Sign in to use this feature.

Years

Between: -

Subjects

remove_circle_outline
remove_circle_outline
remove_circle_outline
remove_circle_outline
remove_circle_outline
remove_circle_outline
remove_circle_outline
remove_circle_outline
remove_circle_outline

Journals

remove_circle_outline
remove_circle_outline
remove_circle_outline
remove_circle_outline
remove_circle_outline
remove_circle_outline
remove_circle_outline
remove_circle_outline
remove_circle_outline
remove_circle_outline
remove_circle_outline
remove_circle_outline
remove_circle_outline

Article Types

Countries / Regions

remove_circle_outline
remove_circle_outline
remove_circle_outline
remove_circle_outline
remove_circle_outline

Search Results (690)

Search Parameters:
Keywords = constructive explanation

Order results
Result details
Results per page
Select all
Export citation of selected articles as:
24 pages, 365 KB  
Review
Callous–Unemotional Traits and Their Association with Neurodevelopmental Disorders: Insights from Gaze Behaviour During Emotion Recognition
by Astrid Priscilla Martinez-Cedillo, Christian A. Delaflor Wagner, Lilia Albores-Gallo and Tom Foulsham
Children 2026, 13(2), 303; https://doi.org/10.3390/children13020303 (registering DOI) - 22 Feb 2026
Abstract
Callous–unemotional (CU) traits are characterised by reduced empathy, guilt, and emotional responsiveness, and are strongly linked to atypical socioemotional processing. Eye-tracking research provides a valuable window into these processes by capturing early developing patterns of attention to emotionally salient social cues, particularly facial [...] Read more.
Callous–unemotional (CU) traits are characterised by reduced empathy, guilt, and emotional responsiveness, and are strongly linked to atypical socioemotional processing. Eye-tracking research provides a valuable window into these processes by capturing early developing patterns of attention to emotionally salient social cues, particularly facial expressions. This narrative review examines how alterations in gaze behaviour contribute to the emergence of CU traits across neurodevelopmental disorders (NDs), with a focus on autism spectrum disorder (ASD), attention-deficit/hyperactivity disorder (ADHD), and conduct disorder (CD). Across studies, elevated CU traits are associated with reduced fixations on the eye region, most consistently in response to fearful faces. ASD is associated with robust eye avoidance, ADHD with inhibitory and attentional control difficulties during face processing, and CD with atypical gaze allocation to negative emotional expressions such as fear and anger. These patterns appear amplified when CU traits co-occur with NDs. Competing explanatory accounts, including aberrant amygdala functioning, oculomotor disinhibition, and hostile attribution biases, each capture aspects of these patterns but fail to provide a unified explanation. Integrating developmental, neurobiological, and environmental perspectives, we propose that CU traits reflect a transdiagnostic developmental construct shaped by early attentional–emotional mechanisms, rather than a disorder-specific identity. Full article
(This article belongs to the Section Pediatric Mental Health)
15 pages, 2313 KB  
Article
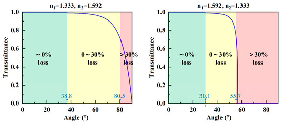
The Phenomenon of Focal Shift Induced by Interface Reflection Loss in Microsphere-Assisted Imaging
by Heying Zhang, Cong Zhai, Heming Jia, Yuzhen Guo, Bin Yao, Menghui Xiang, Danfeng Cui, Yongqiu Zheng, Yonghua Wang and Chenyang Xue
Photonics 2026, 13(2), 204; https://doi.org/10.3390/photonics13020204 - 19 Feb 2026
Viewed by 116
Abstract
Microsphere-assisted super-resolution imaging technology, due to its ability to break through the diffraction limit, has become a powerful tool for achieving optical observations at the micro-nano scale. However, there remains a significant discrepancy between the simulation results of microsphere focusing behavior and experimental [...] Read more.
Microsphere-assisted super-resolution imaging technology, due to its ability to break through the diffraction limit, has become a powerful tool for achieving optical observations at the micro-nano scale. However, there remains a significant discrepancy between the simulation results of microsphere focusing behavior and experimental observations in existing studies, necessitating a more precise physical explanation. This study proposes that the interface reflection characteristics are a key factor influencing the focusing behavior of microspheres. We constructed a numerical simulation model based on ray optics theory using MATLAB, explicitly considering the reflection and transmission of light at the microsphere-medium boundary, and systematically analyzed the imaging process and focal position of the microsphere. Experimental results demonstrate that after accounting for energy loss due to reflection, the focal position obtained from the simulation calculations shows a high degree of consistency with the experimental results. The average deviation of our model from experimental results is reduced by 76% compared to conventional paraxial theory and by 86% compared to Finite-Difference Time-Domain (FDTD) simulations. Additionally, the findings validate the reliability of determining microsphere focusing theory using irradiance. Full article
Show Figures

Figure 1

34 pages, 13632 KB  
Article
Spatiotemporal Evolution of Vegetation Cover and Identification of Driving Factors Based on kNDVI and XGBoost-SHAP: A Study from Qinghai Province, China
by Hongkui Yang, Yousan Li, Lele Zhang, Xufeng Mao, Xiaoyang Liu, Mingxin Yang, Zhide Chang, Jin Deng and Rong Yang
Land 2026, 15(2), 338; https://doi.org/10.3390/land15020338 - 16 Feb 2026
Viewed by 149
Abstract
Vegetation cover characteristics underpin the understanding of regional ecosystem status and guide sustainable development. While extensive research has documented long-term vegetation dynamics in Qinghai Province, critical gaps remain in identifying driving factors, quantifying their thresholds, and uncovering nonlinear relationships governing vegetation cover. In [...] Read more.
Vegetation cover characteristics underpin the understanding of regional ecosystem status and guide sustainable development. While extensive research has documented long-term vegetation dynamics in Qinghai Province, critical gaps remain in identifying driving factors, quantifying their thresholds, and uncovering nonlinear relationships governing vegetation cover. In view of this, based on the MOD13Q1V6 dataset from the Google Earth Engine (GEE) platform, this study constructed a kernel normalized difference vegetation index (kNDVI) dataset for Qinghai Province spanning the period 2001–2023. Furthermore, the spatiotemporal characteristics and future evolution trends of vegetation cover were revealed by employing methods including the Theil–Sen–Mann–Kendall (Theil–Sen–MK) trend test, Hurst exponent, and centroid migration model. At a grid scale of 5 km × 5 km, based on the combined model of Extreme Gradient Boosting and SHapley Additive exPlanations (XGBoost-SHAP), this study integrated 10 multi-source remote sensing variables related to natural conditions, socioeconomic factors, and geographical accessibility to reveal the nonlinear effects between driving factors and kNDVI and identify the key threshold inflection points. The results showed the following: (1) From 2001 to 2023, the kNDVI of Qinghai Province exhibited a fluctuating growth trend with an annual growth rate of 0.0016 per year, presenting a spatial pattern of being higher in the southeast and lower in the northwest. Specifically, the kNDVI of unused land achieved the highest growth rate (65.96%), which was significantly higher than that of other land use types. (2) The kNDVI in Qinghai Province was dominated by stable areas, accounting for 52.75%. Future trend analysis indicated that the region was primarily characterized by sustainable improvement zones (39.91%), while areas with uncertain future trends accounted for 39.70%. (3) The XGBoost-SHAP model revealed that the annual mean precipitation (AMP) (47.26%) and Digital Elevation Model (DEM) (20.40%) exerted substantial impacts on the kNDVI. Marginal effect curves identified distinct threshold inflection points for the major characteristic factors: AMP = 363.2 mm (95%CI: 361.2–365.2 mm), DEM = 4463.9 m (95%CI: 4446.0–4481.1 m), grazing intensity = 1.8 SU (Stocking Unit)·ha−1 (95%CI: 1.8–1.9 SU·ha−1), and slope = 2.8° (95%CI: 2.7–3.0°) and 19.0° (95%CI: 18.8–19.3°). The interaction combinations of AMP × DEM and DEM × distance to construction land exerted a strong positive effect on the kNDVI in the study area, which was conducive to enhancing vegetation cover. These findings verified the effectiveness of ecological projects implemented in Qinghai Province to a certain extent and provided data support for subsequent differentiated restoration and management. Full article
(This article belongs to the Section Land – Observation and Monitoring)
Show Figures

Figure 1

26 pages, 1916 KB  
Article
A Temporally Dynamic Feature-Extraction Framework for Phishing Detection with LIME and SHAP Explanations
by Chris Mayo, Michael Tchuindjang, Sarfraz Brohi and Nikolaos Ersotelos
Future Internet 2026, 18(2), 101; https://doi.org/10.3390/fi18020101 - 14 Feb 2026
Viewed by 216
Abstract
Phishing remains one of the most pervasive social engineering threats, exploiting human vulnerabilities and continuously evolving to bypass static detection mechanisms. Existing machine learning models achieve high accuracy but often act as opaque systems that lack robustness to evolving tactics and explainability, limiting [...] Read more.
Phishing remains one of the most pervasive social engineering threats, exploiting human vulnerabilities and continuously evolving to bypass static detection mechanisms. Existing machine learning models achieve high accuracy but often act as opaque systems that lack robustness to evolving tactics and explainability, limiting trust and real-world deployment. In this research, we propose a dynamic Explainable AI (XAI) approach for phishing detection that integrates temporally aware feature extraction with dual interpretability through LIME and SHAP applied to the resulting window-level features. The novelty of this research lies in a temporally dynamic feature framework that simulates a plausible email reading progression using a heuristic temporal model and employs a sliding window aggregation method to capture behavioural and temporal patterns within email content. Using an aggregated dataset of 82,500 phishing and legitimate emails, dynamic features were extracted and used to train four classifiers: Random Forest, XGBoost, Multi-Layer Perceptron, and Logistic Regression. Ensemble models demonstrated strong performance with XGBoost achieving 94% accuracy and Random Forest 93%. This research addresses an important gap by combining dynamically constructed temporal features with transparent explanations, achieving high detection performance while preserving interpretability. These findings demonstrate that dynamic temporal modelling with explainable learning can enhance the trustworthiness and practicality of phishing detection systems, highlighting that temporally structured features and explainable learning can enhance the trustworthiness and practical deployability of phishing detection systems without incurring excessive computational overhead. Full article
29 pages, 123573 KB  
Article
Dynamic Landslide Susceptibility Assessment Integrating SBAS-InSAR and Interpretable Machine Learning: A Case Study of the Baihetan Reservoir Area, Southwest China
by Hongfei Wang, Chuhan Deng, Ziyou Zhang, Zhekai Jiang, Qi Wei, Weijie Yi, Tao Chen and Junwei Ma
Remote Sens. 2026, 18(4), 578; https://doi.org/10.3390/rs18040578 - 12 Feb 2026
Viewed by 162
Abstract
Landslide susceptibility mapping (LSM) is a fundamental approach for identifying and predicting areas prone to slope failure. However, most conventional LSM methods are based on time-invariant conditioning factors or long-term-averaged predictors and seldom incorporate slope-kinematic information from deformation observations, thereby limiting their ability [...] Read more.
Landslide susceptibility mapping (LSM) is a fundamental approach for identifying and predicting areas prone to slope failure. However, most conventional LSM methods are based on time-invariant conditioning factors or long-term-averaged predictors and seldom incorporate slope-kinematic information from deformation observations, thereby limiting their ability to capture evolving slope instability. Moreover, the black-box nature of many models limits interpretability and confidence in their predictions. In this study, we integrate small baseline subset interferometric synthetic aperture radar (SBAS-InSAR) with interpretable machine learning (ML) methods to develop a dynamic LSM framework that improves the accuracy and reliability of susceptibility assessment. First, static LSM was performed using ML algorithms, and SHapley Additive exPlanations (SHAP) was used to quantify and visualize feature importance. Subsequently, SBAS-InSAR was applied to retrieve surface deformation rates. Finally, a dynamic LSM matrix was constructed to integrate InSAR-derived deformation with static susceptibility classes, producing time-varying landslide susceptibility maps. Application of the framework in the Baihetan Reservoir area, Southwest China, demonstrates its practical value. During the static LSM phase, the extreme gradient boosting (XGBoost) model achieved strong predictive performance (the area under the receiver operating characteristic curve (AUC) = 0.8864; accuracy = 0.8315; precision = 0.8947), outperforming the alternative models. SHAP analysis indicates that elevation and distance to rivers are the primary controls on landslide occurrence. Incorporating SBAS-InSAR deformation data into the dynamic LSM matrix effectively captures the spatiotemporal evolution of slope instability. Susceptibility upgrades are observed for multiple inventoried landslides, and the actively deforming Xiaomidi and Gantianba landslides are presented as representative case studies, further supported by multisource observations from satellite imagery, unmanned aerial vehicle (UAV) surveys, and ground-based global navigation satellite system (GNSS) monitoring. Consequently, the proposed dynamic LSM framework overcomes limitations of static approaches by integrating deformation information and enhancing interpretability through explainable artificial intelligence. Full article
Show Figures

Figure 1

42 pages, 10041 KB  
Article
Probabilistic Prediction of Concrete Compressive Strength Using Copula Functions: A Novel Framework for Uncertainty Quantification
by Cheng Zhang, Senhao Cheng, Shanshan Tao, Shuai Du and Zhengjun Wang
Buildings 2026, 16(4), 754; https://doi.org/10.3390/buildings16040754 - 12 Feb 2026
Viewed by 150
Abstract
Traditional machine learning models for concrete compressive strength prediction provide only single-value estimates without quantifying the probability of meeting design requirements, leaving engineers unable to make risk-informed decisions. This study addresses this critical limitation by developing a novel probabilistic prediction framework that integrates [...] Read more.
Traditional machine learning models for concrete compressive strength prediction provide only single-value estimates without quantifying the probability of meeting design requirements, leaving engineers unable to make risk-informed decisions. This study addresses this critical limitation by developing a novel probabilistic prediction framework that integrates explainable machine learning with Copula-based joint distribution modeling. Using a dataset of 1030 concrete samples with curing ages ranging from 1 to 365 days, we first established an XGBoost 2.1.4 prediction model achieving R2 = 0.9211 (RMSE = 4.51 MPa) on the test set. SHAP 0.49.1 (SHapley Additive exPlanations) analysis identified curing age (33.3%) and water–cement ratio (28.8%) as the dominant features, together accounting for 62.1% of predictive importance. These two controllable engineering parameters were then selected as core variables for probabilistic modeling. The key innovation lies in integrating Copula-based dependence modeling with explainable machine learning (XGBoost–SHAP) to quantify the compliance probability of concrete strength under specific mix designs and curing conditions, thereby supporting risk-informed quality control decisions. Through systematic comparison of five Copula families (Gaussian, Student t, Clayton, Gumbel, and Frank), we identified optimal dependence structures: Gaussian Copula (ρ = −0.54) for the water–cement ratio–strength relationship and Clayton Copula for the age–strength relationship, revealing asymmetric tail dependence patterns invisible to conventional correlation analysis. The three-dimensional Copula model enables engineers to estimate compliance probability—the likelihood of concrete achieving target strength under specific mix designs and curing conditions. We propose an illustrative three-tier decision rule for construction quality management based on the compliance probability P: P ≥ 0.95 (high-confidence approval), 0.80 ≤ P < 0.95 (warning zone requiring enhanced monitoring), and P < 0.80 (high risk suggesting corrective actions such as mix adjustment or extended curing), noting that these thresholds can be recalibrated to project-specific risk tolerance and local specifications. This framework supports a paradigm shift from reactive “mix-then-test” quality control to proactive “predict-then-decide” construction management, providing quantitative risk assessment tools previously unavailable in deterministic prediction approaches. Full article
Show Figures

Figure 1

24 pages, 14077 KB  
Article
Efficient and Interpretable Machine Learning for Student Academic Outcome Prediction
by Hongwen Gu and Yuqi Zhang
Mathematics 2026, 14(4), 626; https://doi.org/10.3390/math14040626 - 11 Feb 2026
Viewed by 216
Abstract
Understanding and preventing student dropout presents a decision-critical modeling problem involving heterogeneous variables, nonlinear relationships, and the need for transparent inference. This study addresses the prediction of undergraduate academic outcomes, including Graduation, Enrolled, and Dropout, by proposing a efficientand interpretable machine learning framework [...] Read more.
Understanding and preventing student dropout presents a decision-critical modeling problem involving heterogeneous variables, nonlinear relationships, and the need for transparent inference. This study addresses the prediction of undergraduate academic outcomes, including Graduation, Enrolled, and Dropout, by proposing a efficientand interpretable machine learning framework that explicitly balances predictive performance, feature efficiency, and algorithmic explainability. The empirical analysis relies on a dataset of 4424 student records across 17 undergraduate programs from the Polytechnic Institute of Portalegre, Portugal. In contrast to existing approaches that rely on high-dimensional input spaces and opaque predictive architectures, we develop a reduced-dimensional classification pipeline based on recursive feature elimination with Gradient Boosting and Random Forest models. Starting from a comprehensive set of demographic, academic, and financial indicators, only 20 informative predictors are retained for model construction, substantially reducing input complexity while preserving predictive capacity. Comparative evaluation across multiple learning algorithms identifies Gradient Boosting as the most effective model, achieving an AUC of 0.891. Beyond predictive accuracy, the proposed framework emphasizes model interpretability through the integration of SHapley Additive exPlanations (SHAP), enabling quantitative attribution of feature contributions at both global and instance levels. The analysis reveals that second-semester academic engagement variables—including the number of courses approved, evaluated, and enrolled—as well as tuition fee payment status and age at enrollment, are the dominant factors shaping student outcomes. Overall, the results demonstrate that strong classification performance can be achieved using a compact feature set while maintaining transparent and explainable model behavior. By combining mathematically grounded feature selection with principled model explanation, this study advances methodological understanding of how efficiency, interpretability, and predictive accuracy can be jointly optimized in applied machine learning, with implications for decision-support systems in educational analytics. Full article
(This article belongs to the Special Issue Applied Mathematics, Computing, and Machine Learning)
Show Figures

Figure 1

14 pages, 3371 KB  
Article
Machine Learning Modeling for Codonopsis Radix Quality Assessment Integrating Efficacy, Chemical Composition, and Macroscopic Traits
by Xingyu Guo, Ziyue Song, Yunqi Sun, Chi Wang, Ruiqi Yang and Yonghong Yan
Foods 2026, 15(4), 651; https://doi.org/10.3390/foods15040651 - 11 Feb 2026
Viewed by 118
Abstract
This study aimed to develop an intelligent quality assessment system for Codonopsis Radix based on machine learning modeling. First, Codonopsis Radix samples from six origins were grouped based on pharmacological and chemical indicators, integrating pharmacodynamic evaluations using impaired spleen and lung function animal [...] Read more.
This study aimed to develop an intelligent quality assessment system for Codonopsis Radix based on machine learning modeling. First, Codonopsis Radix samples from six origins were grouped based on pharmacological and chemical indicators, integrating pharmacodynamic evaluations using impaired spleen and lung function animal models with compositional analysis of the alcohol-soluble extract and polysaccharide contents. Subsequently, an electronic nose was employed to objectively quantify their odor profiles. A machine learning-based modeling framework was constructed by integrating feature extraction, feature selection, and pattern recognition techniques. The classification model built by combining electronic nose data with machine learning algorithms demonstrated highly effective discriminatory capability in cross-validation. SHapley Additive exPlanations analysis identified sensors S8, S15, S16, and S18 as critical variables for classification. Concurrently, regression models were established to predict the alcohol-soluble extract and polysaccharide contents. Given the limited sample size, feature expansion and data augmentation strategies were applied exclusively to the training set to enhance model robustness. In summary, the proposed interpretable modeling approach, which integrates pharmacological efficacy, chemical composition, and electronic nose data, provides a referential technical pathway for similar studies. Full article
Show Figures

Graphical abstract

20 pages, 3520 KB  
Article
Development and Interpretability Analysis of Near-Infrared Spectroscopy Models for Fat and Protein Prediction in Foxtail Millet [Setaria italica (L.) Beauv.]
by Anqi Gao, Erhu Guo, Bin Wang, Dongxu Zhang, Kai Cheng, Xiaofu Wang, Aiying Zhang and Guoliang Wang
Foods 2026, 15(4), 649; https://doi.org/10.3390/foods15040649 - 11 Feb 2026
Viewed by 149
Abstract
Foxtail millet is a nutritionally important cereal whose fat and protein content directly influence its nutritional quality and processing properties. To overcome the limitations of traditional detection methods, developing rapid, non-destructive, and interpretable models is essential. A total of 214 samples of the [...] Read more.
Foxtail millet is a nutritionally important cereal whose fat and protein content directly influence its nutritional quality and processing properties. To overcome the limitations of traditional detection methods, developing rapid, non-destructive, and interpretable models is essential. A total of 214 samples of the foxtail millet cultivar “Changnong No. 47” were used in this study. The Sparrow Search Algorithm was introduced to screen stable key wavelengths by statistically analyzing their selection frequency. Based on the selected wavelengths, quantitative models were constructed using Partial Least Squares Regression (PLS), Random Forest (RF), and Support Vector Machine. The SHapley Additive exPlanations method was employed to quantify the direction and magnitude of contributions of the key wavelengths within the model. Results show the selection of 13 key wavelengths for fat and 15 for protein. The RF model delivered the best prediction for fat content (RP2 = 0.797, RMSEP = 0.218%, RPDP = 2.219), while the PLS model performed best for protein content (RP2 = 0.695, RMSEP = 0.268%, RPDP = 1.811). The methodology established in this study can not only be applied to the rapid quality assessment of millet but also be extended to analyze the nutritional components of other grains. Full article
Show Figures

Figure 1

18 pages, 8050 KB  
Article
Machine Learning-Based Analysis of Arsenic Migration from Soil to Highland Barley in High Geological Background Areas
by Jiahui Zuo, Chuangchuang Zhang, Xuefeng Liang, Yanming Cai, Ye Li, Yandi Hu and Yujie Zhao
Sustainability 2026, 18(4), 1782; https://doi.org/10.3390/su18041782 - 10 Feb 2026
Viewed by 118
Abstract
To investigate the effect of high-arsenic (As) soil on the absorption of As by highland barley, 135 pairs of soil–crop samples were collected in the main producing areas of highland barley in the middle reaches of the Yarlung Zangbo River. Eight soil variables, [...] Read more.
To investigate the effect of high-arsenic (As) soil on the absorption of As by highland barley, 135 pairs of soil–crop samples were collected in the main producing areas of highland barley in the middle reaches of the Yarlung Zangbo River. Eight soil variables, including pH, redox potential (Eh), soil organic matter (SOM), total arsenic (T-As), total iron (T-Fe), total manganese (T-Mn), chemically extractable As (KH2PO4-As), and bioavailable As determined by diffusive gradients in thin films (DGT-As), were measured, along with As concentrations in barley grains (HB-As). Machine learning approaches were employed to construct predictive models for HB-As accumulation, and feature influence mechanisms were interpreted using SHapley Additive exPlanations (SHAP) and Partial Dependence Plot (PDP) analyses. The results showed that: (1) among models constructed using the full feature set, the random forest (RF) model exhibited the best predictive performance for HB-As, with R2 values of 0.756 and 0.651 for the training and testing datasets, respectively; (2) SHAP analysis indicated that DGT-As had the greatest contribution to the model (30.5%), followed by T-As and T-Fe/Mn; and (3) significant interaction effects among soil variables jointly influenced HB-As accumulation. This study provides scientific support for agricultural product safety, soil security, and sustainable land use in plateau agroecosystems. Full article
(This article belongs to the Section Soil Conservation and Sustainability)
Show Figures

Figure 1

25 pages, 4978 KB  
Article
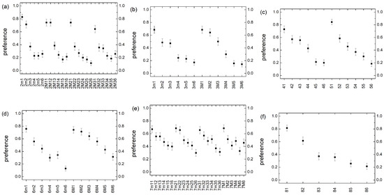
Psychoacoustic Study of Simple-Tone Dyads: Frequency Ratio and Pitch
by Stefania Kaklamani and Constantinos Simserides
Acoustics 2026, 8(1), 14; https://doi.org/10.3390/acoustics8010014 - 9 Feb 2026
Viewed by 405
Abstract
This study investigates how listeners perceive consonance and dissonance in dyads composed of simple (sine) tones, focusing on the effects of frequency ratio (R) and mean frequency (F). Seventy adult participants—categorized by musical training, gender, and age group—rated randomly [...] Read more.
This study investigates how listeners perceive consonance and dissonance in dyads composed of simple (sine) tones, focusing on the effects of frequency ratio (R) and mean frequency (F). Seventy adult participants—categorized by musical training, gender, and age group—rated randomly ordered dyads using binary preference responses (“like” or “dislike”). Dyads represented standard Western intervals but were constructed with sine tones rather than musical notes, preserving interval ratios while varying absolute pitch. Statistical analyses reveal a consistent decrease in preference with increasing mean frequency, regardless of interval class or participant group. Octaves, fifths, fourths, and sixths showed a nearly linear decline in preference with increasing F. Major seconds were among the least preferred. Musicians rated octaves and certain consonant intervals more positively than non-musicians, while gender and age groups exhibited different sensitivity to high frequencies. The findings suggest that both interval structure and pitch range shape the perception of consonance in simple-tone dyads, with possible psychoacoustic explanations involving frequency sensitivity and auditory fatigue at higher frequencies. Full article
Show Figures

Figure 1

19 pages, 6934 KB  
Article
Machine Learning-Based Automatic Control of Shield Tunneling Attitude in Karst Strata
by Liang Li, Changming Hu, Jianbo Tang, Zhipeng Wu and Peng Zhang
Buildings 2026, 16(4), 701; https://doi.org/10.3390/buildings16040701 - 8 Feb 2026
Viewed by 225
Abstract
Accurate prediction and optimized control of shield tunneling attitude are critical for ensuring tunneling quality and construction safety. In karst and other highly heterogeneous strata, complex geological conditions and construction parameters exhibit significant nonlinear coupling, greatly increasing the difficulty of attitude regulation. To [...] Read more.
Accurate prediction and optimized control of shield tunneling attitude are critical for ensuring tunneling quality and construction safety. In karst and other highly heterogeneous strata, complex geological conditions and construction parameters exhibit significant nonlinear coupling, greatly increasing the difficulty of attitude regulation. To address this challenge, this study proposes a machine learning-based approach for the automatic control of shield tunneling attitude. First, a Tree-structured Parzen Estimator-optimized Light Gradient Boosting Machine predictive model is employed to construct a nonlinear mapping model between construction parameters and shield tunneling attitude. Subsequently, the SHapley Additive exPlanations (SHAP) interpretability model is introduced to identify the core tunneling factors influencing attitude stability. On this basis, the developed predictive model is integrated into the multi-objective evolutionary algorithm based on decomposition (MOEA/D) framework as a fitness function to achieve multi-objective optimization of key construction parameters. Using field data from shield tunneling construction in the karst strata of Shenzhen Metro Line 16, the proposed model achieved prediction accuracies of R2 = 0.959 for pitch and R2 = 0.936 for roll, outperforming XGBoost, Random Forest, Long Short-Term Memory, and Transformer baselines. SHAP analysis identified the partitioned propulsion thrust, partitioned chamber pressure, cutterhead rotational speed, and advance rate as key parameters influencing attitude. Further, MOEA/D optimization generated a Pareto set of construction parameters, from which the optimal solution was selected using the ideal point method, resulting in reductions of 26.45% and 39.47% in pitch and roll deviations, respectively. These findings demonstrate the feasibility and effectiveness of the proposed method in achieving high-precision prediction and intelligent optimization control of shield tunneling attitude under complex geological conditions, providing a reliable technical pathway for metro and tunnel construction projects. Full article
Show Figures

Figure 1

18 pages, 429 KB  
Article
Trout Farming Productivity After the 2023 Earthquake in Eastern Türkiye: A DEA–Malmquist Analysis (2023–2025)
by Emine Özpolat and Osman Uysal
Fishes 2026, 11(2), 93; https://doi.org/10.3390/fishes11020093 - 4 Feb 2026
Viewed by 190
Abstract
Extreme natural disasters raise a fundamental question for biologically rigid food production systems: does post-disaster productivity recovery stem from technological change or from adaptive reorganization within existing constraints? In inland aquaculture, where biological processes, fixed production cycles, and capital requirements severely limit short-run [...] Read more.
Extreme natural disasters raise a fundamental question for biologically rigid food production systems: does post-disaster productivity recovery stem from technological change or from adaptive reorganization within existing constraints? In inland aquaculture, where biological processes, fixed production cycles, and capital requirements severely limit short-run technological upgrading, this distinction is particularly critical. Using two post-earthquake time points (2023 and 2025), the analysis documents productivity and efficiency patterns rather than causal recovery trajectories. Accordingly, the analysis is explicitly descriptive and does not attempt to identify causal recovery mechanisms or long-run productivity dynamics. Adaptive efficiency is not directly measured in this study; rather, the term is used as an interpretative construct to describe efficiency changes that are consistent with adaptive behavior under post-disaster constraints. This study examines productivity patterns observed during the post-earthquake period in inland trout aquaculture following the 6 February 2023 earthquake in Eastern Türkiye, with a particular focus on adaptive efficiency as a recovery-consistent mechanism. Using a balanced panel of 290 inland trout farms observed during the immediate post-earthquake adjustment period (2023) and a subsequent recovery phase (2025), the analysis integrates bias-corrected Data Envelopment Analysis, Malmquist productivity decomposition, and resilience-oriented truncated regression. Recovery dynamics are examined conditional on farm survival, allowing within-farm adaptive adjustment to be distinguished from exit-driven selection effects. The results indicate that productivity recovery was driven predominantly by improvements in technical efficiency, while technological change remained close to unity across provinces, suggesting short-run production frontier stability. This pattern is consistent with delayed or constrained investment behavior under heightened uncertainty rather than with technological stagnation. This interpretation is not unique and should be read as one plausible mechanism among several, rather than as a definitive explanation of observed frontier stability. Farms primarily restored performance through operational reorganization, input coordination, and scale adjustment within existing biological and technological constraints, rather than through innovation. Second-stage results further show that the coefficient on access to liquidity is positive, while higher mortality rates and greater distance to markets are systematically associated with weaker post-disaster adjustment. Overall, the findings indicate that short- to medium-term productivity patterns in biologically rigid inland aquaculture systems are governed primarily by efficiency changes consistent with adaptive efficiency rather than technological change. From a policy perspective, post-disaster aquaculture recovery strategies should prioritize liquidity support, biological continuity, and operational stability over premature technology-push interventions. The analysis is based on two post-disaster observation points (2023 and 2025), which allows identification of short- to medium-term recovery-consistent patterns but does not permit causal or long-run inference. Full article
(This article belongs to the Special Issue Sustainable Fisheries Dynamics)
Show Figures

Graphical abstract

26 pages, 609 KB  
Review
Generative Behavioral Explanation in Micro-Foundational HRM: A Functional Architecture for the Safety–CLB Recursive Mechanism
by Manabu Fujimoto
Adm. Sci. 2026, 16(2), 77; https://doi.org/10.3390/admsci16020077 - 4 Feb 2026
Viewed by 199
Abstract
Micro-foundational HRM has advanced our understanding of how employees perceive and respond to HR practices, yet explanations of how HR systems can generate and sustain coordinated action in day-to-day work remain underspecified. This article presents a theory-building integrative review that specifies a constrained, [...] Read more.
Micro-foundational HRM has advanced our understanding of how employees perceive and respond to HR practices, yet explanations of how HR systems can generate and sustain coordinated action in day-to-day work remain underspecified. This article presents a theory-building integrative review that specifies a constrained, generative mechanism grounded in observable interaction episodes. We propose a functional architecture that assigns constructs to distinct explanatory roles: enabling states (Role A), interaction episodes as the behavioral engine (Role B), and emergent coordination products (Role C). Psychological safety is positioned as an enabling condition that shifts the likelihood and quality of enactment, whereas collective leadership behavior (CLB) is defined as response-inclusive influence episodes (an influence attempt plus an observable response such as uptake, contestation, neglect, or sanction). We formalize a recursive safety–CLB cycle in which response patterns update subsequent safety and influence dispersion over time, which can yield divergent coordination trajectories even when HR conditions are broadly similar. The framework generates discriminant predictions about response profiles, dispersion versus centralization of influence, and temporal signatures, and it clarifies minimal design requirements for testing recursion with episode-level and intensive longitudinal evidence. We discuss implications for micro-foundational HRM, measurement alignment, and testable design-relevant implications for HR system design as an interaction-relevant cue environment. Full article
Show Figures

Figure 1

21 pages, 4512 KB  
Article
Interpretability Evaluation Method for Driving Stability on Curved Road Sections with Trajectory Uncertainty
by Xiaoyang Li, Tao Chen, Lebin Zhao, Yang Luo, Pengfei Zhang and Meng Wang
Vehicles 2026, 8(2), 25; https://doi.org/10.3390/vehicles8020025 - 1 Feb 2026
Viewed by 214
Abstract
This study was conducted in order to enrich the safety evaluation system of vehicles on complex road sections and provide quantitative support for speed control and driving decision-making. To address the driving stability issue caused by trajectory uncertainty on curved roads, we analyzed [...] Read more.
This study was conducted in order to enrich the safety evaluation system of vehicles on complex road sections and provide quantitative support for speed control and driving decision-making. To address the driving stability issue caused by trajectory uncertainty on curved roads, we analyzed lane-changing stability and found that trajectory variations induce a step change in centrifugal force, aggravating lateral instability. Secondly, we developed a variety of simulation schemes to determine the stability limit speed under multi-source information fusion and constructed the corresponding database. Finally, we established an interpretable driving stability evaluation method based on the Differential Evolution-Extended Belief Rule Base-Shapley Additive Explanations (DB-EBRB-SHAP) model. This model incorporates driving behavior as a qualitative variable into the hybrid framework, and its accuracy was further enhanced through parameter optimization. The results demonstrate that the model achieves high evaluation accuracy for driving stability on curved road sections (MAE = 0.0306 and RMSE = 0.0363). Interpretability analysis reveals that curve radius and lane-changing behavior are the key influencing parameters; the negative interaction effect between the two on driving stability will weaken as the curve radius increases. Full article
(This article belongs to the Special Issue Intelligent Vehicle Infrastructure Cooperative System (IVICS))
Show Figures

Figure 1

Back to TopTop