
Viewed by 3840
Abstract
Type 1 diabetes mellitus (T1DM) is a chronic autoimmune disorder characterized by the destruction of insulin-producing pancreatic beta cells, resulting in lifelong insulin dependence. While genetic susceptibility—particularly human leukocyte antigen (HLA) class II alleles—is a major risk factor, accumulating evidence implicates viral infections [...] Read more.
Type 1 diabetes mellitus (T1DM) is a chronic autoimmune disorder characterized by the destruction of insulin-producing pancreatic beta cells, resulting in lifelong insulin dependence. While genetic susceptibility—particularly human leukocyte antigen (HLA) class II alleles—is a major risk factor, accumulating evidence implicates viral infections as potential environmental triggers in disease onset and progression. This narrative review synthesizes current findings on the role of viral pathogens in T1DM pathogenesis. Enteroviruses, especially Coxsackie B strains, are the most extensively studied and show strong epidemiological and mechanistic associations with beta-cell autoimmunity. Large prospective studies—including Diabetes Virus Detection (DiViD), The environmental determinans of diabetes in the young (TEDDY), Miljøfaktorer i utvikling av type 1 diabetes (MIDIA), and Diabetes Autoimmunity Study in the Young (DAISY)—consistently demonstrate correlations between enteroviral presence and the initiation or acceleration of islet autoimmunity. Other viruses—such as mumps, rubella, rotavirus, influenza A (H1N1), and SARS-CoV-2—have been investigated for their potential involvement through direct cytotoxic effects, immune activation, or molecular mimicry. Interestingly, certain viruses like varicella-zoster virus (VZV) and cytomegalovirus (CMV) may exert modulatory or even protective influences on disease progression. Proposed mechanisms include direct beta-cell infection, molecular mimicry, bystander immune activation, and dysregulation of innate and adaptive immunity. Although definitive causality remains unconfirmed, the complex interplay between genetic predisposition, immune responses, and viral exposure underscores the need for further mechanistic research. Elucidating these pathways may inform future strategies for targeted prevention, early detection, and vaccine or antiviral development in at-risk populations. Full article
Show Figures

Figure 1

17 pages, 3375 KB  
Article
Herpes Simplex Virus 1 Infection of Human Brain Organoids and Pancreatic Stem Cell-Islets Drives Organoid-Specific Transcripts Associated with Alzheimer’s Disease and Autoimmune Diseases
by Jonathan Sundstrom, Emma Vanderleeden, Nathaniel J. Barton, Sambra D. Redick, Pepper Dawes, Liam F. Murray, Meagan N. Olson, Khanh Tran, Samantha M. Chigas, Adrian R. Orszulak, George M. Church, Benjamin Readhead, Hyung Suk Oh, David M. Harlan, David M. Knipe, Jennifer P. Wang, Yingleong Chan and Elaine T. Lim
Cells 2024, 13(23), 1978; https://doi.org/10.3390/cells13231978 - 29 Nov 2024
Cited by 2 | Viewed by 4394
Abstract
Viral infections leading to inflammation have been implicated in several common diseases, such as Alzheimer’s disease (AD) and type 1 diabetes (T1D). Of note, herpes simplex virus 1 (HSV-1) has been reported to be associated with AD. We sought to identify the transcriptomic [...] Read more.
Viral infections leading to inflammation have been implicated in several common diseases, such as Alzheimer’s disease (AD) and type 1 diabetes (T1D). Of note, herpes simplex virus 1 (HSV-1) has been reported to be associated with AD. We sought to identify the transcriptomic changes due to HSV-1 infection and anti-viral drug (acyclovir, ACV) treatment of HSV-1 infection in dissociated cells from human cerebral organoids (dcOrgs) versus stem cell-derived pancreatic islets (sc-islets) to gain potential biological insights into the relevance of HSV-1-induced inflammation in AD and T1D. We observed that differentially expressed genes (DEGs) in HSV-1-infected sc-islets were enriched for genes associated with several autoimmune diseases, most significantly, T1D, but also rheumatoid arthritis, psoriasis, Crohn’s disease, and multiple sclerosis, whereas DEGs in HSV-1-infected dcOrgs were exclusively enriched for genes associated with AD. The ACV treatment of sc-islets was not as effective in rescuing transcript perturbations of autoimmune disease-associated genes. Finally, we identified gene ontology categories that were enriched for DEGs that were in common across, or unique to, viral treatment of dcOrgs and sc-islets, such as categories involved in the transferase complex, mitochondrial, and autophagy function. In addition, we compared transcriptomic signatures from HSV-1-infected sc-islets with sc-islets that were infected with the coxsackie B virus (CVB) that had been associated with T1D pathogenesis. Collectively, this study provides tissue-specific insights into the molecular effects of inflammation in AD and T1D. Full article
Show Figures

Figure 1

8 pages, 3068 KB  
Article
Persistent Rhesus Enteric Calicivirus Infection in Recombinant CHO Cells Expressing the Coxsackie and Adenovirus Receptor
by Tibor Farkas and Zeinab R. Aboezz
Viruses 2024, 16(12), 1849; https://doi.org/10.3390/v16121849 - 28 Nov 2024
Cited by 2 | Viewed by 1273
Abstract
Recently, using a panel of recombinant CHO cell lines, we identified the coxsackie and adenovirus receptor (CAR) and histo-blood group antigens (HBGAs) or sialic acid as the minimum requirement for susceptibility to rhesus enteric calicivirus (ReCV) infections. While ReCVs cause lytic infection in [...] Read more.
Recently, using a panel of recombinant CHO cell lines, we identified the coxsackie and adenovirus receptor (CAR) and histo-blood group antigens (HBGAs) or sialic acid as the minimum requirement for susceptibility to rhesus enteric calicivirus (ReCV) infections. While ReCVs cause lytic infection in LLC-MK2 cells, recombinant CHO (rCHO) cell lines did not exhibit any morphological changes upon infection. To monitor infectious virus production, rCHO cell cultures had to be freeze–thawed and titrated on LLC-MK2 monolayers. This raised the question of whether ReCV infection in rCHO cells is persistent and whether non-enveloped progeny virions are released from the infected cells. Here, we used the rCHO-CAR+ cell line and a CAR and sialic acid-dependent recovirus strain (FT7) and found that these cells were persistently infected, and infectious virus was continuously produced and released into the culture without showing any visible cell damage. Viral capsid protein and replication intermediate double-stranded RNA (dsRNA) were detectable in almost all cells for at least 12 passages. We suspect a fully exosomal viral exit mechanism without a lytic cycle in these cells. rCHO cell may provide a valuable system for ReCV production (producer cell line) and serve as a model for investigating enteric calicivirus non-lytic viral exit mechanisms and the properties of the released, most likely membrane-cloaked, infectious progeny virions. Full article
(This article belongs to the Section Animal Viruses)
Show Figures

Figure 1

16 pages, 2484 KB  
Article
Coinfection of Toxoplasma gondii and Other Microorganisms: A Systematic Review and Meta-Analysis
by María de la Luz Galván-Ramírez, Eber Eduardo Soto-Hernández and Rocío Bojórquez-Pérez
Microorganisms 2024, 12(10), 2106; https://doi.org/10.3390/microorganisms12102106 - 21 Oct 2024
Cited by 5 | Viewed by 3352
Abstract
Toxoplasmosis is a disease caused by the intracellular protozoan Toxoplasma gondii, which has infected a third of the global population. Immunocompromised individuals and children with congenital disorders are most likely to be impacted by toxoplasmosis, and accurate diagnosis is essential. Toxoplasmosis is [...] Read more.
Toxoplasmosis is a disease caused by the intracellular protozoan Toxoplasma gondii, which has infected a third of the global population. Immunocompromised individuals and children with congenital disorders are most likely to be impacted by toxoplasmosis, and accurate diagnosis is essential. Toxoplasmosis is associated with HIV, schizophrenia, and diabetes. However, few studies have analyzed the association with other microorganisms. The purpose of this study was to determine the prevalence of coinfection of Toxoplasma gondii with other pathogens. From November 1997 to June 2024, PubMed, Science Direct, LAT index, Web of Science, Google Scholar, and Research Gate were searched. The keywords used were “Toxoplasma and microorganism coinfection”, “Toxoplasma coinfection and parasites”, “Toxoplasma coinfection and Protozoans or Bacteria or Helminths or Nematodes or Trematodes or Mycobacterium”, “Toxoplasma gondii in coinfection with virus”, and “Human Toxoplasmosis and coinfection”. Next, OpenMeta Analyst Software version 12.11 was used for meta-analysis, creating forest plots, and determining heterogeneity I2. A total of 17,535 patients in 48 articles, of whom 5848 were seropositive to T. gondii, were included in this review. Population studies showed that the prevalence of virus infection was most frequent (32%), followed by parasites (18.4%), bacteria (29.7%), and fungi (5.8%). The pooled prevalence of coinfection was found to be 29.1%, with a lower bound of 0.232, an upper bound of 0.350, a standard error of 0.030, and p < 0.001. Heterogeneity (I2) was 99.12%, p < 0.001, with a global variance tau2 = 0.042. Toxoplasma gondii is an opportunist that mainly affects immunocompromised populations. The main coinfections were found to be viral infections, with HIV ranking first, followed by cytomegalovirus, hepatitis B and C, rubella, herpes simplex 1 and 2, SARS-CoV-2, and coxsackie virus. Full article
(This article belongs to the Section Public Health Microbiology)
Show Figures

Figure 1

10 pages, 1793 KB  
Article
Post-Pandemic Epidemiology of Respiratory Infections among Pediatric Inpatients in a Tertiary Hospital in Shanghai, China
by Siyuan Lan, Changjuan Gu, Shuanglong Lu, Ning Zhou and Xiaohong Qiao
Children 2024, 11(9), 1127; https://doi.org/10.3390/children11091127 - 17 Sep 2024
Cited by 7 | Viewed by 2129
Abstract
Background: After the removal of the three-year epidemic control restrictions, Chinese children were confronted with heightened risks of respiratory infections. We aimed to investigate the post-pandemic (2023) epidemiology of respiratory infections among pediatric inpatients in a tertiary hospital in Shanghai, China, and compare [...] Read more.
Background: After the removal of the three-year epidemic control restrictions, Chinese children were confronted with heightened risks of respiratory infections. We aimed to investigate the post-pandemic (2023) epidemiology of respiratory infections among pediatric inpatients in a tertiary hospital in Shanghai, China, and compare it with the pre-pandemic (2019) levels. Methods: A total of 2644 pediatric inpatients were enrolled based on discharge time and divided into group 2019 (n = 1442) and group 2023 (n = 1202). Information on the demographic characteristics, diagnoses, and pathogen test results (Mycoplasma pneumoniae, MP; Chlamydia pneumoniae, CP; Legionella pneumophila, LP; Influenza A, IFA; Influenza B, IFB; Parainfluenza virus, PIV; respiratory syncytial virus, RSV; Coxsackie virus, COX; Adenovirus, ADV; Epstein–Barr virus, EBV) was collected and analyzed. Results: Significant increases were found in the overall test positivity rates (64.6% vs. 46.7%), mixed infection rates (17.4% vs. 9%), and proportion of severe cases (25.5% vs. 3.7%) after the pandemic than those before it. Compared with 2019, the incidences of MP, IFA, LP, RSV, and ADV remarkably increased, while those of IFB and COX decreased, with no obvious differences noted for CP, PIV, and EBV in 2023. A significantly higher MP-positive detection rate was noticed in children aged 1–6 years in 2023 than in 2019. The incidence of RSV infection began to rise in August 2023, earlier than the conventional epidemic season. Conclusions: Compared with the pre-pandemic levels, the overall test positivity rates of atypical pathogens and viruses among pediatric inpatients significantly increased, and alterations in the disease spectrum, epidemic season, and age of prevalence were observed after the COVID-19 pandemic. Full article
Show Figures

Figure 1

16 pages, 2515 KB  
Article
Combination of FOLFOXIRI Drugs with Oncolytic Coxsackie B3 Virus PD-H Synergistically Induces Oncolysis in the Refractory Colorectal Cancer Cell Line Colo320
by Maxim Girod, Anja Geisler, Luisa Hinze, Leslie Elsner, Babette Dieringer, Antje Beling, Jens Kurreck and Henry Fechner
Int. J. Mol. Sci. 2024, 25(11), 5618; https://doi.org/10.3390/ijms25115618 - 22 May 2024
Cited by 8 | Viewed by 2388
Abstract
FOLFOXIRI chemotherapy is a first-line therapy for advanced or metastatic colorectal cancer (CRC), yet its therapeutic efficacy remains limited. Immunostimulatory therapies like oncolytic viruses can complement chemotherapies by fostering the infiltration of the tumor by immune cells and enhancing drug cytotoxicity. In this [...] Read more.
FOLFOXIRI chemotherapy is a first-line therapy for advanced or metastatic colorectal cancer (CRC), yet its therapeutic efficacy remains limited. Immunostimulatory therapies like oncolytic viruses can complement chemotherapies by fostering the infiltration of the tumor by immune cells and enhancing drug cytotoxicity. In this study, we explored the effect of combining the FOLFOXIRI chemotherapeutic agents with the oncolytic coxsackievirus B3 (CVB3) PD-H in the CRC cell line Colo320. Additionally, we examined the impact of the drugs on the expression of microRNAs (miRs), which could be used to increase the safety of oncolytic CVB3 containing corresponding miR target sites (miR-TS). The measurement of cytotoxic activity using the Chou–Talalay combination index approach revealed that PD-H synergistically enhanced the cytotoxic activity of oxaliplatin (OX), 5-fluorouracil (5-FU) and SN-38. PD-H replication was not affected by OX and SN-38 but inhibited by high concentrations of 5-FU. MiR expression levels were not or only slightly elevated by the drugs or with drug/PD-H combinations on Colo320 cells. Moreover, the drug treatment did not increase the mutation rate of the miR-TS inserted into the PD-H genome. The results demonstrate that the combination of FOLFOXIRI drugs and PD-H may be a promising approach to enhance the therapeutic effect of FOLFOXIRI therapy in CRC. Full article
(This article belongs to the Special Issue Molecular Mechanisms and Therapies of Colorectal Cancer 3.0)
Show Figures

Figure 1

20 pages, 15855 KB  
Review
Storytelling of Myocarditis
by Gaetano Thiene
Biomedicines 2024, 12(4), 832; https://doi.org/10.3390/biomedicines12040832 - 9 Apr 2024
Cited by 2 | Viewed by 2853
Abstract
In 1900, Fiedler first reported autopsy cases with peculiar inflammation of the myocardium, which he named interstitial myocarditis. He postulated an isolated cardiac inflammation of the myocardium in the absence of multiorgan involvement and with a poor prognosis due to invisible microorganisms, which [...] Read more.
In 1900, Fiedler first reported autopsy cases with peculiar inflammation of the myocardium, which he named interstitial myocarditis. He postulated an isolated cardiac inflammation of the myocardium in the absence of multiorgan involvement and with a poor prognosis due to invisible microorganisms, which years later would have been identified as viruses. The revision of original histologic sections by Schmorl showed cases with lymphocytes and others with giant-cell inflammatory histotypes. The in vivo diagnosis of myocarditis became possible thanks to right cardiac catheterization with endomyocardial biopsy (EMB). The gold standard for diagnosis was achieved with the employment of immunohistochemistry and molecular investigation by Polymerase Chain Reaction (PCR), which allows for the detection of viruses as causal agents. Both RNA and DNA were revealed to be cardiotropic, with a common receptor (CAR). A protease, coded by coxsackie virus, disrupts the cytoskeleton and accounts for cell death. Unfortunately, vaccination, despite having been revealed to be effective in animal experiments, has not yet entered the clinical field for prevention. Cardiac Magnetic Resonance turned out to be a revolutionary tool for in vivo diagnosis through the detection of edema (inflammatory exudate). Myocarditis may be fulminant in terms of clinical presentation but not necessarily fatal. The application of ExtraCorporeal Membrane Oxygenation (ECMO) allows for relieving the overloaded native heart. Full article
Show Figures

Figure 1

14 pages, 6350 KB  
Article
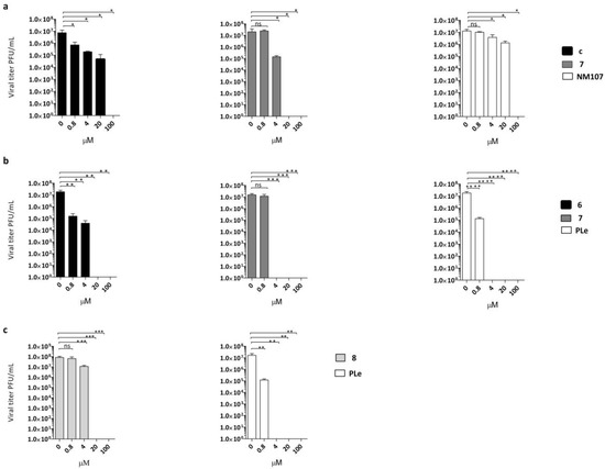
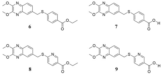
Antiviral Mechanisms of N-Phenyl Benzamides on Coxsackie Virus A9
by Mira Laajala, Kerttu Kalander, Sara Consalvi, Olivier Sheik Amamuddy, Özlem Tastan Bishop, Mariangela Biava, Giovanna Poce and Varpu Marjomäki
Pharmaceutics 2023, 15(3), 1028; https://doi.org/10.3390/pharmaceutics15031028 - 22 Mar 2023
Cited by 6 | Viewed by 3136
Abstract
Enteroviruses are one of the most abundant groups of viruses infecting humans, and yet there are no approved antivirals against them. To find effective antiviral compounds against enterovirus B group viruses, an in-house chemical library was screened. The most effective compounds against Coxsackieviruses [...] Read more.
Enteroviruses are one of the most abundant groups of viruses infecting humans, and yet there are no approved antivirals against them. To find effective antiviral compounds against enterovirus B group viruses, an in-house chemical library was screened. The most effective compounds against Coxsackieviruses B3 (CVB3) and A9 (CVA9) were CL212 and CL213, two N-phenyl benzamides. Both compounds were more effective against CVA9 and CL213 gave a better EC50 value of 1 µM with high a specificity index of 140. Both drugs were most effective when incubated directly with viruses suggesting that they mainly bound to the virions. A real-time uncoating assay showed that the compounds stabilized the virions and radioactive sucrose gradient as well as TEM confirmed that the viruses stayed intact. A docking assay, taking into account larger areas around the 2-and 3-fold axes of CVA9 and CVB3, suggested that the hydrophobic pocket gives the strongest binding to CVA9 but revealed another binding site around the 3-fold axis which could contribute to the binding of the compounds. Together, our data support a direct antiviral mechanism against the virus capsid and suggest that the compounds bind to the hydrophobic pocket and 3-fold axis area resulting in the stabilization of the virion. Full article
(This article belongs to the Special Issue Recent Advances in Antiviral Drug Development)
Show Figures

Figure 1

18 pages, 3244 KB  
Article
Development of Inhalable Chitosan-Coated Oxymatrine Liposomes to Alleviate RSV-Infected Mice
by Jianqing Peng, Qin Wang, Mingyang Guo, Chunyuan Liu, Xuesheng Chen, Ling Tao, Ke Zhang and Xiangchun Shen
Int. J. Mol. Sci. 2022, 23(24), 15909; https://doi.org/10.3390/ijms232415909 - 14 Dec 2022
Cited by 17 | Viewed by 3644
Abstract
Human respiratory syncytial virus (RSV) infection is the most important cause of acute lower respiratory tract infection in infants, neonates, and young children, even leading to hyperinflation and atelectasis. Oxymatrine (OMT), originating from natural herbs, possessed potential antivirus activity against influenza A virus, [...] Read more.
Human respiratory syncytial virus (RSV) infection is the most important cause of acute lower respiratory tract infection in infants, neonates, and young children, even leading to hyperinflation and atelectasis. Oxymatrine (OMT), originating from natural herbs, possessed potential antivirus activity against influenza A virus, Coxsackie B3 virus, and RSV, whereas the absence of an in vivo study indicated the difficulties in overcoming the physiological obstacles. Since RSV basically replicated in lung tissue, in this study, we fabricated and characterized a chitosan (CS)-coated liposome with OMT loaded for the treatment of lethal RSV infection via inhalation. The results uncovered that OMT, as a hydrophilic drug, was liable to diffuse in the mucus layer and penetrate through the gas–blood barrier to enter systemic circulation quickly, which might restrict its inhibitory effect on RSV replication. The CS-coated liposome enhanced the distribution and retention of OMT in lung tissue without restriction from mucus, which contributed to the improved alleviative effect of OMT on lethal RSV-infected mice. Overall, this study provides a novel inhalation therapy for RSV infection, and the CS-coated liposome might be a potential inhalable nanocarrier for hydrophilic drugs to prevent pulmonary infections. Full article
(This article belongs to the Special Issue The Chitosan Biomaterials: Advances and Challenges)
Show Figures

Figure 1

21 pages, 3243 KB  
Article
TRIM7 Restricts Coxsackievirus and Norovirus Infection by Detecting the C-Terminal Glutamine Generated by 3C Protease Processing
by Jakub Luptak, Donna L. Mallery, Aminu S. Jahun, Anna Albecka, Dean Clift, Osaid Ather, Greg Slodkowicz, Ian Goodfellow and Leo C. James
Viruses 2022, 14(8), 1610; https://doi.org/10.3390/v14081610 - 23 Jul 2022
Cited by 14 | Viewed by 4989
Abstract
TRIM7 catalyzes the ubiquitination of multiple substrates with unrelated biological functions. This cross-reactivity is at odds with the specificity usually displayed by enzymes, including ubiquitin ligases. Here we show that TRIM7′s extreme substrate promiscuity is due to a highly unusual binding mechanism, in [...] Read more.
TRIM7 catalyzes the ubiquitination of multiple substrates with unrelated biological functions. This cross-reactivity is at odds with the specificity usually displayed by enzymes, including ubiquitin ligases. Here we show that TRIM7′s extreme substrate promiscuity is due to a highly unusual binding mechanism, in which the PRYSPRY domain captures any ligand with a C-terminal helix that terminates in a hydrophobic residue followed by a glutamine. Many of the non-structural proteins found in RNA viruses contain C-terminal glutamines as a result of polyprotein cleavage by 3C protease. This viral processing strategy generates novel substrates for TRIM7 and explains its ability to inhibit Coxsackie virus and norovirus replication. In addition to viral proteins, cellular proteins such as glycogenin have evolved C-termini that make them a TRIM7 substrate. The ‘helix-ΦQ’ degron motif recognized by TRIM7 is reminiscent of the N-end degron system and is found in ~1% of cellular proteins. These features, together with TRIM7′s restricted tissue expression and lack of immune regulation, suggest that viral restriction may not be its physiological function. Full article
(This article belongs to the Section Human Virology and Viral Diseases)
Show Figures

Figure 1

22 pages, 742 KB  
Review
Environmental Factors and the Risk of Developing Type 1 Diabetes—Old Disease and New Data
by Katarzyna Zorena, Małgorzata Michalska, Monika Kurpas, Marta Jaskulak, Anna Murawska and Saeid Rostami
Biology 2022, 11(4), 608; https://doi.org/10.3390/biology11040608 - 16 Apr 2022
Cited by 44 | Viewed by 13246
Abstract
The incidence of type 1 diabetes (T1D) is increasing worldwide. The onset of T1D usually occurs in childhood and is caused by the selective destruction of insulin-producing pancreatic islet cells (β-cells) by autoreactive T cells, leading to insulin deficiency. Despite advanced research and [...] Read more.
The incidence of type 1 diabetes (T1D) is increasing worldwide. The onset of T1D usually occurs in childhood and is caused by the selective destruction of insulin-producing pancreatic islet cells (β-cells) by autoreactive T cells, leading to insulin deficiency. Despite advanced research and enormous progress in medicine, the causes of T1D are still not fully understood. Therefore, an extensive online search for scientific research on environmental factors associated with diabetes and the identification of new factors of unexplained etiology has been carried out using the PubMed, Cochrane, and Embase databases. The search results were limited to the past 11 years of research and discovered 143 manuscripts published between 2011 and 2022. Additionally, 21 manuscripts from between 2000 and 2010 and 3 manuscripts from 1974 to 2000 were referenced for historical reference as the first studies showcasing a certain phenomenon or mechanism. More and more scientists are inclined to believe that environmental factors are responsible for the increased incidence of diabetes. Research results show that higher T1D incidence is associated with vitamin D deficiency, a colder climate, and pollution of the environment, as well as the influence of viral, bacterial, and yeast-like fungi infections. The key viral infections affecting the risk of developing T1DM are rubella virus, mumps virus, Coxsackie virus, cytomegalovirus, and enterovirus. Since 2020, i.e., from the beginning of the COVID-19 pandemic, more and more studies have been looking for a link between Severe Acute Respiratory Syndrome Coronavirus 2 (SARS-CoV-2) and diabetes development. A better understanding of the role of viral, bacterial, and yeast-like fungi infections related to the risk of T1DM in children and adolescents and the identification of new risk factors, especially those spread by the droplet route, is of great importance for people and families with diabetes. Full article
(This article belongs to the Special Issue Regulation of Viral Infection in Diabetes)
Show Figures

Figure 1

443 KB  
Case Report
Cardiac Tamponade—An Unexpected “Long COVID-19” Complication
by Cristian Cobilinschi, Oana Maria Melente, Cristina Bologa, Ana-Maria Cotae, Laura Constantinescu, Sonia Bacruban and Ioana Marina Grinţescu
Germs 2022, 12(1), 112-117; https://doi.org/10.18683/germs.2022.1313 - 31 Mar 2022
Cited by 1 | Viewed by 81
Abstract
Introduction: Year 2020 has been a cornerstone in medical research due to the COVID-19 pandemic outbreak. The process of understanding the condition brought to light certain organ involvement like pulmonary or kidney damage or endocrine disbalances, while connection to other types of organ [...] Read more.
Introduction: Year 2020 has been a cornerstone in medical research due to the COVID-19 pandemic outbreak. The process of understanding the condition brought to light certain organ involvement like pulmonary or kidney damage or endocrine disbalances, while connection to other types of organ impairment remain unclear. SARS-CoV-2 has previously been incriminated in cardiac involvement, ranging from mild symptoms to more severe occurrences such as myocarditis, arrythmias or heart failure, thus complicating the acute-phase management and worsening patients’ prognosis. Despite being reported as an acute manifestation in critical COVID-19, cardiac tamponade seems to also occur as a “long- COVID19” complication. The latter is a distinct yet unclear entity associated with remanent fatigue or cough, but more severe sequelae like vasculitis or polyneuropathy can occsur. Case report: We report the case of a 42-year-old patient admitted in the intensive care unit for severe respiratory and renal dysfunction one month after an initial mild episode of COVID-19. RT-PCR for SARS-CoV-2 on admission was negative. Initial imaging through CT and heart ultrasound revealed the presence of pericardial effusion but no signs of tamponade were initially obvious. Twelve hours later, the patient’s state deteriorated with cardiocirculatory failure and signs of obstructive shock. Agents responsible for severe acute respiratory infection (SARI) such as influenza A and B, adenovirus, Bordetella pertussis, Mycoplasma pneumoniae, coxsackie virus, Chlamydia pneumoniae or parainfluenza viruses were ruled out. Surprisingly, RT-PCR testing for SARS-CoV-2 came back positive, although the initial test was negative. Repeated imaging confirmed massive circumferential pericardial effusion for which emergency pericardiocentesis was performed. Fluid was an exudate and histopathology reported chronic inflammation. RT-PCR testing for Mycoplasma tuberculosis in the pericardial tissue came back negative. Conclusions: The case is to our knowledge among the first to report cardiac tamponade one month after mild COVID-19 infection. The aim of this case report is to raise awareness in the medical community on the possibility of severe complications targeting major organs in the long-COVID-19 phase. Full article
Show Figures

Figure 1

16 pages, 3036 KB  
Article
Human Enterovirus B: Selective Inhibition by Quinoxaline Derivatives and Bioinformatic RNA-Motif Identification as New Targets
by Silvia Madeddu, Roberta Ibba, Giuseppina Sanna, Sandra Piras, Federico Riu, Alessandra Marongiu, Annalisa Ambrosino, Paola Caria, Valentina Onnis, Gianluigi Franci, Aldo Manzin and Antonio Carta
Pharmaceuticals 2022, 15(2), 181; https://doi.org/10.3390/ph15020181 - 31 Jan 2022
Cited by 5 | Viewed by 3621
Abstract
The Enterovirus genus includes many viruses that are pathogenic in humans, including Coxsackie viruses and rhinoviruses, as well as the emerging enteroviruses D68 and A71. Currently, effective antiviral agents are not available for the treatment or prevention of enterovirus infections, which remain an [...] Read more.
The Enterovirus genus includes many viruses that are pathogenic in humans, including Coxsackie viruses and rhinoviruses, as well as the emerging enteroviruses D68 and A71. Currently, effective antiviral agents are not available for the treatment or prevention of enterovirus infections, which remain an important threat to public health. We recently identified a series of quinoxaline derivatives that were provento be potent inhibitors of coxsackievirus B5, the most common and a very important human pathogen belonging to the enterovirus genus. We have shown how most active derivatives interfere with the earliest stages of viral replication, blocking infection. Considering the broad antiviral spectrum, a very attractive property for an antiviral drug, we aimed to investigate the antiviral activity of the most promising compounds against other Enterovirus species. Here, we investigated the susceptibility of a panel of representatives of Enterovirus genus (enterovirus A71, belonging to A species; coxsackieviruses B4 and B3;echovirus 9, belonging to B species; and enterovirus D68, belonging to D species) to quinoxaline inhibitors. We also tested cytotoxicity and selectivity indices of the selected compounds, as well as their effects on virus yield.We also investigated their potential mechanism of action by a time course assay. In addition, a bioinformatic analysis was carried out to discover potential new conserved motifs in CVB3 and CVB4 compared to the other enterovirus species that can be used as new targets. Full article
(This article belongs to the Section Medicinal Chemistry)
Show Figures

Figure 1

12 pages, 580 KB  
Article
Cases of Acute Flaccid Paralysis Associated with Coxsackievirus A2: Findings of a 20-Year Surveillance in the Russian Federation
by Olga E. Ivanova, Armen K. Shakaryan, Nadezhda S. Morozova, Yulia A. Vakulenko, Tatyana P. Eremeeva, Liubov I. Kozlovskaya, Olga Y. Baykova, Elena Y. Shustova, Yulia M. Mikhailova, Natalia I. Romanenkova, Nadezhda R. Rozaeva, Natela I. Dzhaparidze, Nadezhda A. Novikova, Vladimir V. Zverev, Lyudmila N. Golitsyna and Alexander N. Lukashev
Microorganisms 2022, 10(1), 112; https://doi.org/10.3390/microorganisms10010112 - 6 Jan 2022
Cited by 10 | Viewed by 3402
Abstract
Surveillance for acute flaccid paralysis syndrome (AFP) in children under 15 is the backbone of the Global Polio Eradication Initiative. Laboratory examination of stool samples from AFP cases allows the detection of, along with polioviruses, a variety of non-polio enteroviruses (NPEV). The etiological [...] Read more.
Surveillance for acute flaccid paralysis syndrome (AFP) in children under 15 is the backbone of the Global Polio Eradication Initiative. Laboratory examination of stool samples from AFP cases allows the detection of, along with polioviruses, a variety of non-polio enteroviruses (NPEV). The etiological significance of these viruses in the occurrence of AFP cases has been definitively established only for enteroviruses A71 and D68. Enterovirus Coxsackie A2 (CVA2) is most often associated with vesicular pharyngitis and hand, foot and mouth disease. Among 7280 AFP cases registered in Russia over 20 years (2001–2020), CVA2 was isolated only from five cases. However, these included three children aged 3 to 4 years, without overt immune deficiency, immunized with 4–5 doses of poliovirus vaccine in accordance with the National Vaccination Schedule. The disease resulted in persistent residual paralysis. Clinical and laboratory data corresponded to poliomyelitis developing during poliovirus infection. These findings are compatible with CVA2 being the cause of AFP. Molecular analysis of CVA2 from these patients and a number of AFP cases in other countries did not reveal association with a specific phylogenetic group, suggesting that virus genetics is unlikely to explain the pathogenic profile. The overall results highlight the value of AFP surveillance not just for polio control but for studies of uncommon AFP agents. Full article
(This article belongs to the Special Issue Epidemiology and Pathogenesis of Human Enteroviruses)
Show Figures

Figure 1

19 pages, 402 KB  
Review
Role of Selenium in Viral Infections with a Major Focus on SARS-CoV-2
by Sabrina Sales Martinez, Yongjun Huang, Leonardo Acuna, Eduardo Laverde, David Trujillo, Manuel A. Barbieri, Javier Tamargo, Adriana Campa and Marianna K. Baum
Int. J. Mol. Sci. 2022, 23(1), 280; https://doi.org/10.3390/ijms23010280 - 28 Dec 2021
Cited by 56 | Viewed by 9012
Abstract
Viral infections have afflicted human health and despite great advancements in scientific knowledge and technologies, continue to affect our society today. The current coronavirus (COVID-19) pandemic has put a spotlight on the need to review the evidence on the impact of nutritional strategies [...] Read more.
Viral infections have afflicted human health and despite great advancements in scientific knowledge and technologies, continue to affect our society today. The current coronavirus (COVID-19) pandemic has put a spotlight on the need to review the evidence on the impact of nutritional strategies to maintain a healthy immune system, particularly in instances where there are limited therapeutic treatments. Selenium, an essential trace element in humans, has a long history of lowering the occurrence and severity of viral infections. Much of the benefits derived from selenium are due to its incorporation into selenocysteine, an important component of proteins known as selenoproteins. Viral infections are associated with an increase in reactive oxygen species and may result in oxidative stress. Studies suggest that selenium deficiency alters immune response and viral infection by increasing oxidative stress and the rate of mutations in the viral genome, leading to an increase in pathogenicity and damage to the host. This review examines viral infections, including the novel SARS-CoV-2, in the context of selenium, in order to inform potential nutritional strategies to maintain a healthy immune system. Full article
(This article belongs to the Special Issue Molecular Biology of Selenium in Health and Disease)
Back to TopTop