Sign in to use this feature.

Years

Between: -

Subjects

remove_circle_outline
remove_circle_outline
remove_circle_outline
remove_circle_outline
remove_circle_outline
remove_circle_outline
remove_circle_outline

Journals

Article Types

Countries / Regions

Search Results (17)

Search Parameters:
Keywords = constraint overall least squares

Order results
Result details
Results per page
Select all
Export citation of selected articles as:
29 pages, 835 KB  
Article
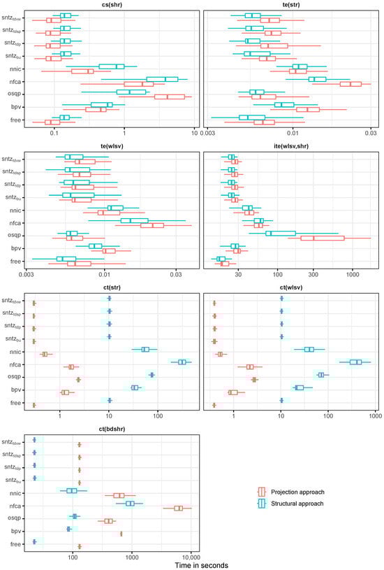
Non-Negative Forecast Reconciliation: Optimal Methods and Operational Solutions
by Daniele Girolimetto
Forecasting 2025, 7(4), 64; https://doi.org/10.3390/forecast7040064 (registering DOI) - 26 Oct 2025
Viewed by 39
Abstract
In many different applications such as retail, energy, and tourism, forecasts for a set of related time series must satisfy both linear and non-negativity constraints, as negative values are meaningless in practice. Standard regression-based reconciliation approaches achieve coherence with linear constraints, but may [...] Read more.
In many different applications such as retail, energy, and tourism, forecasts for a set of related time series must satisfy both linear and non-negativity constraints, as negative values are meaningless in practice. Standard regression-based reconciliation approaches achieve coherence with linear constraints, but may generate negative forecasts, reducing interpretability and usability. This paper develops and evaluates three alternative strategies for non-negative forecast reconciliation. First, reconciliation is formulated as a non-negative least squares problem and solved with the operator splitting quadratic program, allowing flexible inclusion of additional constraints. Second, we propose an iterative non-negative reconciliation with immutable forecasts, offering a practical optimization-based alternative. Third, we investigate a family of set-negative-to-zero heuristics that achieve efficiency and interpretability at minimal computational cost. Using the Australian Tourism Demand dataset, we compare these approaches in terms of forecast accuracy and computation time. The results show that non-negativity constraints consistently improve accuracy compared to base forecasts. Overall, set-negative-to-zero achieve near-optimal performance with negligible computation time, the block principal pivoting algorithm provides a good accuracy–efficiency compromise, and the operator splitting quadratic program offers flexibility for incorporating additional constraints in large-scale applications. Full article
(This article belongs to the Special Issue Feature Papers of Forecasting 2025)
Show Figures

Figure 1

23 pages, 19257 KB  
Article
A Dual-Norm Support Vector Machine: Integrating L1 and L Slack Penalties for Robust and Sparse Classification
by Xiaoyong Liu, Qingyao Liu, Shunqiang Liu, Genglong Yan, Fabin Zhang, Chengbin Zeng and Xiaoliu Yang
Processes 2025, 13(9), 2858; https://doi.org/10.3390/pr13092858 - 6 Sep 2025
Viewed by 632
Abstract
This paper presents a novel support vector machine (SVM) classification approach that simultaneously accounts for both overall and extreme misclassification errors via a dual-norm regularization strategy. Traditional SVMs minimize the L1-norm of slack variables to control global misclassification, while least squares [...] Read more.
This paper presents a novel support vector machine (SVM) classification approach that simultaneously accounts for both overall and extreme misclassification errors via a dual-norm regularization strategy. Traditional SVMs minimize the L1-norm of slack variables to control global misclassification, while least squares SVM (LSSVM) minimizes the sum of squared errors. In contrast, our method preserves the classical L1-norm penalty to maintain overall classification fidelity and incorporates an additional L-norm term to penalize the largest slack variable, thereby constraining the worst-case margin violation. This composite objective yields a more robust and generalizable classifier, particularly effective when occasional large deviations disproportionately affect decision boundaries. The resulting optimization problem minimizes a regularized objective combining the model norm, the sum of slack variables, and the maximum slack variable, with two hyperparameters, C1 and C2, balancing global error against extremal robustness. By formulating the problem under convex constraints, the optimization remains tractable and guarantees a globally optimal solution. Experimental evaluations on benchmark datasets demonstrate that the proposed method achieves comparable or superior classification accuracy while reducing the impact of outliers and maintaining a sparse model structure. These results underscore the advantage of jointly enforcing L1 and L penalties, providing an effective mechanism to balance average performance with worst-case error sensitivity in support vector classification. Full article
Show Figures

Figure 1

24 pages, 791 KB  
Article
Fiscal Policy Uncertainty and Firms’ Production Efficiency: Evidence from China
by Yuyang Zhao and Xinyu Dong
Sustainability 2024, 16(24), 10977; https://doi.org/10.3390/su162410977 - 14 Dec 2024
Viewed by 1269
Abstract
Total factor productivity (TFP) is pivotal to driving sustainable economic growth. This study examines the relationship between fiscal policy uncertainty (FPU) and firms’ TFP with the least squares method. We measure FPU at the provincial level using government work reports from various provinces [...] Read more.
Total factor productivity (TFP) is pivotal to driving sustainable economic growth. This study examines the relationship between fiscal policy uncertainty (FPU) and firms’ TFP with the least squares method. We measure FPU at the provincial level using government work reports from various provinces in China with text analysis and find that a higher degree of FPU is negatively associated with local firms’ TFP. This effect is more significant for firms from regions with lower levels of marketization and government fiscal transparency and those with higher managerial myopia than for other firms. The channel tests show that FPU reduces local firms’ TFP by inhibiting corporate expansionary and research and development investments, and this effect is supported by the intensified financing constraints. Overall, our results suggest that FPU impairs local firms’ production efficiency. Full article
Show Figures

Figure 1

19 pages, 18083 KB  
Article
A Resilient Approach to a Test Rig Setup in the Qualification of a Tilt Rotor Carbon Fiber-Reinforced Polymer (CFRP) Wing
by Pasquale Vitale, Gianluca Diodati, Salvatore Orlando, Francesco Timbrato, Mario Miano, Antonio Chiariello and Marika Belardo
Aerospace 2024, 11(4), 323; https://doi.org/10.3390/aerospace11040323 - 21 Apr 2024
Cited by 3 | Viewed by 2744
Abstract
The evolution of aircraft wing development has seen significant progress since the early days of aviation, with static testing emerging as a crucial aspect for ensuring safety and reliability. This study focused specifically on the engineering phase of static testing for the Clean [...] Read more.
The evolution of aircraft wing development has seen significant progress since the early days of aviation, with static testing emerging as a crucial aspect for ensuring safety and reliability. This study focused specifically on the engineering phase of static testing for the Clean Sky 2 T-WING project, which is dedicated to testing the innovative composite wing of the Next-Generation Civil Tiltrotor Technology Demonstrator. During the design phase, critical load cases were identified through shear force/bending moment (SFBM) and failure mode analyses. To qualify the wing, an engineering team designed a dedicated test rig equipped with hydraulic jacks to mirror the SFBM diagrams. Adhering to specifications and geometric constraints due to several factors, the jacks aimed to minimize the errors (within 5%) in replicating the diagrams. An effective algorithm, spanning five phases, was employed to pinpoint the optimal configuration. This involved analyzing significant components, conducting least square linear optimizations, selecting solutions that met the directional constraints, analyzing the Pareto front solutions, and evaluating the external jack forces. The outcome was a test rig setup with a viable set of hydraulic jack forces, achieving precise SFBM replication on the wing with minimal jacks and overall applied forces. Full article
Show Figures

Figure 1

16 pages, 1931 KB  
Article
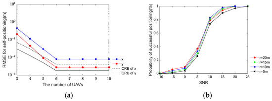
Polarization Direction of Arrival Estimation for Vector Array of Unmanned Aerial Vehicle Swarm
by Xiaoyu Lan, Kunming Wang, Ming Dong, Ershen Wang and Ye Tian
Electronics 2023, 12(22), 4612; https://doi.org/10.3390/electronics12224612 - 11 Nov 2023
Viewed by 1633
Abstract
Aiming at the problem of the excessive error of direction of arrival (DOA) estimation caused by the position disturbance of a UAV swarm during flight, a robust polarization-DOA estimation method based on sparse Bayesian learning (SBL) is proposed. First, the algorithm decomposes the [...] Read more.
Aiming at the problem of the excessive error of direction of arrival (DOA) estimation caused by the position disturbance of a UAV swarm during flight, a robust polarization-DOA estimation method based on sparse Bayesian learning (SBL) is proposed. First, the algorithm decomposes the covariance matrix of the received data of the UAV swarm vector array and then constructs the determination matrix of the UAV position coordinates by exploiting the orthogonality of the eigenvalues and eigenvectors. Then, the optimal solution of the semi-positive definite programming (SDP) problem is solved using the constrained global least square method, and the exact self-positioning coordinates of UAVs are obtained. Second, we construct a spatially discrete grid to model the received data of the UAV group vector array. The SBL theory is then applied to obtain the posterior probability distribution of the sparse signal matrix. The sparsity of the signal matrix is controlled with a hyperparameter, and the estimation of the DOA is conducted using a fixed-point iteration to obtain the maximum posterior estimate of the signal matrix. Finally, according to the estimated DOA, the polarization parameter is obtained from the constructed objective function of the polarization parameter estimation. The simulation results show that the proposed algorithm achieves higher accuracy and robustness than the traditional 2D DOA estimation algorithm in the direction-finding system for UAV swarm vector arrays. Full article
Show Figures

Figure 1

19 pages, 1230 KB  
Article
Effects of Aging on Labor-Intensive Crop Production from the Perspectives of Landform and Life Cycle Labor Supply: Evidence from Chinese Apple Growers
by Pingping Fang, Yiwen Wang, David Abler and Guanghua Lin
Agriculture 2023, 13(8), 1523; https://doi.org/10.3390/agriculture13081523 - 31 Jul 2023
Cited by 6 | Viewed by 3709
Abstract
The aging of the agricultural labor force is an irreversible trend that has become an important issue in China’s economic transformation. Previous studies on the effects of an aging population in developing countries on agriculture mainly focused on food crops, and the conclusions [...] Read more.
The aging of the agricultural labor force is an irreversible trend that has become an important issue in China’s economic transformation. Previous studies on the effects of an aging population in developing countries on agriculture mainly focused on food crops, and the conclusions were mixed. Using data for apple growers in Shaanxi Province, China, we used ordinary least squares (OLS), stochastic frontier production function (SFA), and truncated regression to investigate how rural aging affects apple production under different landform conditions. We provided evidence that (i) aging leads apple growers to use hired labor to replace family labor in the flatlands, but not in mountainous and hilly areas, due to landform constraints on the factor substitution; (ii) aging has no significant impact on mechanical inputs in either the plains or the mountains, indicating that machinery cannot effectively replace the labor force; (iii) limited by a shortage of labor quantity and quality, apple growers respond to aging by reducing agricultural inputs in mountainous and hilly areas; (iv) changes in input structure cause aging to have little influence on yield and technical efficiency in flatlands, while aging significantly reduces yield in mountainous and hilly areas; (v) there is a nonlinear relationship between aging and technical efficiency and yield; and (vi) because the overall mechanization level of China’s apple industry is low, mechanical substitution for labor is not common in apple production. Full article
Show Figures

Figure 1

18 pages, 1838 KB  
Article
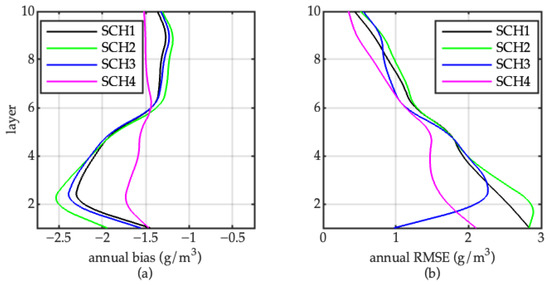
Development of a New Vertical Water Vapor Model for GNSS Water Vapor Tomography
by Moufeng Wan, Kefei Zhang, Suqin Wu, Peng Sun and Longjiang Li
Remote Sens. 2022, 14(22), 5656; https://doi.org/10.3390/rs14225656 - 9 Nov 2022
Cited by 6 | Viewed by 2221
Abstract
One of the main challenges of Global Navigation Satellite System (GNSS) tomography is in solving ill-conditioned system equations. Vertical constraint models are typically used in the solution procedure and play an important role in the quality of the GNSS tomography, in addition to [...] Read more.
One of the main challenges of Global Navigation Satellite System (GNSS) tomography is in solving ill-conditioned system equations. Vertical constraint models are typically used in the solution procedure and play an important role in the quality of the GNSS tomography, in addition to helping resolve ill-posed problems in system equations. In this study, based on a water vapor (WV) parameter, namely IRPWV, a new vertical constraint model with six sets of coefficients for six different WV states was developed and tested throughout 2019 in the Hong Kong region with four tomographic schemes, which were carried out with the model and the traditional vertical constraint model using three different types of water vapor scale height parameters. Experimental results were numerically compared against their corresponding radiosonde-derived WV values. Compared with the tests that used the traditional model, our results showed that, first, for the daily relative error of WV density (WVD) less than 30%, the new model can lead to at least 10% and 49% improvement on average at the lower layers (below 3 km, except for the ground surface) and the upper layers (about 5–10 km), respectively. Second, the skill score of the monthly root-mean-square error (RMSE) of layered WVD above 10 accounted for about 83%, 87%, and 64%. Third, for the annual biases of layered WVD, the new model significantly decreased by 1.1–1.5 g/m3 at layers 2–3 (about 1 km), where all schemes showed the maximal bias value. Finally, for the annual RMSE of layered WVD, the new model at the lower (about 0.6–3 km) and upper layers improved by 13–42% and 5–47%, respectively. Overall, the new model performed better on GNSS tomography and significantly improved the accuracy of GNSS tomographic results, compared to the traditional model. Full article
(This article belongs to the Section Atmospheric Remote Sensing)
Show Figures

Figure 1

18 pages, 20333 KB  
Article
Calculating Co-Seismic Three-Dimensional Displacements from InSAR Observations with the Dislocation Model-Based Displacement Direction Constraint: Application to the 23 July 2020 Mw6.3 Nima Earthquake, China
by Jun Hu, Jianwen Shi, Jihong Liu, Wanji Zheng and Kang Zhu
Remote Sens. 2022, 14(18), 4481; https://doi.org/10.3390/rs14184481 - 8 Sep 2022
Cited by 4 | Viewed by 2819
Abstract
As one of the most prevailing geodetic tools, the interferometric synthetic aperture radar (InSAR) technique can accurately obtain co-seismic displacements, but is limited to the one-dimensional line-of-sight (LOS) measurement. It is therefore difficult to completely reveal the real three-dimensional (3D) surface displacements with [...] Read more.
As one of the most prevailing geodetic tools, the interferometric synthetic aperture radar (InSAR) technique can accurately obtain co-seismic displacements, but is limited to the one-dimensional line-of-sight (LOS) measurement. It is therefore difficult to completely reveal the real three-dimensional (3D) surface displacements with InSAR. By employing azimuth displacement observations from pixel offset tracking (POT) and multiple aperture InSAR (MAI) techniques, 3D displacements of large-magnitude earthquakes can be obtained by integrating the ascending and descending data. However, this method cannot be used to accurately realize the 3D surface displacement measurements of small-magnitude earthquakes due to the low accuracies of the POT/MAI-derived azimuth displacement measurements. In this paper, an alternative method is proposed to calculate co-seismic 3D displacements from ascending and descending InSAR-LOS observations with the dislocation model-based displacement direction constraint. The main contribution lies in the two virtual observation equations that are obtained from the dislocation model-based forward-modeling 3D displacements, which are then combined with the ascending/descending InSAR observations to calculate the 3D displacements. The basis of the two virtual observation equations is that the directions of the 3D displacement vectors are very similar for real and model-based 3D displacements. In addition, the weighted least squares (WLS) method is employed to solve the final 3D displacements, which aims to consider and balance the possible errors in the InSAR observations as well as the dislocation model-based displacement direction constraint. A simulation experiment demonstrates that the proposed method can achieve more accurate 3D displacements compared with the existing methods. The co-seismic 3D displacements of the 2020 Nima earthquake are then accurately obtained by the proposed method. The results show that co-seismic displacements are dominated by the vertical displacement, the magnitude of the horizontal displacement is relatively small, and the overall displacement pattern fits well with the tensile rupture. Full article
Show Figures

Graphical abstract

17 pages, 3033 KB  
Article
Semi-Physical Simulation of Fan Rotor Assembly Process Optimization for Unbalance Based on Reinforcement Learning
by Huibin Zhang, Mingwei Wang, Zhiang Li, Jingtao Zhou, Kexin Zhang, Xin Ma and Manxian Wang
Aerospace 2022, 9(7), 342; https://doi.org/10.3390/aerospace9070342 - 25 Jun 2022
Cited by 6 | Viewed by 3233
Abstract
An aero engine fan rotor is composed of a multi-stage disk and multi-stage blades. Excessive unbalance of the aero engine fan rotor after assembly is the main cause of aero engine vibration. In the rotor assembly process, blade sequencing optimization and multi-stage blade [...] Read more.
An aero engine fan rotor is composed of a multi-stage disk and multi-stage blades. Excessive unbalance of the aero engine fan rotor after assembly is the main cause of aero engine vibration. In the rotor assembly process, blade sequencing optimization and multi-stage blade set assembly phase optimization are important for reducing the overall rotor unbalance. To address this problem, this paper proposes a semi-physical simulation method based on reinforcement learning to optimize the balance in the fan rotor assembly process. Firstly, based on the mass moments of individual blades, the diagonal mass moment difference is introduced as a constraint to build a single-stage blade sorting optimization model, and reinforcement learning is used to find the optimal sorting path so that the balance of the single-stage blade after sorting is optimal. Then, on the basis of the initial unbalance of the disk and the unbalance of the single-stage blade set, a multi-stage blade assembly phase optimization model is established, and reinforcement learning is used to find the optimal assembly phase so that the overall balance of the rotor is optimal. Finally, based on the collection of data during the assembly of the rotor, the least-squares method is used to fit and calculate the real-time assembly unbalance to achieve a semi-physical simulation of the optimization of balance during the assembly process. The feasibility and effectiveness of the proposed method are verified by experiments. Full article
Show Figures

Figure 1

25 pages, 8808 KB  
Article
IMU-Aided Registration of MLS Point Clouds Using Inertial Trajectory Error Model and Least Squares Optimization
by Zhipeng Chen, Qingquan Li, Jiayuan Li, Dejin Zhang, Jianwei Yu, Yu Yin, Shiwang Lv and Anbang Liang
Remote Sens. 2022, 14(6), 1365; https://doi.org/10.3390/rs14061365 - 11 Mar 2022
Cited by 6 | Viewed by 3930
Abstract
Mobile laser scanning (MLS) point cloud registration plays a critical role in mobile 3D mapping and inspection, but conventional point cloud registration methods for terrain LiDAR scanning (TLS) are not suitable for MLS. To cope with this challenge, we use inertial measurement unit [...] Read more.
Mobile laser scanning (MLS) point cloud registration plays a critical role in mobile 3D mapping and inspection, but conventional point cloud registration methods for terrain LiDAR scanning (TLS) are not suitable for MLS. To cope with this challenge, we use inertial measurement unit (IMU) to assist registration and propose an MLS point cloud registration method based on an inertial trajectory error model. First, we propose an error model of inertial trajectory over a short time period to construct the constraints between trajectory points at different times. On this basis, a relationship between the point cloud registration error and the inertial trajectory error is established, then trajectory error parameters are estimated by minimizing the point cloud registration error using the least squares optimization. Finally, a reliable and concise inertial-assisted MLS registration algorithm is realized. We carried out experiments in three different scenarios: indoor, outdoor and integrated indoor–outdoor. We evaluated the overall performance, accuracy and efficiency of the proposed method. Compared with the ICP method, the accuracy and speed of the proposed method were improved by 2 and 2.8 times, respectively, which verified the effectiveness and reliability of the proposed method. Furthermore, experimental results show the significance of our method in constructing a reliable and scalable mobile 3D mapping system suitable for complex scenes. Full article
(This article belongs to the Special Issue Recent Trends in 3D Modelling from Point Clouds)
Show Figures

Figure 1

23 pages, 569 KB  
Article
Comparative Study of AC Signal Analysis Methods for Impedance Spectroscopy Implementation in Embedded Systems
by Ahmed Yahia Kallel, Zheng Hu and Olfa Kanoun
Appl. Sci. 2022, 12(2), 591; https://doi.org/10.3390/app12020591 - 7 Jan 2022
Cited by 17 | Viewed by 5334
Abstract
For embedded impedance spectroscopy, a suitable method for analyzing AC signals needs to be carefully chosen to overcome limited processing capability and memory availability. This paper compares various methods, including the fast Fourier transform (FFT), the FFT with barycenter correction, the FFT with [...] Read more.
For embedded impedance spectroscopy, a suitable method for analyzing AC signals needs to be carefully chosen to overcome limited processing capability and memory availability. This paper compares various methods, including the fast Fourier transform (FFT), the FFT with barycenter correction, the FFT with windowing, the Goertzel filter, the discrete-time Fourier transform (DTFT), and sine fitting using linear or nonlinear least squares, and cross-correlation, for analyzing AC signals in terms of speed, memory requirements, amplitude measurement accuracy, and phase measurement accuracy. These methods are implemented in reference systems with and without hardware acceleration for validation. The investigation results show that the Goertzel algorithm has the best overall performance when hardware acceleration is excluded or in the case of memory constraints. In implementations with hardware acceleration, the FFT with barycentre correction stands out. The linear sine fitting method provides the most accurate amplitude and phase determinations at the expense of speed and memory requirements. Full article
Show Figures

Figure 1

16 pages, 1362 KB  
Article
A Dynamic Benchmark System for Per Capita Carbon Emissions in Low-Carbon Counties of China
by Lijie Gao, Xiaoqi Shang, Fengmei Yang and Longyu Shi
Energies 2021, 14(3), 599; https://doi.org/10.3390/en14030599 - 25 Jan 2021
Cited by 6 | Viewed by 2713
Abstract
As the most basic unit of the national economy and administrative management, the low-carbon transformation of the vast counties is of great significance to China’s overall greenhouse gas emission reduction. Although the low-carbon evaluation (LCE) indicator system and benchmarks have been extensively studied, [...] Read more.
As the most basic unit of the national economy and administrative management, the low-carbon transformation of the vast counties is of great significance to China’s overall greenhouse gas emission reduction. Although the low-carbon evaluation (LCE) indicator system and benchmarks have been extensively studied, most benchmarks ignore the needs of the evaluated object at the development stage. When the local economy develops to a certain level, it may be restricted by static low-carbon target constraints. This study reviews the relevant research on LCE indicator system and benchmarks based on convergence. The Environmental Kuznets Curve (EKC), a dynamic benchmark system for per capita carbon emissions (PCCEs), is proposed for low-carbon counties. Taking Changxing County, Zhejiang Province, China as an example, a dynamic benchmark for PCCEs was established by benchmarking the Carbon Kuznets Curve (CKC) of best practices. Based on the principles of best practice, comparability, data completeness, and the CKC hypothesis acceptance, the best practice database is screened, and Singapore is selected as a potential benchmark. By constructing an econometric model to conduct an empirical study on Singapore’s CKC hypothesis, the regression results of the least squares method support the CKC hypothesis and its rationality as a benchmark. The result of the PCCE benchmarks of Changxing County show that when the per capita income of Changxing County in 2025, 2030, and 2035 reaches USD 19,172.92, USD 24,483.01, and USD 29,366.11, respectively, the corresponding benchmarks should be 14.95 tons CO2/person, 14.70 tons CO2/person, and 13.55 tons CO2/person. For every 1% increase in the county’s per capita income, the PCCE allowable room for growth is 17.6453%. The turning point is when the per capita gross domestic product (PCGDP) is USD 20,843.23 and the PCCE is 15.03 tons of CO2/person, which will occur between 2025 and 2030. Prior to this, the PCCE benchmark increases with the increase of PCGDP. After that, the PCCE benchmark decreases with the increase of PCGDP. The system is economically sensitive, adaptable to different development stages, and enriches the methodology of low-carbon indicator evaluation and benchmark setting at the county scale. It can provide scientific basis for Chinese county decision makers to formulate reasonable targets under the management idea driven by evaluation indicators and emission reduction targets and help counties explore the coordinated paths of economic development and emission reduction in different development stages. It has certain reference significance for other developing regions facing similar challenges of economic development and low-carbon transformation to Changxing County to formulate scientific and reasonable low-carbon emission reduction targets. Full article
Show Figures

Figure 1

29 pages, 5118 KB  
Article
Restrictions of Historical Tissues on Urban Growth, Self-Sustaining Agglomeration in Walled Cities of Chinese Origin
by Haosu Zhao, Bart Julien Dewancker, Feng Hua, Junping He and Weijun Gao
Sustainability 2020, 12(14), 5849; https://doi.org/10.3390/su12145849 - 21 Jul 2020
Viewed by 3856
Abstract
This article uses a fractal observation to help delineate the constraints placed by multiple city walls on the growth of historical East Asian cities. By applying advanced technologies from economic geography and fractal indices, a staged scaling process within urban dimension coherence can [...] Read more.
This article uses a fractal observation to help delineate the constraints placed by multiple city walls on the growth of historical East Asian cities. By applying advanced technologies from economic geography and fractal indices, a staged scaling process within urban dimension coherence can be applied to both indices. In this study, a discovery is proposed based on the urban organism concept that is capable of indicating a proportional intra-urban structure from a fundamental wall-bounded urban element (local specificity) to other greater walled spatial properties (global variables). This local specificity potentially performs approximate scaling regularities, and spatially denotes an average historical threshold of urban growth for its overall size, with similar scaling law constraints. This finding involves territorial, urban planning, and ancient architectural perspectives, providing a historical and local response to the expansion of contemporary cities. By employing growing fractal estimation, data processing enables the logarithmic city size to be obtained by measuring each wall’s specific features using the Ordinary Least Squares (OLS) method. On the basis of two-dimensional allometric scaling patches, a spatial unfolding mechanism is utilized to reproduce these dynamic changes with city walls as a result of the human trajectories in time geography. Full article
(This article belongs to the Special Issue Urban Growth and Demographic Dynamics)
Show Figures

Figure 1

22 pages, 9919 KB  
Article
Estimation of Hourly near Surface Air Temperature Across Israel Using an Ensemble Model
by Bin Zhou, Evyatar Erell, Ian Hough, Alexandra Shtein, Allan C. Just, Victor Novack, Jonathan Rosenblatt and Itai Kloog
Remote Sens. 2020, 12(11), 1741; https://doi.org/10.3390/rs12111741 - 28 May 2020
Cited by 23 | Viewed by 4621
Abstract
Mapping of near-surface air temperature (Ta) at high spatio-temporal resolution is essential for unbiased assessment of human health exposure to temperature extremes, not least given the observed trend of urbanization and global climate change. Data constraints have led previous studies to focus merely [...] Read more.
Mapping of near-surface air temperature (Ta) at high spatio-temporal resolution is essential for unbiased assessment of human health exposure to temperature extremes, not least given the observed trend of urbanization and global climate change. Data constraints have led previous studies to focus merely on daily Ta metrics, rather than hourly ones, making them insufficient for intra-day assessment of health exposure. In this study, we present a three-stage machine learning-based ensemble model to estimate hourly Ta at a high spatial resolution of 1 × 1 km2, incorporating remotely sensed surface skin temperature (Ts) from geostationary satellites, reanalysis synoptic variables, and observations from weather stations, as well as auxiliary geospatial variables, which account for spatio-temporal variability of Ta. The Stage 1 model gap-fills hourly Ts at 4 × 4 km2 from the Spinning Enhanced Visible and InfraRed Imager (SEVIRI), which are subsequently fed into the Stage 2 model to estimate hourly Ta at the same spatio-temporal resolution. The Stage 3 model downscales the residuals between estimated and measured Ta to a grid of 1 × 1 km2, taking into account additionally the monthly diurnal pattern of Ts derived from the Moderate Resolution Imaging Spectroradiometer (MODIS) data. In each stage, the ensemble model synergizes estimates from the constituent base learners—random forest (RF) and extreme gradient boosting (XGBoost)—by applying a geographically weighted generalized additive model (GAM), which allows the weights of results from individual models to vary over space and time. Demonstrated for Israel for the period 2004–2017, the proposed ensemble model outperformed each of the two base learners. It also attained excellent five-fold cross-validated performance, with overall root mean square error (RMSE) of 0.8 and 0.9 °C, mean absolute error (MAE) of 0.6 and 0.7 °C, and R2 of 0.95 and 0.98 in Stage 1 and Stage 2, respectively. The Stage 3 model for downscaling Ta residuals to 1 km MODIS grids achieved overall RMSE of 0.3 °C, MAE of 0.5 °C, and R2 of 0.63. The generated hourly 1 × 1 km2 Ta thus serves as a foundation for monitoring and assessing human health exposure to temperature extremes at a larger geographical scale, helping to further minimize exposure misclassification in epidemiological studies. Full article
Show Figures

Graphical abstract

18 pages, 3090 KB  
Article
Laboratory Visible and Near-Infrared Spectroscopy with Genetic Algorithm-Based Partial Least Squares Regression for Assessing the Soil Phosphorus Content of Upland and Lowland Rice Fields in Madagascar
by Kensuke Kawamura, Yasuhiro Tsujimoto, Tomohiro Nishigaki, Andry Andriamananjara, Michel Rabenarivo, Hidetoshi Asai, Tovohery Rakotoson and Tantely Razafimbelo
Remote Sens. 2019, 11(5), 506; https://doi.org/10.3390/rs11050506 - 2 Mar 2019
Cited by 47 | Viewed by 7775
Abstract
As a laboratory proximal sensing technique, the capability of visible and near-infrared (Vis-NIR) diffused reflectance spectroscopy with partial least squares (PLS) regression to determine soil properties has previously been demonstrated. However, the evaluation of the soil phosphorus (P) content—a major nutrient constraint for [...] Read more.
As a laboratory proximal sensing technique, the capability of visible and near-infrared (Vis-NIR) diffused reflectance spectroscopy with partial least squares (PLS) regression to determine soil properties has previously been demonstrated. However, the evaluation of the soil phosphorus (P) content—a major nutrient constraint for crop production in the tropics—is still a challenging task. PLS regression with waveband selection can improve the predictive ability of a calibration model, and a genetic algorithm (GA) has been widely applied as a suitable method for selecting wavebands in laboratory calibrations. To develop a laboratory-based proximal sensing method, this study investigated the potential to use GA-PLS regression analyses to estimate oxalate-extractable P in upland and lowland soils from laboratory Vis-NIR reflectance data. In terms of predictive ability, GA-PLS regression was compared with iterative stepwise elimination PLS (ISE-PLS) regression and standard full-spectrum PLS (FS-PLS) regression using soil samples collected in 2015 and 2016 from the surface of upland and lowland rice fields in Madagascar (n = 103). Overall, the GA-PLS model using first derivative reflectance (FDR) had the best predictive accuracy (R2 = 0.796) with a good prediction ability (residual predictive deviation (RPD) = 2.211). Selected wavebands in the GA-PLS model did not perfectly match wavelengths of previously known absorption features of soil nutrients, but in most cases, the selected wavebands were within 20 nm of previously known wavelength regions. Bootstrap procedures (N = 10,000 times) using selected wavebands also confirmed the improvements in accuracy and robustness of the GA-PLS model compared to those of the ISE-PLS and FS-PLS models. These results suggest that soil oxalate-extractable P can be predicted from Vis-NIR spectroscopy and that GA-PLS regression has the advantage of tuning optimum bands for PLS regression, contributing to a better predictive ability. Full article
(This article belongs to the Special Issue Applications of Spectroscopy in Agriculture and Vegetation Research)
Show Figures

Figure 1

Back to TopTop