Sign in to use this feature.

Years

Between: -

Subjects

remove_circle_outline
remove_circle_outline
remove_circle_outline
remove_circle_outline
remove_circle_outline
remove_circle_outline
remove_circle_outline
remove_circle_outline
remove_circle_outline

Journals

Article Types

Countries / Regions

Search Results (56)

Search Parameters:
Keywords = conjugating boundary condition

Order results
Result details
Results per page
Select all
Export citation of selected articles as:
17 pages, 3258 KB  
Article
Using CFD Modeling to Investigate the Non-Uniform Circumferential Distribution of Heat Transfer Characteristics in a Single-Phase Helical Coiled Tube
by Hung-Tsung Tsai, Bo-Jun Lu, Yuh-Ming Ferng and Yu Sun
J. Nucl. Eng. 2025, 6(4), 41; https://doi.org/10.3390/jne6040041 - 14 Oct 2025
Viewed by 249
Abstract
Helical coiled tube (HCT) heat exchangers (HXs) are used in the nuclear industry, particularly in the residual heat removal systems of nuclear power plants (NPPs) and steam generators for small modular reactors. In this study, a single-phase CFD model was developed to investigate [...] Read more.
Helical coiled tube (HCT) heat exchangers (HXs) are used in the nuclear industry, particularly in the residual heat removal systems of nuclear power plants (NPPs) and steam generators for small modular reactors. In this study, a single-phase CFD model was developed to investigate non-uniform circumferential distributions in the local wall heat transfer characteristics of a vertical HCT to obtain localized information critical for the safety of NPPs. In a comparison, the predicted circumferential heat transfer characteristics agreed well with the measured data. Governed by centrifugal/gravitational forces, these non-uniform distributions are clearly visible in the results, explaining the test data. We performed additional simulations of the conjugated heat transfer from the hot fluid of the shell side to the cold fluid of the tube side, confirming that the inhomogeneity of circumferential distributions in HCTs is due to the assumption of a constant heat flux boundary condition. Full article
Show Figures

Figure 1

16 pages, 990 KB  
Article
Bivalent Inhibitors of Mannose-Specific Bacterial Adhesion: A Xylose-Based Conformational Switch to Control Glycoligand Distance
by Sven Ole Jaeschke, Ingo vom Sondern and Thisbe K. Lindhorst
Molecules 2025, 30(15), 3074; https://doi.org/10.3390/molecules30153074 - 23 Jul 2025
Viewed by 502
Abstract
Functional glycomimetics is suited to study the parameters of carbohydrate recognition that forms the basis of glycobiology. It is particularly attractive when a glycoligand allows for the investigation of two different states, such as varying distance between multiple glycoligands. Here, a xylopyranoside was [...] Read more.
Functional glycomimetics is suited to study the parameters of carbohydrate recognition that forms the basis of glycobiology. It is particularly attractive when a glycoligand allows for the investigation of two different states, such as varying distance between multiple glycoligands. Here, a xylopyranoside was employed as a scaffold for the presentation of two mannoside units which are ligands of the bacterial lectin FimH. The chair conformation of the central xyloside can be switched between a 4C1 and a 1C4 conformation whereby the two conjugated mannoside ligands are flipped from a di-equatorial into a di-axial position. Concomitantly, the distance between the two glycoligands changes and, as a consequence, so does the biological activity of the respective bivalent glycocluster, as shown in adhesion–inhibition assays with live bacteria. Molecular modeling was employed to correlate the inter-ligand distance with the structure of the formed glycocluster–FimH complex. Our study suggests that conformational switches can be employed and further advanced as smart molecular tools to study structural boundary conditions of carbohydrate recognition in a bottom-up approach. Full article
Show Figures

Graphical abstract

22 pages, 6648 KB  
Article
Conjugate Heat Transfer Modelling in a Centrifugal Compressor for Automotive Applications
by Carlo Cravero, Pierre-Alain Hoffer, Davide Marsano, Daniele Mattiello and Luigi Mosciaro
Energies 2025, 18(13), 3348; https://doi.org/10.3390/en18133348 - 26 Jun 2025
Viewed by 608
Abstract
In the automotive industry, the increasing stringent standards to reduce fuel consumption and pollutant emissions has driven significant advancements in turbocharging systems. The centrifugal compressor, as the most widely used power-absorbing machinery, plays a crucial role but remains one of the most complex [...] Read more.
In the automotive industry, the increasing stringent standards to reduce fuel consumption and pollutant emissions has driven significant advancements in turbocharging systems. The centrifugal compressor, as the most widely used power-absorbing machinery, plays a crucial role but remains one of the most complex components to study and design. While most numerical studies rely on adiabatic models, this work analyses several Computational Fluid Dynamics (CFD) models with conjugate heat transfer (CHT) of varying complexity, incorporating real solid components. This approach allowed a sensitivity analysis of the performance obtained from the different models compared to the adiabatic case, highlighting the effects of internal heat exchange losses. Moreover, an analysis of the temperature distribution of the wheel was conducted, along with a thermal assessment of the various heat flux contributions across the different components, to gain a deeper understanding of the performance differences. The impact of including the seal plate has been evaluated and different boundary conditions on the seal plate have been tested to assess the uncertainty in the results. Finally, the influence of heat exchange between the shroud and the external environment is also examined to further refine the model’s accuracy. One of the objectives of this work is to obtain a correct temperature profile of the rotor for a subsequent thermo-mechanical analysis. Full article
Show Figures

Figure 1

19 pages, 1248 KB  
Article
Numerical Solution of the Inverse Thermoacoustics Problem Using QFT and Gradient Method
by Syrym E. Kasenov, Aigerim M. Tleulesova, Almas N. Temirbekov, Zholaman M. Bektemessov and Rysbike A. Asanova
Fractal Fract. 2025, 9(6), 370; https://doi.org/10.3390/fractalfract9060370 - 5 Jun 2025
Cited by 2 | Viewed by 560
Abstract
In this research, we consider the inverse problem for the wave equation under an unknown initial condition. A generalized solution to the direct problem was formulated, its correctness was established, and the stability assessment was obtained. The inverse problem was reduced to an [...] Read more.
In this research, we consider the inverse problem for the wave equation under an unknown initial condition. A generalized solution to the direct problem was formulated, its correctness was established, and the stability assessment was obtained. The inverse problem was reduced to an optimization problem, where the objective function was minimized using gradient methods, including the accelerated Nesterov algorithm. The conjugate problem was constructed, and the functional gradient was computed, while the existence of the Frechet derivative was proved. For the first time, the quaternion Fourier transform (QFT) was applied to the numerical solution of a direct problem, making it possible to analyze multidimensional wave processes more efficiently. A computational experiment was carried out, which demonstrated that if there is insufficient additional information, the restoration of the initial condition is incomplete. The introduction of the second boundary condition makes it possible to significantly improve the accuracy and stability of the solution. The results confirm the importance of an integrated approach and the availability of sufficient a priori information when solving inverse problems. Full article
Show Figures

Figure 1

30 pages, 394 KB  
Article
Problems with Missing Tricomi Condition and Analog of Frankl Condition for One Class of Mixed Type Equations
by Assel Makulbay, Mirakhmat Mirsaburov, Abdumauvlen Berdyshev and Gulbakhor Mirsaburova
Mathematics 2025, 13(11), 1875; https://doi.org/10.3390/math13111875 - 3 Jun 2025
Viewed by 484
Abstract
In this paper, for a mixed elliptic-hyperbolic type equation with various degeneration orders and singular coefficients, theorems of uniqueness and existence of the solution to the problem with a missing Tricomi condition on boundary characteristic and with an analog of Frankl condition on [...] Read more.
In this paper, for a mixed elliptic-hyperbolic type equation with various degeneration orders and singular coefficients, theorems of uniqueness and existence of the solution to the problem with a missing Tricomi condition on boundary characteristic and with an analog of Frankl condition on different parts of the cut boundary along the degeneration segment in the mixed domain are proved. On the degeneration line segment, a general conjugation condition is set, and on the boundary of the elliptic domain and degeneration segment, the Bitsadze–Samarskii condition is posed. The considered problem, based on integral representations of the solution to the Dirichlet problem (in elliptic part of the domain) and a modified Cauchy problem (in hyperbolic part of the domain), is reduced to solving a non-standard singular Tricomi integral equation with a non-Fredholm integral operator (featuring an isolated first-order singularity in the kernel) in non-characteristic part of the equation. Non-standard approaches are applied here in constructing the solution algorithm. Through successive applications of the theory of singular integral equations and then the Wiener–Hopf equation theory, the non-standard singular Tricomi integral equation is reduced to a Fredholm integral equation of the second kind, the unique solvability of which follows from the uniqueness theorem for the problem. Full article
(This article belongs to the Section C1: Difference and Differential Equations)
12 pages, 890 KB  
Article
Spectral ℝ-Linear Problems: Applications to Complex Permittivity of Coated Cylinders
by Zhanat Zhunussova and Vladimir Mityushev
Mathematics 2025, 13(11), 1862; https://doi.org/10.3390/math13111862 - 3 Jun 2025
Viewed by 572
Abstract
A composite-coated inclusion is embedded in a matrix, where the conductivity (permittivity) of the phases is assumed to be complex-valued. The purpose of this paper is to demonstrate that a non-zero flux can arise under specific conditions related to the conductivities of the [...] Read more.
A composite-coated inclusion is embedded in a matrix, where the conductivity (permittivity) of the phases is assumed to be complex-valued. The purpose of this paper is to demonstrate that a non-zero flux can arise under specific conditions related to the conductivities of the components in the absence of external sources. These conditions are unattainable with conventional positive conductivities but can be satisfied when the conductivities are negative or complex—a scenario achievable in the context of metamaterials. The problem is formulated as a spectral boundary value problem for the Laplace equation, featuring a linear conjugation condition defined on a smooth curve L. This curve divides the plane R2 into two regions, D+ and D. The spectral parameter appears in the boundary condition, drawing parallels with the Steklov eigenvalue problem. The case of a circular annulus is analyzed using the method of functional equations. The complete set of eigenvalues is derived by applying the classical theory of self-adjoint operators in Hilbert space. Full article
(This article belongs to the Special Issue Multiscale Mathematical Modeling)
Show Figures

Figure 1

15 pages, 248 KB  
Article
Existence and Nonexistence of Positive Solutions for Fractional Boundary Value Problems with Lidstone-Inspired Fractional Conditions
by Jeffrey W. Lyons, Jeffrey T. Neugebauer and Aaron G. Wingo
Mathematics 2025, 13(8), 1336; https://doi.org/10.3390/math13081336 - 19 Apr 2025
Viewed by 509
Abstract
This paper investigates the existence and nonexistence of positive solutions for a class of nonlinear Riemann–Liouville fractional boundary value problems of order α+2n, where α(m1,m] with m3 and [...] Read more.
This paper investigates the existence and nonexistence of positive solutions for a class of nonlinear Riemann–Liouville fractional boundary value problems of order α+2n, where α(m1,m] with m3 and m,nN. The conjugate fractional boundary conditions are inspired by Lidstone conditions. The nonlinearity depends on a positive parameter on which we identify constraints that determine the existence or nonexistence of positive solutions. Our method involves constructing Green’s function by convolving the Green functions of a lower-order fractional boundary value problem and a conjugate boundary value problem and using properties of this Green function to apply the Guo–Krasnosel’skii fixed-point theorem. Illustrative examples are provided to demonstrate existence and nonexistence intervals. Full article
40 pages, 12212 KB  
Article
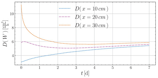
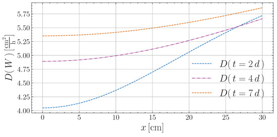
Inverse Problem for the Moisture Transfer Equation: Development of a Method for Finding the Unknown Parameter and Proof of the Convergence of the Iterative Process
by Nazerke Rysbayeva, Sultan Alpar and Bolatbek Rysbaiuly
Symmetry 2024, 16(11), 1444; https://doi.org/10.3390/sym16111444 - 31 Oct 2024
Cited by 1 | Viewed by 893
Abstract
This study develops a mathematical model for soil moisture diffusion, addressing the inverse problem of determining both the diffusion coefficient and the variation coefficient in a nonlinear moisture transfer equation. The model incorporates specific boundary and initial conditions and utilizes experimentally measured moisture [...] Read more.
This study develops a mathematical model for soil moisture diffusion, addressing the inverse problem of determining both the diffusion coefficient and the variation coefficient in a nonlinear moisture transfer equation. The model incorporates specific boundary and initial conditions and utilizes experimentally measured moisture values at a boundary point as input data. An iterative method, based on an explicit gradient scheme, is introduced to estimate the soil parameters. The initial boundary value problem is discretized, leading to a difference analog and the formulation of a conjugate difference problem. Iterative formulas for calculating the unknown parameters are derived, with a priori estimates ensuring the convergence of the iterative process. Additionally, the research establishes the convergence of the numerical model itself, providing a rigorous foundation for the proposed approach. The study also emphasizes symmetry in moisture calculations, ensuring consistency regardless of the calculation direction (from right to left or left to right) and confirming that moisture distribution remains symmetric within specified intervals. This preservation of symmetry enhances the model’s robustness and accuracy in parameter estimation. The numerical simulations were successfully conducted over a 7-day period, demonstrating the model’s reliability. The discrepancy between the numerical predictions and experimental observations remained within the margin of measurement error, confirming the model’s accuracy. Full article
(This article belongs to the Section Mathematics)
Show Figures

Figure 1

11 pages, 4156 KB  
Article
Prediction Method for Excess Surface Temperature Peak Time Inclusion Defect Depth Based on Conjugate Gradient Algorithm
by Yajing Yue, Weixiang Du, Jianping Yu and Baocun Ren
Processes 2024, 12(10), 2061; https://doi.org/10.3390/pr12102061 - 24 Sep 2024
Cited by 1 | Viewed by 895
Abstract
This study addresses the challenge of accurately calculating the depth of inclusion defects in Glass Fiber-Reinforced Plastic (GFRP), which is commonly used in onshore wind turbine blades. To overcome this issue, we proposed a novel Excess Surface Temperature Peak Time (ESPT) estimation method [...] Read more.
This study addresses the challenge of accurately calculating the depth of inclusion defects in Glass Fiber-Reinforced Plastic (GFRP), which is commonly used in onshore wind turbine blades. To overcome this issue, we proposed a novel Excess Surface Temperature Peak Time (ESPT) estimation method that combines a conjugate gradient algorithm with a conventional analytical approach. This research employed the Inverse Heat Transfer Problem (IHTP) solution method to estimate the boundary conditions of an experimental sample subjected to pulse excitation. By drawing analogies with traditional depth detection methods, we analyzed specific physical models and determined the calculated thickness of the sample. The Excess Surface Temperature Peak Time characteristics were then used to estimate the defect depth, and the resulting estimates and relative errors were evaluated. Our results demonstrated that the proposed method achieved a relative error of less than 15% when calculating defect depth, confirming its effectiveness. This approach provides new insights and possibilities for improving defect depth estimation in GFRP materials, offering valuable contributions to the assessment and maintenance of wind turbine blade safety. Full article
Show Figures

Figure 1

12 pages, 660 KB  
Article
Non-Local Problems for the Fractional Order Diffusion Equation and the Degenerate Hyperbolic Equation
by Menglibay Ruziev, Roman Parovik, Rakhimjon Zunnunov and Nargiza Yuldasheva
Fractal Fract. 2024, 8(9), 538; https://doi.org/10.3390/fractalfract8090538 - 16 Sep 2024
Viewed by 1286
Abstract
This research explores nonlocal problems associated with fractional diffusion equations and degenerate hyperbolic equations featuring singular coefficients in their lower-order terms. The uniqueness of the solution is established using the energy integral method, while the existence of the solution is equivalently reduced to [...] Read more.
This research explores nonlocal problems associated with fractional diffusion equations and degenerate hyperbolic equations featuring singular coefficients in their lower-order terms. The uniqueness of the solution is established using the energy integral method, while the existence of the solution is equivalently reduced to solving Volterra integral equations of the second kind and a fractional differential equation. The study focuses on a mixed domain where the parabolic section aligns with the upper half-plane, and the hyperbolic section is bounded by two characteristics of the equation under consideration and a segment of the x-axis. By utilizing the solution representation of the fractional-order diffusion equation, a primary functional relationship is derived between the traces of the sought function on the x-axis segment from the parabolic part of the mixed domain. An explicit solution form for the modified Cauchy problem in the hyperbolic section of the mixed domain is presented. This solution, combined with the problem’s boundary condition, yields a fundamental functional relationship between the traces of the unknown function, mapped to the interval of the equation’s degeneration line. Through the conjugation condition of the problem, an equation with fractional derivatives is obtained by eliminating one unknown function from two functional relationships. The solution to this equation is explicitly formulated. For a specific solution of the proposed problem, visualizations are provided for various orders of the fractional derivative. The analysis demonstrates that the derivative order influences both the intensity of the diffusion (or subdiffusion) process and the shape of the wave front. Full article
Show Figures

Figure 1

10 pages, 2344 KB  
Article
An Analysis of the Stress–Strain State of a Layer on Two Cylindrical Bearings
by Vitaly Miroshnikov, Oleksandr Denshchykov, Iaroslav Grebeniuk and Oleksandr Savin
Computation 2024, 12(9), 182; https://doi.org/10.3390/computation12090182 - 6 Sep 2024
Cited by 3 | Viewed by 1038
Abstract
A spatial problem of elasticity theory is solved for a layer located on two bearings embedded in it. The bearings are represented as thick-walled pipes embedded in the layer parallel to its boundaries. The pipes are rigidly connected to the layer, and contact-type [...] Read more.
A spatial problem of elasticity theory is solved for a layer located on two bearings embedded in it. The bearings are represented as thick-walled pipes embedded in the layer parallel to its boundaries. The pipes are rigidly connected to the layer, and contact-type conditions (normal displacements and tangential stresses) are specified on the insides of the pipes. Stresses are set on the flat surfaces of the layer. The objective of this study is to obtain the stress–strain state of the body of the layer under different geometric characteristics of the model. The solution to the problem is presented in the form of the Lamé equation, whose terms are written in different coordinate systems. The generalized Fourier method is used to transfer the basic solutions between coordinate systems. By satisfying the boundary and conjugation conditions, the problem is reduced to a system of infinite linear algebraic equations of the second kind, to which the reduction method is applied. After finding the unknowns, using the generalized Fourier method, it is possible to find the stress–strain state at any point of the body. The numerical study of the stress state showed high convergence of the approximate solutions to the exact one. The stress–strain state of the composite body was analyzed for different geometric parameters and different pipe materials. The results obtained can be used for the preliminary determination of the geometric parameters of the model and the materials of the joints. The proposed solution method can be used not only to calculate the stress state of bearing joints, but also of bushings (under specified conditions of rigid contact without friction on the internal surfaces). Full article
Show Figures

Figure 1

27 pages, 17970 KB  
Article
Determination of Local Heat Transfer Coefficients and Friction Factors at Variable Temperature and Velocity Boundary Conditions for Complex Flows
by Christopher Hartmann and Jens von Wolfersdorf
Fluids 2024, 9(9), 197; https://doi.org/10.3390/fluids9090197 - 27 Aug 2024
Viewed by 1825
Abstract
Transient conjugate heat transfer measurements under varying temperature and velocity inlet boundary conditions at incompressible flow conditions were performed for flat plate and ribbed channel geometries. Therefrom, local adiabatic wall temperatures and heat transfer coefficients were determined. The data were analyzed using typical [...] Read more.
Transient conjugate heat transfer measurements under varying temperature and velocity inlet boundary conditions at incompressible flow conditions were performed for flat plate and ribbed channel geometries. Therefrom, local adiabatic wall temperatures and heat transfer coefficients were determined. The data were analyzed using typical heat transfer correlations, e.g., Nu=CRemPrn, determining the local distributions of C and m. It is shown that they are closely linked. A relationship lnC=AmB is observed, with A and B as modeling parameters. They could be related to parameters in log-law or power-law representations for turbulent boundary layer flows. The parameter m is shown to have a close link to local pressure gradients and, therewith, near wall streamlines as well as friction factor distributions. A normalization of the C parameter allows one to derive a Reynolds analogy factor and, therefrom, local wall shear stresses. Full article
Show Figures

Figure 1

13 pages, 3063 KB  
Article
Model Characterization of High-Voltage Layer Heater for Electric Vehicles through Electro–Thermo–Fluidic Simulations
by Kwon Joong Son
Energies 2024, 17(12), 2935; https://doi.org/10.3390/en17122935 - 14 Jun 2024
Viewed by 1631
Abstract
This paper focuses on the modeling and analysis of a high-voltage layer heater (HVLH) designed for environmentally friendly vehicles, including electric vehicles (EVs) and plug-in hybrid electric vehicles (PHEVs), through multiphysics simulations that cover electrical, thermal, and fluid dynamics aspects. Due to the [...] Read more.
This paper focuses on the modeling and analysis of a high-voltage layer heater (HVLH) designed for environmentally friendly vehicles, including electric vehicles (EVs) and plug-in hybrid electric vehicles (PHEVs), through multiphysics simulations that cover electrical, thermal, and fluid dynamics aspects. Due to the significant expenses and extensive time needed for producing and experimentally characterizing HVLHs, simulation and physical modeling methods are favored in the development stage. This research pioneers the separate modeling of thermal boundary conditions for the heating element (TFE) within the electrical domain, enabling the calculation of Joule heating and the analysis of transient conjugate heat transfer. Moreover, this research initiates the application of transfer function modeling for the HVLH component, expanding its use to the broader context of heating, ventilation, and air conditioning (HVAC) systems. The simulation results, which include calculations for Joule heating and temperature fields based on input voltage and flow conditions, closely follow experimental data. The derived transfer function, along with the regression parameters, precisely predicts the dynamic behavior of the system. The simulation-based modeling approach presented in this study significantly advances the design and control of environmentally friendly electric heating systems, providing a sustainable and cost-effective solution. Full article
(This article belongs to the Section J1: Heat and Mass Transfer)
Show Figures

Figure 1

26 pages, 17158 KB  
Article
An Inverse Problem for Estimating Spatially and Temporally Dependent Surface Heat Flux with Thermography Techniques
by Cheng-Hung Huang and Kuan-Chieh Fang
Mathematics 2024, 12(10), 1584; https://doi.org/10.3390/math12101584 - 19 May 2024
Viewed by 1555
Abstract
In this study, an inverse conjugate heat transfer problem is examined to estimate temporally and spatially the dependent unknown surface heat flux using thermography techniques with a thermal camera in a three-dimensional domain. Thermography techniques encompass a broad set of methods and procedures [...] Read more.
In this study, an inverse conjugate heat transfer problem is examined to estimate temporally and spatially the dependent unknown surface heat flux using thermography techniques with a thermal camera in a three-dimensional domain. Thermography techniques encompass a broad set of methods and procedures used for capturing and analyzing thermal data, while thermal cameras are specific tools used within those techniques to capture thermal images. In the present study, the interface conditions of the plate and air domains are obtained using perfect thermal contact conditions, and therefore we define the problem studied as an inverse conjugate heat transfer problem. Achieving the simultaneous solution of the continuity, Navier–Stokes, and energy equations within the air domain, alongside the heat conduction equation in the plate domain, presents a more intricate challenge compared to conventional inverse heat conduction problems. The validity of our inverse solutions was verified through numerical simulations, considering various inlet air velocities and plate thicknesses. Notably, it was found that due to the singularity of the gradient of the cost function at the final time point, the estimated results near the final time must be discarded, and exact measurements consistently produce accurate boundary heat fluxes under thin-plate conditions, with air velocity exhibiting no significant impact on the estimates. Additionally, an analysis of measurement errors and their influence on the inverse solutions was conducted. The numerical results conclusively demonstrated that the maximum error when estimating heat flux consistently remained below 3% and higher measurement noise resulted in the accuracy of the heat flux estimation decreasing. This underscores the inherent challenges associated with inverse problems and highlights the importance of obtaining accurate measurement data in the problem domain. Full article
(This article belongs to the Special Issue Computational and Analytical Methods for Inverse Problems)
Show Figures

Figure 1

24 pages, 10693 KB  
Article
A Modified Enthalpic Lattice Boltzmann Method for Simulating Conjugate Heat Transfer Problems in Non-Homogeneous Media
by Vinicius Akyo Matsuda, Ivan Talão Martins, Debora Carneiro Moreira, Luben Cabezas-Gómez and Enio Pedone Bandarra Filho
Inventions 2024, 9(3), 57; https://doi.org/10.3390/inventions9030057 - 13 May 2024
Viewed by 2332
Abstract
In this study, we introduced modifications to a prior existing enthalpic lattice Boltzmann method (LBM) tailored for simulating the conjugate heat transfer phenomena in non-homogeneous media with time-dependent thermal properties. Our approach is based upon the incorporation of the remaining terms of a [...] Read more.
In this study, we introduced modifications to a prior existing enthalpic lattice Boltzmann method (LBM) tailored for simulating the conjugate heat transfer phenomena in non-homogeneous media with time-dependent thermal properties. Our approach is based upon the incorporation of the remaining terms of a conservative energy equation, excluding only the terms regarding flow compressibility and viscous dissipation, thereby accounting for the local and transient variations in the thermophysical properties. The solutions of verification tests, comprising assessments of both transient and steady-state solutions, validated the accuracy of the proposed model, further bolstering its reliability for analyzing heat transfer processes. The modified model was then used to perform an analysis on structured cavities under free convection, revealing compelling insights, particularly regarding transient regimes, demonstrating that the structured cavities exhibit a beneficial impact on enhancing the heat transfer processes, hence providing insights for potential design enhancements in heat exchangers. These results demonstrate the potential of our modified enthalpic LBM approach for simulating complex heat transfer phenomena in non-homogeneous media and structured geometries, offering valuable results for heat exchanger engineering and optimization. Full article
(This article belongs to the Special Issue Innovations in Heat Exchangers)
Show Figures

Figure 1

Back to TopTop