Next Article in Journal
Long-Term Interactive Response and Mechanisms Between Deep-Buried Shield Tunnels and the Surrounding Strata
Previous Article in Journal
Tunnel Mudstone Valorization from a Tunnel Project in Guangxi, China: Development of a Solidified Grouting Material for Karst Pile Foundation Cavity Treatment
Previous Article in Special Issue
From Apple By-Product to Shortbread Cookies: Drying Conditions and Their Impact on Product Quality
 
 
Font Type:
Arial Georgia Verdana
Font Size:
Aa Aa Aa
Line Spacing:
Column Width:
Background:
Article

Multi-Omics and Chemometric Analysis of Aroma Profiles in Plant-Based Milk Alternatives and Cow Milk

1
Graduate School of Agriculture and Life Sciences, University of Tokyo, Tokyo 113-003, Japan
2
Department of Health and Dietetics, Teikyo Heisei University, Tokyo 170-8445, Japan
3
Institute of Food Research, National Agriculture and Food Research Organization, 3 Chome-1-1 Kannondai, Tsukuba 305-8517, Japan
*
Author to whom correspondence should be addressed.
Appl. Sci. 2026, 16(8), 3708; https://doi.org/10.3390/app16083708
Submission received: 15 March 2026 / Revised: 4 April 2026 / Accepted: 7 April 2026 / Published: 10 April 2026

Abstract

Rapid expansion of the plant-based milk market has increased the need to understand how the aroma profiles of these alternatives differ from that of dairy milk and how raw material selection and processing influence volatile formation. This study compared the volatile profiles of dairy milk, commercial plant-based milks, and laboratory-prepared cereal and pseudocereal milk prototypes to identify promising materials for plant-based milk development. Comprehensive two-dimensional gas chromatography time-of-flight mass spectrometry (GC×GC-TOFMS) combined with chemometric analysis was used to characterize volatile compounds in bovine milk, four commercial plant milks, and five laboratory-prepared plant milks. Dairy milk was characterized by fatty acids, esters, and other lipid-derived volatiles, whereas plant-based samples were associated with hydrocarbons, pyrazines, ketones, and phenols. Within the plant-based group, volatile differences were influenced by raw material type and processing history. Commercial products showed more evident processing-related features, whereas laboratory-prepared cereal samples exhibited a simpler volatile background. Among them, barley milk displayed a distinctive toasted and cereal-like signature. Overall, the selected cereal and pseudocereal matrices showed distinct volatile characteristics, as well as relatively uniform raw material backgrounds, implying greater flexibility in aroma expression. These features make them promising candidates for dairy alternatives and may help guide future plant-based milk formulation.

1. Introduction

Plant-based milk alternatives have emerged as an important category of functional beverages developed as dairy alternatives for similar usage contexts. Rather than directly mimicking the sensory and nutritional characteristics of dairy milk, they possess distinct compositional and sensory profiles of their own while also addressing environmental, ethical, and dietary concerns [1]. Produced from a wide range of plant materials, including cereals, legumes, nuts, and seeds, these beverages offer lactose-free and cholesterol-free options and are increasingly adopted by consumers seeking sustainable and healthy diets. The production of plant milks typically involves mechanical disruption, aqueous extraction, filtration, and homogenization of plant materials, generating complex biochemical matrices composed of proteins, lipids, carbohydrates, and a wide range of volatile organic compounds (VOCs) [2]. These VOCs play a crucial role in shaping the characteristic aroma profiles of plant-based beverages.
In recent years, plant milks have been increasingly framed as a sustainable alternative to conventional dairy milk due to their lower greenhouse gas emissions, reduced land use, and lower water consumption associated with plant-based raw materials [3]. Driven by growing consumer awareness of environmental sustainability, animal welfare, and dietary diversity, the global market for plant-based milk alternatives has expanded rapidly [4]. Products derived from soy, almond, oat, and coconut currently dominate the commercial market and are widely available as substitutes for traditional dairy milk in beverages and processed foods [5].
Despite this rapid growth, significant challenges remain in replicating the complex aroma and flavor characteristics of bovine milk. Many plant-based beverages exhibit distinct off-flavors such as beany, grassy, or cereal-like notes that reduce consumer acceptance. Furthermore, the biochemical diversity of plant raw materials introduces substantial variability in volatile profiles across different plant milk types [6]. While commercial products have been optimized through formulation and processing, the aromatic characteristics of many potential plant-derived sources remain poorly understood. In particular, systematic comparisons between commercial plant milks, dairy milk, and emerging plant sources with potential as milk alternatives are still limited. This lack of comprehensive aroma characterization constrains the development of new plant-based milk products and limits the identification of promising raw materials for future industry applications [7].
Although previous studies have investigated volatile compounds in dairy and plant-based beverages, most analyses have relied on one-dimensional gas chromatography (1D-GC) or conventional headspace extraction techniques. These approaches are often limited by insufficient peak capacity and frequent co-elution when analyzing complex food matrices containing hundreds of volatile compounds [8]. Such limitations hinder the comprehensive characterization of aroma compounds and obscure subtle yet important differences among plant milk varieties.
To overcome these challenges, high-resolution analytical platforms combined with advanced chemometric tools are required to resolve overlapping chemical signals and identify key aroma markers. Comprehensive two-dimensional gas chromatography coupled with time-of-flight mass spectrometry (GC×GC-TOFMS) provides a powerful tool for this purpose. By employing orthogonal separation mechanisms and thermal modulation, GC×GC significantly enhances peak capacity, enabling the detection and separation of trace-level compounds in complex matrices. The technique can achieve peak capacities several times higher than that of conventional 1D-GC, greatly improving the resolution of co-eluting compounds and generating high-dimensional datasets suitable for multivariate statistical analysis [9]. While GC×GC-TOFMS has been increasingly applied in metabolomics and food aroma research, its potential for systematically characterizing aroma profiles across diverse plant milk matrices and identifying key volatile markers remains underexplored.
To address these gaps, the present study applies comprehensive GC×GC-TOFMS combined with chemometric analysis to systematically characterize aroma profiles in plant-based milk alternatives and dairy milk. Four widely consumed commercial plant milks—oat, almond, soy, and coconut—were analyzed alongside bovine milk to identify key differences in volatile composition. In addition, five plant species representing major cereal and pseudocereal crops—rice (Oryza), barley (Hordeum), corn (Zea), white sorghum (Sorghum), and quinoa (Chenopodium)—were selected as potential raw materials for novel plant milk development.
By comparing the volatile profiles of these plant-derived matrices, this study aims to identify characteristic aroma compounds and evaluate their potential as future plant milk sources. Through the integration of volatile compound profiling with high resolution and chemometric analysis, this work seeks to provide new insights into the flavor chemistry of plant-based milk alternatives and to support future product innovation, processing optimization, and quality control strategies in the rapidly growing plant milk industry. Ultimately, this study provides one of the first high-resolution comparative volatile compound frameworks for evaluating both existing plant milk products and emerging plant-derived raw materials for plant-based beverage development.

2. Materials and Methods

2.1. Sample Preparation

Two categories of samples were analyzed in this study: commercially available milk products and milk samples prepared in the laboratory and derived from grains or pseudocereals. The commercial sample group consisted of five beverage types, including bovine milk and four commercially available plant-based milk alternatives, specifically oat, almond, soy, and coconut milk. All commercial products were purchased from local retail markets and stored at 4 °C prior to analysis. For volatile analysis, 1 mL of each sample was transferred into a hermetically sealed 20 mL precision-thread headspace vial fitted with a PTFE/silicone septum. For the laboratory sample group, five commonly used grain species were selected as potential raw materials, covering both true cereals and pseudocereals, namely rice (Oryza), barley (Hordeum), corn (Zea), white sorghum (Sorghum), and quinoa (Chenopodium) (Table 1).
These laboratory-prepared milk samples were produced following a standardized extraction protocol. Briefly, 20 g of each grain sample was soaked in 80 mL of distilled water overnight at room temperature (25 °C). Subsequently, 2 g of sodium chloride was added, and the mixture was homogenized using a high-speed mixer (Mix & Drink Neo BL1601JP, T-fal, Sarcelles, France) at 10,000 rpm for 2 min. The resulting slurry was filtered through sterile gauze to remove solid residues. From the resulting filtrate, 100 µL was transferred into a 20 mL headspace vial and sealed for volatile analysis. All samples were prepared in triplicate (n = 3) under identical conditions to ensure analytical reproducibility.

2.2. Aroma Capture and Volatile Extraction

Volatile compounds were captured using a GERSTEL Multipurpose Sampler (MPS) RoboticPro system (GERSTEL GmbH & Co. KG, Mülheim an der Ruhr, Germany). Different aroma extraction strategies were applied depending on the sample type. For the commercial milk samples, volatile extraction was performed via solid-phase microextraction (SPME) using a gray fiber (50/30 µm, DVB/CAR/PDMS fiber, Supelco, Bellefonte, PA, USA). Headspace extraction was conducted at 80 °C for 30 min to enrich the volatile aroma compounds prior to GC injection. For the laboratory-prepared grain-derived milk samples, volatile extraction was performed using the full evaporation dynamic headspace (FEDHS) method. In this approach, 100 µL of the prepared grain milk sample was placed in a sealed headspace vial and heated to 80 °C while being purged with nitrogen gas (N2). This process forced the complete evaporation of the volatile components into the headspace. The released volatiles were subsequently trapped on a Tenax TA adsorbent tube. Following volatile capture, the analytes were thermally desorbed using a thermal desorption unit (TDU) and transferred into the GC×GC-TOFMS system for chromatographic analysis. This FEDHS approach enabled the efficient recovery of volatile compounds from small-volume liquid samples while minimizing matrix interference.

2.3. GC×GC-TOFMS Analysis

Volatile compounds were further analyzed using a LECO Pegasus BT 4D GC×GC-TOFMS (LECO Corporation, St. Joseph, MI, USA). The system utilized an automated injection sequence in which desorbed analytes were transferred to the chromatographic interface. The injector temperature was maintained at 230 °C, while the transfer line and ion source temperatures were held at 250 °C and 255 °C, respectively. Chromatographic separation was achieved using a two-dimensional setup consisting of a polar primary column (InertCap Pure-Wax, 30 m × 0.25 mm i.d., 0.25 µm film thickness, GL Sciences Inc., Tokyo, Japan) to facilitate polar separation, followed by a non-polar secondary column (InertCap 5MS, 1.25 m × 0.18 mm i.d., 0.18 µm film thickness, GL Sciences Inc., Tokyo, Japan) for boiling point separation. The primary column oven was programmed to start at 40 °C (1 min), increase to 100 °C at a rate of 10 °C/min, and finally ramp to 250 °C at 5 °C/min with a final hold time of 10 min. A modulation period of 5.5 s was applied to ensure the effective trapping and release of analytes between the two chromatographic dimensions. High-purity helium served as the carrier gas at a constant flow rate of 1.0 mL/min, and the TOF-MS was operated with a mass range of m/z 35–600 and an acquisition rate of 200 spectra/s.
Relative abundances were obtained from total ion chromatograms (TICs) following standard metabolite-profiling practices. A blank extract was used to identify and eliminate system-derived artifacts. Peaks likely associated with column bleeding or instrument-related contaminants were filtered by excluding compounds containing terms such as “glycol”, “silane”, “siloxane”, or “crown” from the dataset. In addition, compound names were manually reviewed to remove obvious duplicates or inconsistent entries. These steps were intended to minimize the inclusion of instrumental noise and improve the likelihood that the remaining chromatographic peaks represented meaningful VOC features.

2.4. Chromatographic Identification and Statistical Analysis

Data acquisition and processing were performed using ChromaTOF software (version 5.54.48.070156; LECO Corporation, St. Joseph, MI, USA). The tentative identification of volatile organic compounds (VOCs) was achieved through spectral library matching combined with retention index comparison. Mass spectra were matched against the NIST 20 (National Institute of Standards and Technology, Gaithersburg, MD, USA) and Wiley 11 (John Wiley & Sons, Inc., Hoboken, NJ, USA) mass spectral libraries. A minimum similarity threshold of 700 was applied for compound identification. Peak areas were normalized as a percentage of the total peak area within each sample to obtain relative abundance values. All results are expressed as the mean ± standard deviation (SD) of three biological replicates.
Multivariate statistical analyses were performed using JMP Pro 17 (SAS Institute Inc., Cary, NC, USA). Principal component analysis (PCA), hierarchical cluster analysis (HCA), and heatmap visualizations were used to evaluate similarities and differences among the sample groups. To identify differentially abundant volatile compounds, volcano plot analysis was conducted using RStudio (version 4.4.0; Posit PBC, Boston, MA, USA). Compounds were considered significantly different when they satisfied a dual threshold of statistical significance (p < 0.05) and fold change magnitude (|log2 FC| ≥ 1.0). These criteria were applied to prioritize the volatile compounds with the greatest potential contribution to aroma differences among the milk types.

3. Results and Discussion

3.1. Heatmap and Cluster Analysis

A total of 297 volatile organic compounds (VOCs) were tentatively identified across all analyzed milk samples. The heatmap, together with the dendrogram, revealed a clear hierarchical structure in the volatile profiles of the cow milk and plant-based milk samples (Figure 1). The most prominent pattern was the primary division between animal- and plant-derived samples. Cow milk appeared as a clear outlier, showing a dense, high-abundance red block in the first third of the volatile compounds; these features were almost entirely absent in all plant-based samples, which were predominantly blue in this region. This strong compositional difference was also reflected in the dendrogram, where cow milk occupied its own distinct primary branch, confirming that its molecular profile was substantially different from all plant-based alternatives [7,10].
A particularly notable feature was the distinctive behavior of barley milk. In the heatmap, barley milk exhibited a unique set of high-abundance volatiles in the middle-right section, forming red bands that did not overlap with either cow milk or the other cereal-based plant milks. This indicates a singular volatile fingerprint, likely associated with malt-like characteristics. This uniqueness was supported by the dendrogram: although barley milk remained clearly distinct from cow milk, it clustered closer to cow milk than many of the other plant-based alternatives. This suggests that barley milk shares some degree of overall compositional similarity with cow milk, despite possessing its own characteristic volatile signature, a finding that has been scarcely reported in previous studies.
Another important pattern emerged in the commercial plant-based milk group, which included soy, oat, almond, and coconut milks. Although these products originate from biologically different raw materials (such as legumes, grains, and nuts), the heatmap showed that they shared several common high-abundance stripes on the right side. These shared signals constitute an industrial fingerprint, likely representing markers of Maillard reactions generated during thermal sterilization (e.g., UHT processing) or common stabilizers and masking agents used to uniformize commercial plant milks [11]. The dendrogram also supported this interpretation by grouping almond and coconut milks together, while soy and oat milks formed another nearby sub-cluster, suggesting that processing-related similarities may partially override differences in botanical origin.
In contrast, the laboratory-prepared plant milk samples of sorghum, rice, corn, and quinoa milks, excluding barely, formed a relatively neutral group in the heatmap, characterized by generally low abundances across many of the VOCs associated with cow milk. This greenish cluster defined the baseline for a non-dairy, pure plant volatile profile. The dendrogram further resolved this pattern by clustering sorghum, rice, and corn milks closely together, indicating highly similar volatile patterns that likely reflect a composition dominated by carbohydrates. These samples showed very low abundances in parts of the regions that are specific in barely samples. Additionally, unlike the commercial plant-based milks, this laboratory-prepared group lacked the red bands observed on the right side of the heatmap, further supporting the idea that their volatile profiles better preserved the integrity of raw material and showed little evidence of industrial processing signatures.
Overall, the combined heatmap and dendrogram analyses demonstrated that sample grouping was driven by both biological origin and processing history. Cow milk was clearly separated from all plant-based samples, barley milk showed a unique profile while clustering closer to cow milk than the other plant-based milks, the commercial plant-based milks shared processing-related signatures despite their different raw materials, and the laboratory-prepared grain-based samples formed a mild, neutral group characterized by low-abundance, less industrially altered volatile profiles. These results highlight that volatile composition in milk alternatives is shaped not only by the source material itself but also by the extent and type of industrial processing [10,11].

3.2. Principal Component Analysis (PCA)

PCA was performed on unit variance-scaled data to evaluate differences in volatile profiles among cow milk, commercial plant-based milks, and laboratory-prepared grain-based samples. The first three principal components explained 62.2% of the total variance, with PC1, PC2, and PC3 accounting for 26.0%, 24.0%, and 12.2%, respectively (Figure 2). Eigenvalue analysis showed that PC1 (76.84), PC2 (70.94), and PC3 (36.19) made the largest contributions among the retained components and together captured the main structure of variation in the dataset. Although PC1 and PC2 explained the major variation, PC3 provided additional resolution for clearer spatial separation among samples in the 3D score plot.
PC1 (26.0%) clearly separated cow milk from all plant-based samples, indicating that the major source of variation was the fundamental biological difference between animal milk and plant-based matrices. Cow milk was located at the positive end of PC1, consistent with its characteristic high-abundance volatile compounds, whereas all plant-based milks clustered on the negative side, reflecting the absence of key dairy-associated aroma markers.
PC2 (24.0%) mainly distinguished barley milk from the other grain-based samples. Barley milk was positioned on the extreme negative side of PC2, indicating a unique volatile fingerprint, likely related to its aroma compounds characteristic of malt and cereal notes. In contrast, sorghum, rice, corn, and quinoa milks were positioned closer to the center along PC2, suggesting relatively milder and less distinctive volatile profiles.
PC3 (12.2%) represented a secondary separation associated with sample origin and processing background. Most commercial samples were located in the positive PC3 region, whereas laboratory-prepared samples were generally positioned away from this cluster. The commercial samples were also more broadly scattered, suggesting greater variability and compositional heterogeneity within this group. This suggests that PC3 reflected volatile characteristics related to industrial processing, such as UHT treatment and notes derived from Maillard reactions, together with the more complex volatile background of animal milk [11]. In contrast, the laboratory-prepared samples remained chemically distinct from this commercial cluster.
The relatively tight clustering of the laboratory-prepared samples also indicates good reproducibility, suggesting that the preparation procedure was sufficiently controlled and uniform. In addition, their more consistent volatile profiles, which were less influenced by processing, may provide a cleaner basis for the future formulation of plant-based milk substrates that could serve as promising alternatives to cow milk.

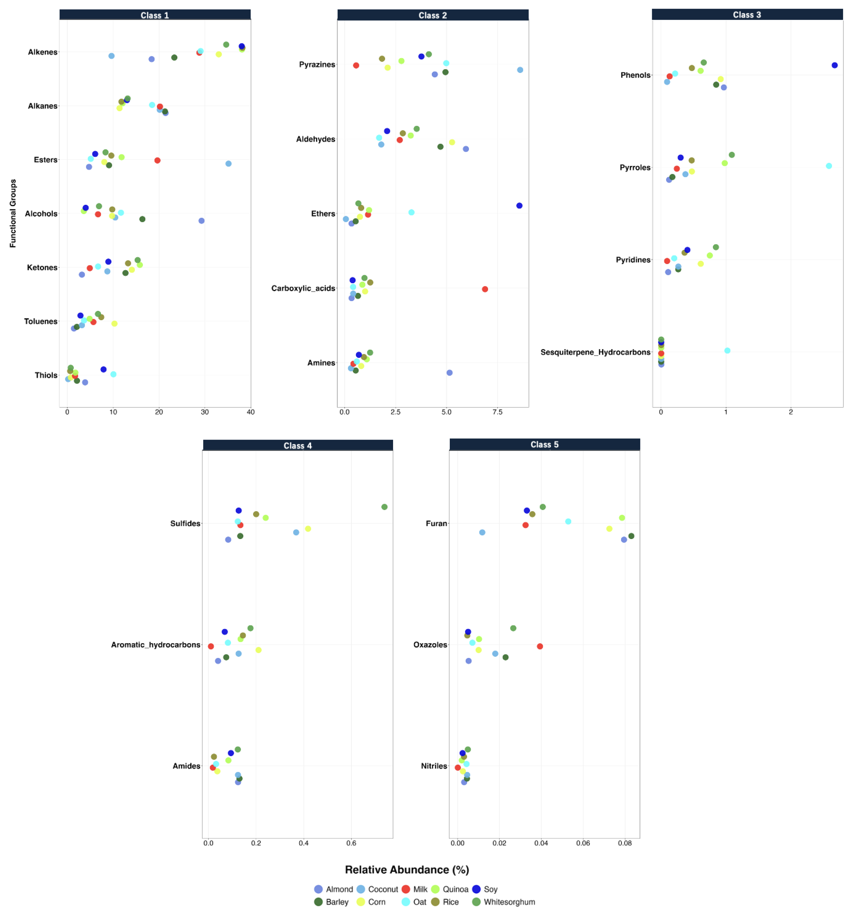
3.3. Functional Group Analysis

Among the major volatile classes that form the structural basis of the aroma profile, including alkanes, alkenes, esters, alcohols, and ketones, cow milk showed a characteristic enrichment in carboxylic acids (Figure 3). This feature is a typical marker of dairy aroma and likely reflects lipid and protein degradation pathways associated with animal fat, contributing to a sweeter, creamier, and more dairy-like volatile background. It also helps explain the clear separation of cow milk from the plant-based samples along PC1 [12].
The higher levels of pyridines and ketones observed in grain-based samples (Figure 3) such as corn, barley, and quinoa may be associated with heat reactions, including Maillard-type pathways and Strecker degradation, during extraction, homogenization, or sterilization. These reactions generate roasted, toasted, and cereal-like volatiles that are more characteristic of processed plant matrices than of fresh dairy milk [13]. The greater abundance of phenolic compounds in the plant-based groups, especially in soy, can also be linked to the intrinsic composition of the raw materials. Phenols are widely distributed in plant tissues as secondary metabolites or degradation products, and their predominance in plant-based milks, together with their near absence in bovine milk, highlights a fundamental compositional difference between plant and animal material matrices. These compounds may also contribute beany, smoky, or astringent sensory notes commonly associated with plant-based products [4,14]. In addition, the elevated levels of ketones and aromatic hydrocarbons in certain plant-based samples likely stem from the autoxidation or enzymatic degradation of polyunsaturated fatty acids, such as linoleic and linolenic acids, which are prevalent in corn and quinoa matrices [15,16]. These findings align with previous reports indicating that postharvest treatments like drying or stabilization can further accelerate the formation of these lipid-derived volatiles by promoting hydroperoxide decomposition [17,18]. Furthermore, the presence of specific aromatic hydrocarbons may be attributed to both the intrinsic raw material background and environmental conditions during cultivation. While the inherent characteristics of the cereal matrix provide a fundamental basis for aroma, cultivation conditions may influence the availability of key precursor substances, such as reducing sugars, amino acids, and lipids, thereby affecting subsequent aroma formation and final product quality [19,20].
The differentiation of barley milk along PC2 was also consistent with its functional group profile. Compared with the other laboratory-based samples, barley milk showed higher abundances of furans, pyrazines, and other heterocyclic compounds associated with cereal, malt, toasted, and roasted notes, together with relatively higher levels of aldehydes, alcohols, and alkanes (Figure 3). The elevated aldehyde content may reflect more active Strecker degradation and other heat-induced reactions, which are known to generate malty and toasted aroma compounds. Kinetic studies have indicated that barley contains higher levels of precursor amino acids, such as leucine and valine, which facilitate a more rapid conversion into branched-chain aldehydes compared with other grains [21]. This enhanced thermal reactivity likely contributed to the more pronounced formation of these key odorants, resulting in a more distinctive volatile composition in barley than in the other laboratory-prepared grain samples. The higher abundance of alcohols and alkanes also points to a stronger contribution from lipid-derived volatiles, likely related to differences in substrate composition and oxidation behavior [21]. These compounds may have added grassy, waxy, and fatty nuances, giving barley milk a fuller and more complex aroma profile. Overall, barley milk exhibited a more compositionally rich volatile pattern than sorghum, rice, corn, and quinoa milks, which showed relatively milder and more neutral functional group distributions. These differences likely contributed to the unique volatile fingerprint of barley milk and help explain its clear separation from the other laboratory-prepared samples [11].
The separation observed along PC3 could also be interpreted through functional group composition. Market samples, shown in blue tones, tended to exhibit greater contributions from volatile classes related to processing, including pyrazines, amides, and thiols, which are often associated with heat treatment, UHT processing, and Maillard reactions (Figure 3). These compounds may contribute roasted, nutty, or slightly pungent notes, bringing commercial products closer to a more processing-influenced volatile profile [7]. In contrast, the laboratory-prepared samples showed a comparatively simpler and more compact distribution, with a lower contribution from functional groups associated with processing. This is consistent with their tight clustering in the PCA plot and supports the view that the laboratory preparation procedure was sufficiently controlled and reproducible. These samples were more consistently characterized by ketones and aldehydes, which likely reflect the primary lipid oxidation pathways that remain undisturbed by the thermal treatments or antioxidants often used in industrial settings. The presence of sulfur-containing compounds and furans in these controlled samples suggests a delicate balance of natural degradation that has not yet been masked by the heavy Maillard reaction products typical of large-scale thermal processing. These features supported a volatile background that was grassier, fresher, and more grain-like, with less apparent influence from industrial processing [10].

3.4. Volcano Plot Analysis

To systematically interpret the compositional differences among samples, cow milk was used as the reference group for comparison with all other samples. Volcano plot analysis was first conducted to identify significantly upregulated and downregulated volatile compounds in each comparison. The significantly altered compounds were then prioritized according to −log10 (p) values, ranked from high to low so that the most statistically robust differences could be examined first. While the volcano plots indicate which compounds changed and how statistically reliable those changes were, abundance data provide information on the practical weight of those changes within the overall volatile profile. Therefore, the compounds selected via volcano plot screening were further evaluated alongside their abundance levels to assess their actual contribution to sample differentiation. The full volcano plots are provided in the Supplementary Materials (Figures S1 and S2).
In addition, the volcano plot results were interpreted in parallel with the PCA structure. To align with PC1, all plant-based samples including market samples and laboratory-prepared samples were individually compared against cow milk. Compounds that were consistently and significantly upregulated or downregulated across these comparisons were identified, and their abundance patterns were examined to determine whether they represented the common compositional gap between dairy and plant-based systems. The corresponding heatmap clearly visualized this separation by showing the volatile compounds that consistently differentiated cow milk from the plant-based milk alternatives (Figure 4).
Among the commonly upregulated compounds, cow milk showed a clear enrichment in acetic acid, hexadecanoic acid esters, including the ethyl and methyl esters, and several long chain fatty acid derivatives such as compounds related to 9,12 octadecadienoic acid. This pattern was consistent with the functional group results, which indicated that cow milk samples were characterized by relatively high levels of carboxylic acids. These compounds were present at high relative abundances in the bovine milk samples, whereas they were absent or detected only at very low levels in most plant-based samples, suggesting that they represent the core volatile markers of the dairy profile in this dataset. The pronounced difference in abundance further indicates that these acid and ester related volatiles provide an important chemical basis for the separation of cow milk from plant-based systems along PC1 and contribute to the rich and creamy sensory character typically associated with dairy products [14].
In contrast, the common downregulated compounds were generally characterized by lower abundances in cow milk but higher abundances in selected plant-based samples, reflecting the presence of plant-associated volatile features. For example, coconut and oat samples showed relatively high levels of compounds such as decane, hexanoic acid, and pyrazine, whereas almond and soy were characterized by an enrichment of octane and 2-octene, which may be associated with their nutty or beany aroma attributes [12,14,22]. In addition, quinoa and sorghum exhibited comparatively higher levels of benzene derivatives and 2-butanone. These results indicate that, although plant-based samples clustered together apart from dairy milk at the global PCA level, they still retained matrix-specific volatile enrichments within the broader plant-associated chemical space.
Using the same interpretation strategy, PC2 was examined by focusing on the distinctive displacement of barley milk. This was achieved by comparing the volcano plot of barley milk versus cow milk with those of the other laboratory-prepared plant milks versus cow milk. Compounds that were significantly upregulated in the barley comparison but were insignificantly or only marginally different in the other laboratory-prepared comparisons were considered candidate markers underlying the unique barley-associated shift. The corresponding heatmap revealed a clear barley-specific enrichment pattern, as the selected compounds were consistently abundant in barley milk but present at low or near-absent levels in the other laboratory-prepared samples, including sorghum, quinoa, and corn (Figure 5). This marked abundance gap indicates that these volatiles were the main contributors driving the separation of barley milk from the other lab-made plant-based milks along PC2, highlighting a barley-specific volatile signature rather than a general plant-based feature.
Examination of the individual compounds further suggested that this barley-associated shift was driven by chemically meaningful aroma contributors. For example, 2-butyl-3-methylpyrazine was one of the most notable barley-enriched compounds. As pyrazines are commonly associated with roasted, toasted, nutty, or malty aroma notes, its selective enrichment in barley milk provides a plausible explanation for the cereal-like and toasted sensory impression often associated with barley-based systems [4,23]. In addition, compounds such as 2-methyl-1-undecanol and hexanoic acid, 2-propenyl ester point to a distinct lipid-derived volatile background in barley milk, which may contribute to creamy, fatty or fruity nuances in the overall aroma profile [21,24]. This interpretation is further supported by previous sensory studies, since the selective enrichment of pyrazines in barley milk is in line with the roasted and nutty attributes reported in barley-based systems and with the recognized sensory role of pyrazines in such aroma perception [7,25].
Several hydrocarbon-related compounds, including bicyclo [4.1.0]heptane, 3-methyl-7-pentyl-; and pyrene, hexadecahydro-, were also preferentially enriched in barley. Although such compounds may not always be dominant odorants individually, their collective enrichment suggests that barley possesses a more complex and distinctive volatile matrix than the other tested lab-made grain samples. Notably, these compounds have not previously been reported in the volatile profiles of plant-based milks, further suggesting that the barley matrix possesses unique volatile characteristics.
Likewise, to align with PC3 (12.2%), which reflected a possible industrialization-related fingerprint, compounds were screened that were significantly upregulated in commercial samples versus cow milk but showed little change or remained at very low levels in laboratory-prepared samples versus cow milk. These compounds were interpreted as candidate markers associated with industrial processing, formulation, or differentiation driven by additives. The corresponding heatmap showed that these compounds were almost entirely absent in cow milk and remained relatively low in the grain-based laboratory-prepared samples, whereas the strongest enrichment was concentrated in commercial almond, oat, and soy products (Figure 6). This distribution indicates that the separation captured by PC3 was driven not only by plant origin but also by volatile features associated with commercial formulation and processing history.
Several of the enriched compounds further supported this interpretation. For example, 2-furanmethanol, 5-methyl-, which showed particularly high abundances in oat and soy samples, is commonly associated with thermal processing and Maillard-type reactions [26]. Its enrichment in commercial samples suggests that intensive heat treatment, roasting, or shelf-stability processing may have contributed to the generation of cooked or caramelized volatile notes that were not evident in the laboratory-prepared samples This explanation is also supported by previous sensory studies showing that processed commercial plant-based beverages can exhibit more pronounced caramel-like, nutty, or stale sensory characteristics due to various industrial processing methods [27,28]. In addition, a series of hydrocarbon-related compounds, including substituted cyclohexane and heptane derivatives, were particularly prominent in almond milk. Although these compounds may not necessarily act as dominant odorants individually, their preferential occurrence in commercial products suggests a possible link to industrial oil handling, extraction history, or formulation-related processing aids [29]. Another notable compound was (S)-(+)-1,2-propanediol, which was abundant in almond and oat samples. As this compound is commonly used as a stabilizer to prevent separation, particularly in products requiring high-viscosity or moisture retention [30], its presence further supports the view that the volatile profile of commercial samples reflected a higher degree of formulation complexity than that of the laboratory-prepared systems. In addition, Ether, 2-ethylhexyl tert-butyl was detected; this compound that has rarely been reported in plant-based milk systems. Its occurrence in the commercial samples suggests that, beyond processing history and formulation, packaging may also contribute to VOC differentiation in market products. Such compounds have been associated with the migration of volatile substances, including ethers and compounds derived from plasticizers, from packaging materials into food products, particularly beverages [31]. Although direct evidence in plant-based milk remains limited, sensory research in fluid milk has demonstrated that packaging type can influence sensory properties and off-flavor perception, supporting the possibility that packaging-related aroma interactions may also contribute to sensory variation in commercial plant-based milk products [32].
Furthermore, to investigate the compositional basis underlying the clustering of laboratory-prepared samples (excluding barley), the significant-difference lists from the relevant volcano plots were compared for overlap. The resulting heatmap revealed a set of compounds that were consistently enriched across the laboratory-prepared samples, including sorghum, quinoa, corn, and rice, while remaining low or absent in cow milk (Figure 7). These shared compounds likely constituted the common volatile background that bonded these samples into a relatively tight cluster in the PCA space. Among them, compounds such as pyrazine and 1H-pyrrole, 1-ethyl- suggest that the lab-scale preparation process generated a common toasted or cereal-like aromatic foundation across different grain matrices, as reported in previous studies [33]. In addition, Hexanoic acid, 1-cyclopentylethyl ester, although not yet reported in plant-based milk systems, has been described as a compound associated with green top notes [34]. Likewise, there is currently no direct reports linking 2,6-Diphenyl-6-methyl-1,3-dioxan-4-one to plant-based milk products. Given its woody and fruity odor characteristics and its reported use in perfume oils, its detection in the present study may reflect contributions from the intrinsic material background of the laboratory-prepared samples rather than commercial processing influence [35].
In addition, nonanal and 2-butanone, which are typical lipid oxidation-related volatiles, were detected across the laboratory-prepared group, indicating that these samples also shared a similar oxidative background associated with plant-based emulsions and thermal preparation [36].
The heatmap also showed a complementary set of compounds, including acetic acid, dodecanoic acid, and hexadecanoic acid esters, that were consistently lower in the laboratory-prepared samples than in cow milk. The uniform absence of these milk-associated fatty acid and ester markers further reinforced the similarity among the laboratory-prepared samples, as all of them shared the same compositional distance from cow milk, as observed before. This relatively consistent and simplified volatile background suggests that these samples may serve as promising candidate matrices for future plant-based milk development. Compared with commercial systems, their less complex volatile composition may offer a more controllable starting point for formulation and process optimization, allowing target aroma traits to be introduced and managed with greater clarity and precision.

4. Conclusions

Using GC×GC-TOFMS -based volatile profiling combined with chemometric analysis, this study achieved a high-resolution comparison of aroma profiles among dairy milk, commercial plant-based milks, and laboratory-prepared grain-based milks, identified 297 compounds in total.
While dairy milk and plant-based milks were clearly differentiated at the overall volatile level, the more important variation within the plant-based group was associated with processing history and product type. Commercial samples showed stronger volatile features associated with processing, formulation, and packaging, whereas the laboratory-prepared cereal and pseudocereal matrices exhibited a simpler and more coherent volatile background. Among them, barley milk was particularly notable for its stronger toasted and cereal aroma, showing its potential as a distinct plant milk substrates compared to other tested grains. Overall, the selected cereal and pseudocereal matrices showed distinct volatile characteristics while also providing relatively uniform and controllable raw material backgrounds with greater flexibility for aroma modulation. These features make them promising candidates for dairy alternatives, as their intrinsic volatile profiles can be more clearly understood and more readily shaped through processing and formulation. Their compositional consistency and plasticity in aroma expression may therefore help guide future plant-based milk development.
The enhanced peak capacity and orthogonal separation of GC×GC-TOFMS enabled the detection of subtle discriminant markers, including rare or previously unreported compounds, demonstrating the utility of this high-resolution platform for uncovering complex volatile differences in plant-based milk systems. However, the identified compounds should be regarded as candidate volatile markers rather than confirmed key odorants. In addition, sensory perception was not evaluated in the present study; therefore, the results should be interpreted as a molecular foundation for future research rather than a direct assessment of product quality or consumer acceptance. Further studies integrating targeted quantification, odor threshold evaluation, and expert sensory analysis are needed to better link volatile composition with aroma quality and product optimization.

Supplementary Materials

The following supporting information can be downloaded at: https://www.mdpi.com/article/10.3390/app16083708/s1.

Author Contributions

J.Z.: Data curation, Formal analysis, Methodology, Software, Visualization, Investigation, Writing—original draft; T.M.: Methodology, Project administration, Resources, Validation, Writing—review and editing, Software; S.I.: Data curation, Methodology, Investigation; T.T.: Software, Methodology, Data curation; R.Y.: Data curation, Methodology, Investigation; D.M.: Data curation, Methodology, Investigation; K.M.: Data curation, Methodology, Investigation; M.Y.: Methodology, Resources, Supervision; K.H.: Resources, Supervision; T.A.: Project administration, Resources, Supervision. All authors have read and agreed to the published version of the manuscript.

Funding

This research received no external funding.

Institutional Review Board Statement

Not applicable.

Informed Consent Statement

Not applicable.

Data Availability Statement

The original contributions presented in the study are included in the article/Supplementary Material, further inquiries can be directed to the corresponding author.

Conflicts of Interest

The authors declare no conflicts of interest.

References

  1. Sethi, S.; Tyagi, S.K.; Anurag, R.K. Plant-Based Milk Alternatives an Emerging Segment of Functional Beverages: A Review. J. Food Sci. Technol. 2016, 53, 3408–3423. [Google Scholar] [CrossRef] [PubMed]
  2. Daryani, D.; Pegua, K.; Aryaa, S.S. Review of Plant-Based Milk Analogue: Its Preparation, Nutritional, Physicochemical, and Organoleptic Properties. Food Sci. Biotechnol. 2024, 33, 1059–1073. [Google Scholar] [CrossRef]
  3. Ramsing, R.; Santo, R.; Kim, B.F.; Altema-Johnson, D.; Wooden, A.; Chang, K.B.; Semba, R.D.; Love, D.C. Dairy and Plant-Based Milks: Implications for Nutrition and Planetary Health. Curr. Environ. Health Rep. 2023, 10, 291–302. [Google Scholar] [CrossRef]
  4. Xie, A.; Dong, Y.; Liu, Z.; Li, Z.; Shao, J.; Li, M.; Yue, X. A Review of Plant-Based Drinks Addressing Nutrients, Flavor, and Processing Technologies. Foods 2023, 12, 3952. [Google Scholar] [CrossRef]
  5. Appiani, M.; Cattaneo, C.; Laureati, M. Sensory Properties and Consumer Acceptance of Plant-Based Meat, Dairy, Fish and Eggs Analogs: A Systematic Review. Front. Sustain. Food Syst. 2023, 7, 1268068. [Google Scholar] [CrossRef]
  6. Pointke, M.; Albrecht, E.H.; Geburt, K.; Gerken, M.; Traulsen, I.; Pawelzik, E. A Comparative Analysis of Plant-Based Milk Alternatives Part 1: Composition, Sensory, and Nutritional Value. Sustainability 2022, 14, 7996. [Google Scholar] [CrossRef]
  7. Vaikma, H.; Kaleda, A.; Rosend, J.; Rosenvald, S. Market Mapping of Plant-Based Milk Alternatives by Using Sensory (RATA) and GC Analysis. Futur. Foods 2021, 4, 100049. [Google Scholar] [CrossRef]
  8. Cordero, C.; Kiefl, J.; Schieberle, P.; Reichenbach, S.E.; Bicchi, C. Comprehensive Two-Dimensional Gas Chromatography and Food Sensory Properties: Potential and Challenges. Anal. Bioanal. Chem. 2015, 407, 169–191. [Google Scholar] [CrossRef]
  9. Milani, N.B.L.; van Gilst, E.; Pirok, B.W.J.; Schoenmakers, P.J. Comprehensive Two-dimensional Gas Chromatography—A Discussion on Recent Innovations. J. Sep. Sci. 2023, 46, e2300304. [Google Scholar] [CrossRef]
  10. Corvino, A.; Khomenko, I.; Betta, E.; Brigante, F.I.; Bontempo, L.; Biasioli, F.; Capozzi, V. Rapid Profiling of Volatile Organic Compounds Associated with Plant-Based Milks Versus Bovine Milk Using an Integrated PTR-ToF-MS and GC-MS Approach. Molecules 2025, 30, 761. [Google Scholar] [CrossRef] [PubMed]
  11. Pucci, M.; Akıllıoğlu, H.G.; Bevilacqua, M.; Abate, G.; Lund, M.N. Investigation of Maillard Reaction Products in Plant-Based Milk Alternatives. Food Res. Int. 2024, 198, 115418. [Google Scholar] [CrossRef]
  12. Jiang, K.; Yang, A.; Zhang, Z.; Xu, K.; Kuang, H.; Meng, F.; Wang, B. Identification of Aro-ma-Active Compounds in Milk by 2-Dimensional Gas Chromatography-Olfactometry-Time-of-Flight Mass Spectrometry Combined with Check-All-That-Apply Questions. J. Dairy Sci. 2024, 107, 9124–9134. [Google Scholar] [CrossRef]
  13. Manousi, N.; Zachariadis, G.A. Determination of Volatile Compounds in Nut-Based Milk Alternative Beverages by HS-SPME Prior to GC-MS Analysis. Molecules 2019, 24, 3091. [Google Scholar] [CrossRef]
  14. Li, H.; Xi, B.; Yang, X.; Wang, H.; He, X.; Li, W.; Gao, Y. Evaluation of Change in Quality Indices and Volatile Flavor Components in Raw Milk during Refrigerated Storage. LWT 2022, 165, 113674. [Google Scholar] [CrossRef]
  15. Song, J.; Shao, Y.; Yan, Y.; Li, X.; Peng, J.; Guo, L. Characterization of Volatile Profiles of Three Colored Quinoas Based on GC-IMS and PCA. LWT 2021, 146, 111292. [Google Scholar] [CrossRef]
  16. Zhang, B.; Li, K.; Cheng, H.; Hu, J.; Qi, X.; Guo, X. Effect of Thermal Treatments on Volatile Profiles and Fatty Acid Composition in Sweet Corn (Zea mays L.). Food Chem. X 2023, 18, 100743. [Google Scholar] [CrossRef]
  17. Ba, Y.-B.; Li, R.; Zhang, J.-Y.; Zou, L.; Wu, D.-T.; Hu, Y.-C. Evaluation of Lipidomics Profile of Quinoa Flour and Changes during Storage Based on Ultra Performance Liquid Chromatography Coupled with Quadrupole Exactive Orbitrap Mass Spectrometry. Foods 2023, 12, 4434. [Google Scholar] [CrossRef] [PubMed]
  18. Batariuc, A.; Ungureanu-Iuga, M.; Mironeasa, S. Characterization of Sorghum Processed through Dry Heat Treatment and Milling. Appl. Sci. 2022, 12, 7630. [Google Scholar] [CrossRef]
  19. Feng, Y.; Cao, H.; Song, H.; Huang, K.; Zhang, Y.; Zhang, Y.; Li, S.; Li, Y.; Lu, J.; Guan, X. The Formation Mechanism, Analysis Strategies and Regulation Measures of Cereal Aroma. Trends Food Sci. Technol. 2024, 147, 104452. [Google Scholar] [CrossRef]
  20. Verma, D.K.; Srivastav, P.P. Proximate Composition, Mineral Content and Fatty Acids Analyses of Aromatic and Non-Aromatic Indian Rice. Rice Sci. 2017, 24, 21–31. [Google Scholar] [CrossRef]
  21. Piornos, J.A.; Balagiannis, D.P.; Koussissi, E.; Bekkers, A.; Vissenaekens, J.; Brouwer, E.; Parker, J.K. Multi-Response Kinetic Modelling of the Formation of Five Strecker Aldehydes during Kilning of Barley Malt. Food Chem. 2025, 464, 141532. [Google Scholar] [CrossRef] [PubMed]
  22. Yan, L.; Xu, Y.; Yang, F.; Shi, C.; Liu, Y.; Bi, S. Characterization of Odor Profiles of Pea Milk Varieties and Identification of Key Odor-Active Compounds by Molecular Sensory Science Approaches Using Soybean Milk as a Reference. Food Chem. 2024, 445, 138696. [Google Scholar] [CrossRef] [PubMed]
  23. Zhou, W.; Yang, L.; Deng, K.; Xu, G.; Wang, Y.; Ni, Q.; Zhang, Y. Unraveling the Role of Germination Days on the Aroma Variations of Roasted Barley Malts via Gas Chromatography-Mass Spectrometry Based Untargeted and Targeted Flavoromics. Food Chem. 2023, 405, 134655. [Google Scholar] [CrossRef] [PubMed]
  24. Almaguer, C.; Kollmannsberger, H.; Gastl, M.; Becker, T. Comparative Study of the Impact of Malting on the Aroma Profiles of Barley (Hordeum vulgare L.) and Rye (Secale cereale L.). Food Chem. 2023, 427, 136694. [Google Scholar] [CrossRef]
  25. Jaeger, S.R.; de Matos, A.D.; Oduro, A.F.; Hort, J. Sensory Characteristics of Plant-Based Milk Alternatives: Product Characterisation by Consumers and Drivers of Liking. Food Res. Int. 2024, 180, 114093. [Google Scholar] [CrossRef]
  26. Chan, A.C.; Mokhtar, S.U.; Hong, P.K. A Systematic Review on the Determination and Analytical Methods for Furanic Compounds in Caramel Models. J. Food Sci. Technol. 2025, 62, 1999–2012. [Google Scholar] [CrossRef]
  27. Lozano, P.R.; Drake, M.; Benitez, D.; Cadwallader, K.R. Instrumental and Sensory Characteri-zation of Heat-Induced Odorants in Aseptically Packaged Soy Milk. J. Agric. Food Chem. 2007, 55, 3018–3026. [Google Scholar] [CrossRef]
  28. McCarron, R.; Methven, L.; Grahl, S.; Elliott, R.; Lignou, S. Oat-Based Milk Alternatives: The Influence of Physical and Chemical Properties on the Sensory Profile. Front. Nutr. 2024, 11, 1345371. [Google Scholar] [CrossRef]
  29. Cravotto, C.; Fabiano-Tixier, A.-S.; Claux, O.; Abert-Vian, M.; Tabasso, S.; Cravotto, G.; Chemat, F. Towards Substitution of Hexane as Extraction Solvent of Food Products and Ingredients with No Regrets. Foods 2022, 11, 3412. [Google Scholar] [CrossRef]
  30. EFSA Panel on Food Additives and Flavourings (FAF); Younes, M.; Aquilina, G.; Castle, L.; Engel, K.; Fowler, P.; Fernandez, M.J.F.; Fürst, P.; Gürtler, R.; Gundert-Remy, U.; et al. Re-evaluation of Propane-1,2-diol Esters of Fatty Acids (E 477) as a Food Additive. EFSA J. 2018, 16, e05497. [Google Scholar] [CrossRef]
  31. Vera, P.; Canellas, E.; Su, Q.-Z.; Mercado, D.; Nerín, C. Migration of Volatile Substances from Recycled High Density Polyethylene to Milk Products. Food Packag. Shelf Life 2023, 35, 101020. [Google Scholar] [CrossRef]
  32. Cadwallader, D.; Gerard, P.; Drake, M. The Role of Packaging on the Flavor of Fluid Milk. J. Dairy Sci. 2023, 106, 151–167. [Google Scholar] [CrossRef] [PubMed]
  33. Yang, Y.; Wang, X.; Wang, M.; Li, H.; Lin, Y.; Miao, S.; Xie, W. The Effect of Germination Time on Soymilk Odor: Key Odor Compounds and Formation Mechanisms. LWT 2025, 228, 118045. [Google Scholar] [CrossRef]
  34. Núñez-Carmona, E.; Abbatangelo, M.; Zottele, I.; Piccoli, P.; Tamanini, A.; Comini, E.; Sberveglieri, G.; Sberveglieri, V. Nanomaterial Gas Sensors for Online Monitoring System of Fruit Jams. Foods 2019, 8, 632. [Google Scholar] [CrossRef] [PubMed]
  35. Boucher, D.; Laviéville, S.; Ladmiral, V.; Negrell, C.; Leclerc, E. Hemiacetal Esters: Synthesis, Properties, and Applications of a Versatile Functional Group. Macromolecules 2024, 57, 810–829. [Google Scholar] [CrossRef]
  36. Shahidi, F.; Oh, W.Y. Lipid-Derived Flavor and off-Flavor of Traditional and Functional Foods: An Overview. J. Food Bioact. 2020, 10, 20–31. [Google Scholar] [CrossRef]
Figure 1. Heatmap with hierarchical clustering of volatile compounds detected in cow milk and plant-based milk samples. Rows represent sample types and columns represent individual volatile compounds (n = 297). Color intensity indicates the relative abundance of each compound after Z-score normalization, with blue representing lower abundance and red representing higher abundance. The dendrograms illustrate the similarity patterns among samples and volatile compounds based on their overall profiles.
Figure 1. Heatmap with hierarchical clustering of volatile compounds detected in cow milk and plant-based milk samples. Rows represent sample types and columns represent individual volatile compounds (n = 297). Color intensity indicates the relative abundance of each compound after Z-score normalization, with blue representing lower abundance and red representing higher abundance. The dendrograms illustrate the similarity patterns among samples and volatile compounds based on their overall profiles.
Applsci 16 03708 g001
Figure 2. Three-dimensional principal component analysis (3D-PCA) score plot based on volatile compound profiles of cow milk and plant-based milk samples. The first three principal components explained 62.2% of the total variance (PC1 = 26.0%, PC2 = 24.0%, PC3 = 12.2%). The corresponding eigenvalues are provided in the eigenvalue table and scree plot included in this figure, showing the relative contribution of each principal component to the total variance structure of the dataset.
Figure 2. Three-dimensional principal component analysis (3D-PCA) score plot based on volatile compound profiles of cow milk and plant-based milk samples. The first three principal components explained 62.2% of the total variance (PC1 = 26.0%, PC2 = 24.0%, PC3 = 12.2%). The corresponding eigenvalues are provided in the eigenvalue table and scree plot included in this figure, showing the relative contribution of each principal component to the total variance structure of the dataset.
Applsci 16 03708 g002
Figure 3. Relative abundance distribution of volatile compound classes in cow milk and plant-based milk samples. The x-axis represents the relative abundance (%) of each volatile class, while the y-axis lists the volatile compound classes. The classes were divided into five panels according to their relative abundance levels, arranged broadly from higher- to lower-abundance classes. Each point corresponds to one sample, and colors indicate different milk types.
Figure 3. Relative abundance distribution of volatile compound classes in cow milk and plant-based milk samples. The x-axis represents the relative abundance (%) of each volatile class, while the y-axis lists the volatile compound classes. The classes were divided into five panels according to their relative abundance levels, arranged broadly from higher- to lower-abundance classes. Each point corresponds to one sample, and colors indicate different milk types.
Applsci 16 03708 g003
Figure 4. Heatmap showing volatile compounds commonly upregulated and downregulated in plant-based milk samples relative to cow milk. Samples are shown on the x-axis, and compounds are shown on the y-axis. The heatmap colors indicate normalized abundance levels, ranging from low (blue) to high (red).
Figure 4. Heatmap showing volatile compounds commonly upregulated and downregulated in plant-based milk samples relative to cow milk. Samples are shown on the x-axis, and compounds are shown on the y-axis. The heatmap colors indicate normalized abundance levels, ranging from low (blue) to high (red).
Applsci 16 03708 g004
Figure 5. Heatmap of volatile compounds specifically upregulated in barley milk compared with cow milk relative to the corresponding comparisons of other lab-made plant-based milks versus cow milk. The x-axis shows the lab-made plant-based milk samples, and the y-axis shows the selected compounds. Color intensity represents the normalized abundance level of each compound, with red indicating higher abundance and blue indicating lower abundance.
Figure 5. Heatmap of volatile compounds specifically upregulated in barley milk compared with cow milk relative to the corresponding comparisons of other lab-made plant-based milks versus cow milk. The x-axis shows the lab-made plant-based milk samples, and the y-axis shows the selected compounds. Color intensity represents the normalized abundance level of each compound, with red indicating higher abundance and blue indicating lower abundance.
Applsci 16 03708 g005
Figure 6. Heatmap of volatile compounds specifically upregulated in market plant-based milk samples compared with cow milk while showing little change or remaining at very low abundance in lab-made plant-based milk samples compared with cow milk. The x-axis shows the sample types, and the y-axis shows the selected compounds. Color intensity represents the normalized abundance level of each compound, with red indicating higher abundance and blue indicating lower abundance.
Figure 6. Heatmap of volatile compounds specifically upregulated in market plant-based milk samples compared with cow milk while showing little change or remaining at very low abundance in lab-made plant-based milk samples compared with cow milk. The x-axis shows the sample types, and the y-axis shows the selected compounds. Color intensity represents the normalized abundance level of each compound, with red indicating higher abundance and blue indicating lower abundance.
Applsci 16 03708 g006
Figure 7. Heatmap showing volatile compounds commonly upregulated and downregulated in lab-made plant-based milk samples versus cow milk excluding barley milk. Samples are shown on the x-axis and compounds on the y-axis. Heatmap color indicates normalized abundance, ranging from low (blue) to high (red). Compounds were classified as Common Up or Common Down based on their consistent direction of change across the lab-made plant-based milk comparisons relative to cow milk.
Figure 7. Heatmap showing volatile compounds commonly upregulated and downregulated in lab-made plant-based milk samples versus cow milk excluding barley milk. Samples are shown on the x-axis and compounds on the y-axis. Heatmap color indicates normalized abundance, ranging from low (blue) to high (red). Compounds were classified as Common Up or Common Down based on their consistent direction of change across the lab-made plant-based milk comparisons relative to cow milk.
Applsci 16 03708 g007
Table 1. Crop species selected as raw materials for the preparation of laboratory-made plant-based milk samples.
Table 1. Crop species selected as raw materials for the preparation of laboratory-made plant-based milk samples.
Crop CategoryCommon NameGenus
True cerealRiceOryza
True cerealBarleyHordeum
True cerealCornZea
True cerealWhite sorghumSorghum
PseudocerealQuinoaChenopodium
Disclaimer/Publisher’s Note: The statements, opinions and data contained in all publications are solely those of the individual author(s) and contributor(s) and not of MDPI and/or the editor(s). MDPI and/or the editor(s) disclaim responsibility for any injury to people or property resulting from any ideas, methods, instructions or products referred to in the content.

Share and Cite

MDPI and ACS Style

Zhang, J.; Maeda, T.; Isoya, S.; Tanaka, T.; Yoshikawa, R.; Maehara, D.; Motoyanagi, K.; Yamamoto, M.; Hasegawa, K.; Araki, T. Multi-Omics and Chemometric Analysis of Aroma Profiles in Plant-Based Milk Alternatives and Cow Milk. Appl. Sci. 2026, 16, 3708. https://doi.org/10.3390/app16083708

AMA Style

Zhang J, Maeda T, Isoya S, Tanaka T, Yoshikawa R, Maehara D, Motoyanagi K, Yamamoto M, Hasegawa K, Araki T. Multi-Omics and Chemometric Analysis of Aroma Profiles in Plant-Based Milk Alternatives and Cow Milk. Applied Sciences. 2026; 16(8):3708. https://doi.org/10.3390/app16083708

Chicago/Turabian Style

Zhang, Junhan, Tatsuro Maeda, Shuntaro Isoya, Takayoshi Tanaka, Rin Yoshikawa, Daiki Maehara, Keisuke Motoyanagi, Mari (Maeda) Yamamoto, Kazuya Hasegawa, and Tetsuya Araki. 2026. "Multi-Omics and Chemometric Analysis of Aroma Profiles in Plant-Based Milk Alternatives and Cow Milk" Applied Sciences 16, no. 8: 3708. https://doi.org/10.3390/app16083708

APA Style

Zhang, J., Maeda, T., Isoya, S., Tanaka, T., Yoshikawa, R., Maehara, D., Motoyanagi, K., Yamamoto, M., Hasegawa, K., & Araki, T. (2026). Multi-Omics and Chemometric Analysis of Aroma Profiles in Plant-Based Milk Alternatives and Cow Milk. Applied Sciences, 16(8), 3708. https://doi.org/10.3390/app16083708

Note that from the first issue of 2016, this journal uses article numbers instead of page numbers. See further details here.

Article Metrics

Back to TopTop