Sign in to use this feature.

Years

Between: -

Subjects

remove_circle_outline
remove_circle_outline
remove_circle_outline
remove_circle_outline
remove_circle_outline
remove_circle_outline
remove_circle_outline
remove_circle_outline
remove_circle_outline

Journals

Article Types

Countries / Regions

Search Results (35)

Search Parameters:
Keywords = collaborative and soft robotics

Order results
Result details
Results per page
Select all
Export citation of selected articles as:
27 pages, 1826 KB  
Article
Safety-Oriented Motion Planning for a Wheeled Humanoid Robot Operating in Environments with Stochastically Moving Humans
by Jian Mi, Xianbo Zhang, Zhongjie Long, Jun Wang and Wei Xu
Appl. Sci. 2026, 16(3), 1500; https://doi.org/10.3390/app16031500 - 2 Feb 2026
Viewed by 110
Abstract
With the advancement of humanoid robotics, human–robot collaboration has emerged as a prominent research focus. Ensuring the safety of both humanoid robots and humans remains a critical challenge. In this paper, we address conflict resolutions at the planning level and propose a safety-oriented [...] Read more.
With the advancement of humanoid robotics, human–robot collaboration has emerged as a prominent research focus. Ensuring the safety of both humanoid robots and humans remains a critical challenge. In this paper, we address conflict resolutions at the planning level and propose a safety-oriented motion planning (SOMP) algorithm for a wheeled humanoid robot operating in environments with unknown human motions. In the proposed SOMP algorithm, we employ Monte Carlo simulations to predict trajectories of stochastically moving humans and formulate both hard and soft constraints. A dynamic-quadrant stochastic sampling policy, integrated with a rapidly exploring random tree method, is proposed to generate diverse initial paths. Building upon this, we develop a constraint-fusion mechanism that combines hard constraints for safety guarantees and soft constraints for path optimization, thereby effectively resolving potential conflicts between wheeled humanoid robots and stochastically moving humans. We evaluate the proposed algorithm under different configurations of conflict numbers, task success rates, and path rewards. The proposed method outperforms A*, RRT, and MDP in terms of conflict numbers (−77.8%, −76.6%, and −71.4%) and task success rates (+168.0%, +109.4%, and +91.4%). Our simulation results prove the efficiency and robustness of our algorithm in safe motion planning with stochastically moving humans. Full article
18 pages, 4862 KB  
Article
Development of a Robot-Assisted TMS Localization System Using Dual Capacitive Sensors for Coil Tilt Detection
by Czaryn Diane Salazar Ompico, Julius Noel Banayo, Yamato Mashio, Masato Odagaki, Yutaka Kikuchi, Armyn Chang Sy and Hirofumi Kurosaki
Sensors 2026, 26(2), 693; https://doi.org/10.3390/s26020693 - 20 Jan 2026
Viewed by 277
Abstract
Transcranial Magnetic Stimulation (TMS) is a non-invasive technique for neurological research and therapy, but its effectiveness depends on accurate and stable coil placement. Manual localization based on anatomical landmarks is time-consuming and operator-dependent, while state-of-the-art robotic and neuronavigation systems achieve high accuracy using [...] Read more.
Transcranial Magnetic Stimulation (TMS) is a non-invasive technique for neurological research and therapy, but its effectiveness depends on accurate and stable coil placement. Manual localization based on anatomical landmarks is time-consuming and operator-dependent, while state-of-the-art robotic and neuronavigation systems achieve high accuracy using optical tracking with head-mounted markers and infrared cameras, at the cost of increased system complexity and setup burden. This study presents a cost-effective, markerless robotic-assisted TMS system that combines a 3D depth camera and textile capacitive sensors to assist coil localization and contact control. Facial landmarks detected by the depth camera are used to estimate the motor cortex (C3) location without external tracking markers, while a dual textile-sensor suspension provides compliant “soft-landing” behavior, contact confirmation, and coil-tilt estimation. Experimental evaluation with five participants showed reliable C3 targeting with valid motor evoked potentials (MEPs) obtained in most trials after initial calibration, and tilt-verification experiments revealed that peak MEP amplitudes occurred near balanced sensor readings in 12 of 15 trials (80%). The system employs a collaborative robot designed in accordance with international human–robot interaction safety standards, including force-limited actuation and monitored stopping. These results suggest that the proposed approach can improve the accessibility, safety, and consistency of TMS procedures while avoiding the complexity of conventional optical tracking systems. Full article
Show Figures

Figure 1

18 pages, 297 KB  
Review
Integrating Worker and Food Safety in Poultry Processing Through Human-Robot Collaboration: A Comprehensive Review
by Corliss A. O’Bryan, Kawsheha Muraleetharan, Navam S. Hettiarachchy and Philip G. Crandall
Foods 2026, 15(2), 294; https://doi.org/10.3390/foods15020294 - 14 Jan 2026
Viewed by 328
Abstract
This comprehensive review synthesizes current advances and persistent challenges in integrating worker safety and food safety through human-robot collaboration (HRC) in poultry processing. Rapid industry expansion and rising consumer demand for ready-to-eat poultry products have heightened occupational risks and foodborne contamination concerns, necessitating [...] Read more.
This comprehensive review synthesizes current advances and persistent challenges in integrating worker safety and food safety through human-robot collaboration (HRC) in poultry processing. Rapid industry expansion and rising consumer demand for ready-to-eat poultry products have heightened occupational risks and foodborne contamination concerns, necessitating holistic safety strategies. The review examines ergonomic, microbiological, and regulatory risks specific to poultry lines, and maps how state-of-the-art collaborative robots (“cobots”)—including power and force-limiting arms, adaptive soft grippers, machine vision, and biosensor integration—can support safer, more hygienic, and more productive operations. The authors analyze technical scientific literature (2018–2025) and real-world case studies, highlighting how automation (e.g., vision-guided deboning and intelligent sanitation) can reduce repetitive strain injuries, lower contamination rates, and improve production consistency. The review also addresses the psychological and sociocultural dimensions that affect workforce acceptance, as well as economic and regulatory barriers to adoption, particularly in small- and mid-sized plants. Key research gaps include gripper adaptability, validation of food safety outcomes in mixed human-cobot workflows, and the need for deeper workforce retraining and feedback mechanisms. The authors propose a multidisciplinary roadmap: harmonizing ergonomic, safety, and hygiene standards; developing adaptive food-grade robotic end-effectors; fostering explainable AI for process transparency; and advancing workforce education programs. Ultimately, successful HRC deployment in poultry processing will depend on continuous collaboration among industry, researchers, and regulatory authorities to ensure both safety and competitiveness in a rapidly evolving global food system. Full article
20 pages, 1441 KB  
Article
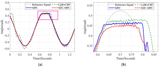
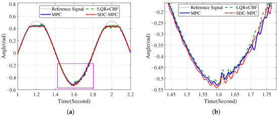
Safety-Constrained Disturbance-Compensated Model Predictive Control for Flexible-Joint Robots
by Shiqi Cao, Fan Wang, Xin Li, Dalei Yao and Meilin Xie
Appl. Sci. 2025, 15(24), 13238; https://doi.org/10.3390/app152413238 - 17 Dec 2025
Viewed by 364
Abstract
Flexible-joint robots (FJRs) offer safety and energy efficiency in collaborative tasks, yet achieving high-precision tracking remains challenging under strict state and safety constraints due to elastic coupling, model mismatch, and external disturbances. To address this issue, this paper proposes a safe and disturbance-compensated [...] Read more.
Flexible-joint robots (FJRs) offer safety and energy efficiency in collaborative tasks, yet achieving high-precision tracking remains challenging under strict state and safety constraints due to elastic coupling, model mismatch, and external disturbances. To address this issue, this paper proposes a safe and disturbance-compensated model predictive control (SDC-MPC) method that integrates model predictive control (MPC) with a disturbance observer (DOB) to estimate and compensate lumped uncertainties and disturbances in real time. To enforce safety, a control barrier function (CBF) is incorporated as an online inequality to maintain forward-invariance safety constraints. The method adapts safety margins to disturbances and allows soft relaxations of constraints when necessary, thereby ensuring feasibility under strong disturbances. A discrete-time implementation makes the approach suitable for real-time applications. Experiments on a single-joint platform demonstrate improved tracking performance and robustness. Full article
Show Figures

Figure 1

16 pages, 4287 KB  
Article
A Woven Soft Wrist-Gripper Composite End-Effector with Variable Stiffness: Design, Modeling, and Characterization
by Pan Zhou, Yangzuo Liu, Junxi Chen, Haoyuan Chen, Haili Li and Jiantao Yao
Machines 2025, 13(11), 1042; https://doi.org/10.3390/machines13111042 - 11 Nov 2025
Viewed by 562
Abstract
Soft robots often suffer from insufficient load capacity due to the softness of their materials. Existing variable stiffness technologies usually introduce rigid components, resulting in decreased flexibility and complex structures of soft robots. To address these challenges, this work proposes a novel wrist-gripper [...] Read more.
Soft robots often suffer from insufficient load capacity due to the softness of their materials. Existing variable stiffness technologies usually introduce rigid components, resulting in decreased flexibility and complex structures of soft robots. To address these challenges, this work proposes a novel wrist-gripper composite soft end-effector based on the weaving jamming principle, which features a highly integrated design combining structure, actuation, and stiffness. This end-effector is directly woven from pneumatic artificial muscles through weaving technology, which has notable advantages such as high integration, strong performance designability, lightweight construction, and high power density, effectively reconciling the technical trade-off between compliance and load capacity. Experimental results demonstrate that the proposed end-effector exhibits excellent flexibility and multi-degree-of-freedom grasping capabilities. Its variable stiffness function enhances its ability to resist external interference by 4.77 times, and its grasping force has increased by 1.7 times, with a maximum grasping force of 102 N. Further, a grasping force model for this fiber-reinforced woven structure is established, providing a solution to the modeling challenge of highly coupled structures. A comparison between theoretical and experimental data indicates that the modeling error does not exceed 7.8 N. This work offers a new approach for the design and analysis of high-performance, highly integrated soft end-effectors, with broad application prospects in unstructured environment operations, non-cooperative target grasping, and human–robot collaboration. Full article
(This article belongs to the Section Robotics, Mechatronics and Intelligent Machines)
Show Figures

Figure 1

33 pages, 22059 KB  
Review
Resistive Sensing in Soft Robotic Grippers: A Comprehensive Review of Strain, Tactile, and Ionic Sensors
by Donya Mostaghniyazdi and Shahab Edin Nodehi
Electronics 2025, 14(21), 4290; https://doi.org/10.3390/electronics14214290 - 31 Oct 2025
Viewed by 3380
Abstract
Soft robotic grippers have emerged as crucial tools for safe and adaptive manipulation of delicate and different objects, enabled by their compliant structures. These grippers need embedded sensing that offers proprioceptive and exteroceptive feedback in order to function consistently. Resistive sensing is unique [...] Read more.
Soft robotic grippers have emerged as crucial tools for safe and adaptive manipulation of delicate and different objects, enabled by their compliant structures. These grippers need embedded sensing that offers proprioceptive and exteroceptive feedback in order to function consistently. Resistive sensing is unique among transduction processes since it is easy to use, scalable, and compatible with deformable materials. The three main classes of resistive sensors used in soft robotic grippers are systematically examined in this review: ionic sensors, which are emerging multimodal devices that can capture both mechanical and environmental cues; tactile sensors, which detect contact, pressure distribution, and slip; and strain sensors, which monitor deformation and actuation states. Their methods of operation, material systems, fabrication techniques, performance metrics, and integration plans are all compared in the survey. The results show that sensitivity, linearity, durability, and scalability are all trade-offs across sensor categories, with ionic sensors showing promise as a new development for multipurpose soft grippers. There is also a discussion of difficulties, including hysteresis, long-term stability, and signal processing complexity. In order to move resistive sensing from lab prototypes to reliable, practical applications in domains like healthcare, food handling, and human–robot collaboration, the review concludes that developments in hybrid material systems, additive manufacturing, and AI-enhanced signal interpretation will be crucial. Full article
Show Figures

Figure 1

21 pages, 5241 KB  
Article
A Rigid–Flexible Coupling Gripper with High Grasping Adaptability
by Yigen Wu, Xuejia Huang, Yubo Hu, Bingnan Guo, Zikang Wu, Yuhang Chen, Xueqi Hu and Ruyi Du
Actuators 2025, 14(11), 529; https://doi.org/10.3390/act14110529 - 31 Oct 2025
Viewed by 767
Abstract
Nowadays, grippers are extensively employed to interact with dynamic and variable objects. Therefore, enhancing the adaptability of grippers is crucial for improving production efficiency and product quality. To address the trade-off between load capacity and interaction safety in rigid and soft grippers, this [...] Read more.
Nowadays, grippers are extensively employed to interact with dynamic and variable objects. Therefore, enhancing the adaptability of grippers is crucial for improving production efficiency and product quality. To address the trade-off between load capacity and interaction safety in rigid and soft grippers, this paper proposes a rigid–flexible coupling gripper with high grasping adaptability based on an underactuated structure. We conduct static analysis on the underactuated mechanism, followed by dimensional optimization using a genetic algorithm. After optimization, the grasping force error at each knuckle is reduced to 2 N, and the total grasping force reaches 38 N. The soft actuators, integrated with a rigid framework, not only increase the contact area during grasping but also mitigate the excessive concentration of contact forces, significantly improving the compliance of the gripper. Additionally, to tackle the issue of weak interfacial bonding strength caused by rigidity mismatch between rigid components and soft materials, this paper proposes a novel method of applying embedded microstructures to enhance the interfacial toughness of rigid–flexible coupling. The elastic deformation of these microstructures ensures strong interfacial connection strength both under tensile and shear stresses. Lastly, a robotic grasping platform is developed to carry out diverse grasping experiments. Experimental results show that the underactuated linkage mechanism and the flexible structure can collaboratively adjust grasping strategies when handling objects of various types, enabling stable manipulation while preventing object damage. This design effectively expands the operational applicability of the gripper. Full article
(This article belongs to the Special Issue Soft Robotics: Actuation, Control, and Application)
Show Figures

Figure 1

25 pages, 6797 KB  
Review
Robotic-Assisted Vascular Surgery: Current Landscape, Challenges, and Future Directions
by Yaman Alsabbagh, Young Erben, Adeeb Jlilati, Joaquin Sarmiento, Christopher Jacobs, Enrique F. Elli and Houssam Farres
J. Clin. Med. 2025, 14(20), 7353; https://doi.org/10.3390/jcm14207353 - 17 Oct 2025
Cited by 2 | Viewed by 3158
Abstract
Vascular surgery has evolved from durable yet invasive open reconstructions to less traumatic endovascular techniques. While endovascular repair reduces perioperative morbidity, it introduces durability challenges and the need for lifelong surveillance. Laparoscopic surgery bridged some gaps but was hindered by steep learning curves [...] Read more.
Vascular surgery has evolved from durable yet invasive open reconstructions to less traumatic endovascular techniques. While endovascular repair reduces perioperative morbidity, it introduces durability challenges and the need for lifelong surveillance. Laparoscopic surgery bridged some gaps but was hindered by steep learning curves and technical limitations. Robotic-assisted surgery represents a “third revolution”, combining the durability of open repair with the recovery and ergonomic benefits of minimally invasive approaches through enhanced 3D visualization, wristed instrumentation, and tremor filtration. This review synthesizes current evidence on robotic applications in vascular surgery, including aortic, visceral, venous, and endovascular interventions. Feasibility of robotic vascular surgery has been demonstrated in over 1500 patients across aortic, visceral, venous, and decompression procedures. Reported outcomes include pooled conversion rates of ~5%, 30-day mortality of 1–3%, and long-term patency rates exceeding 90% in aortoiliac occlusive disease. Similarly favorable outcomes have been observed in AAA repair, visceral artery aneurysm repair, IVC reconstructions, renal vein transpositions, and minimally invasive decompression procedures such as median arcuate ligament and thoracic outlet syndromes. Endovascular robotics enhances catheter navigation precision and reduces operator radiation exposure by 85–95%, with multiple series demonstrating consistent benefit compared to manual techniques. Despite these advantages, adoption is limited by high costs, lack of dedicated vascular instruments, absent haptic feedback on most platforms, and the need for standardized training. Most available evidence is observational and from high-volume centers, highlighting the need for multicenter randomized trials. Future directions include AI-enabled planning and augmented-reality navigation, which are the most feasible near-term technologies since they rely largely on software integration with existing systems. Other advances such as microsurgical robotics, soft-robotic platforms, and telesurgery remain longer-term developments requiring new hardware and regulatory pathways. Overcoming barriers through collaborative innovation, structured training, and robust evidence generation is essential for robotics to become a new standard in vascular care. Full article
(This article belongs to the Special Issue Vascular Surgery: Current Status and Future Perspectives)
Show Figures

Graphical abstract

15 pages, 5248 KB  
Article
Bioinspired Hierarchical Soft Gripper with Hexagonal and Suction Interfaces for Strain-Guided Object Handling
by Junho Lee, Junwon Jang, Taeyoung Chang, Yong Jin Jeong, Young Hwan Park, Jeong Tae Seo and Da Wan Kim
Biomimetics 2025, 10(8), 510; https://doi.org/10.3390/biomimetics10080510 - 4 Aug 2025
Cited by 1 | Viewed by 1473
Abstract
Bioinspired soft adhesive systems capable of stable and intelligent object manipulation are critical for next-generation robotics. In this study, a soft gripper combining an octopus-inspired suction mechanism with a frog-inspired hexagonal friction pattern was developed to enhance adhesion performance under diverse surface conditions [...] Read more.
Bioinspired soft adhesive systems capable of stable and intelligent object manipulation are critical for next-generation robotics. In this study, a soft gripper combining an octopus-inspired suction mechanism with a frog-inspired hexagonal friction pattern was developed to enhance adhesion performance under diverse surface conditions and orientations. The hexagonal pattern, inspired by frog toe pads, contributed to improved stability against tilting and shear forces. The integrated strain gauge enabled real-time monitoring of gripping states and facilitated the detection of contact location and changes in load distribution during manipulation. The system demonstrated robust adhesion under both dry and wet conditions, with adaptability to various object geometries and inclinations. These results suggest broad potential for bioinspired gripping platforms in fields such as collaborative robotics, medical tools, and underwater systems. Full article
Show Figures

Figure 1

45 pages, 11380 KB  
Article
Application of Multi-Strategy Controlled Rime Algorithm in Path Planning for Delivery Robots
by Haokai Lv, Qian Qian, Jiawen Pan, Miao Song, Yong Feng and Yingna Li
Biomimetics 2025, 10(7), 476; https://doi.org/10.3390/biomimetics10070476 - 19 Jul 2025
Viewed by 1057
Abstract
As a core component of automated logistics systems, delivery robots hold significant application value in the field of unmanned delivery. This research addresses the robot path planning problem, aiming to enhance delivery efficiency and reduce operational costs through systematic improvements to the RIME [...] Read more.
As a core component of automated logistics systems, delivery robots hold significant application value in the field of unmanned delivery. This research addresses the robot path planning problem, aiming to enhance delivery efficiency and reduce operational costs through systematic improvements to the RIME optimization algorithm. Through in-depth analysis, we identified several major drawbacks in the standard RIME algorithm for path planning: insufficient global exploration capability in the initial stages, a lack of diversity in the hard RIME search mechanism, and oscillatory phenomena in soft RIME step size adjustment. These issues often lead to undesirable phenomena in path planning, such as local optima traps, path redundancy, or unsmooth trajectories. To address these limitations, this study proposes the Multi-Strategy Controlled Rime Algorithm (MSRIME), whose innovation primarily manifests in three aspects: first, it constructs a multi-strategy collaborative optimization framework, utilizing an infinite folding Fuch chaotic map for intelligent population initialization to significantly enhance the diversity of solutions; second, it designs a cooperative mechanism between a controlled elite strategy and an adaptive search strategy that, through a dynamic control factor, autonomously adjusts the strategy activation probability and adaptation rate, expanding the search space while ensuring algorithmic convergence efficiency; and finally, it introduces a cosine annealing strategy to improve the step size adjustment mechanism, reducing parameter sensitivity and effectively preventing path distortions caused by abrupt step size changes. During the algorithm validation phase, comparative tests were conducted between two groups of algorithms, demonstrating their significant advantages in optimization capability, convergence speed, and stability. Further experimental analysis confirmed that the algorithm’s multi-strategy framework effectively suppresses the impact of coordinate and dimensional differences on path quality during iteration, making it more suitable for delivery robot path planning scenarios. Ultimately, path planning experimental results across various Building Coverage Rate (BCR) maps and diverse application scenarios show that MSRIME exhibits superior performance in key indicators such as path length, running time, and smoothness, providing novel technical insights and practical solutions for the interdisciplinary research between intelligent logistics and computer science. Full article
Show Figures

Figure 1

24 pages, 1908 KB  
Perspective
Biomimetic Additive Manufacturing: Engineering Complexity Inspired by Nature’s Simplicity
by Antreas Kantaros, Theodore Ganetsos, Evangelos Pallis and Michail Papoutsidakis
Biomimetics 2025, 10(7), 453; https://doi.org/10.3390/biomimetics10070453 - 10 Jul 2025
Cited by 3 | Viewed by 2557
Abstract
Nature’s principles offer design references for additive manufacturing (AM), enabling structures that achieve remarkable efficiency through hierarchical organization rather than material excess. This perspective article proposes a framework for integrating biomimetic principles into AM beyond morphological mimicry, focusing on functional adaptation and sustainability. [...] Read more.
Nature’s principles offer design references for additive manufacturing (AM), enabling structures that achieve remarkable efficiency through hierarchical organization rather than material excess. This perspective article proposes a framework for integrating biomimetic principles into AM beyond morphological mimicry, focusing on functional adaptation and sustainability. By emulating biological systems like nacre, spider silk, and bone, AM utilizes traditional geometric replication to embed multifunctionality, responsiveness, and resource efficiency. Recent advances in the fields of 4D printing, soft robotics, and self-morphing systems demonstrate how time-dependent behaviors and environmental adaptability can be engineered through bioinspired material architectures. However, challenges in scalable fabrication, dynamic material programming, and true functional emulation (beyond morphological mimicry) necessitate interdisciplinary collaboration. In this context, the synthesis of biological intelligence with AM technologies offers sustainable, high-performance solutions for aerospace, biomedical, and smart infrastructure applications, once challenges related to material innovation and standardization are overcome. Full article
Show Figures

Figure 1

22 pages, 4153 KB  
Review
Bioinspired Soft Machines: Engineering Nature’s Grace into Future Innovations
by Ajay Vikram Singh, Mohammad Hasan Dad Ansari, Arindam K. Dey, Peter Laux, Shailesh Kumar Samal, Paolo Malgaretti, Soumya Ranjan Mohapatra, Madleen Busse, Mrutyunjay Suar, Veronica Tisato and Donato Gemmati
J. Funct. Biomater. 2025, 16(5), 158; https://doi.org/10.3390/jfb16050158 - 28 Apr 2025
Cited by 7 | Viewed by 3230
Abstract
This article explores the transformative advances in soft machines, where biology, materials science, and engineering have converged. We discuss the remarkable adaptability and versatility of soft machines, whose designs draw inspiration from nature’s elegant solutions. From the intricate movements of octopus tentacles to [...] Read more.
This article explores the transformative advances in soft machines, where biology, materials science, and engineering have converged. We discuss the remarkable adaptability and versatility of soft machines, whose designs draw inspiration from nature’s elegant solutions. From the intricate movements of octopus tentacles to the resilience of an elephant’s trunk, nature provides a wealth of inspiration for designing robots capable of navigating complex environments with grace and efficiency. Central to this advancement is the ongoing research into bioinspired materials, which serve as the building blocks for creating soft machines with lifelike behaviors and adaptive capabilities. By fostering collaboration and innovation, we can unlock new possibilities in soft machines, shaping a future where robots seamlessly integrate into and interact with the natural world, offering solutions to humanity’s most pressing challenges. Full article
Show Figures

Figure 1

27 pages, 1452 KB  
Review
A Review of Multi-Robot Systems and Soft Robotics: Challenges and Opportunities
by Juan C. Tejada, Alejandro Toro-Ossaba, Alexandro López-Gonzalez, Eduardo G. Hernandez-Martinez and Daniel Sanin-Villa
Sensors 2025, 25(5), 1353; https://doi.org/10.3390/s25051353 - 22 Feb 2025
Cited by 12 | Viewed by 7979
Abstract
This review investigates the latest advancements in Multi-Robot Systems (MRSs) and soft robotics, with a particular focus on their integration and emerging opportunities. An MRS extends principles from distributed artificial intelligence and coordination frameworks, enabling efficient collaboration in robotic applications such as object [...] Read more.
This review investigates the latest advancements in Multi-Robot Systems (MRSs) and soft robotics, with a particular focus on their integration and emerging opportunities. An MRS extends principles from distributed artificial intelligence and coordination frameworks, enabling efficient collaboration in robotic applications such as object manipulation, navigation, and transportation. Soft robotics employs flexible materials and biomimetic designs to improve adaptability in unstructured environments, with applications in manufacturing, sensing, actuation, and modeling. Unlike previous reviews, which often address these fields independently, this work emphasizes their integration, identifying key challenges such as nonlinear dynamics, hyper-redundant configurations, and adaptive control. This review discusses recent advancements in locomotion, coordination, and simulation, offering insights into the development of adaptive and collaborative robotic systems across diverse applications. Full article
(This article belongs to the Special Issue Sensing for Automatic Control and Measurement System)
Show Figures

Figure 1

18 pages, 4091 KB  
Article
Buoy and Winch Collaborative Control System Based on Deep Reinforcement Learning
by Yang Gu, Jianjun Ni, Zaiming Geng, Bing Zhao and Haowen Yang
J. Mar. Sci. Eng. 2025, 13(2), 326; https://doi.org/10.3390/jmse13020326 - 11 Feb 2025
Cited by 1 | Viewed by 1755
Abstract
The improved control performance of the buoy and winch collaborative control system can enhance the stability of the connection between underwater robots and ground industrial control equipment. To overcome the challenge of mathematical modeling of this control system, this research introduces reinforcement learning [...] Read more.
The improved control performance of the buoy and winch collaborative control system can enhance the stability of the connection between underwater robots and ground industrial control equipment. To overcome the challenge of mathematical modeling of this control system, this research introduces reinforcement learning and transformer models in the design process. The main contributions include the development of two simulation environments for training DRL agents, designing a reward function to guide the exploration process, proposing a buoy control algorithm based on the discrete soft actor-critic (SAC) algorithm, and proposing a winch cable length prediction algorithm based on a lightweight transformer model. The experiment results demonstrated significant improvements in rewards diagrams, buoy control trajectories, and winch model performance, showcasing the effectiveness of our proposed system. The average error of the buoy tracking trajectories induced by different policies trained in the two environments is less than 0.05, and the evaluation error of the behavior cloning lightweight transformer model is less than 0.03. Full article
(This article belongs to the Special Issue Navigation and Detection Fusion for Autonomous Underwater Vehicles)
Show Figures

Figure 1

12 pages, 2704 KB  
Article
A High-Flexibility Contact Force Sensor Based on the 8-Shaped Wound Polymer Optical Fiber for Human Safety in Human–Robot Collaboration
by Yi Liu, Yaru Zuo, Xueyao Jiang, Xuezhu Li, Weihao Yuan and Wenhong Cao
Fibers 2025, 13(2), 15; https://doi.org/10.3390/fib13020015 - 2 Feb 2025
Viewed by 1606
Abstract
Human–robot collaboration is a new trend in modern manufacturing. Safety, or human protection, is of great significance due to humans and robots sharing the same workshop space. To achieve effective protection, in this paper, a contact force sensor based on an 8-shaped wound [...] Read more.
Human–robot collaboration is a new trend in modern manufacturing. Safety, or human protection, is of great significance due to humans and robots sharing the same workshop space. To achieve effective protection, in this paper, a contact force sensor based on an 8-shaped wound polymer optical fiber is proposed. The 8-shaped wound structure can convert the normal contact force to the shrinkage of the 8-shaped optical fiber ring. The macro-bending loss of the optical fiber is used to detect the contact force. Compared with conventional sensors, the proposed scheme has the advantage of high flexibility, low cost, fast response, and high repeatability, which shows great promise in actively alerting users to potential collisions and passively reducing the harm caused to humans. Full article
Show Figures

Figure 1

Back to TopTop