Sign in to use this feature.

Years

Between: -

Subjects

remove_circle_outline
remove_circle_outline
remove_circle_outline
remove_circle_outline
remove_circle_outline
remove_circle_outline
remove_circle_outline
remove_circle_outline
remove_circle_outline

Journals

remove_circle_outline
remove_circle_outline
remove_circle_outline
remove_circle_outline
remove_circle_outline
remove_circle_outline
remove_circle_outline
remove_circle_outline
remove_circle_outline
remove_circle_outline
remove_circle_outline
remove_circle_outline
remove_circle_outline
remove_circle_outline
remove_circle_outline
remove_circle_outline
remove_circle_outline
remove_circle_outline
remove_circle_outline
remove_circle_outline

Article Types

Countries / Regions

remove_circle_outline
remove_circle_outline
remove_circle_outline
remove_circle_outline
remove_circle_outline
remove_circle_outline
remove_circle_outline

Search Results (4,052)

Search Parameters:
Keywords = coupling layer

Order results
Result details
Results per page
Select all
Export citation of selected articles as:
27 pages, 9984 KB  
Article
Parameter Effects on Dynamic Characteristics Analysis of Multi-Layer Foil Thrust Bearing
by Yulong Jiang, Qianjing Zhu, Zhongwen Huang and Dongyan Gao
Lubricants 2025, 13(11), 472; https://doi.org/10.3390/lubricants13110472 (registering DOI) - 24 Oct 2025
Abstract
The paper studies the dynamic characteristics of a multi-layer foil thrust bearing (MLFTB). A modified efficient dynamic characteristic model is established, and the revised Reynolds equation coupled with the thick plate element and the boundary slip model is adopted. During the solving process, [...] Read more.
The paper studies the dynamic characteristics of a multi-layer foil thrust bearing (MLFTB). A modified efficient dynamic characteristic model is established, and the revised Reynolds equation coupled with the thick plate element and the boundary slip model is adopted. During the solving process, the small perturbation method is implemented. The elasto-hydrodynamic effect under geometric and operational parameters is investigated. It reflects that the dynamic characteristics can be visibly influenced by the slip effect when under tiny clearance with low bearing speed, and ought to be considered. Specifically, the maximum deviation of the axial and direct-rotational stiffness coefficients could be up to −4.93% and −5.02%, respectively. The direct-rotational stiffness is increased with the perturbation frequency; however, a turning point may exist in the cross-rotational stiffness. Additionally, both the rotational stiffness and rotational damping can be expanded at a smaller original clearance. It aims to provide prediction methods with high effectiveness and efficiency, and enrich theoretical guidance for the important MLFTB. Full article
Show Figures

Figure 1

11 pages, 1510 KB  
Article
Inverse-Designed Narrow-Band and Flat-Top Bragg Grating Filter
by Yu Chen, An He, Junjie Yao, Meilin Zhong, Zhihao Li, Leyuan Zhang, Wei Cao, Xu Sun, Gangxiang Shen and Ning Liu
Photonics 2025, 12(11), 1049; https://doi.org/10.3390/photonics12111049 - 23 Oct 2025
Abstract
Integrated optical filters are fundamental and indispensable components of silicon photonics, which enhance the data throughput of high-demand communication networks. Grating-assisted filters have been widely used due to the merits they offer: flat top, low crosstalk, and no FSR. In this paper, we [...] Read more.
Integrated optical filters are fundamental and indispensable components of silicon photonics, which enhance the data throughput of high-demand communication networks. Grating-assisted filters have been widely used due to the merits they offer: flat top, low crosstalk, and no FSR. In this paper, we report an inverse-designed narrow-band silicon Bragg grating filter that unites lateral-misalignment apodization with cooperative particle swarm optimization (CPSO). The initial coupling-coefficient profile of the filter is first yielded by a layer-peeling algorithm (LPA). Subsequently, the final structure is designed by CPSO to approach the desired spectral response. The filter is fabricated on a 220 nm silicon-on-insulator platform. The measured results exhibit 3.39 nm bandwidth, 19.34 dB side lobe suppression ratio (SLSR), and 1.75 dB insertion loss. The proposed design method effectively solves the problem of excessively high side lobes in uniform gratings and LPA-designed gratings when designing narrow-bandwidth filters. Full article
(This article belongs to the Special Issue Silicon Photonics: From Fundamentals to Future Directions)
20 pages, 1574 KB  
Article
Analysis of Torsional Vibration of Single Pile in Orthotropic Layered Soil
by Zixin Lian, Yanzhi Zhu and Yongzhi Jiu
Buildings 2025, 15(21), 3834; https://doi.org/10.3390/buildings15213834 - 23 Oct 2025
Abstract
To address the difficulty in obtaining analytical solutions for the torsional vibration response of pile foundations in orthotropic layered soil foundations subjected to torsional excitation at the pile top, this study investigates a layered recursive algorithm based on the Hankel transform. An integral [...] Read more.
To address the difficulty in obtaining analytical solutions for the torsional vibration response of pile foundations in orthotropic layered soil foundations subjected to torsional excitation at the pile top, this study investigates a layered recursive algorithm based on the Hankel transform. An integral transformation method is employed to reduce the dimensionality of the coupled pile–soil torsional vibration equations, converting the three-dimensional system of partial differential equations into a set of ordinary differential equations. Combining the constitutive properties of transversely anisotropic strata with interlayer contact conditions, a transfer matrix model is established. Employing inverse transformation coupled with the Gauss–Kronrod integration method, an explicit frequency-domain solution for the torsional dynamic impedance at the pile top is derived. The research findings indicate that the anisotropy coefficient of the foundation significantly influences both the real and imaginary parts of the impedance magnitude. The sequence of soil layer distribution and the bonding state at interfaces jointly affect the nonlinear transmission characteristics of torque along the pile shaft. Full article
(This article belongs to the Section Building Structures)
Show Figures

Figure 1

17 pages, 1825 KB  
Article
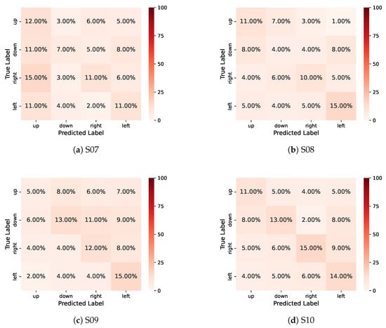
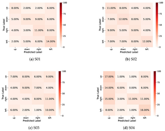
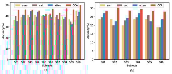
STCCA: Spatial–Temporal Coupled Cross-Attention Through Hierarchical Network for EEG-Based Speech Recognition
by Liang Dong, Hengyi Shao, Lin Zhang and Lei Li
Sensors 2025, 25(21), 6541; https://doi.org/10.3390/s25216541 - 23 Oct 2025
Abstract
Speech recognition based on Electroencephalogram (EEG) has attracted considerable attention due to its potential in communication and rehabilitation. Existing methods typically process spatial and temporal features with sequential, parallel, or constrained feature fusion strategies. However, the intricate cross-relationships between spatial and temporal features [...] Read more.
Speech recognition based on Electroencephalogram (EEG) has attracted considerable attention due to its potential in communication and rehabilitation. Existing methods typically process spatial and temporal features with sequential, parallel, or constrained feature fusion strategies. However, the intricate cross-relationships between spatial and temporal features remain underexplored. To address these limitations, we propose a spatial–temporal coupled cross-attention mechanism through a hierarchical network, named STCCA. The proposed STCCA consists of three key components: local feature extraction module (LFEM), coupled cross-attention (CCA) fusion module, and global feature extraction module (GFEM). The LFEM employs CNNs to extract local temporal and spatial features, while the CCA fusion module leverages a dual-directional attention mechanism to establish deep interactions between temporal and spatial features. The GFEM uses multi-head self-attention layers to model long-range dependencies and extract global features comprehensively. STCCA is validated on three EEG-based speech datasets, achieving accuracies of 45.45%, 25.91%, and 29.07%, corresponding to improvements of 1.95%, 3.98%, and 1.98% over the comparison models. Full article
(This article belongs to the Special Issue EEG Signal Processing Techniques and Applications—3rd Edition)
Show Figures

Figure 1

22 pages, 3491 KB  
Review
A Review of Sub-Wavelength Wire Grid Polarizers and Their Development Trends
by Bing Chen, Xiuhua Fu, Xianzhu Liu, Yonggang Pan, Suotao Dong, Ben Wang, Zhaowen Lin and Huilin Jiang
Photonics 2025, 12(11), 1046; https://doi.org/10.3390/photonics12111046 - 23 Oct 2025
Abstract
There has been a significant rise in the fabrication of polarizing elements with the rapid advancement of polarization imaging technology, coinciding with a rise in research on such elements. This article provides a comprehensive review of sub-wavelength wire grid polarizers which can be [...] Read more.
There has been a significant rise in the fabrication of polarizing elements with the rapid advancement of polarization imaging technology, coinciding with a rise in research on such elements. This article provides a comprehensive review of sub-wavelength wire grid polarizers which can be applied in different operating wavelength ranges, specifically focusing on their design, as well as their related fabrication processes and metrology methods. First, structural parameters, designed and simulated via the finite-difference time-domain (FDTD) method or rigorous coupled wave analysis (RCWA), and their impact on wire grid performance are investigated based on the effective medium theory. Second, a comprehensive overview of domestic and international studies is provided, focusing on the developments in sub-wavelength wire grid polarizers with single-layer structures and bilayer structures at different operating wavelength bands—deep ultraviolet, visible, middle- and far-infrared, and terahertz wavelength bands. Research related to polarizers with multilayer structures, simulated and carried out via the use of specific software, is also presented. Finally, the progress regarding sub-wavelength wire grid polarizer research is summarized, and future prospects are forecasted, with emphasis on material selection, wire grid structure optimization, and innovation in manufacturing processes. Full article
(This article belongs to the Section Optoelectronics and Optical Materials)
Show Figures

Figure 1

20 pages, 6071 KB  
Article
Study on Gas Pre-Extraction Law of Along-Layer Boreholes Based on Thermo-Hydro-Mechanical-Damage Coupled Model
by Biao Hu, Xuyang Lei, Lu Zhang, Hang Long, Pengfei Ji, Lianmeng Wang, Yonghao Ding and Cuixia Wang
Mathematics 2025, 13(21), 3375; https://doi.org/10.3390/math13213375 - 23 Oct 2025
Abstract
Modeling the pre-extraction of coalbed methane presents a significant mathematical challenge due to the complex interplay of multiple physical fields. This paper presents a robust mathematical model based on a thermo-hydro-mechanical damage (THMD) framework to describe this process. The model is formulated as [...] Read more.
Modeling the pre-extraction of coalbed methane presents a significant mathematical challenge due to the complex interplay of multiple physical fields. This paper presents a robust mathematical model based on a thermo-hydro-mechanical damage (THMD) framework to describe this process. The model is formulated as a system of coupled, non-linear partial differential equations (PDEs) that integrate governing equations for heat transfer, fluid seepage, and solid mechanics with a damage evolution law derived from continuum damage mechanics. A key contribution of this work is the integration of this multi-physics model, solved numerically using the Finite Element Method (FEM), with a statistical modeling approach using Response Surface Methodology (RSM) and Analysis of Variance (ANOVA). This integrated framework allows for a systematic analysis of the model’s parameter space and a rigorous quantification of sensitivities. The ANOVA results reveal that the model’s damage output is most sensitive to the borehole diameter (F = 2531.51), while the effective extraction radius is predominantly governed by the initial permeability (F = 4219.59). This work demonstrates the power of combining a PDE-based multi-physics model with statistical metamodeling to provide deep, quantitative insights for optimizing gas extraction strategies in deep, low-permeability coal seams. Full article
Show Figures

Figure 1

19 pages, 4768 KB  
Article
Evaporation Behavior of Water in Confined Nanochannels Using Molecular Dynamics Simulation
by Sumith Yesudasan, Mamshad Mohammed, Joseph Marcello and Mark Taylor
J. Nucl. Eng. 2025, 6(4), 43; https://doi.org/10.3390/jne6040043 - 23 Oct 2025
Abstract
This study presents a molecular dynamics (MD) investigation of water evaporation in copper nanochannels, with a focus on accurately modeling copper–water interactions through forcefield calibration. The TIP4P/2005 water model was coupled with the Modified Embedded Atom Method (MEAM) for copper, and the oxygen–copper [...] Read more.
This study presents a molecular dynamics (MD) investigation of water evaporation in copper nanochannels, with a focus on accurately modeling copper–water interactions through forcefield calibration. The TIP4P/2005 water model was coupled with the Modified Embedded Atom Method (MEAM) for copper, and the oxygen–copper Lennard–Jones (LJ) parameters were systematically tuned to match experimentally reported water contact angles (WCAs) on Cu (111) surfaces. Contact angles were extracted from simulation trajectories using a robust five-step protocol involving 2D kernel density estimation, adaptive thresholding, circle fitting, and mean squared error (MSE) validation. The optimized forcefield demonstrated strong agreement with experimental WCA values (50.2°–82.3°), enabling predictive control of wetting behavior by varying ε in the range 0.20–0.28 kcal/mol. Using this validated parameterization, we explored nanoscale evaporation in copper channels under varying thermal loads (300–600 K). The results reveal a clear temperature-dependent transition from interfacial-layer evaporation to bulk-phase vaporization, with evaporation onset and rate governed by the interplay between copper–water adhesion and thermal disruption of hydrogen bonding. These findings provide atomistically resolved insights into wetting and evaporation in metallic nanochannels, offering a calibrated framework for simulating phase-change heat transfer in advanced thermal management systems. Full article
Show Figures

Graphical abstract

13 pages, 3183 KB  
Article
Methyltrimethoxysilane Vapor Deposition Strategy for Preparing Superelastic and Hydrophobic Flexible Polyurethane Foams
by Hongyu Feng, Haijing Ma, Tian Jing, Bohan Zhai, Yanyan Dong, Shaohua Jiang and Xiaoshuai Han
Polymers 2025, 17(21), 2814; https://doi.org/10.3390/polym17212814 - 22 Oct 2025
Abstract
Flexible polyurethane foam (FPUF) is widely used in buffer protection, biomedical, and wearable fields due to its light weight, high resilience, and adjustable mechanical properties. However, the traditional water foaming system is often accompanied by bottleneck problems such as cyclic fatigue attenuation, insufficient [...] Read more.
Flexible polyurethane foam (FPUF) is widely used in buffer protection, biomedical, and wearable fields due to its light weight, high resilience, and adjustable mechanical properties. However, the traditional water foaming system is often accompanied by bottleneck problems such as cyclic fatigue attenuation, insufficient thermal stability, and surface hydrophilicity while achieving low density. In this study, a dense Si-O-Si cross-linked layer was in situ constructed on the surface of the foam by systematically regulating the water content of the foaming agent (1.5~2.5 wt%) and coupling with methyltrimethoxysilane (MTMS) chemical vapor deposition. Experiments show that the foam foamed with 2 wt% water content still maintains 0.0466 MPa compressive strength and 0.0532 MPa compressive modulus (modulus loss is only 16.6%) after 500 cycles of compression at 90% strain after MTMS deposition. MTMS modification drives the surface wettability to change from hydrophilic (70.4°) to hydrophobic (128.7°), and significantly improves thermal stability (the carbon residue rate at 800 °C increased to 25.5%, an increase of 59.4%). This study not only improves the resilience, but also endows the FPUF surface with hydrophobicity and thermal protection ability, which provides the feasibility for its wide application. Full article
(This article belongs to the Special Issue Polyurethane Composites: Properties and Applications)
Show Figures

Figure 1

29 pages, 4323 KB  
Article
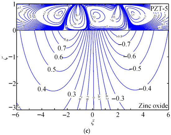
An Accurate Method for Designing Piezoelectric Energy Harvesters Based on Two-Dimensional Green Functions Under a Tangential Line Force
by Jie Tong, Yang Zhang and Peng-Fei Hou
Energies 2025, 18(21), 5564; https://doi.org/10.3390/en18215564 - 22 Oct 2025
Abstract
The piezoelectric coating structure constitutes the main configuration of contemporary energy harvesting systems, and its development requires accurate modeling of electromechanical coupling behavior under mechanical loads. The present work prepares a framework to analyze orthotropic piezoelectric coating–substrate systems; based on the fundamental solution [...] Read more.
The piezoelectric coating structure constitutes the main configuration of contemporary energy harvesting systems, and its development requires accurate modeling of electromechanical coupling behavior under mechanical loads. The present work prepares a framework to analyze orthotropic piezoelectric coating–substrate systems; based on the fundamental solution theory, it derives two-dimensional Green functions from closed-form elementary functions. The formulation can establish the mesh-free solution paradigm through addressing tangential line force loading onto a coated surface. This method helps reconstruct full-field electromechanical responses upon arbitrary mechanical loading by integrating superposition principles and Gaussian quadrature technologies. An important application is in optimizing coating thickness, where parametric research suggests that piezoelectric layer geometry is non-linearly correlated with energy conversion efficiency. Notably, analytical sensitivity coefficients of this framework contribute to gradient-based optimization algorithms, which enhances efficiency compared with traditional empirical frameworks. Full article
Show Figures

Figure 1

13 pages, 7189 KB  
Communication
Comparative Study on Structural and Transport Properties of SSC and LSC PFSA Ionomers in PEMFCs with Coexistence of O2 and N2: Molecular Dynamics Simulation Approach
by Guanghua Wei, Jingjing Huang, Lina Yu, Jinghao Zhou, Jiabin You, Zhu Ling, Shenrong Ye and Junliang Zhang
Membranes 2025, 15(11), 324; https://doi.org/10.3390/membranes15110324 - 22 Oct 2025
Abstract
Efficient O2 transport through the ionomer film in cathode catalyst layers (CCLs) is a critical factor for the output performance of proton exchange membrane fuel cells (PEMFCs), yet the molecular mechanisms of gas transport in ionomers remain elusive. Herein, molecular dynamics (MDs) [...] Read more.
Efficient O2 transport through the ionomer film in cathode catalyst layers (CCLs) is a critical factor for the output performance of proton exchange membrane fuel cells (PEMFCs), yet the molecular mechanisms of gas transport in ionomers remain elusive. Herein, molecular dynamics (MDs) simulations are employed to investigate short-side-chain (SSC) and long-side-chain (LSC) perfluorosulfonic acid (PFSA) ionomers on Pt/C surfaces with the coexistence of O2/N2. The results reveal that the side-chain structures significantly modulate the ionomer nanostructures and gas transport. SSC ionomers form compact hydrophobic domains and more interconnected hydrophilic–hydrophobic interfaces, thereby facilitating more efficient O2 transport pathways than LSC ionomers, particularly at low hydration (λ = 3). At high hydration (λ = 11), swelling of water domains attenuates these structural disparities and becomes the dominant factor governing gas transport. In addition, O2 diffusion consistently exceeds that of N2, while the diffusion coefficients of O2, N2 and H3O+ become larger at high hydration. Collectively, these findings demonstrate the structural advantages of SSC ionomers in facilitating coupled oxygen and proton transport, offering molecular-level insights to inform the rational design of high-performance PEMFCs. Full article
Show Figures

Figure 1

19 pages, 3850 KB  
Article
Structural Characteristics of Wind Turbines with Different Blade Materials Under Yaw Condition
by Huanran Guo, Liru Zhang, Jing Jia, Ding Du, Anhao Wei and Tianhao Liu
Energies 2025, 18(21), 5558; https://doi.org/10.3390/en18215558 - 22 Oct 2025
Abstract
The uneven distribution of airflow on the blade surface of a yaw wind turbine triggers a complex non-constant flow, resulting in turbine flow field operation disorder, which, in turn, affects the structural field. In view of the different degrees of influence of different [...] Read more.
The uneven distribution of airflow on the blade surface of a yaw wind turbine triggers a complex non-constant flow, resulting in turbine flow field operation disorder, which, in turn, affects the structural field. In view of the different degrees of influence of different blade materials on the structural characteristics of a wind turbine, a numerical simulation of the flow field and structural field of the horizontal-axis wind turbine under different yaw conditions is carried out by using the fluid–solid coupling method to quantitatively analyse the degree of influence of the material on the structural characteristics of the wind turbine. The results show that the average velocity of the wake cross-section shows a trend of decreasing, then increasing, and then stabilising at all yaw angles. The larger the yaw angle, the wider is the vortex structure dispersion. As the wake develops downstream, the turbulence intensity is shown to decrease and then increase, and the yaw perturbation exacerbates the turbulence disorder in the wake flow field. Along the wind turbine blade spreading direction, the blade deformation phenomenon is significant. The yaw angle increases, the wind turbine blade deformation increases, and the maximum blade stress first increases and then decreases. At a 15° yaw angle, the airflow on the blade surface is more easily separated, and vortices are formed in the vicinity, which impede the airflow in the boundary layer and lead to a reduction in the velocity in the boundary layer in this region. The minimum deformation and maximum stress of the three materials under a 15° yaw angle indicate that the blades are more capable of resisting external deformation under this condition, so 15° yaw is the best operating condition for the wind turbine. This paper employs different materials to quantitatively analyse the extent to which structural characteristics influence wind turbine performance. The findings from this research can provide valuable insights for optimising wind turbine designs. Full article
Show Figures

Figure 1

14 pages, 1557 KB  
Article
Enhanced Thermal Performance of Variable-Density Maxwell Nanofluid Flow over a Stretching Sheet Under Viscous Dissipation: A Maritime Technology Perspective
by A. M. Amer, Nourhan I. Ghoneim, Shadi Alghaffari, Mohammad E. Gommosani and Ahmed M. Megahed
Modelling 2025, 6(4), 134; https://doi.org/10.3390/modelling6040134 - 22 Oct 2025
Abstract
This scientific research examines the intricate dynamics of Maxwell nanofluid flow across a stretching surface with Stefan blowing impacts, with a particular focus on maritime thermal management applications. The analysis integrates multiple physical phenomena including magnetohydrodynamic forces, the energy dissipation phenomenon, and thermal [...] Read more.
This scientific research examines the intricate dynamics of Maxwell nanofluid flow across a stretching surface with Stefan blowing impacts, with a particular focus on maritime thermal management applications. The analysis integrates multiple physical phenomena including magnetohydrodynamic forces, the energy dissipation phenomenon, and thermal density variations within Darcy porous media. Special attention is given to Stefan blowing’s role in modifying thermal and mass transfer boundary layers. We derive an enhanced mathematical formulation that couples Maxwell fluid properties with nanoparticle transport under combined magnetic and density-gradient conditions. Computational results demonstrate the crucial influence of viscous heating and blowing intensity on thermal performance, with direct implications for naval cooling applications. The reduced governing equations form a nonlinear system that requires robust numerical treatment. We implemented the shooting technique to solve this system, verifying its precision through systematic comparison with established benchmark solutions. The close correspondence between results confirms both the method’s reliability and our implementation’s accuracy. The primary results of this study indicate that raising the Stefan blowing and density parameters causes notable changes in the temperature and concentration fields. The Stefan blowing parameter enhances both temperature and concentration near the wall by affecting thermal diffusion and nanoparticle distribution. In contrast, the density parameter reduces these values because of increased fluid resistance. Full article
Show Figures

Figure 1

27 pages, 4517 KB  
Article
Bridging 3D Confinement and 2D Correlations in Counterion Layers at Charged Interfaces: An Extended Percus Relation from First Principles
by Hiroshi Frusawa
Symmetry 2025, 17(11), 1783; https://doi.org/10.3390/sym17111783 - 22 Oct 2025
Viewed by 32
Abstract
We develop a first-principles theory that bridges three-dimensional (3D) confinement and two-dimensional (2D) in-plane correlations in counterion layers at oppositely charged interfaces. The system is controlled by two independent coupling constants. While a 3D parameter (γ) for perpendicular localization varies with [...] Read more.
We develop a first-principles theory that bridges three-dimensional (3D) confinement and two-dimensional (2D) in-plane correlations in counterion layers at oppositely charged interfaces. The system is controlled by two independent coupling constants. While a 3D parameter (γ) for perpendicular localization varies with the strength and direction of the applied electric field, a 2D parameter (Γ) for lateral correlations depends solely on system-specific conditions. This independence allows for strongly coupled yet noncrystalline liquid states. Our theoretical framework is based on a hybrid of density functional and statistical field theory, thereby yielding an extended Percus relation that, unlike its conventional counterpart for uniform 2D liquids, is valid for the spatially inhomogeneous density profiles. This extension is critical, as it establishes a direct connection between the 3D confinement and the resulting 2D in-plane structure. Numerical investigations of this relation reveal key in-plane structural features in the strong 3D coupling limit (γ): a geometric length scale, the minimal inter-particle separation (dmin), governs both the first peak of the radial distribution function and the wavelength (λ) of its oscillatory tail. These findings clarify that in-plane order in these strongly coupled counterion liquids is determined by a geometric constraint rather than any crystalline symmetry. Full article
(This article belongs to the Section Physics)
Show Figures

Figure 1

15 pages, 3114 KB  
Article
Impact of Extrinsic Defects in Wavelength Separation Coatings on the Process of Laser-Induced Damage
by Shichen Shen, Xinda Zhou, Yinbo Zheng, Jie Li, Tianhao Zhang, Linjie Zhao, Liqun Chai and Mingjun Chen
Micromachines 2025, 16(11), 1191; https://doi.org/10.3390/mi16111191 - 22 Oct 2025
Viewed by 60
Abstract
Wavelength separation coatings can effectively separate the fundamental frequency (1ω) and third harmonic (3ω) laser beams. However, the laser-induced damage threshold (LIDT) of the surface defect-free WS coatings for the 3ω laser is 1.68 J/cm2 (obtained in the preliminary experiment), significantly lower [...] Read more.
Wavelength separation coatings can effectively separate the fundamental frequency (1ω) and third harmonic (3ω) laser beams. However, the laser-induced damage threshold (LIDT) of the surface defect-free WS coatings for the 3ω laser is 1.68 J/cm2 (obtained in the preliminary experiment), significantly lower than the ideal LIDT of the fused silica substrate (80 J/cm2). This is directly correlated with extrinsic defects such as nanoscale defects and nodular defects introduced during the coating manufacturing process. Moreover, the damage in WS coatings caused by extrinsic defects is a complex physical process involving multiple physical phenomena such as material melting, vaporization, and ejection. The mechanism by which extrinsic defects interact with lasers to form damage is not yet fully elucidated. To address this, a multi-physics coupling model considering photoelectric, thermal and stress was established to simulate the incident laser propagation within coatings, the temperature distribution and thermal stress distribution of the coating material. This model systematically investigates the influence of defect location, type, and size on the laser-induced damage process. It is found that when a 10 nm-diameter defect is located at the 32nd layer of the coatings, the light intensity enhancement factor (LIEF) for 3ω laser can reach up to 5 times that for the 1ω laser. The variation in thermal stress induced by changes in defect size is jointly determined by the defect-induced modulation effect and the interference effect realized by the coating. This work theoretically reveals the mechanism of extrinsic defects in the laser damage. It provides effective guidance for establishing control standards for extrinsic defects during the optical coating process. Full article
(This article belongs to the Special Issue Advances in Digital Manufacturing and Nano Fabrication)
Show Figures

Figure 1

25 pages, 5292 KB  
Article
Deep Learning-Based Non-Parametric System Identification and Interpretability Analysis for Improving Ship Motion Prediction
by Shaojie Guo, Siqing Zhuang, Junyi Wang, Xi Peng and Yihua Liu
J. Mar. Sci. Eng. 2025, 13(10), 2017; https://doi.org/10.3390/jmse13102017 - 21 Oct 2025
Viewed by 163
Abstract
The proposed hybrid model integrates a convolutional neural network, bidirectional long short-term memory network, and attention mechanism. This model is applied to the nonparametric system identification of ship motion, incorporating wind factors. The model processes input data with different historical dimensions after preprocessing, [...] Read more.
The proposed hybrid model integrates a convolutional neural network, bidirectional long short-term memory network, and attention mechanism. This model is applied to the nonparametric system identification of ship motion, incorporating wind factors. The model processes input data with different historical dimensions after preprocessing, extracts local features using a CNN layer, captures bidirectional temporal dependencies via a BiLSTM layer to provide comprehensive bidirectional information, and finally introduces a multi-head attention mechanism to enhance the model’s expressive and learning capabilities. However, the use of deep neural networks introduces difficulties in explaining internal mechanisms. The coupled CNN-BiLSTM-Attention model with SHapley Additive exPlanations was adopted for the prediction of ship motion processes and the identification of key input feature factors. The effectiveness of the proposed model was validated through experiments using a ship free-running motion dataset with wind interference. The findings indicate that, in comparison to conventional single-architecture models and composite architecture models, the proposed model attains smaller prediction errors and demonstrates augmented generalizability and robustness. Full article
(This article belongs to the Section Ocean Engineering)
Show Figures

Figure 1

Back to TopTop