Sign in to use this feature.

Years

Between: -

Subjects

remove_circle_outline
remove_circle_outline
remove_circle_outline
remove_circle_outline
remove_circle_outline
remove_circle_outline
remove_circle_outline
remove_circle_outline
remove_circle_outline

Journals

remove_circle_outline
remove_circle_outline
remove_circle_outline
remove_circle_outline
remove_circle_outline

Article Types

Countries / Regions

remove_circle_outline
remove_circle_outline
remove_circle_outline
remove_circle_outline

Search Results (157)

Search Parameters:
Keywords = conventional knowledge transfer

Order results
Result details
Results per page
Select all
Export citation of selected articles as:
26 pages, 7392 KB  
Article
A CLIP-Based Zero-Shot Photovoltaic Segmentation Framework for Remote Sensing Imagery
by Hailong Li, Man Zhao, Lu Bai, Yan Liu, Xiaoqing He, Liangfu Chen, Jinhua Tao, Guangyan He and Zhibao Wang
Remote Sens. 2026, 18(6), 865; https://doi.org/10.3390/rs18060865 (registering DOI) - 11 Mar 2026
Abstract
In photovoltaic remote sensing image segmentation tasks, fully supervised methods can achieve high accuracy. However, the high cost of pixel-level annotation significantly limits their scalability in large-scale scenarios. To overcome this annotation bottleneck, this paper proposes a zero-shot cross-modal segmentation framework based on [...] Read more.
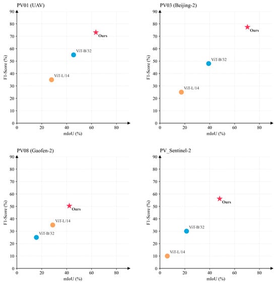
In photovoltaic remote sensing image segmentation tasks, fully supervised methods can achieve high accuracy. However, the high cost of pixel-level annotation significantly limits their scalability in large-scale scenarios. To overcome this annotation bottleneck, this paper proposes a zero-shot cross-modal segmentation framework based on the visual-language pre-trained foundation model (CLIP). This approach harnesses CLIP’s cross-modal knowledge transfer capabilities to achieve precise extraction of photovoltaic targets without requiring any downstream training. This paper first introduces the Layer-wise Augmented Residual Attention (LARA) mechanism to enhance fine-grained detail representation in the feature space. Subsequently, a Cross-modal Semantic Attribution Module (CMSA) is designed to generate precise activation maps by leveraging image-text alignment gradient information. Finally, the Confidence-Aware Refinement Strategy (CARS) replaces the conventional training-based denoising process, directly producing high-quality binary segmentation masks through adaptive thresholding. Comparative experiments were conducted to evaluate the proposed method against various baselines using several public datasets with varying resolutions in Jiangsu Province including Unmanned Aerial Vehicles imagery, Beijing-2, Gaofen-2, and a self-created Sentinel-2 imagery covering multiple countries. Notably, the proposed method achieved an IoU of 70.3% on the Gaofen-2 PV03 dataset with a spatial resolution of approximately 0.3 m and 50.8% on the self-created Sentinel-2 PV_Sentinel-2 dataset with a spatial resolution of 10 m. Experimental results demonstrate that our proposed approach maintains excellent cross-domain generalisation capabilities while reducing annotation costs, thereby providing an efficient and viable technical pathway for the automated monitoring of large-scale photovoltaic facilities. Full article
(This article belongs to the Section AI Remote Sensing)
Show Figures

Figure 1

21 pages, 575 KB  
Article
An Adaptive Online Knowledge Distillation Algorithm for Edge Computing Models Enhanced by Elite-Students
by Jincheng Xia, Yan Zhou, Xu Yang and Chengyan Zhao
Mathematics 2026, 14(5), 878; https://doi.org/10.3390/math14050878 - 5 Mar 2026
Viewed by 187
Abstract
In recent years, deep learning models have exhibited exceptional performance across several tasks. However, the substantial computational and storage demands impede implementation on edge devices with constrained resources. Online Knowledge Distillation (OKD) has arisen as an effective model compression strategy that removes the [...] Read more.
In recent years, deep learning models have exhibited exceptional performance across several tasks. However, the substantial computational and storage demands impede implementation on edge devices with constrained resources. Online Knowledge Distillation (OKD) has arisen as an effective model compression strategy that removes the reliance on pre-trained teachers characteristic of conventional distillation approaches. Nonetheless, OKD persists in facing challenges, including substantial performance variances within student networks, insufficient learning capacity for difficult data, and network homogeneity. To address those issues, this paper proposes an Elite-Student-Enhanced Adaptive Online Knowledge Distillation (ESAKD) algorithm. ESAKD introduces a patience factor-based adaptive temperature scheduling mechanism to dynamically balance knowledge clarity and richness during knowledge transfer. This mechanism utilizes the performance benefits of elite-students, particularly during initial training phases, to offer superior supervision that successfully transcends the learning capacity limitations of current OKD approaches. This method promotes swift convergence and substantially enhances the ultimate precision of the standard-student models. Furthermore, a confidence-weighted ensemble student model is designed to improve collective decision-making. Experimental assessments indicate that ESAKD provides substantial performance improvements over supervised learning without distillation and other leading online distillation techniques. On the CIFAR-100 dataset, ESAKD improves the test accuracy of various models by 1.49–6% over the undistilled baselines, and by 0.27–2.18% compared to advanced online distillation algorithms. Moreover, it exhibits enhanced performance on the Tiny-ImageNet-200 dataset as well. Full article
Show Figures

Figure 1

22 pages, 10242 KB  
Article
Cross-Modality Whole-Heart MRI Reconstruction with Deep Motion Correction and Super-Resolution
by Jinwei Dong, Wenhao Ke, Wangbin Ding, Liqin Huang and Mingjing Yang
Sensors 2026, 26(5), 1565; https://doi.org/10.3390/s26051565 - 2 Mar 2026
Viewed by 209
Abstract
Magnetic resonance imaging (MRI) inherently suffers from motion artifacts and inter-slice misalignment, primarily due to sequential slice acquisition and the prolonged scanning time required for dynamic cardiac motion. These acquisition-induced inconsistencies often lead to anatomically implausible representations of cardiac structures, impairing subsequent clinical [...] Read more.
Magnetic resonance imaging (MRI) inherently suffers from motion artifacts and inter-slice misalignment, primarily due to sequential slice acquisition and the prolonged scanning time required for dynamic cardiac motion. These acquisition-induced inconsistencies often lead to anatomically implausible representations of cardiac structures, impairing subsequent clinical analyses such as 3D reconstruction and regional functional assessment. On the other hand, acquiring high-resolution MRI demands extended scan durations that increase patient burden and potential health risks. To address this challenge, we propose a deep motion correction and super-resolution whole-heart reconstruction (DeepWHR) framework. It learns cardiac structure prior knowledge from computed tomography (CT) data, and transfers it to reconstruct cardiac structure from conventional misaligned and large slice thickness MRI images. Specifically, DeepWHR utilizes CT anatomy data to train a deep motion correction model that enables the network to capture structurally coherent and anatomically consistent representations, while MRI Finetune preserves modality-specific spatial characteristics, ensuring that the reconstructed results retain the intrinsic MRI data distribution. Furthermore, DeepWHR introduced an implicit neural representation module, which models continuous spatial fields, enabling multi-scale super-resolution structure reconstruction. Experiments on the CARE2024 WHS dataset validate that our method not only restores the spatial coherence of MRI-derived anatomical structures but also generates high-fidelity label representations suitable for downstream cardiac applications. This study demonstrates that DeepWHR transforms sparse, misaligned 2D label stacks into anatomically coherent, high-resolution 3D models, enhancing their reliability for clinical applications. Full article
(This article belongs to the Special Issue Emerging MRI Techniques for Enhanced Disease Diagnosis and Monitoring)
Show Figures

Figure 1

29 pages, 566 KB  
Review
Short and Long Non-Coding RNAs in Renal Cell Carcinoma
by Monia Cecati, Valentina Pozzi, Valentina Schiavoni, Giuseppina Barrasso, Veronica Pompei, Daniela Marzioni, Nicoletta Bonci, Stefania Fumarola, Andrea Ballini, Davide Sartini and Roberto Campagna
Non-Coding RNA 2026, 12(2), 8; https://doi.org/10.3390/ncrna12020008 - 27 Feb 2026
Viewed by 206
Abstract
Renal cell carcinoma (RCC) represents the most frequent kidney malignancy and remains a major clinical challenge due to its often silent onset, high metastatic potential, and limited responsiveness to conventional chemotherapy. Increasing evidence indicates that non-coding RNAs (ncRNAs), including microRNAs (miRNAs), long non-coding [...] Read more.
Renal cell carcinoma (RCC) represents the most frequent kidney malignancy and remains a major clinical challenge due to its often silent onset, high metastatic potential, and limited responsiveness to conventional chemotherapy. Increasing evidence indicates that non-coding RNAs (ncRNAs), including microRNAs (miRNAs), long non-coding RNAs (lncRNAs), and circular RNAs (circRNAs), are key regulators of RCC tumorigenesis, progression, and therapy resistance. Rather than providing a purely descriptive overview, this review focuses on emerging mechanistic paradigms through which ncRNAs actively shape tumor behavior and therapeutic response in RCC. This review summarizes current knowledge on the biological and clinical relevance of ncRNAs in RCC, highlighting their dual roles as oncogenic drivers or tumor suppressors through the modulation of pathways involved in proliferation, apoptosis, angiogenesis, invasion, immune evasion, metabolic reprogramming, and ferroptosis. Particular emphasis is placed on mechanistically defined ncRNA regulatory axes controlling ferroptosis, autophagy, metabolic reprogramming, and immune escape, as well as on ncRNA-mediated intercellular communication via extracellular vesicles, which promotes the dissemination of resistance to targeted therapies. The review also addresses ncRNA-based diagnostic and prognostic applications, including miRNA signatures capable of discriminating RCC subtypes and circulating ncRNAs as minimally invasive biomarkers. Moreover, the manuscript discusses ncRNA-mediated mechanisms of resistance to targeted therapies such as sunitinib, sorafenib, and axitinib, emphasizing regulatory networks involving miRNA targets, lncRNA–miRNA sponging, RNA-binding proteins, extracellular vesicle transfer, and epigenetic modulation. Emerging therapeutic opportunities are also addressed, including strategies aimed at inhibiting oncogenic ncRNAs or restoring tumor-suppressive ncRNAs to enhance drug sensitivity and improve patient stratification. Full article
(This article belongs to the Section Clinical Applications of Non-Coding RNA)
Show Figures

Figure 1

17 pages, 2510 KB  
Article
Investigating the Impact of Semi-Supervised Learning Methods to Improve the Quality of Diagnosis of Retinal Diseases from OCT Images
by Armin Alizadeh, Ahmad Alenezi, Nastaran Khakestari, Yashar Amizadeh and Ata Jodeiri
Diagnostics 2026, 16(5), 656; https://doi.org/10.3390/diagnostics16050656 - 25 Feb 2026
Cited by 1 | Viewed by 223
Abstract
Background: Age-related Macular Degeneration (AMD) is a leading cause of irreversible vision loss, particularly in the elderly. Optical Coherence Tomography (OCT), a noninvasive imaging modality, is widely used for retinal disease detection. However, the limited availability of labeled OCT datasets poses a [...] Read more.
Background: Age-related Macular Degeneration (AMD) is a leading cause of irreversible vision loss, particularly in the elderly. Optical Coherence Tomography (OCT), a noninvasive imaging modality, is widely used for retinal disease detection. However, the limited availability of labeled OCT datasets poses a significant challenge, making semi-supervised learning a promising approach. This study introduces a novel Iterative Teacher-Student (ITS) framework, which refines pseudo-labeling strategies to improve AMD detection accuracy, particularly in low-data scenarios. Methods: Initially, an optimal supervised model based on EfficientNet was developed to classify AMD using a dataset from Noor Eye Hospital, consisting of 16,822 OCT images. The dataset size was then progressively reduced to 70%, 50%, 20%, and 5% to evaluate model performance under data scarcity. Unlike conventional semi-supervised learning approaches, our ITS framework iteratively refines pseudo-labels, ensuring more reliable knowledge transfer from teacher to student models. Results: The optimized supervised model achieved 87.14% accuracy in AMD classification. As dataset size decreased to 20% and 5%, accuracy declined to 77.05% and 54.78%, respectively. Implementing the ITS framework improved accuracy to 88.56% at 20% and 64.15% at 5%, outperforming traditional semi-supervised methods. Conclusions: This study highlights the potential of semi-supervised learning, particularly our iterative teacher-student approach, to enhance AMD detection when labeled OCT data are scarce. The proposed framework introduces a novel iterative refinement strategy, which can serve as a foundation for future research in retinal disease diagnosis with limited labeled datasets. Full article
(This article belongs to the Section Medical Imaging and Theranostics)
Show Figures

Figure 1

34 pages, 7022 KB  
Article
Quantitative Perceptual Analysis of Feature-Space Scenarios in Network Media Evaluation Using Transformer-Based Deep Learning: A Case Study of Fuwen Township Primary School in China
by Yixin Liu, Zhimin Li, Lin Luo, Simin Wang, Ruqin Wang, Ruonan Wu, Dingchang Xia, Sirui Cheng, Zejing Zou, Xuanlin Li, Yujia Liu and Yingtao Qi
Buildings 2026, 16(4), 714; https://doi.org/10.3390/buildings16040714 - 9 Feb 2026
Viewed by 375
Abstract
Against the dual backdrop of the rural revitalization strategy and the pursuit of high-quality, balanced urban–rural education, optimizing rural campus spaces has emerged as an important lever for addressing educational resource disparities and improving pedagogical quality. However, conventional evaluation of campus space optimization [...] Read more.
Against the dual backdrop of the rural revitalization strategy and the pursuit of high-quality, balanced urban–rural education, optimizing rural campus spaces has emerged as an important lever for addressing educational resource disparities and improving pedagogical quality. However, conventional evaluation of campus space optimization faces two systemic dilemmas. First, top-down decision-making often neglects the authentic needs of diverse stakeholders and place-based knowledge, resulting in spatial interventions that lose regional distinctiveness. Second, routine public participation is constrained by geographical barriers, time costs, and sample-size limitations, which can amplify professional cognitive bias and impede comprehensive feedback formation. The compounded effect of these challenges contributes to a disconnect between spatial optimization outcomes and perceived needs, thereby constraining the distinctive development of rural educational spaces. To address these constraints, this study proposes a novel method that integrates regional spatial feature recognition with digital media-based public perception assessment. At the data collection and ethical governance level, the study strictly adheres to platform compliance and academic ethics. A total of 12,800 preliminary comments were scraped from major social media platforms (e.g., Douyin, Dianping, and Xiaohongshu) and processed through a three-stage screening workflow—keyword screening–rule-based filtering–manual verification—to yield 8616 valid records covering diverse public groups across China. All user-identifying information was fully anonymized to ensure lawful use and privacy protection. At the analytical modeling level, we develop a Transformer-based deep learning system that leverages multi-head attention mechanisms to capture implicit spatial-sentiment features and metaphorical expressions embedded in review texts. Evaluation on an independent test set indicates a classification accuracy of 89.2%, aligning with balanced and stable scoring performance. Robustness is further strengthened by introducing an equal-weight alternative strategy and conducting stability checks to indicate the consistency of model outputs across weighting assumptions. At the scenario interpretation level, we combine grounded-theory coding with semantic network analysis to establish a three-tier spatial analysis framework—macro (landscape pattern/hydro-topological patterns), meso (architectural interface), and micro (teaching scenes/pedagogical scenarios)—and incorporate an interpretive stakeholder typology (tourists, residents, parents, and professional groups) to systematically identify and quantify key features shaping public spatial perception. Findings show that, at the macro level, naturally integrated scenarios—such as “campus–farmland integration” and “mountain–water embeddedness”—exhibit high affective association, aligning with the “mountain-water-field-village” spatial sequence logic and suggesting broad public endorsement of ecological campus concepts, whereas vernacular settlement-pattern scenarios receive relatively low attention due to cognitive discontinuities. At the meso level, innovative corridor strategies (e.g., framed vistas and expanded corridor spaces) strengthen the building–nature interaction and suggest latent value in stimulating exploratory spatial experience. At the micro level, place-based practice-oriented teaching scenes (e.g., intangible cultural heritage handcraft and creative workshops) achieve higher scores, aligning with the compatibility of vernacular education’s “differential esthetics,” while urban convergence-oriented interdisciplinary curriculum scenes suggest an interpretive gap relative to public expectations. These results indicate an embedded relationship between public perception and regional spatial features, which is further shaped by a multi-actor governance process—characterized by “Government + Influencers + Field Study”—that mediates how rural educational spaces are produced, communicated, and interpreted in digital environments. The study’s innovative value lies in integrating sociological theories (e.g., embeddedness) with deep learning techniques to fill the regional and multi-actor perspective gap in rural campus POE and to promote a methodological shift from “experience-based induction” toward a “data-theory” dual-drive model. The findings provide inferential evidence for rural campus renewal and optimization; the methodological pipeline is transferable to small-scale rural primary schools with media exposure and salient regional ecological characteristics, and it offers a new pathway for incorporating digital media-driven public perception feedback into planning and design practice. The research methodology of this study consists of four sequential stages, which are implemented in a systematic and progressive manner: First, data collection was conducted: Python and the Octopus Collector were used to crawl online comment data related to Fuwen Township Central Primary School, strictly complying with the user agreements of the Douyin, Dianping, and Xiaohongshu platforms. Second, semantic preprocessing was performed: The evaluation content was segmented to generate word frequency statistics and semantic networks; qualitative analysis was conducted using Origin software, and quantitative translation was realized via Sankey diagrams. Third, spatial scene coding was carried out: Combined with a spatial characteristic identification system, a macro–meso–micro three-tier classification system for spatial scene characteristics was constructed to encode and quantitatively express the textual content. Finally, sentiment quantification and correlation analysis was implemented: A deep learning model based on the Transformer framework was employed to perform sentiment quantification scoring for each comment; Sankey diagrams were used to quantitatively correlate spatial scenes with sentiment tendencies, thereby exploring the public’s perceptual associations with the architectural spatial environment of rural campuses. Full article
(This article belongs to the Section Architectural Design, Urban Science, and Real Estate)
Show Figures

Figure 1

40 pages, 605 KB  
Review
Xanthomonas spp.: Devastating Plant Pathogens and Sustainable Management Strategies
by Kamran Shah, Yanbing Guo, Muhammad Adnan and Hongzhi Wu
Pathogens 2026, 15(2), 175; https://doi.org/10.3390/pathogens15020175 - 5 Feb 2026
Viewed by 1064
Abstract
The genus Xanthomonas comprises devastating plant pathogens responsible for significant yield losses in globally critical crops such as rice (Oryza sativa L.), citrus (Citrus L. spp.), cassava (Manihot esculenta Crantz), and tomato (Solanum lycopersicum L.). This review synthesizes current [...] Read more.
The genus Xanthomonas comprises devastating plant pathogens responsible for significant yield losses in globally critical crops such as rice (Oryza sativa L.), citrus (Citrus L. spp.), cassava (Manihot esculenta Crantz), and tomato (Solanum lycopersicum L.). This review synthesizes current knowledge on the molecular mechanisms driving Xanthomonas pathogenicity, including the type III secretion system (T3SS) that translocates effector proteins, transcription activator-like effectors (TALEs) that reprogram host transcription, and extracellular polysaccharides (EPS) that promote biofilm formation and immune evasion, which collectively enable host colonization, immune suppression, and disease progression. Rapid adaptation through genomic plasticity and horizontal gene transfer (HGT) exacerbates challenges in disease management by facilitating evasion of host defenses and environmental stressors. Economically, Xanthomonas spp. inflict billions in annual losses through crop damage, trade restrictions, and eradication efforts, disproportionately affecting resource-limited regions. Emerging antibiotic resistance and climate-driven shifts in pathogen distribution further threaten food security. Sustainable strategies, such as CRISPR-based genome editing to disrupt susceptibility genes, biocontrol agents (e.g., Bacillus and Pseudomonas spp.), and nanotechnology-driven antimicrobials offer promising alternatives to conventional copper-based and chemical controls. This review underscores the urgent need for integrated, climate-resilient management approaches to mitigate the ecological and socioeconomic impacts of Xanthomonas diseases, bridging genomic insights with innovative control measures, to address escalating threats posed by these pathogens in a changing global climate. Full article
(This article belongs to the Section Bacterial Pathogens)
23 pages, 2515 KB  
Review
AI-Enabled End-of-Line Quality Control in Electric Motor Manufacturing: Methods, Challenges, and Future Directions
by Jernej Mlinarič and Gregor Dolanc
Machines 2026, 14(2), 149; https://doi.org/10.3390/machines14020149 - 28 Jan 2026
Viewed by 669
Abstract
End-of-Line (EoL) quality control plays a crucial role in ensuring the reliability, safety, and performance of electric motors in modern industrial production. Increasing product complexity, tighter manufacturing tolerances, and rising production quantities have exposed the limitations of conventional EoL inspection systems, which rely [...] Read more.
End-of-Line (EoL) quality control plays a crucial role in ensuring the reliability, safety, and performance of electric motors in modern industrial production. Increasing product complexity, tighter manufacturing tolerances, and rising production quantities have exposed the limitations of conventional EoL inspection systems, which rely primarily on manually crafted features, expert-defined thresholds, and rule-based decision logic. In recent years, artificial intelligence (AI) techniques, including machine learning (ML), deep learning (DL), and transfer learning (TL), have emerged as promising solutions to overcome these limitations by enabling data-driven, adaptive, and scalable quality inspection. This paper presents a comprehensive and structured review of the latest advances in intelligent EoL quality inspection for electric motor production. It systematically surveys the non-invasive measurement techniques that are commonly employed in industrial environments and examines the evolution from traditional signal processing-based inspection to AI-based approaches. ML methods for feature selection and classification, DL models for raw signal-based fault detection, and TL strategies for data-efficient model adaptation are critically analyzed in terms of their effectiveness, robustness, interpretability, and industrial applicability. Furthermore, this work identifies key challenges that prevent the widespread adoption of AI-based EoL inspection systems, including dependence on expert knowledge, limited availability of labeled fault data, generalization between motor variants and production condition, and the lack of standardized evaluation methodologies. Based on the identified research gaps, this review outlines research directions and emerging concepts for developing robust, interpretable, and data-efficient intelligent inspection systems suitable for real-world manufacturing environments. By synthesizing recent advances and highlighting open challenges, this review aims to support researchers and experts in designing next-generation intelligent EoL quality control systems that enhance production efficiency, reduce operational costs, and improve product reliability. Full article
Show Figures

Graphical abstract

26 pages, 2618 KB  
Article
A Cascaded Batch Bayesian Yield Optimization Method for Analog Circuits via Deep Transfer Learning
by Ziqi Wang, Kaisheng Sun and Xiao Shi
Electronics 2026, 15(3), 516; https://doi.org/10.3390/electronics15030516 - 25 Jan 2026
Viewed by 340
Abstract
In nanometer integrated-circuit (IC) manufacturing, advanced technology scaling has intensified the effects of process variations on circuit reliability and performance. Random fluctuations in parameters such as threshold voltage, channel length, and oxide thickness further degrade design margins and increase the likelihood of functional [...] Read more.
In nanometer integrated-circuit (IC) manufacturing, advanced technology scaling has intensified the effects of process variations on circuit reliability and performance. Random fluctuations in parameters such as threshold voltage, channel length, and oxide thickness further degrade design margins and increase the likelihood of functional failures. These variations often lead to rare circuit failure events, underscoring the importance of accurate yield estimation and robust design methodologies. Conventional Monte Carlo yield estimation is computationally infeasible as millions of simulations are required to capture failure events with extremely low probability. This paper presents a novel reliability-based circuit design optimization framework that leverages deep transfer learning to improve the efficiency of repeated yield analysis in optimization iterations. Based on pre-trained neural network models from prior design knowledge, we utilize model fine-tuning to accelerate importance sampling (IS) for yield estimation. To improve estimation accuracy, adversarial perturbations are introduced to calibrate uncertainty near the model decision boundary. Moreover, we propose a cascaded batch Bayesian optimization (CBBO) framework that incorporates a smart initialization strategy and a localized penalty mechanism, guiding the search process toward high-yield regions while satisfying nominal performance constraints. Experimental validation on SRAM circuits and amplifiers reveals that CBBO achieves a computational speedup of 2.02×–4.63× over state-of-the-art (SOTA) methods, without compromising accuracy and robustness. Full article
(This article belongs to the Topic Advanced Integrated Circuit Design and Application)
Show Figures

Figure 1

25 pages, 1178 KB  
Article
Leveraging Machine Learning Classifiers in Transfer Learning for Few-Shot Modulation Recognition
by Song Li, Yong Wang, Jun Xiong and Xia Wang
Sensors 2026, 26(2), 674; https://doi.org/10.3390/s26020674 - 20 Jan 2026
Cited by 1 | Viewed by 287
Abstract
The rapid advancement of communication systems has heightened the demand for efficient and robust modulation recognition. Conventional deep learning-based methods, however, often struggle in practical few-shot scenarios where acquiring sufficient labeled training data is prohibitive. To bridge this gap, this paper proposes a [...] Read more.
The rapid advancement of communication systems has heightened the demand for efficient and robust modulation recognition. Conventional deep learning-based methods, however, often struggle in practical few-shot scenarios where acquiring sufficient labeled training data is prohibitive. To bridge this gap, this paper proposes a hybrid transfer learning (HTL) approach that synergistically combines the representation power of deep feature extraction with the flexibility and stability of traditional machine learning (ML) classifiers. The proposed method capitalizes on knowledge transferred from large-scale auxiliary datasets through pre-training, followed by few-shot adaptation using simple ML classifiers. Multiple classical ML classifiers are incorporated and evaluated within the HTL framework for few-shot modulation recognition (FSMR). Comprehensive experiments demonstrate that HTL consistently outperforms existing baseline methods in such data-scarce settings. Furthermore, a detailed analysis of several key parameters is conducted to assess their impact on performance and to inform deployment in practical environments. Notably, the results indicate that the K-nearest neighbor classifier, owing to its instance-based and non-parametric nature, delivers the most robust and generalizable performance within the HTL paradigm, offering a promising solution for reliable FSMR in real-world applications. Full article
(This article belongs to the Special Issue Sensors for Enabling Wireless Spectrum Access)
Show Figures

Figure 1

35 pages, 3598 KB  
Article
PlanetScope Imagery and Hybrid AI Framework for Freshwater Lake Phosphorus Monitoring and Water Quality Management
by Ying Deng, Daiwei Pan, Simon X. Yang and Bahram Gharabaghi
Water 2026, 18(2), 261; https://doi.org/10.3390/w18020261 - 19 Jan 2026
Viewed by 410
Abstract
Accurate estimation of Total Phosphorus, referred to as “Phosphorus, Total” (PPUT; µg/L) in the sourced monitoring data, is essential for understanding eutrophication dynamics and guiding water-quality management in inland lakes. However, lake-wide PPUT mapping at high resolution is challenging to achieve using conventional [...] Read more.
Accurate estimation of Total Phosphorus, referred to as “Phosphorus, Total” (PPUT; µg/L) in the sourced monitoring data, is essential for understanding eutrophication dynamics and guiding water-quality management in inland lakes. However, lake-wide PPUT mapping at high resolution is challenging to achieve using conventional in-situ sampling, and nearshore gradients are often poorly resolved by medium- or low-resolution satellite sensors. This study exploits multi-generation PlanetScope imagery (Dove Classic, Dove-R, and SuperDove; 3–5 m, near-daily revisit) to develop a hybrid AI framework for PPUT retrieval in Lake Simcoe, Ontario, Canada. PlanetScope surface reflectance, short-term meteorological descriptors (3 to 7-day aggregates of air temperature, wind speed, precipitation, and sea-level pressure), and in-situ Secchi depth (SSD) were used to train five ensemble-learning models (HistGradientBoosting, CatBoost, RandomForest, ExtraTrees, and GradientBoosting) across eight feature-group regimes that progressively extend from bands-only, to combinations with spectral indices and day-of-year (DOY), and finally to SSD-inclusive full-feature configurations. The inclusion of SSD led to a strong and systematic performance gain, with mean R2 increasing from about 0.67 (SSD-free) to 0.94 (SSD-aware), confirming that vertically integrated optical clarity is the dominant constraint on PPUT retrieval and cannot be reconstructed from surface reflectance alone. To enable scalable SSD-free monitoring, a knowledge-distillation strategy was implemented in which an SSD-aware teacher transfers its learned representation to a student using only satellite and meteorological inputs. The optimal student model, based on a compact subset of 40 predictors, achieved R2 = 0.83, RMSE = 9.82 µg/L, and MAE = 5.41 µg/L, retaining approximately 88% of the teacher’s explanatory power. Application of the student model to PlanetScope scenes from 2020 to 2025 produces meter-scale PPUT maps; a 26 July 2024 case study shows that >97% of the lake surface remains below 10 µg/L, while rare (<1%) but coherent hotspots above 20 µg/L align with tributary mouths and narrow channels. The results demonstrate that combining commercial high-resolution imagery with physics-informed feature engineering and knowledge transfer enables scalable and operationally relevant monitoring of lake phosphorus dynamics. These high-resolution PPUT maps enable lake managers to identify nearshore nutrient hotspots, tributary plume structures. In doing so, the proposed framework supports targeted field sampling, early warning for eutrophication events, and more robust, lake-wide nutrient budgeting. Full article
(This article belongs to the Section Water Quality and Contamination)
Show Figures

Figure 1

19 pages, 4076 KB  
Article
Enhancing Lecture Interactivity Through Virtual Reality
by Marián Matys, Martin Gašo, Tomáš Balala and Ľuboslav Dulina
Appl. Sci. 2026, 16(2), 711; https://doi.org/10.3390/app16020711 - 9 Jan 2026
Viewed by 303
Abstract
Although conventional lectures can provide a wide range of information to a large group of people, maintaining attention and ensuring knowledge transfer can be a challenge. Therefore, it is important to look for new, engaging, and effective approaches. This pilot feasibility study explores [...] Read more.
Although conventional lectures can provide a wide range of information to a large group of people, maintaining attention and ensuring knowledge transfer can be a challenge. Therefore, it is important to look for new, engaging, and effective approaches. This pilot feasibility study explores the effectiveness of virtual reality (VR) in increasing student engagement and knowledge transfer during lectures in the field of supply chain logistics and inventory selection systems. An educational VR game was developed through the systematic design of application logic, the creation of 3D assets, the construction of virtual scenes, and the implementation of gameplay. The application simulates three inventory picking methods: conventional selection, Pick by Light, and Pick by Vision systems. A total of 22 master’s students participated in the pilot study. They tested three different versions of the VR game, compared the time they needed to complete it, and participated in a guided discussion and questionnaire. The preliminary student reports indicated that students felt more engaged in the learning process and reported a perceived higher engagement with inventory picking systems compared to the traditional lecture format. On the other hand, participants mentioned concerns about nausea and the unavailability of VR headsets. The pilot results indicate that VR shows potential as an educational tool for teaching industrial logistics because it transforms the typical classroom environment into a more active and playful one, leading to a more natural understanding of the subject. Full article
(This article belongs to the Special Issue Advances in Virtual Reality Applications)
Show Figures

Figure 1

16 pages, 577 KB  
Article
Developing an AI Assistant for Knowledge Management and Workforce Training in State DOTs
by Divija Amaram, Lu Gao, Gowtham Reddy Gudla and Tejaswini Sanjay Katale
Electronics 2026, 15(1), 217; https://doi.org/10.3390/electronics15010217 - 2 Jan 2026
Viewed by 522
Abstract
Effective knowledge management is critical for preserving institutional expertise and improving the efficiency of workforce training in state transportation agencies. Traditional approaches, such as static documentation, classroom-based instruction, and informal mentorship, often lead to fragmented knowledge transfer, inefficiencies, and the gradual loss of [...] Read more.
Effective knowledge management is critical for preserving institutional expertise and improving the efficiency of workforce training in state transportation agencies. Traditional approaches, such as static documentation, classroom-based instruction, and informal mentorship, often lead to fragmented knowledge transfer, inefficiencies, and the gradual loss of expertise as senior engineers retire. Moreover, given the enormous volume of technical manuals, guidelines, and research reports maintained by these agencies, it is increasingly challenging for engineers to locate relevant information quickly and accurately when solving field problems or preparing for training tasks. These limitations hinder timely decision-making and create steep learning curves for new personnel in maintenance and construction operations. To address these challenges, this paper proposes a Retrieval-Augmented Generation (RAG) framework with a multi-agent architecture to support knowledge management and decision-making. The system integrates structured document retrieval with real-time, context-aware response generation powered by a large language model (LLM). Unlike conventional single-pass RAG systems, the proposed framework employs multiple specialized agents for retrieval, answer generation, evaluation, and query refinement, which enables iterative improvement and quality control. In addition, the system incorporates an open-weight vision-language model to convert technical figures into semantic textual representations, which allows figure-based knowledge to be indexed and retrieved alongside text. Retrieved text and figure-based context are then provided to an open-weight large language model, which generates the final responses grounded in the retrieved evidence. Moreover, a case study was conducted using over 500 technical and research documents from multiple State Departments of Transportation (DOTs) to assess system performance. The multi-agent RAG system was tested with 100 domain-specific queries covering pavement maintenance and management topics. The results demonstrated Recall@3 of 94.4%. These results demonstrate the effectiveness of the system in supporting document-based response generation for DOT knowledge management tasks. Full article
(This article belongs to the Special Issue Artificial Intelligence-Driven Emerging Applications)
Show Figures

Figure 1

23 pages, 1259 KB  
Article
Semantic Alignment and Knowledge Injection for Cross-Modal Reasoning in Intelligent Horticultural Decision Support Systems
by Yuhan Cao, Yawen Zhu, Hanwen Zhang, Yuxuan Jiang, Ke Chen, Haoran Tang, Zhewei Wang and Yihong Song
Horticulturae 2026, 12(1), 23; https://doi.org/10.3390/horticulturae12010023 - 25 Dec 2025
Viewed by 360
Abstract
This study was conducted to address the demand for interpretable intelligent recognition of fruit tree diseases in smart horticultural environments. A KAD-Former framework integrating an agricultural knowledge graph with a visual Transformer was proposed and systematically validated through extensive cross-regional, multi-variety, and multi-disease [...] Read more.
This study was conducted to address the demand for interpretable intelligent recognition of fruit tree diseases in smart horticultural environments. A KAD-Former framework integrating an agricultural knowledge graph with a visual Transformer was proposed and systematically validated through extensive cross-regional, multi-variety, and multi-disease experiments. The primary objective of this work was to overcome the limitations of conventional deep models, including insufficient interpretability, unstable recognition of weak disease features, and poor cross-regional generalization. In the experimental evaluation, the model achieved significant advantages across multiple representative tasks: in the overall performance comparison, KAD-Former reached an accuracy of 0.946, an F1-score of 0.933, and a mAP of 0.938, outperforming classical models such as ResNet50, EfficientNet, and Swin-T. In the cross-regional generalization assessment, a DGS of 0.933 was obtained, notably surpassing competing models. In terms of explainability consistency, a Consistency@5 score of 0.826 indicated strong alignment between the model’s attention regions and expert annotations. The ablation experiments further demonstrated that the three core modules—AKG (agricultural knowledge graph), SAM (semantic alignment module), and KGA (knowledge-guided attention)—each contributed substantially to final performance, with the complete model exhibiting the best results. These findings collectively demonstrate the comprehensive advantages of KAD-Former in disease classification, symptom localization, model interpretability, and cross-domain transfer. The proposed method not only achieved state-of-the-art performance in pure visual tasks but also advanced knowledge-enhanced and interpretable reasoning by emulating the diagnostic logic employed by agricultural experts in real orchard scenarios. Through the integration of the agricultural knowledge graph, semantic alignment, and knowledge-guided attention, the model maintained stable performance under challenging conditions such as complex illumination, background noise, and weak lesion features, while exhibiting strong robustness in cross-region and cross-variety transfer tests. Furthermore, the experimental results indicated that the approach enhanced fine-grained recognition capabilities for various fruit tree diseases, including apple ring rot, brown spot, powdery mildew, and downy mildew. Full article
(This article belongs to the Special Issue Artificial Intelligence in Horticulture Production)
Show Figures

Figure 1

24 pages, 7857 KB  
Article
MTFM: Multi-Teacher Feature Matching for Cross-Dataset and Cross-Architecture Adversarial Robustness Transfer in Remote Sensing Applications
by Ravi Kumar Rogannagari and Kazi Aminul Islam
Remote Sens. 2026, 18(1), 8; https://doi.org/10.3390/rs18010008 - 19 Dec 2025
Viewed by 563
Abstract
Remote sensing plays a critical role in environmental monitoring, land use analysis, and disaster response by enabling large-scale, data-driven observation of Earth’s surface. Image classification models are central to interpreting remote sensing data, yet they remain vulnerable to adversarial attacks that can mislead [...] Read more.
Remote sensing plays a critical role in environmental monitoring, land use analysis, and disaster response by enabling large-scale, data-driven observation of Earth’s surface. Image classification models are central to interpreting remote sensing data, yet they remain vulnerable to adversarial attacks that can mislead predictions and compromise reliability. While adversarial training improves robustness, the challenge of transferring this robustness across models and domains remains underexplored. This study investigates robustness transfer as a defense strategy, aiming to enhance the resilience of remote sensing classifiers against adversarial patch attacks. We propose a novel Multi-Teacher Feature Matching (MTFM) framework to align feature spaces between clean and adversarially robust teacher models and the student model, aiming to achieve an optimal trade-off between accuracy and robustness against adversarial patch attacks. The proposed method consistently outperforms traditional standard models and matches—or in some cases, surpasses—conventional defense strategies across diverse datasets and architectures. The MTFM approach also supersedes the self-attention module-based adversarial robustness transfer. Importantly, it achieves these gains with less training effort compared to traditional adversarial defenses. These results highlight the potential of robustness-aware knowledge transfer as a scalable and efficient solution for building resilient geospatial AI systems. Full article
Show Figures

Figure 1

Back to TopTop