Sign in to use this feature.

Years

Between: -

Subjects

remove_circle_outline
remove_circle_outline
remove_circle_outline
remove_circle_outline
remove_circle_outline
remove_circle_outline
remove_circle_outline
remove_circle_outline
remove_circle_outline

Journals

Article Types

Countries / Regions

Search Results (16)

Search Parameters:
Keywords = competing traffic flows

Order results
Result details
Results per page
Select all
Export citation of selected articles as:
16 pages, 3989 KB  
Article
Secure Context-Aware Traffic Light Scheduling System: Integrity of Vehicles’ Identities
by Marah Yahia, Maram Bani Younes, Firas Najjar, Ahmad Audat and Said Ghoul
World Electr. Veh. J. 2025, 16(8), 448; https://doi.org/10.3390/wevj16080448 - 7 Aug 2025
Viewed by 539
Abstract
Autonomous vehicles and intelligent traffic transportation are widely investigated for road networks. Context-aware traffic light scheduling algorithms determine signal phases by analyzing the real-time characteristics and contextual information of competing traffic flows. The context of traffic flows mainly considers the existence of regular, [...] Read more.
Autonomous vehicles and intelligent traffic transportation are widely investigated for road networks. Context-aware traffic light scheduling algorithms determine signal phases by analyzing the real-time characteristics and contextual information of competing traffic flows. The context of traffic flows mainly considers the existence of regular, emergency, or heavy vehicles. This is an important factor in setting the phases of the traffic light schedule and assigning a high priority for emergency vehicles to pass through the signalized intersection first. VANET technology, through its communication capabilities and the exchange of data packets among moving vehicles, is utilized to collect real-time traffic information for the analyzed road scenarios. This introduces an attractive environment for hackers, intruders, and criminals to deceive drivers and intelligent infrastructure by manipulating the transmitted packets. This consequently leads to the deployment of less efficient traffic light scheduling algorithms. Therefore, ensuring secure communications between traveling vehicles and verifying the integrity of transmitted data are crucial. In this work, we investigate the possible attacks on the integrity of transferred messages and vehicles’ identities and their effects on the traffic light schedules. Then, a new secure context-aware traffic light scheduling system is proposed that guarantees the integrity of transmitted messages and verifies the vehicles’ identities. Finally, a comprehensive series of experiments were performed to assess the proposed secure system in comparison to the absence of security mechanisms within a simulated road intersection. We can infer from the experimental study that attacks on the integrity of vehicles have different effects on the efficiency of the scheduling algorithm. The throughput of the signalized intersection and the waiting delay time of traveling vehicles are highly affected parameters. Full article
Show Figures

Figure 1

22 pages, 3106 KB  
Article
Confidential Intelligent Traffic Light Control System: Prevention of Unauthorized Traceability
by Ahmad Audat, Maram Bani Younes, Marah Yahia and Said Ghoul
Big Data Cogn. Comput. 2025, 9(7), 169; https://doi.org/10.3390/bdcc9070169 - 26 Jun 2025
Viewed by 1096
Abstract
Many research studies have designed intelligent traffic light scheduling algorithms. Some researchers rely on specialized sensors and hardware to gather real-time traffic data at signalized road intersections. Others benefit from artificial intelligence techniques and/or cloud computing technologies. The technology of vehicular networks has [...] Read more.
Many research studies have designed intelligent traffic light scheduling algorithms. Some researchers rely on specialized sensors and hardware to gather real-time traffic data at signalized road intersections. Others benefit from artificial intelligence techniques and/or cloud computing technologies. The technology of vehicular networks has been widely used to gather the traffic characteristics of competing traffic flows at signalized road intersections. Intelligent traffic light controlling systems aim to fairly liberate competing traffic at signalized road intersections and eliminate traffic crises. These algorithms have been initially developed without focusing on the consequences of security threats or attacks. However, the accuracy of gathered traffic data at each road intersection affects its performance. Fake and corrupted packets highly affect the accuracy of the gathered traffic data. Thus, in this work, we aim to investigate the aspects of security and confidentiality of intelligent traffic light systems. The possible attacks on the confidentiality of intelligent traffic light systems are examined. Then, a confidential traffic light control system that protects the privacy of traveling vehicles and drivers is presented. The proposed algorithm mainly prevents unauthorized traceability and linkability attacks that threaten people’s lives and violate their privacy. Finally, the proposed algorithm is evaluated through extensive experiments to verify its correctness and benefits compared to traditional insecure intelligent traffic light systems. Full article
(This article belongs to the Special Issue Advances in Intelligent Defense Systems for the Internet of Things)
Show Figures

Figure 1

20 pages, 2064 KB  
Article
Core Competency Assessment Model for Entry-Level Air Traffic Controllers Based on International Civil Aviation Organization Document 10056
by Yi Hu, Hanyang Shen, Bing Wang, Jichuan Teng, Chenglong Guo and Yanjun Wang
Aerospace 2025, 12(6), 486; https://doi.org/10.3390/aerospace12060486 - 28 May 2025
Viewed by 1898
Abstract
With the increasing air traffic flow, the workload of air traffic controllers is also growing, and their proficiency directly impacts civil aviation safety and efficiency. To address the lack of clear training objectives and inconsistent evaluation methods in the initial controller training at [...] Read more.
With the increasing air traffic flow, the workload of air traffic controllers is also growing, and their proficiency directly impacts civil aviation safety and efficiency. To address the lack of clear training objectives and inconsistent evaluation methods in the initial controller training at the Southwest Air Traffic Management Bureau, this study aimed to develop and validate a core competency model for initial air traffic controllers. Referencing ICAO Document 10056, the study first defined core competencies. Subsequently, using job analysis, the behavioral event interview (BEI) method, and expert panels, a core competency model tailored to the training objectives of the Southwest ATMB was constructed. The key findings of this research include: first, the defined structure of the developed model, comprising seven competency dimensions, 21 elements, and 26 observable behaviors (OBs); second, the determination of combined weights for each dimension and indicator using questionnaire surveys, the Analytic Hierarchy Process (AHP), and the Entropy Weight Method; and third, the successful application and validation of the model. Specifically, in its application, the weighted TOPSIS method was employed to evaluate trainees in a specific group. This not only provided a ranking of trainee abilities but also facilitated in-depth analysis through radar charts of competency dimensions and box plots of OB items. These application results demonstrate the model’s effectiveness and practicality. Full article
(This article belongs to the Section Air Traffic and Transportation)
Show Figures

Figure 1

16 pages, 788 KB  
Article
Peak Age of Information Analysis in Systems with Multiple Time-Correlated Traffic Streams
by Varvara Manaeva, Elena Zhbankova, Ekaterina Markova and Konstantin Samouylov
Sensors 2025, 25(5), 1440; https://doi.org/10.3390/s25051440 - 26 Feb 2025
Viewed by 1184
Abstract
Nowadays, Internet of Things (IoT) is one of the most dynamically evolving services in the 5G ecosystem. In industrial IoT (IIoT), this service can be utilized to deliver state updates of various equipment to the remote control center for further coordination and maintenance. [...] Read more.
Nowadays, Internet of Things (IoT) is one of the most dynamically evolving services in the 5G ecosystem. In industrial IoT (IIoT), this service can be utilized to deliver state updates of various equipment to the remote control center for further coordination and maintenance. As a result, one of the critical metrics of interest for such a service is the Age of Information (AoI) and its upper bound—peak AoI (AoI)—characterizing the freshness of information about the state of the systems. In spite of significant attention, these metrics received over the last decade, only little is known regarding the PAoI performance of a single source (e.g., sensor) in the presence of competing traffic from other sources in queuing systems. On top of this, models with batch arrivals and batch services that can be effectively used to represent service performance in modern cellular systems such as 5G New Radio are lacking. In our study, we consider a cellular air interface representing it as a queuing system (QS) in discrete-time with batch arrivals and service and investigate performance of a single (tagged) source in presence of competing traffic from other sources having the same priority, where all the sources are modeled using the switched Poisson process (SPP) characterized by sophisticated correlational properties. We also investigated the impact of several service disciplines on the performance of the tagged source including first-come–first-served (FCFS), last-come–first-served (LCFS), random, and priority-based service. Our results illustrate that, although the qualitative behavior of the mean PAoI is different for different service disciplines, the optimal value of PAoI is insensitive to the choice of the service order. On top of this, we observed that introducing a priority in service to one of the flows may drastically affect the performance of other flows even when the overall load contribution of a single flow is rather limited. Our observations can be utilized to design packet scheduling strategies for 4G/5G cellular systems carrying traffic of state update applications. Full article
(This article belongs to the Section Internet of Things)
Show Figures

Figure 1

28 pages, 26501 KB  
Article
A Reordering Buffer Management Method at Edge Gateway in Hybrid IP-ICN Multipath Transmission System
by Yuqi Liu, Rui Han and Xu Wang
Future Internet 2024, 16(12), 464; https://doi.org/10.3390/fi16120464 - 11 Dec 2024
Cited by 2 | Viewed by 1405
Abstract
Multipath transmission in ICN provides high transmission efficiency and stability. In an IP-ICN compatible network environment, unmodified IP terminal devices can access ICN through gateways, benefiting from these performance enhancements. This paper proposes a gateway framework for hybrid IP-ICN multipath transmission systems, enabling [...] Read more.
Multipath transmission in ICN provides high transmission efficiency and stability. In an IP-ICN compatible network environment, unmodified IP terminal devices can access ICN through gateways, benefiting from these performance enhancements. This paper proposes a gateway framework for hybrid IP-ICN multipath transmission systems, enabling protocol conversion and quality of service management. A packet reordering module is integrated at the egress gateway to address complex packet disorder issues caused by ICN multipath transmission, thereby enhancing the service quality provided to IP terminals. A Reordering Buffer Management Method (RBMM) is introduced, consisting of two key components. First, RBMM employs an improved dynamic threshold scheme for reserved buffer partitioning, efficiently identifying congestion and optimizing buffer resource utilization. Second, a flow-priority-based replacement strategy is designed to enhance fairness in resource allocation by evicting packets with lower delivery probability during congestion. Experimental results demonstrate that RBMM dynamically adapts to varying traffic conditions, maintaining high transmission performance while reducing buffer resource consumption. In comparison to existing methods, RBMM significantly reduces queuing delay and flow completion time, providing more balanced resource allocation when multiple flows compete for limited buffer capacity. Full article
Show Figures

Figure 1

16 pages, 1015 KB  
Article
Assisting Drivers at Stop Signs in a Connected Vehicle Environment
by Maram Bani Younes
Future Internet 2023, 15(7), 238; https://doi.org/10.3390/fi15070238 - 8 Jul 2023
Cited by 1 | Viewed by 2277
Abstract
Road intersections are shared among several conflicted traffic flows. Stop signs are used to control competing traffic flows at road intersections safely. Then, driving rules are constructed to control the competing traffic flows at these stop sign road intersections. Vehicles must apply a [...] Read more.
Road intersections are shared among several conflicted traffic flows. Stop signs are used to control competing traffic flows at road intersections safely. Then, driving rules are constructed to control the competing traffic flows at these stop sign road intersections. Vehicles must apply a complete stop with no motion in front of stop signs. First to arrive, first to go, straight before turns, and right then left are the main driving rules at stop sign intersections. Drivers must be aware of the stop sign’s existence, the architecture of the road intersection, and traffic distribution in the competing traffic flows. This is to make the best decision to pass the intersection or wait for other conflicted flows to pass according to the current situation. Due to bad weather conditions, obstacles, or existing heavy vehicles, drivers may miss capturing the stop sign. Moreover, the architecture of the road intersection and the characteristics of the competing traffic flows are not always clear to the drivers. In this work, we aim to keep the driver aware ahead of time of the existing stop signs, the architecture of the road intersection, and the traffic characteristics of the competing traffic flow at the targeted destination. Moreover, the best speed and driving behaviors are recommended to each driver. This is based on his/her position and the distribution of the existing traffic there. A driving assistance protocol is presented in this paper based on vehicular network technology. Real-time traffic characteristics are gathered and analyzed of vehicles around the intersections. Then, the best action for each vehicle is recommended accordingly. The experimental results show that the proposed driving assistant protocol successfully enhances the safety conditions around road intersections controlled by stop signs. This is by reducing the percentage of accident occurrences. Fortunately, the traffic efficiency of these road intersections is also enhanced; the accident percentage is decreased by 25% upon using the proposed protocol. Full article
Show Figures

Figure 1

21 pages, 941 KB  
Article
Multi-Agent Reinforcement Learning for Traffic Flow Management of Autonomous Vehicles
by Anum Mushtaq, Irfan Ul Haq, Muhammad Azeem Sarwar, Asifullah Khan, Wajeeha Khalil and Muhammad Abid Mughal
Sensors 2023, 23(5), 2373; https://doi.org/10.3390/s23052373 - 21 Feb 2023
Cited by 37 | Viewed by 11210
Abstract
Intelligent traffic management systems have become one of the main applications of Intelligent Transportation Systems (ITS). There is a growing interest in Reinforcement Learning (RL) based control methods in ITS applications such as autonomous driving and traffic management solutions. Deep learning helps in [...] Read more.
Intelligent traffic management systems have become one of the main applications of Intelligent Transportation Systems (ITS). There is a growing interest in Reinforcement Learning (RL) based control methods in ITS applications such as autonomous driving and traffic management solutions. Deep learning helps in approximating substantially complex nonlinear functions from complicated data sets and tackling complex control issues. In this paper, we propose an approach based on Multi-Agent Reinforcement Learning (MARL) and smart routing to improve the flow of autonomous vehicles on road networks. We evaluate Multi-Agent Advantage Actor-Critic (MA2C) and Independent Advantage Actor-Critical (IA2C), recently suggested Multi-Agent Reinforcement Learning techniques with smart routing for traffic signal optimization to determine its potential. We investigate the framework offered by non-Markov decision processes, enabling a more in-depth understanding of the algorithms. We conduct a critical analysis to observe the robustness and effectiveness of the method. The method’s efficacy and reliability are demonstrated by simulations using SUMO, a software modeling tool for traffic simulations. We used a road network that contains seven intersections. Our findings show that MA2C, when trained on pseudo-random vehicle flows, is a viable methodology that outperforms competing techniques. Full article
(This article belongs to the Section Vehicular Sensing)
Show Figures

Figure 1

15 pages, 3713 KB  
Article
Cooperative Roundabout Control Strategy for Connected and Autonomous Vehicles
by Chaojie Wang, Yu Wang and Srinivas Peeta
Appl. Sci. 2022, 12(24), 12678; https://doi.org/10.3390/app122412678 - 10 Dec 2022
Cited by 15 | Viewed by 2469
Abstract
Intersections in the urban network are potential sources of traffic flow inefficiency. Existing intersection control mostly adopts the “cross” flow pattern model, while the use of the roundabout circular flow pattern is rather sparse. Connected and autonomous vehicle (CAV) technologies can enable roundabouts [...] Read more.
Intersections in the urban network are potential sources of traffic flow inefficiency. Existing intersection control mostly adopts the “cross” flow pattern model, while the use of the roundabout circular flow pattern is rather sparse. Connected and autonomous vehicle (CAV) technologies can enable roundabouts to better compete with traditional intersection designs in terms of performance. This study proposes a roundabout control strategy for CAVs to enhance intersection performance while ensuring vehicle safety. A hierarchical framework is developed to decouple the flow-level performance objective and vehicle-level safety constraints to achieve computational tractability for real-time applications. It entails developing a roundabout flow control model to optimize merge-in flows, a merge-in decision model to generate vehicle passing sequence from the optimal flows, and a virtual platoon control model to achieve safe and stable vehicle operations in a circular roundabout platoon. The performance of the proposed roundabout control strategy is illustrated through numerical studies and compared to existing intersection control methods. Its stability and safety characteristics are also demonstrated. Full article
Show Figures

Figure 1

12 pages, 3238 KB  
Article
Dimensioning of Cycle Lanes Based on the Assessment of Comfort for Cyclists
by Darja Šemrov, Robert Rijavec and Peter Lipar
Sustainability 2022, 14(16), 10172; https://doi.org/10.3390/su141610172 - 16 Aug 2022
Cited by 8 | Viewed by 2807
Abstract
In a century where mobility is becoming more sustainable in terms of energy transition, emissions reduction, and a healthy quality of life, the use of bicycles is increasing and has many advantages over other modes of transport that have been underused. The bicycle [...] Read more.
In a century where mobility is becoming more sustainable in terms of energy transition, emissions reduction, and a healthy quality of life, the use of bicycles is increasing and has many advantages over other modes of transport that have been underused. The bicycle is an excellent alternative for short distances of up to five kilometers. In combination with public transportation, it can also successfully compete with motorized transport for longer distances. For the adequate development of cycling, it is necessary to create the right conditions in terms of accessibility and road safety. This means planning appropriate cycling infrastructure where cyclists feel comfortable and safe, which can lead to additional increased use in bicycles for everyday trips. Comfort for cyclists is a concept supported by road safety, a pleasant environment, connectivity, and the attractiveness of cycling infrastructure. In other words, cyclists respond to the physical, psychological, and sociological aspects of the cycling experience that are also related to the cycling infrastructure and environment: where I am, what I see and perceive, and how I feel. This paper presents the concept of the level of service for cyclists (BLOS) as a unified method for defining the comfort of cyclists. This paper presents the method for determining the level of service or comfort for bicyclists as a function of road width, width of the cycling area, traffic volume, and the speed and structure of motorized traffic flow. The result of BLOS, the mathematical model used, is graphically presented and allows decision-makers and designers of cycling infrastructure to easily assess the suitability of cycling infrastructure. Different diagrams for different input data are presented in the paper. Full article
(This article belongs to the Special Issue Sustainable Management of Transportation Infrastructure Projects)
Show Figures

Figure 1

16 pages, 667 KB  
Article
A Regional View of Passenger Air Link Evolution in Brazil
by Vicente Aprigliano Fernandes, Ricardo Rodrigues Pacheco, Elton Fernandes, Manoela Cabo and Rodrigo V. Ventura
Sustainability 2022, 14(12), 7284; https://doi.org/10.3390/su14127284 - 14 Jun 2022
Cited by 1 | Viewed by 2585
Abstract
Passenger flows among cities, at both the domestic and international levels and in different countries and regions, have been studied for forecasting purposes. This paper seeks not a forecasting mechanism, but to understand, by analyzing passenger origins and destinations by Brazilian sub-region, how [...] Read more.
Passenger flows among cities, at both the domestic and international levels and in different countries and regions, have been studied for forecasting purposes. This paper seeks not a forecasting mechanism, but to understand, by analyzing passenger origins and destinations by Brazilian sub-region, how Brazil’s domestic air passenger network links have evolved. Using income, population, and fare price as inputs, and seats sold as output, air link performance is examined by data envelopment analysis to discuss the regional link of domestic passenger traffic in Brazil and its dynamics, considering two specific years. The findings indicate that, although the highest passenger flow density is concentrated in Brazil’s Southeast region, performance by emerging origins and destinations (O-Ds), such as those connecting the Northeast, display more substantial strength indices and advances (Malmquist analysis). The analysis of specific links was also important, which showed that important Brazilian airports are not necessarily more competent in generating trips. The Catch-Up indicator for innovation reveals the weak point in Brazil’s air transport network. Although some airports enjoy strong networkability, they do not correspond in passenger origin or destination strength. Full article
(This article belongs to the Section Sustainability in Geographic Science)
Show Figures

Figure A1

13 pages, 3000 KB  
Article
Sustainable People Home-Work Logistics: An Integrated Model of Circular Economy in the Chiampo Valley
by Maurizio Faccio, Serena Finco and Ilenia Zennaro
Sustainability 2021, 13(21), 12009; https://doi.org/10.3390/su132112009 - 30 Oct 2021
Cited by 4 | Viewed by 2837
Abstract
Logistics activities, e.g., transportations of goods and people, are responsible for at least one-third of energy consumption and Green House Gas (GHG) emissions. About 70% of them are related to people’s mobility, with millions of cars moving every day. The people home-work logistics [...] Read more.
Logistics activities, e.g., transportations of goods and people, are responsible for at least one-third of energy consumption and Green House Gas (GHG) emissions. About 70% of them are related to people’s mobility, with millions of cars moving every day. The people home-work logistics represents undoubtedly an important part of it since flows are concentrated on fixed time windows (beginning, lunch break, and end of the working day) creating huge traffic congestions and negative impacts on time, economics, and the environment. This study proposes an integrated model, summarized through a methodological framework, where three actors (companies, public administrations and local shops) work together aiming to economically incentivize the use of sustainable mobility systems. Three are the main elements of the proposed sustainable people home-work logistics model: (1) the economic self-sustainability of the incentives, funded in different ways by the actors, (2) the scalability, thanks to the possibility to add new territories to the project and (3) the territorial circular economy generated thanks to the incentive’s destinations and the public-private integration. Starting from survey questionnaires and territorial attributes, sustainable mobility ways are defined. Then, participant workers are monitored by activating a mobile app, called Ecoattivi, during their home-work journeys. In such a way, workers can directly analyze their sustainable mobility and reach the possibility to accumulate and spend money in local shops as a function of the saved CO2. On the other hand, companies and public administrations compete in a special ranking for sustainable mobility. The methodological framework has been applied to a real case study in the Chiampo Valley, in the northeast of Italy, where about 10 small towns and dozens of companies in 2020 started the “Bike to Work Valchiampo” project. Full article
(This article belongs to the Special Issue Sustainability in Logistics and Supply Chains)
Show Figures

Figure 1

24 pages, 12539 KB  
Technical Note
Digital Reconstitution of Road Traffic Accidents: A Flexible Methodology Relying on UAV Surveying and Complementary Strategies to Support Multiple Scenarios
by Luís Pádua, José Sousa, Jakub Vanko, Jonáš Hruška, Telmo Adão, Emanuel Peres, António Sousa and Joaquim J. Sousa
Int. J. Environ. Res. Public Health 2020, 17(6), 1868; https://doi.org/10.3390/ijerph17061868 - 13 Mar 2020
Cited by 20 | Viewed by 6221
Abstract
The reconstitution of road traffic accidents scenes is a contemporary and important issue, addressed both by private and public entities in different countries around the world. However, the task of collecting data on site is not generally focused on with the same orientation [...] Read more.
The reconstitution of road traffic accidents scenes is a contemporary and important issue, addressed both by private and public entities in different countries around the world. However, the task of collecting data on site is not generally focused on with the same orientation and relevance. Addressing this type of accident scenario requires a balance between two fundamental yet competing concerns: (1) information collecting, which is a thorough and lengthy process and (2) the need to allow traffic to flow again as quickly as possible. This technical note proposes a novel methodology that aims to support road traffic authorities/professionals in activities involving the collection of data/evidences of motor vehicle collision scenarios by exploring the potential of using low-cost, small-sized and light-weight unmanned aerial vehicles (UAV). A high number of experimental tests and evaluations were conducted in various working conditions and in cooperation with the Portuguese law enforcement authorities responsible for investigating road traffic accidents. The tests allowed for concluding that the proposed method gathers all the conditions to be adopted as a near future approach for reconstituting road traffic accidents and proved to be: faster, more rigorous and safer than the current manual methodologies used not only in Portugal but also in many countries worldwide. Full article
(This article belongs to the Special Issue Traffic Accident Control and Prevention)
Show Figures

Figure 1

27 pages, 1295 KB  
Article
Designing Efficient Sinkhole Attack Detection Mechanism in Edge-Based IoT Deployment
by Sumit Pundir, Mohammad Wazid, Devesh Pratap Singh, Ashok Kumar Das, Joel J. P. C. Rodrigues and Youngho Park
Sensors 2020, 20(5), 1300; https://doi.org/10.3390/s20051300 - 27 Feb 2020
Cited by 41 | Viewed by 7550
Abstract
The sinkhole attack in an edge-based Internet of Things (IoT) environment (EIoT) can devastate and ruin the whole functioning of the communication. The sinkhole attacker nodes ( S H A s) have some properties (for example, they first attract the other normal nodes [...] Read more.
The sinkhole attack in an edge-based Internet of Things (IoT) environment (EIoT) can devastate and ruin the whole functioning of the communication. The sinkhole attacker nodes ( S H A s) have some properties (for example, they first attract the other normal nodes for the shortest path to the destination and when normal nodes initiate the process of sending their packets through that path (i.e., via S H A ), the attacker nodes start disrupting the traffic flow of the network). In the presence of S H A s, the destination (for example, sink node i.e., gateway/base station) does not receive the required information or it may receive partial or modified information. This results in reduction of the network performance and degradation in efficiency and reliability of the communication. In the presence of such an attack, the throughput decreases, end-to-end delay increases and packet delivery ratio decreases. Moreover, it may harm other network performance parameters. Hence, it becomes extremely essential to provide an effective and competent scheme to mitigate this attack in EIoT. In this paper, an intrusion detection scheme to protect EIoT environment against sinkhole attack is proposed, which is named as SAD-EIoT. In SAD-EIoT, the resource rich edge nodes (edge servers) perform the detection of different types of sinkhole attacker nodes with the help of exchanging messages. The practical demonstration of SAD-EIoT is also provided using the well known NS2 simulator to compute the various performance parameters. Additionally, the security analysis of SAD-EIoT is conducted to prove its resiliency against various types of S H A s. SAD-EIoT achieves around 95.83 % detection rate and 1.03 % false positive rate, which are considerably better than other related existing schemes. Apart from those, SAD-EIoT is proficient with respect to computation and communication costs. Eventually, SAD-EIoT will be a suitable match for those applications which can be used in critical and sensitive operations (for example, surveillance, security and monitoring systems). Full article
(This article belongs to the Special Issue Security and Privacy in Wireless Sensor Network)
Show Figures

Figure 1

18 pages, 1153 KB  
Article
Receiver-Side TCP Countermeasure in Cellular Networks
by Pingping Dong, Kai Gao, Jingyun Xie, Wensheng Tang, Naixue Xiong and Athanasios V. Vasilakos
Sensors 2019, 19(12), 2791; https://doi.org/10.3390/s19122791 - 21 Jun 2019
Cited by 10 | Viewed by 3529
Abstract
Cellular-based networks keep large buffers at base stations to smooth out the bursty data traffic, which has a negative impact on the user’s Quality of Experience (QoE). With the boom of smart vehicles and phones, this has drawn growing attention. For this paper, [...] Read more.
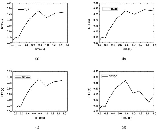
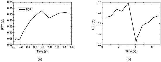
Cellular-based networks keep large buffers at base stations to smooth out the bursty data traffic, which has a negative impact on the user’s Quality of Experience (QoE). With the boom of smart vehicles and phones, this has drawn growing attention. For this paper, we first conducted experiments to reveal the large delays, thus long flow completion time (FCT), caused by the large buffer in the cellular networks. Then, a receiver-side transmission control protocol (TCP) countermeasure named Delay-based Flow Control algorithm with Service Differentiation (DFCSD) was proposed to target interactive applications requiring high throughput and low delay in cellular networks by limiting the standing queue size and decreasing the amount of packets that are dropped in the eNodeB in Long Term Evolution (LTE). DFCSD stems from delay-based congestion control algorithms but works at the receiver side to avoid the performance degradation of the delay-based algorithms when competing with loss-based mechanisms. In addition, it is derived based on the TCP fluid model to maximize the network utility. Furthermore, DFCSD also takes service differentiation into consideration based on the size of competing flows to shorten their completion time, thus improving user QoE. Simulation results confirmed that DFCSD is compatible with existing TCP algorithms, significantly reduces the latency of TCP flows, and increases network throughput. Full article
(This article belongs to the Section Sensor Networks)
Show Figures

Figure 1

16 pages, 3274 KB  
Article
Design of the First Italian Roundabout with Jointed Plain Concrete Pavement
by Paola Di Mascio, Giuseppe Loprencipe, Laura Moretti, Maria Vittoria Corazza, Sergio Vivaldi and Giovanni Vincenti
Appl. Sci. 2018, 8(2), 283; https://doi.org/10.3390/app8020283 - 13 Feb 2018
Cited by 7 | Viewed by 5315
Abstract
This work presents the results of the overall design of the first Italian roundabout with jointed plain concrete pavement. The examined case study complies with current international standards and practices for geometry of roundabouts and road pavements. The construction of a concrete pavement [...] Read more.
This work presents the results of the overall design of the first Italian roundabout with jointed plain concrete pavement. The examined case study complies with current international standards and practices for geometry of roundabouts and road pavements. The construction of a concrete pavement in an urban roundabout will better manage and slow down fast vehicular flows, and increase traffic fluidity in an important junction, trafficked by heavy vehicles, where maintenance works should be reduced to avoid queues. The design of the roundabout involved several competences for: defining the geometry of the four-arm junction, designing the thickness of the jointed plain concrete pavement both on the circular crown and the arms, studying the mix design of a high resistance concrete. As regard to the pavement, the result of the study was an un-dowelled concrete pavement composed of square slabs laid on a cement concrete subbase and a granular layer. The shape of the slabs has been designed to optimize the structural performance of their material, which is a high strength concrete mix derived from an extensive laboratory test work. In general, the results summarized approaches typical of different design conditions: urban ones for traffic flow and safety needs; high-traffic ones for the chosen pavement type; airport ones for the absence of dowel and tie bars at the joints. Indeed, the article has highlighted that the design process of a concrete roundabout requires multiple analyses to consider various features and correctly re-design an existing urban junction. Its geometrical design, the structural design of the concrete pavement and the theoretical and experimental design of the concrete mix were the main phases of this process and they needed different competences to conduct comprehensive and appropriate analyses. Full article
Show Figures

Figure 1

Back to TopTop