Sign in to use this feature.

Years

Between: -

Subjects

remove_circle_outline
remove_circle_outline
remove_circle_outline
remove_circle_outline
remove_circle_outline
remove_circle_outline
remove_circle_outline
remove_circle_outline
remove_circle_outline

Journals

remove_circle_outline
remove_circle_outline
remove_circle_outline
remove_circle_outline
remove_circle_outline
remove_circle_outline
remove_circle_outline
remove_circle_outline
remove_circle_outline
remove_circle_outline
remove_circle_outline
remove_circle_outline
remove_circle_outline
remove_circle_outline
remove_circle_outline
remove_circle_outline
remove_circle_outline
remove_circle_outline

Article Types

Countries / Regions

remove_circle_outline
remove_circle_outline
remove_circle_outline
remove_circle_outline
remove_circle_outline
remove_circle_outline

Search Results (2,561)

Search Parameters:
Keywords = competitive learning

Order results
Result details
Results per page
Select all
Export citation of selected articles as:
19 pages, 1650 KB  
Article
Unsupervised Voting for Detecting the Algorithmic Solving Strategy in Competitive Programming Solutions
by Alexandru Stefan Stoica, Daniel Babiceanu, Marian Cristian Mihaescu and Traian Rebedea
Mathematics 2025, 13(22), 3589; https://doi.org/10.3390/math13223589 (registering DOI) - 8 Nov 2025
Abstract
The problem of source-code analysis using machine-learning techniques has gained much attention recently, as several powerful code-embedding methods have been created. Having different embedding methods available for source code has opened the way to tackling many practical problems in source-code analysis. This paper [...] Read more.
The problem of source-code analysis using machine-learning techniques has gained much attention recently, as several powerful code-embedding methods have been created. Having different embedding methods available for source code has opened the way to tackling many practical problems in source-code analysis. This paper addresses the problem of determining the number of distinct algorithmic strategies that may be found in a set of correct solutions to a competitive programming problem. To achieve this, we employ a novel unsupervised algorithm that uses a multiview interpretation of data based on different embedding and clustering methods, a multidimensional assignment problem (MAP) to determine a subset of a higher probability of correctness, and a self-training method based on voting to determine the correct clusters of the remaining set. We investigate the following two aspects: (1) whether the proposed unsupervised approach outperforms existing methods when the number K of distinct algorithmic strategies is known and (2) Whether the approach can also be applied to determine the optimal value of K. We have addressed these using seven embedding methods with three clustering strategies in a data-analysis pipeline that tackles the previously described issues on a newly created dataset consisting of 15 algorithmic problems. According to the results, for the first aspect, the proposed unsupervised voting algorithm significantly improves the baseline clustering approach for a known K. This improvement was observed across all problems in the dataset, except one. In the case of the second one, we prove that the proposed method has a negative impact on determining the optimal number K. Scale-up of the data-analysis pipeline to datasets of thousands of problems may yield the ability to profoundly understand and learn about the innovative process of correctly designing and writing code in the context of competitive programming or even industry code. Full article
Show Figures

Figure 1

26 pages, 2349 KB  
Article
DFC-LSTM: A Novel LSTM Architecture Integrating Dynamic Fractal Gating and Chaotic Activation for Value-at-Risk Forecasting
by Yilong Zeng, Boyan Tang, Zhefang Zhou and Raymond S. T. Lee
Mathematics 2025, 13(22), 3587; https://doi.org/10.3390/math13223587 (registering DOI) - 8 Nov 2025
Abstract
Accurate Value-at-Risk (VaR) forecasting is challenged by the non-stationary, fractal, and chaotic dynamics of financial markets. Standard deep learning models like LSTMs often rely on static internal mechanisms that fail to adapt to shifting market complexities. To address these limitations, we propose a [...] Read more.
Accurate Value-at-Risk (VaR) forecasting is challenged by the non-stationary, fractal, and chaotic dynamics of financial markets. Standard deep learning models like LSTMs often rely on static internal mechanisms that fail to adapt to shifting market complexities. To address these limitations, we propose a novel architecture: the Dynamic Fractal–Chaotic LSTM (DFC-LSTM). This model incorporates two synergistic innovations: a multifractal-driven dynamic forget gate that utilizes the multifractal spectrum width (Δα) to adaptively regulate memory retention, and a chaotic oscillator-based dynamic activation that replaces the standard tanh function with the peak response of a Lee Oscillator’s trajectory. We evaluate the DFC-LSTM for one-day-ahead 95% VaR forecasting on S&P 500 and AAPL stock data, comparing it against a suite of state-of-the-art benchmarks. The DFC-LSTM consistently demonstrates superior statistical calibration, passing coverage tests with significantly higher p-values—particularly on the volatile AAPL dataset, where several benchmarks fail—while maintaining competitive economic loss scores. These results validate that embedding the intrinsic dynamical principles of financial markets into neural architectures leads to more accurate and reliable risk forecasts. Full article
(This article belongs to the Section E5: Financial Mathematics)
19 pages, 11078 KB  
Article
A Unified Framework for Cross-Domain Space Drone Pose Estimation Integrating Offline Domain Generalization with Online Domain Adaptation
by Yingjian Yu, Zhang Li and Qifeng Yu
Drones 2025, 9(11), 774; https://doi.org/10.3390/drones9110774 - 7 Nov 2025
Abstract
In this paper, we present a Unified Framework for cross-domain Space drone Pose Estimation (UF-SPE), addressing the simulation-to-reality gap that limits the deployment of deep learning models in real space missions. The proposed UF-SPE framework integrates offline domain generalization with online unsupervised domain [...] Read more.
In this paper, we present a Unified Framework for cross-domain Space drone Pose Estimation (UF-SPE), addressing the simulation-to-reality gap that limits the deployment of deep learning models in real space missions. The proposed UF-SPE framework integrates offline domain generalization with online unsupervised domain adaptation. During offline training, the model relies exclusively on synthetic images. It employs advanced augmentation techniques and a multi-task architecture equipped with Domain Shifting Uncertainty modules to improve the learning of domain-invariant features. In the online phase, normalization layers are fine-tuned using unlabeled real-world imagery via entropy minimization, allowing for the system to adapt to target domain distributions without manual labels. Experiments on the SPEED+ benchmark demonstrate that the UF-SPE achieves competitive accuracy with just 12.9 M parameters, outperforming the comparable lightweight baseline method by 37.5% in pose estimation accuracy. The results validate the framework’s efficacy and efficiency for robust cross-domain space drone pose estimation, indicating promise for applications such as on-orbit servicing, debris removal, and autonomous rendezvous. Full article
13 pages, 375 KB  
Article
Predicting Outcome and Duration of Mechanical Ventilation in Acute Hypoxemic Respiratory Failure: The PREMIER Study
by Jesús Villar, Jesús M. González-Martín, Cristina Fernández, Juan A. Soler, Marta Rey-Abalo, Juan M. Mora-Ordóñez, Ramón Ortiz-Díaz-Miguel, Lorena Fernández, Isabel Murcia, Denis Robaglia, José M. Añón, Carlos Ferrando, Dácil Parrilla, Ana M. Dominguez-Berrot, Pilar Cobeta, Domingo Martínez, Ana Amaro-Harpigny, David Andaluz-Ojeda, M. Mar Fernández, Estrella Gómez-Bentolila, Ewout W. Steyerberg, Luigi Camporota and Tamas Szakmanyadd Show full author list remove Hide full author list
J. Clin. Med. 2025, 14(22), 7903; https://doi.org/10.3390/jcm14227903 - 7 Nov 2025
Abstract
Objectives: The ability of clinicians to predict prolonged mechanical ventilation (MV) in patients with acute hypoxemic respiratory failure (AHRF) is inaccurate, mainly because of the competitive risk of mortality. We aimed to assess the performance of machine learning (ML) models for the early [...] Read more.
Objectives: The ability of clinicians to predict prolonged mechanical ventilation (MV) in patients with acute hypoxemic respiratory failure (AHRF) is inaccurate, mainly because of the competitive risk of mortality. We aimed to assess the performance of machine learning (ML) models for the early prediction of prolonged MV in a large cohort of patients with AHRF. Methods: We analyzed 996 ventilated AHRF patients with complete data at 48 h after diagnosis of AHRF from 1241 patients enrolled in a prospective, national epidemiological study, after excluding 245 patients ventilated for <2 days. To account for competing mortality, we used multinomial regression analysis (MNR) to model prolonged MV in three categories: (i) ICU survivors (regardless of MV duration), (ii) non-survivors ventilated for 2–7 days, (iii) non-survivors ventilated for >7 days. We performed 4 × 10-fold cross-validation to validate the performance of potent ML techniques [Multilayer Perceptron (MLP), Support Vector Machine (SVM), Random Forest (RF)] for predicting patient assignment. Results: All-cause ICU mortality was 32.8% (327/996). We identified 12 key predictors at 48 h of AHRF diagnosis: age, specific comorbidities, sequential organ failure assessment score, tidal volume, PEEP, plateau pressure, PaO2, pH, and number of organ failures. MLP showed the best predictive performance [AUC 0.86 (95%CI: 0.80–0.92) and 0.87 (0.80–0.93)], followed by MNR [AUC 0.83 (0.76–0.90) and 0.84 (0.77–0.91)], in distinguishing ICU survivors, with non-survivors ventilated 2–7 days and >7 days, respectively. Conclusions: Accounting for ICU mortality, MLP and MNR offered accurate patient-level predictions. Further work should integrate clinical and organizational factors to improve timely management and optimize outcomes. This study was initially registered on 3 February 2025 at ClinicalTrials.gov (NCT06815523). Full article
(This article belongs to the Special Issue Acute Hypoxemic Respiratory Failure: Progress, Challenges and Future)
Show Figures

Figure 1

24 pages, 811 KB  
Article
The Impact of Cash Holding Decisions on Firm Performance in the IT Industry
by Jaeseong Lim and Bong Keun Jeong
J. Risk Financial Manag. 2025, 18(11), 625; https://doi.org/10.3390/jrfm18110625 - 7 Nov 2025
Abstract
This study examines the relationship between corporate cash holdings and firm performance within the IT industry, which is characterized by intense competition and rapid technological advancements. We propose an integrated framework that combines principal component analysis (PCA), machine learning (ML) algorithms, and Shapley [...] Read more.
This study examines the relationship between corporate cash holdings and firm performance within the IT industry, which is characterized by intense competition and rapid technological advancements. We propose an integrated framework that combines principal component analysis (PCA), machine learning (ML) algorithms, and Shapley additive explanation (SHAP) values to estimate and interpret model outcomes. Based on 21,051 corporate financial statement data items from 2004 and 2023, the empirical evidence supports an inverted U-shaped relationship between cash holdings and profitability, suggesting that holding either too little or too much cash is suboptimal. Among the tested models, the random forest demonstrates the highest explanatory power (R2) and the lowest prediction errors (RMSE), outperforming the traditional ordinary least squares (OLS) regression by explaining 47% more variance. Our findings provide practical implications for researchers and stakeholders interested in enhancing corporate risk management and performance. Full article
(This article belongs to the Section Business and Entrepreneurship)
24 pages, 3671 KB  
Article
Unveiling Disparities in Beer Consumer Behavior and Key Drivers Across Regions in China
by Jiang Xie, Yiyuan Chen, Ruiyang Yin, Xin Yuan, Liyun Guo, Dongrui Zhao, Jinyuan Sun, Jinchen Li, Mengyao Liu and Baoguo Sun
Foods 2025, 14(21), 3799; https://doi.org/10.3390/foods14213799 - 6 Nov 2025
Abstract
Beer consumption behaviors within China exhibited significant regional heterogeneity. To elucidate the specific differences in beer consumer behaviors across different regions and their influencing factors, this study systematically analyzed the sensory preference characteristics of consumers in the Chinese beer market based on machine [...] Read more.
Beer consumption behaviors within China exhibited significant regional heterogeneity. To elucidate the specific differences in beer consumer behaviors across different regions and their influencing factors, this study systematically analyzed the sensory preference characteristics of consumers in the Chinese beer market based on machine learning methods, and further revealed the core driving mechanisms influencing their consumption behaviors. By integrating consumer data from different regions, a comprehensive dataset was constructed encompassing sensory attribute evaluations (bitterness, malt flavor, hop aroma, smoothness of mouthfeel, foam characteristics, etc.) and other dimensional consumption behavior variables (brand, beer packaging, etc.). Utilizing an ensemble learning framework (LightGBM), Support Vector Machine (SVM), and decision tree models for feature mining, the study identified important factors influencing the consumption behaviors of Chinese beer consumers. Specifically, consumers in mature and upgrading markets placed greater emphasis on the overall drinking experience and drinkability when purchasing beer, whereas consumers in scale-dominant and mainstream competitive markets considered foam persistence, fineness, and light brown color as core quality indicators. Conversely, consumers in potential growth and emerging cultivation markets demonstrated strong brand orientation. This indicated that the factors influencing beer consumption behaviors varied significantly across regions. Through a data-driven paradigm, this study revealed the underlying regional mechanisms behind consumption decisions in different regional beer markets in China, providing a theoretical foundation and empirical support for cross-regional product customization, precision marketing, and resource optimization. Full article
(This article belongs to the Section Food Analytical Methods)
Show Figures

Figure 1

29 pages, 388 KB  
Article
Free Banking Stablecoins
by Pythagoras Petratos and Brian Baugus
Economies 2025, 13(11), 317; https://doi.org/10.3390/economies13110317 - 6 Nov 2025
Abstract
Monetary policy and central banks faced significant challenges in recent decades, like the Great Recession and the 2008–2009 financial crisis, and the Global Inflation Surge of 2021–2022. The introduction of blockchain technology triggered major financial innovations. Nevertheless, the adoption of digital currencies and [...] Read more.
Monetary policy and central banks faced significant challenges in recent decades, like the Great Recession and the 2008–2009 financial crisis, and the Global Inflation Surge of 2021–2022. The introduction of blockchain technology triggered major financial innovations. Nevertheless, the adoption of digital currencies and stablecoins in particular has been limited and does not have wide and everyday use, like national currencies. To understand non-national currency usage better, we examine free banking in Scotland and the U.S., and specifically note issuance. Lessons from these periods suggest the importance of reserves and coordination mechanisms. Based on these free banking cases, we propose that banks and corporations should have the freedom to issue their own stablecoins. More specifically, we examine the freedom for regulated banks to issue their own stablecoins in a competitive environment, learning from historical precedents how to manage such a system. Free banking stablecoins could provide significant benefits, especially in countries with unstable monetary systems, like emerging economies. Such benefits can range from better monetary policy, inflation targeting, and stability, to a broader range of innovative financial markets and services that can contribute towards entrepreneurship, investments, and economic development. Citizens, entrepreneurs, and domestic and foreign investors can gain from these benefits. At the same time, the banking sector and financial institutions can maintain an important role and further expand and develop by offering innovative financial services in an evolving and challenging environment due to financial technology and disintermediation. Finally, governments and central banks could also benefit from increased financial inclusion, higher economic growth and development, but also from more competition and financial stability, and from financial innovation and technology services. Full article
20 pages, 1597 KB  
Article
Three-Level MIFT: A Novel Multi-Source Information Fusion Waterway Tracking Framework
by Wanqing Liang, Chen Qiu, Mei Wang and Ruixiang Kan
Electronics 2025, 14(21), 4344; https://doi.org/10.3390/electronics14214344 - 5 Nov 2025
Viewed by 118
Abstract
To address the limitations of single-sensor perception in inland vessel monitoring and the lack of robustness of traditional tracking methods in occlusion and maneuvering scenarios, this paper proposes a hierarchical multi-target tracking framework that fuses Light Detection and Ranging (LiDAR) data with Automatic [...] Read more.
To address the limitations of single-sensor perception in inland vessel monitoring and the lack of robustness of traditional tracking methods in occlusion and maneuvering scenarios, this paper proposes a hierarchical multi-target tracking framework that fuses Light Detection and Ranging (LiDAR) data with Automatic Identification System (AIS) information. First, an improved adaptive LiDAR tracking algorithm is introduced: stable trajectory tracking and state estimation are achieved through hybrid cost association and an Adaptive Kalman Filter (AKF). Experimental results demonstrate that the LiDAR module achieves a Multi-Object Tracking Accuracy (MOTA) of 89.03%, an Identity F1 Score (IDF1) of 89.80%, and an Identity Switch count (IDSW) as low as 5.1, demonstrating competitive performance compared with representative non-deep-learning-based approaches. Furthermore, by incorporating a fusion mechanism based on improved Dempster–Shafer (D-S) evidence theory and Covariance Intersection (CI), the system achieves further improvements in MOTA (90.33%) and IDF1 (90.82%), while the root mean square error (RMSE) of vessel size estimation decreases from 3.41 m to 1.97 m. Finally, the system outputs structured three-level tracks: AIS early-warning tracks, LiDAR-confirmed tracks, and LiDAR-AIS fused tracks. This hierarchical design not only enables beyond-visual-range (BVR) early warning but also enhances perception coverage and estimation accuracy. Full article
Show Figures

Figure 1

35 pages, 964 KB  
Article
From Gendered Entrepreneurial Cognition to Sustainable Performance: The Power of Women’s Entrepreneurial Capital in Emerging Economies
by Thamrin Tahir, Muhammad Hasan, Muhammad Ilyas Thamrin Tahir, Andi Tenri Ampa, Andi Caezar To Tadampali, Ratnah Suharto and Muhammad Ihsan Said Ahmad
Adm. Sci. 2025, 15(11), 433; https://doi.org/10.3390/admsci15110433 - 5 Nov 2025
Viewed by 221
Abstract
Gender equality and sustainability remain critical global agendas emphasized in the United Nations Sustainable Development Goals (SDGs) adopted in 2015. Women entrepreneurs in emerging economies, despite facing structural constraints, hold strategic potential to advance inclusive and sustainable growth. Building on this context, the [...] Read more.
Gender equality and sustainability remain critical global agendas emphasized in the United Nations Sustainable Development Goals (SDGs) adopted in 2015. Women entrepreneurs in emerging economies, despite facing structural constraints, hold strategic potential to advance inclusive and sustainable growth. Building on this context, the present study develops and empirically tests an integrative framework that explains how gendered entrepreneurial cognition (GEC) influences sustainable performance (SP) through the mediating roles of women’s intellectual capital (WIC) and women’s social capital (WSC). A sequential explanatory mixed-method design was employed, combining survey data from 653 women entrepreneurs with in-depth interviews and focus group discussions. Quantitative results demonstrate that GEC significantly enhances WIC and WSC, which in turn strengthen SP, while the direct effect of GEC on SP is weaker. Qualitative insights reinforce these findings by revealing how women mobilize adaptive knowledge, experiential learning, and trust-based networks to achieve economic, social, and environmental objectives. Theoretically, this study advances an innovative multitheoretical integration of the resource-based view, knowledge-based view, and social capital theory, positioning GEC as a gendered cognitive microfoundation for the creation of intangible resources. Practically, the findings highlight that strengthening women’s entrepreneurial capital—represented by the synergy of WIC and WSC—is crucial for enhancing resilience, competitiveness, and sustainability among women-led SMEs in emerging economies. Overall, this study contributes novel evidence from Indonesia by demonstrating that women’s cognition, knowledge, and social networks operate as interconnected pathways toward sustainable entrepreneurial performance. Full article
(This article belongs to the Special Issue Research on Female Entrepreneurship and Diversity—2nd Edition)
Show Figures

Figure 1

42 pages, 4082 KB  
Article
Hybrid Ensemble Deep Learning Framework with Snake and EVO Optimization for Multiclass Classification of Alzheimer’s Disease Using MRI Neuroimaging
by Arej Masod Rajab Alhagi and Oğuz Ata
Electronics 2025, 14(21), 4328; https://doi.org/10.3390/electronics14214328 - 5 Nov 2025
Viewed by 179
Abstract
An early and precise diagnosis is essential for successful intervention in Alzheimer’s disease (AD), a progressive neurological illness. In this study, we present a deep learning-based framework for multiclass classification of AD severity levels using MRI neuroimaging data. The framework integrates multiple convolutional [...] Read more.
An early and precise diagnosis is essential for successful intervention in Alzheimer’s disease (AD), a progressive neurological illness. In this study, we present a deep learning-based framework for multiclass classification of AD severity levels using MRI neuroimaging data. The framework integrates multiple convolutional and transformer-based architectures with a novel hybrid hyperparameter optimization strategy; Snake+EVO surpasses conventional optimizers like Genetic Algorithms and Particle Swarm Optimization by skillfully striking a balance between exploration and exploitation. A private clinical dataset yielded a classification accuracy of 99.81%for the optimized CNN model, while maintaining competitive performance on benchmark datasets such as OASIS and the Alzheimer’s Disease Multiclass Dataset. Ensemble learning further enhanced robustness by leveraging complementary model strengths, and Grad-CAM visualizations provided interpretable heatmaps highlighting clinically relevant brain regions. These findings confirm that hybrid optimization combined with ensemble learning substantially improves diagnostic accuracy, efficiency, and interpretability, establishing the proposed framework as a promising AI-assisted tool for AD staging. Future work will extend this approach to multimodal neuroimaging and longitudinal modeling to better capture disease progression and support clinical translation. Full article
Show Figures

Figure 1

37 pages, 3061 KB  
Article
Deep Learning-Based Digital, Hyperspectral, and Near-Infrared (NIR) Imaging for Process-Level Quality Control in Ecuador’s Agri-Food Industry: An ISO-Aligned Framework
by Alexander Sánchez-Rodríguez, Richard Dennis Ullrich-Estrella, Carlos Ernesto González-Gallardo, María Belén Jácome-Villacres, Gelmar García-Vidal and Reyner Pérez-Campdesuñer
Processes 2025, 13(11), 3544; https://doi.org/10.3390/pr13113544 - 4 Nov 2025
Viewed by 194
Abstract
Ensuring consistent quality and safety in agri-food processing is a strategic priority for firms seeking compliance with international standards such as ISO 9001 and ISO 22000. Traditional inspection practices in Ecuador’s food industry remain largely destructive, labor-intensive, and subjective, limiting real-time decision-making. This [...] Read more.
Ensuring consistent quality and safety in agri-food processing is a strategic priority for firms seeking compliance with international standards such as ISO 9001 and ISO 22000. Traditional inspection practices in Ecuador’s food industry remain largely destructive, labor-intensive, and subjective, limiting real-time decision-making. This study developed a non-destructive, ISO-aligned framework for process-level quality control by integrating digital (RGB) imaging for surface-level inspection, hyperspectral imaging (HSI) for internal-quality prediction (e.g., moisture, firmness, and freshness), near-infrared spectroscopy (NIRS) for compositional and authenticity analysis, and deep learning (DL) models for automated classification of ripeness, maturity, and defects. Experimental results across four flagship commodities—bananas, cacao, coffee, and shrimp—achieved classification accuracies above 88% and ROC AUC values exceeding 0.90, confirming the robustness of AI-driven, multimodal (RGB–HSI–NIRS) inspection under semi-industrial conveyor conditions. Beyond technological performance, the findings demonstrate that digital inspection reinforces ISO principles of evidence-based decision-making, conformity verification, and traceability, thereby operationalizing the Plan–Do–Check–Act (PDCA) cycle at digital speed. The study contributes theoretically by advancing the conceptualization of Quality 4.0 as a socio-technical transformation that embeds AI-driven sensing and analytics within management standards, and practically by providing a roadmap for Ecuadorian SMEs to strengthen export competitiveness through automated, real-time, and auditable quality assurance. Full article
(This article belongs to the Special Issue Processing and Quality Control of Agro-Food Products)
Show Figures

Figure 1

15 pages, 1553 KB  
Article
Hamstring Strain Injury Risk in Soccer: An Exploratory, Hypothesis-Generating Prediction Model
by Afxentios Kekelekis, Rabiu Muazu Musa, Pantelis T. Nikolaidis, Filipe Manuel Clemente and Eleftherios Kellis
Muscles 2025, 4(4), 50; https://doi.org/10.3390/muscles4040050 - 4 Nov 2025
Viewed by 372
Abstract
Hamstring strain injuries (HSI) are common in soccer and remain challenging to predict, as traditional risk factors often fail to capture the multifactorial nature of injury susceptibility. This prospective cohort study aimed to develop and internally validate a machine learning-assisted logistic regression model [...] Read more.
Hamstring strain injuries (HSI) are common in soccer and remain challenging to predict, as traditional risk factors often fail to capture the multifactorial nature of injury susceptibility. This prospective cohort study aimed to develop and internally validate a machine learning-assisted logistic regression model for predicting hamstring injuries in amateur soccer players using preseason clinical and strength-related variables. A total of 120 male players were followed for one competitive season (30 weeks). Baseline predictors included age, body mass index, previous injury, and bilateral isometric hip and knee strength measured via handheld dynamometry. Twenty initial predictors were reduced to ten through symmetrical uncertainty feature ranking before training a logistic regression model with elastic-net regularization (training set: n = 83; test set: n = 37) using nested four-fold cross-validation. Model performance was evaluated using the area under the receiver operating characteristic curve (AUC), calibration metrics, and confusion matrices. During follow-up, 21 players sustained at least one HSI (32 events; 28% reinjuries), yielding an events-per-variable ratio of 2.1, below ideal thresholds and suggesting possible overfitting. On the independent test set, the model achieved an accuracy of 64.9%, AUC of 0.68 (95% CI 0.52–0.84), calibration slope of 0.85, and intercept of −0.12, with a sensitivity of 60% and specificity of 65.6%. Dominant-leg hip abduction strength was the only statistically significant predictor (OR = 0.82, 95% CI 0.70–0.96), while permutation importance analyses identified previous hamstring injury as the most stable contributor to model performance. Neither age nor hamstring isometric strength demonstrated predictive value. Although model discrimination was moderate and calibration indicated mild overfitting, findings reinforce the prognostic relevance of prior injury and suggest that reduced hip abduction strength may serve as an emerging candidate marker. This study, classified as a TRIPOD Category 2 model (development without external validation), provides preliminary, hypothesis-generating evidence supporting the use of multivariate strength and history-based predictors in future, larger-scale injury prediction research. Full article
Show Figures

Figure 1

20 pages, 739 KB  
Article
Digital Skills and Digital Transformation Performance in the EU-27: A DESI-Based Nonparametric and Panel Data Study
by Beata Sofrankova, Elena Sira, Jarmila Horvathova and Martina Mokrisova
Economies 2025, 13(11), 315; https://doi.org/10.3390/economies13110315 - 4 Nov 2025
Viewed by 213
Abstract
Digital skills represent a key dimension of digital transformation, shaping the innovation potential, competitiveness, and long-term sustainability of the European economy. The aim of this paper is to compare the development of digital skills in EU-27 countries from 2018 to 2024 and identify [...] Read more.
Digital skills represent a key dimension of digital transformation, shaping the innovation potential, competitiveness, and long-term sustainability of the European economy. The aim of this paper is to compare the development of digital skills in EU-27 countries from 2018 to 2024 and identify the strengths and weaknesses within the European context. The analysis is based on secondary data from the Digital Economy and Society Index (DESI). From the total of 36 indicators included in DESI, 12 variables were selected, with an emphasis on 3 core digital-skills metrics: Internet use, ICT specialists, and ICT graduates. To assess their interrelationships and linkages with overall digital transformation performance, non-parametric correlation analyses (Kendall’s Tau and Spearman’s rank correlation) were applied. Furthermore, across-year nonparametric tests (Friedman ANOVA with Kendall’s coefficient of concordance, W) were used to evaluate year-to-year differences and the stability of country rankings over 2018–2024. The empirical results confirmed that higher levels of digital skills are associated with stronger digital transformation performance among EU member states, while significant cross-country disparities persist. Germany and the Nordic economies (Finland, Sweden, and Denmark) achieved the best results, while Southern and Eastern European countries such as Bulgaria, Portugal, and Greece lagged behind. These findings highlight the strategic role of digital education, ICT specialization, and lifelong learning initiatives in promoting sustainable digital transformation and competitiveness across Europe. In addition, panel regression analysis confirmed that digital infrastructure, particularly FTTP coverage and Very High Capacity Networks, is a key driver of digital skills development, whereas the effects of business digitalization appear indirect or delayed. The outcomes provide relevant implications for broadband deployment and user-centric digital public services to support the objectives of the EU Digital Decade 2030. The study contributes to a deeper understanding of the determinants of digital skills and digital transformation performance, providing evidence-based guidance for targeted digital policies aimed at reducing the digital divide and strengthening digital transformation performance within the European Union. Full article
(This article belongs to the Special Issue Economic Development in the European Union Countries)
Show Figures

Figure 1

29 pages, 4325 KB  
Article
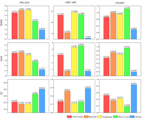
A 1-Dimensional Physiological Signal Prediction Method Based on Composite Feature Preprocessing and Multi-Scale Modeling
by Peiquan Chen, Jie Li, Bo Peng, Zhaohui Liu and Liang Zhou
Sensors 2025, 25(21), 6726; https://doi.org/10.3390/s25216726 - 3 Nov 2025
Viewed by 324
Abstract
The real-time, precise monitoring of physiological signals such as intracranial pressure (ICP) and arterial blood pressure (BP) holds significant clinical importance. However, traditional methods like invasive ICP monitoring and invasive arterial blood pressure measurement present challenges including complex procedures, high infection risks, and [...] Read more.
The real-time, precise monitoring of physiological signals such as intracranial pressure (ICP) and arterial blood pressure (BP) holds significant clinical importance. However, traditional methods like invasive ICP monitoring and invasive arterial blood pressure measurement present challenges including complex procedures, high infection risks, and difficulties in continuous measurement. Consequently, learning-based prediction utilizing observable signals (e.g., BP/pulse waves) has emerged as a crucial alternative approach. Existing models struggle to simultaneously capture multi-scale local features and long-range temporal dependencies, while their computational complexity remains prohibitively high for meeting real-time clinical demands. To address this, this paper proposes a physiological signal prediction method combining composite feature preprocessing with multiscale modeling. First, a seven-dimensional feature matrix is constructed based on physiological prior knowledge to enhance feature discriminative power and mitigate phase mismatch issues. Second, a network architecture CNN-LSTM-Attention (CBAnet), integrating multiscale convolutions, long short-term memory (LSTM), and attention mechanisms is designed to effectively capture both local waveform details and long-range temporal dependencies, thereby improving waveform prediction accuracy and temporal consistency. Experiments on GBIT-ABP, CHARIS, and our self-built PPG-HAF dataset show that CBAnet achieves competitive performance relative to bidirectional long short-term Memory (BiLSTM), convolutional neural network-long short-term memory network (CNN-LSTM), Transformer, and Wave-U-Net baselines across Root Mean Square Error (RMSE), Mean Absolute Error (MAE), and Coefficient of Determination (R2). This study provides a promising, efficient approach for non-invasive, continuous physiological parameter prediction. Full article
(This article belongs to the Section Biomedical Sensors)
Show Figures

Figure 1

20 pages, 393 KB  
Article
Schoolyards as Inclusive Spaces: Teachers’ Perspectives on Gender, Disability, and Equity in Greece
by Stergiani Giaouri, Vassiliki Pliogou and Evaggelia Kalerante
Educ. Sci. 2025, 15(11), 1462; https://doi.org/10.3390/educsci15111462 - 2 Nov 2025
Viewed by 206
Abstract
Schoolyards are increasingly recognized as critical spaces for inclusion, yet research on their role in addressing gender and disability remains limited. This study examines Greek teachers’ perceptions of schoolyard inclusivity, analyzing how views differ across teaching levels, professional experience, and institutional contexts. A [...] Read more.
Schoolyards are increasingly recognized as critical spaces for inclusion, yet research on their role in addressing gender and disability remains limited. This study examines Greek teachers’ perceptions of schoolyard inclusivity, analyzing how views differ across teaching levels, professional experience, and institutional contexts. A quantitative survey design was employed, applying an intersectional framework seldom used in schoolyard research to capture both structural and cultural dimensions of exclusion. Teachers identified barriers such as uneven surfaces, limited adaptive equipment, and the absence of sensory-friendly areas, alongside cultural dynamics, particularly the dominance of competitive sports in central spaces, that marginalize girls and students with disabilities. Findings indicate that educators with longer service, advanced academic qualifications, and training in Special Education were more sensitive to issues of equity and accessibility, while secondary-level teachers were more critical than primary colleagues, reflecting adolescence as a period of intensified gendered exclusion. Situating these results within international debates on playground design, hidden curriculum, and Universal Design for Learning, the article concludes that inclusive schoolyards require not only physical redesign, but also cultural transformation, participatory co-design, and teacher-led practices aligned with global sustainability agendas. Full article
Back to TopTop