Due to scheduled maintenance work on our servers, there may be short service disruptions on this website between 11:00 and 12:00 CEST on March 28th.
Sign in to use this feature.

Years

Between: -

Subjects

remove_circle_outline
remove_circle_outline
remove_circle_outline
remove_circle_outline
remove_circle_outline
remove_circle_outline
remove_circle_outline
remove_circle_outline
remove_circle_outline

Journals

remove_circle_outline
remove_circle_outline
remove_circle_outline
remove_circle_outline
remove_circle_outline
remove_circle_outline
remove_circle_outline
remove_circle_outline
remove_circle_outline
remove_circle_outline
remove_circle_outline
remove_circle_outline
remove_circle_outline
remove_circle_outline

Article Types

Countries / Regions

remove_circle_outline
remove_circle_outline
remove_circle_outline
remove_circle_outline
remove_circle_outline
remove_circle_outline

Search Results (2,477)

Search Parameters:
Keywords = coarse grained

Order results
Result details
Results per page
Select all
Export citation of selected articles as:
24 pages, 14767 KB  
Article
The Effect of Mo Content on the Multi-Scale Martensitic Structure and Mechanical Properties of Ultra-High-Strength and -Toughness Oil Well Pipes
by Bin Shi, Shibiao Wang, Chunling Zhang and Qingfeng Wang
Metals 2026, 16(4), 365; https://doi.org/10.3390/met16040365 - 26 Mar 2026
Abstract
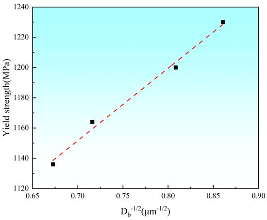
The study systematically investigates the effect of molybdenum (Mo) content (0.70–1.57 wt.%) on the microstructure and mechanical properties of quenched and tempered martensitic steel for ultra-high-strength and -toughness oil well pipes. The results demonstrate that increasing the Mo content substantially enhances the strength [...] Read more.
The study systematically investigates the effect of molybdenum (Mo) content (0.70–1.57 wt.%) on the microstructure and mechanical properties of quenched and tempered martensitic steel for ultra-high-strength and -toughness oil well pipes. The results demonstrate that increasing the Mo content substantially enhances the strength of the steel. The yield strength (YS) increases from 1135 MPa to 1233 MPa, the ultimate tensile strength (UTS) rises from 1176 MPa to 1285 MPa, and the elongation after fracture is marginally improved to 19%. However, the low-temperature impact energy (AKV2) of the steel at −20 °C exhibits a pronounced decrease, from 117 J to 36 J. Mo refines the multi-scale martensitic microstructure, increases the fraction of high-angle grain boundaries (HAGBs) and dislocation density, and promotes the precipitation of three types of carbides. Quantitative analysis indicates that grain refinement strengthening is the predominant factor contributing to the enhancement of steel strength. The decline in the steel’s resistance to low temperatures is attributed to the separation of coarse, blocky M3C-type carbides at the grain boundaries. This results in the accumulation of stress at these boundaries, leading to a transformation in the steel’s fracture mode from ductile to brittle. Full article
(This article belongs to the Special Issue Advances in High-Strength Low-Alloy Steels (2nd Edition))
Show Figures

Figure 1

25 pages, 5544 KB  
Article
Probiotic Potential, Genomic Characterization, and In Silico Insights of Five Lactiplantibacillus plantarum Strains Isolated from Fermented Cacao Beans Against Multidrug-Resistant Pseudomonas aeruginosa
by Phoomjai Sornsenee, Nawanwat C. Pattaranggoon, Pinkanok Suksabay, Yosita Leepromma, Conny Turni and Chonticha Romyasamit
Antibiotics 2026, 15(4), 334; https://doi.org/10.3390/antibiotics15040334 - 26 Mar 2026
Abstract
Background/Objectives: Severe and recurrent infections due to multidrug-resistant (MDR) Pseudomonas aeruginosa necessitate alternative antimicrobial strategies. Fermented cacao beans represent a niche microbial ecosystem with the potential to harbor beneficial lactic acid bacteria (LAB). This study aimed to isolate and characterize LAB strains from [...] Read more.
Background/Objectives: Severe and recurrent infections due to multidrug-resistant (MDR) Pseudomonas aeruginosa necessitate alternative antimicrobial strategies. Fermented cacao beans represent a niche microbial ecosystem with the potential to harbor beneficial lactic acid bacteria (LAB). This study aimed to isolate and characterize LAB strains from fermented cacao beans in southern Thailand and to evaluate their probiotic potential and antimicrobial activity against MDR P. aeruginosa. Methods and Results: Five Lactiplantibacillus plantarum isolates were identified via MALDI-TOF MS and whole-genome sequencing (WGS). All strains demonstrated antimicrobial activity against 17 clinical MDR P. aeruginosa isolates and CR14 exhibited the largest inhibition zone. The isolates displayed robust probiotic traits, including survival under simulated gastrointestinal conditions. Acid tolerance (pH 2.0) reached 61.15 ± 7.75%, while resistance to pepsin, pancreatin, and bile salts exceeded 88%, 91%, and 92%, respectively. Strong adhesion was confirmed via auto-aggregation (55.02 ± 1.75%), hydrophobicity (45.58 ± 0.96%) and Caco-2 cell attachment (up to 98.11 ± 3.28%). WGS revealed multiple plantaricin-encoding clusters. Coarse-grained molecular dynamic simulations showed that two-peptide plantaricins (plnJ/K and plnNC8-αβ) self-assembled and formed stable pores in bacterial membrane models, confirming a pore-forming antimicrobial mechanism. The strains lacked acquired resistance genes and virulence factors, confirmed by in silico safety assessments. Conclusions: Thus, these L. plantarum strains are promising probiotics for managing MDR P. aeruginosa via functional foods or adjunct therapies. Full article
Show Figures

Figure 1

21 pages, 2194 KB  
Article
Joint Modeling and KAFusion Feature Fusion for Prosody-Controllable Speech Synthesis
by Dongfeng Ye, Lin Jiang, Nianxin Ni and Wei Wan
Electronics 2026, 15(7), 1354; https://doi.org/10.3390/electronics15071354 - 25 Mar 2026
Abstract
To address the limited expressiveness in current speech synthesis caused by coarse-grained prosody modeling and simplistic feature fusion strategies, a joint prosody modeling framework and a nonlinear fusion method named KAFusion are proposed, based on the Kolmogorov–Arnold (KA) representation theorem. The joint modeling [...] Read more.
To address the limited expressiveness in current speech synthesis caused by coarse-grained prosody modeling and simplistic feature fusion strategies, a joint prosody modeling framework and a nonlinear fusion method named KAFusion are proposed, based on the Kolmogorov–Arnold (KA) representation theorem. The joint modeling integrates pitch and energy as prosodic priors with text encodings to jointly guide duration prediction, enabling explicit control over speech rate and tone. During feature fusion, KAFusion facilitates nonlinear interactions among features through its nested inner and outer functions. Information entropy serves as the quantitative metric, and both theoretical and experimental results demonstrate the fusion module’s efficacy in suppressing redundancy while preserving task-critical content. Evaluations on the AISHELL3 dataset show a 5.8% improvement in MOS over the baseline. Ablation studies further validate the effectiveness of the proposed components, where KAFusion achieves an output entropy of 3.47, which is 18.4% higher than that of linear fusion (2.93) and indicates richer information content. Full article
Show Figures

Figure 1

19 pages, 3508 KB  
Article
Scalable One-Pixel Attacks on Deep Neural Networks for High-Resolution Images
by Wonhong Nam, Hyunwoo Moon, Kunha Kim and Hyunyoung Kil
Mathematics 2026, 14(7), 1095; https://doi.org/10.3390/math14071095 - 24 Mar 2026
Abstract
Recent studies have shown that deep neural networks can be misled by adversarial examples that involve only imperceptible perturbations. Among these, one-pixel attacks (OPA) represent an extreme yet powerful threat, as they alter only a single pixel of an input image while causing [...] Read more.
Recent studies have shown that deep neural networks can be misled by adversarial examples that involve only imperceptible perturbations. Among these, one-pixel attacks (OPA) represent an extreme yet powerful threat, as they alter only a single pixel of an input image while causing misclassification. While prior work has demonstrated the effectiveness of OPAs on low-resolution datasets, extending these attacks to high-resolution images poses a significant challenge due to the dramatic increase in the number of pixels and the resulting expansion of the search space. In this paper, we address this challenge by proposing a scalable one-pixel attack framework for deep neural networks on high-resolution images. The key difficulty in high-resolution OPAs lies in identifying a vulnerable pixel among tens of thousands of candidates under a black-box setting, where exhaustive pixel-wise probing is prohibitively expensive. To overcome this limitation, we decompose the attack into two phases. In the first phase, we efficiently identify a small set of promising pixel locations using a hierarchical patch-based search strategy, which iteratively prunes large image regions via coarse-grained patch perturbations, thereby substantially reducing the number of required model queries. In the second phase, for each selected pixel candidate, we search for adversarial RGB values using a black-box optimization method based on momentum-accelerated finite-difference gradient estimation. We evaluate our method on popular deep neural network architectures using high-resolution ImageNet images. The experimental results demonstrate that our approach achieves high attack success rates while significantly reducing query cost and improving the quality of the resulting adversarial perturbations compared to existing strategies. Full article
(This article belongs to the Section E1: Mathematics and Computer Science)
Show Figures

Figure 1

27 pages, 25673 KB  
Article
Effect of Asphalt Mixture Surface Preparation Methodology on Determining Luminance Level in Laboratory Conditions: Case Study in Poland
by Dominik Grzyb, Marta Wasilewska and Władysław Gardziejczyk
Materials 2026, 19(7), 1277; https://doi.org/10.3390/ma19071277 - 24 Mar 2026
Viewed by 59
Abstract
This paper verifies a method for determining the luminance of a pavement surface made of SMA mixtures at the design stage under laboratory conditions. Tests were conducted on surfaces made of six types of SMA mixtures with varying grain sizes (between 8 and [...] Read more.
This paper verifies a method for determining the luminance of a pavement surface made of SMA mixtures at the design stage under laboratory conditions. Tests were conducted on surfaces made of six types of SMA mixtures with varying grain sizes (between 8 and 11 mm) and coarse aggregate types like trachybasalt with a luminance coefficient in diffused light of Qd—53 mcd/m2/lx, gabbro with Qd—83 mcd/m2/lx, and granite with Qd—115 mcd/m2/lx. The effect of the glassblasting process on the changes in the luminance coefficient in diffused light (Qd) was analyzed while simultaneously monitoring parameters describing skid resistance and macrotexture. Additionally, it was decided that tests would be performed on two sets of specimens differing in their conditioning temperatures. It was found that conditioning at −15 °C significantly improved the binder film removal process from asphalt mixture surfaces compared to those conditioned at 22 °C. Differences were recorded between individual specimens conditioned at −15 °C at the end of the glassblasting. The lowest Qd values were found for specimens with the darkest trachybasalt aggregate (SMA 8—53.0; SMA 11—51.7 mcd/m2/lx) and the highest for specimens with the lightest granite aggregate (SMA 8—63.9; SMA 11—59.8 mcd/m2/lx). However, considering the differences in Qd between individual coarse aggregates, the differences between specimens with these aggregates are insignificant. Glassblasting is a cheap and quick procedure for removing a binder from the surface of specimens, preparing them for luminance determination in the laboratory. It should be noted that glassblasted surfaces should not be used to determine the skid resistance and macrotexture changes at the design stage of an asphalt mixture. Full article
(This article belongs to the Special Issue Advances in Asphalt Materials (3rd Edition))
Show Figures

Figure 1

17 pages, 4028 KB  
Article
Mechanical Properties of High-Entropy Coatings of the (TiZrVCrAl)N System of Different Architectures Deposited by the Arc-PVD Method on the Surface of Ti-6Al-4V Alloy
by Yana N. Savina, Roman R. Valiev, Stanislav V. Ovchinnikov, Almaz Yu. Nazarov, Iuliia M. Modina, Aleksey A. Nikolaev, Kamil’ N. Ramazanov, Vitaly V. Sanin, Liliya Yu. Mezhevaia, Elina R. Kasimova, Arnaud Caron and Ruslan Z. Valiev
Metals 2026, 16(3), 350; https://doi.org/10.3390/met16030350 - 20 Mar 2026
Viewed by 117
Abstract
In this work, for the first time, we applied and determined the mechanical characteristics of protective coatings made of high-entropy alloy (TiZrVCrAl)N with different architectures onto the surface of Ti-6Al-4V alloy with the initial coarse-grained and ultrafine-grained structure using arc physical vapor deposition. [...] Read more.
In this work, for the first time, we applied and determined the mechanical characteristics of protective coatings made of high-entropy alloy (TiZrVCrAl)N with different architectures onto the surface of Ti-6Al-4V alloy with the initial coarse-grained and ultrafine-grained structure using arc physical vapor deposition. We designed and prepared three coating architectures: a monolayer nitride coating (TiZrVCrAl)N, a multilayer coating consisting of nine alternating layers of TiZrVCrAl and (TiZrVCrAl)N, and a multilayer coating consisting of 720 alternating layers of (TiZrVCrAl)N and TiN, with a total thickness not exceeding 2 microns. We evaluated their protective performances by nanoindentation and scratch tests. Importantly, the effect of the substrate microstructure on the coatings’ performance is investigated by comparing their mechanical behavior on coarse-grained and ultrafine-grained Ti-6Al-4V. Our experimental results show that the coating performance improves with increasing number of layers in the coating, and this effect is even more pronounced for the multilayer coating deposited on the ultrafine-grained titanium alloy substrate. We also find that the (TiZrVCrAl)N/TiN (720 layers) multilayer coating deposited on the UFG Ti-6Al-4V alloy substrate exhibits the highest H/E- and H3/E2-values, indicating the coating’s high innovative potential for performance in extreme conditions. The origins of this phenomenon are analyzed and discussed. Full article
(This article belongs to the Special Issue Recent Advances in Surface Modification of Metallic Materials)
Show Figures

Figure 1

18 pages, 4053 KB  
Article
Effect of Sn/Ni Addition on the Microstructure and Properties of Flux-Cored Brass Filler Metal and Its Brazed Joints
by Wei Liu, Xin Huang, Lijun Ren, Jungang Sun and Yongzhou Bu
Metals 2026, 16(3), 348; https://doi.org/10.3390/met16030348 - 20 Mar 2026
Viewed by 141
Abstract
In this study, Sn and Ni powders were incorporated into the flux core of brass brazing filler metals, with alloying achieved via in situ synthesis during brazing. The effects of Sn/Ni single and composite additions on the microstructure, melting characteristics, wettability on Q235 [...] Read more.
In this study, Sn and Ni powders were incorporated into the flux core of brass brazing filler metals, with alloying achieved via in situ synthesis during brazing. The effects of Sn/Ni single and composite additions on the microstructure, melting characteristics, wettability on Q235 steel, and tensile strength of corresponding brazed joints were systematically investigated. Sn addition increased the β-phase fraction, reduced the solidus temperature, and significantly improved wettability—with a maximum unit spreading area of 4.22 mm2/mg at 20 wt.% Sn (2.85 times that of the Sn/Ni-free baseline). However, coarse β-phase grains and their transformation to brittle β′-phase at room temperature resulted in no enhancement of joint tensile strength. Ni addition expanded the α-phase region, refined grains, and induced solid solution strengthening of the α-phase matrix; joint tensile strength peaked at 501 MPa at 20 wt.% Ni (65% higher than the baseline). Excessive Ni (≥40 wt.%) deteriorated wettability due to reduced molten superheat, and 50 wt.% Ni caused α-phase over-strengthening and embrittlement, leading to a sharp strength drop to 214 MPa. The composite addition of 3 wt.% Sn + 10 wt.% Ni reconstructed the filler metal into a refined, uniform grid-like (α + β) dual-phase structure without new phase formation, realizing synergistic optimization of wettability and mechanical properties. The co-added sample exhibited optimal performance, with a unit spreading area of 4.51 mm2/mg and joint tensile strength of 584 MPa (206% and 93% higher than the baseline, respectively). This improvement was attributed to the coupling of uniform stress dispersion by the grid-like microstructure and dual-element functional complementation (Sn for wettability and β-phase strengthening; Ni for grain refinement and α-phase strengthening). This work provides a feasible alloying modification strategy for brass flux-cored brazing filler metals, and the revealed microstructure-performance regulation mechanism offers a valuable reference for developing high-performance brass brazing filler metals. Full article
Show Figures

Graphical abstract

15 pages, 5140 KB  
Article
Distribution and Enrichment of Heavy Metals in Fine-Grained Fractions of Crushed Electronic Waste
by Jitka Malcharcziková, Kateřina Skotnicová and Praveen Kumar Kesavan
Materials 2026, 19(6), 1222; https://doi.org/10.3390/ma19061222 - 19 Mar 2026
Viewed by 183
Abstract
The concentration of heavy metals in the environment has been steadily increasing, raising concerns about their adverse effects on ecosystems and human health. Fine-grained particulate matter is of particular concern due to its enhanced mobility, bioavailability, and potential for inhalation exposure. Facilities involved [...] Read more.
The concentration of heavy metals in the environment has been steadily increasing, raising concerns about their adverse effects on ecosystems and human health. Fine-grained particulate matter is of particular concern due to its enhanced mobility, bioavailability, and potential for inhalation exposure. Facilities involved in the mechanical processing of electronic waste (e-waste) represent a significant potential source of metal-containing fine particles. In this study, crushed e-waste components containing precious metals were separated into particle-size fractions ranging from 3.0 to 0.15 mm using a vibratory sieving system. The elemental composition of the individual fractions was determined by energy-dispersive X-ray fluorescence spectrometry (ED-XRF), while the spatial distribution of selected metals in fine fractions was further investigated using scanning electron microscopy combined with energy-dispersive X-ray spectroscopy (SEM–EDS). The results demonstrate that e-waste contains a wide range of heavy non-ferrous metals whose distribution is strongly dependent on particle size. A pronounced enrichment of metals was observed in the finest fractions, particularly below 0.25 mm. Compared to the coarse fraction (>3 mm), the zinc concentration increased by approximately one order of magnitude, while chromium, nickel, and cadmium exhibited increases of up to approximately 20-fold. Lead showed particularly high enrichment, reaching approximately 2 wt.% in the finest fraction (<0.15 mm), corresponding to nearly fiftyfold enrichment relative to the coarse fraction. Tin concentrations also increased markedly, in some cases by up to two orders of magnitude. Trace amounts of arsenic and selenium were detected in the finest fractions, whereas mercury was not detected. The combined ED-XRF and SEM–EDS results confirm that fine-grained e-waste fractions are the dominant carriers of hazardous metals and respirable particles generated during mechanical processing. These findings highlight the dual character of fine fractions as both a critical environmental and occupational risk and a potentially valuable secondary resource. The study emphasizes the importance of controlled handling, effective dust management, and targeted processing strategies to minimize human exposure while enabling efficient recovery of valuable metals from e-waste. Full article
(This article belongs to the Special Issue Sustainable and Functional Materials: From Design to Applications)
Show Figures

Graphical abstract

16 pages, 7001 KB  
Article
Thermomechanical Treatment-Enabled Short-Circuit Diffusion Enhances Molten-Carbonate Corrosion Resistance of an Alumina-Forming Austenitic Alloy
by Haocheng Jiang, Haicun Yu, Yuehong Zheng, Faqi Zhan and Peiqing La
Materials 2026, 19(6), 1206; https://doi.org/10.3390/ma19061206 - 19 Mar 2026
Viewed by 197
Abstract
Developing stable alumina-based scales is critical for alumina-forming austenitic (AFA) alloys exposed to highly basic molten carbonates. However, the inherently sluggish diffusion of Al in austenite often limits the establishment of continuous protective layers. Herein, a thermomechanical treatment (TMT) strategy is proposed to [...] Read more.
Developing stable alumina-based scales is critical for alumina-forming austenitic (AFA) alloys exposed to highly basic molten carbonates. However, the inherently sluggish diffusion of Al in austenite often limits the establishment of continuous protective layers. Herein, a thermomechanical treatment (TMT) strategy is proposed to enhance short-circuit diffusion pathways and promote selective Al oxidation in a Li–Na–K carbonate melt at 700 °C. After 90% cold rolling, annealing at 800 °C and 1000 °C generated two distinct microstructural states characterized by different grain boundary types, dislocation densities, and NiAl precipitate populations. The 800 °C-annealed alloy exhibits a significantly lower steady-state corrosion rate (~62 μm/yr) compared with the coarse-grained 1000 °C counterpart. EBSD and TEM analyses reveal that ultrafine grains, abundant low-angle boundaries, and finely dispersed NiAl precipitates provide efficient fast-diffusion channels and local Al reservoirs, enabling rapid formation of a continuous LiAlO2/Al2O3 inner layer. In contrast, insufficient Al flux in the 1000 °C microstructure results in extensive internal oxidation and growth of a thick, non-protective LiFeO2/NiO scale. These findings demonstrate that controlling the defect and grain-boundary structure via TMT is an effective route to overcome Al diffusion limitations and improve the molten-carbonate corrosion resistance of AFA alloys. Full article
Show Figures

Figure 1

20 pages, 4485 KB  
Article
Geochronology, Genesis and Redox Condition of the Lisong Granites in the Guposhan Region, Nanling Range: Constraints from Zircon U-Pb Dating, Whole-Rock Geochemistry, and Apatite Geochemistry
by Weijian Zhou, Mengqing Tang, Wenjing She, Yongxin Zhou, Liu Yang, Gaofeng Du, Na Liu, Jinyu Zhang and Jingya Cao
Minerals 2026, 16(3), 313; https://doi.org/10.3390/min16030313 - 17 Mar 2026
Viewed by 201
Abstract
The Guposhan ore field, located in the Nanling metallogenic belt, is well known for large-scale Sn-W mineralization genetically linked to the Late Jurassic Guposhan pluton. The Lisong pluton, a product of regional magmatism, occurs in the central part of the Guposhan ore field. [...] Read more.
The Guposhan ore field, located in the Nanling metallogenic belt, is well known for large-scale Sn-W mineralization genetically linked to the Late Jurassic Guposhan pluton. The Lisong pluton, a product of regional magmatism, occurs in the central part of the Guposhan ore field. However, the critical factors responsible for the absence of intensive Sn polymetallic mineralization in the Lisong pluton remain poorly understood. Our geochronological results show that the coarse-grained hornblende-bearing and hornblende-free biotite monzogranites of the Lisong pluton were emplaced at 162.9 ± 1.5 Ma and 162.2 ± 2.3 Ma, respectively, which are contemporaneous with the Guposhan pluton. Geochemically, these intrusions are characterized by high SiO2, Al2O3, and total alkalis (K2O + Na2O), high Ga/Al ratios (3.09–3.69), and peraluminous compositions (A/CNK = 1.15–1.23), consistent with high K calc-alkaline A-type granites. Similar to the adjacent Guposhan pluton, the Lisong granites yield variable εHf(t) values from −3.0 to 5.7, apatite 87Sr/86Sr ratios of 0.69747–0.71190, and old two-stage Hf model ages (TDM2) of 0.85–1.40 Ga. These features suggest that the Lisong and Guposhan granites may share a common magma source involving mixing of crustal and mantle-derived melts. Apatite grains from the Lisong granites display negative Eu anomalies (δEu = 0.03–0.22) and near-normal to positive Ce anomalies (δCe = 0.99–1.07), which we interpret to reflect plagioclase fractional crystallization and reduced melt conditions, respectively. Bulk rock geochemistry and multi-element systematics of the Lisong granites indicate that they represent early-stage magmatic products. Their relatively low differentiation signatures were unfavorable for Sn enrichment and mineralization in the melt, which likely explains the lack of intensive Sn polymetallic mineralization in the Lisong pluton. Full article
Show Figures

Figure 1

22 pages, 13981 KB  
Article
Geological Characteristics and Genesis of the Greisen-Hosted Nb-Ta Mineralization in the Qidashan Iron Deposit, Liaoning Province, China, and Its Implications
by Yang Xiao, Rongzhen Gao, Qing Sun, Jianfei Fu, Yuzeng Yao, Sanshi Jia and Jiale Chen
Minerals 2026, 16(3), 312; https://doi.org/10.3390/min16030312 - 16 Mar 2026
Viewed by 209
Abstract
The newly identified greisen-hosted Nb-Ta mineralization in the Qidashan iron deposit, Liaoning Province, China, offers a unique opportunity to explore how hydrothermal processes contribute to the enrichment of critical metals. In this study, an integrated analytical approach of petrographic observation and scanning electron [...] Read more.
The newly identified greisen-hosted Nb-Ta mineralization in the Qidashan iron deposit, Liaoning Province, China, offers a unique opportunity to explore how hydrothermal processes contribute to the enrichment of critical metals. In this study, an integrated analytical approach of petrographic observation and scanning electron microscopy–energy-dispersive spectrometer (SEM-EDS), electron probe microanalyzer (EPMA), and laser ablation inductively coupled plasma mass spectrometer (LA-ICP-MS) U-Pb dating of columbite-group minerals (CGMs) were employed to systematically decipher the paragenetic sequence, micro-structure, elemental composition and mineralization age of CGMs, aiming at the genesis of greisen-hosted Nb-Ta mineralization. The mineralization is characterized by the abundant occurrence of CGMs. Three generations of CGMs and two mineralization stages are distinguished: stage I contains CGM Is and CGM IIs, with Nb2O5 ranging from 25.7 to 69.56 wt.% and Ta2O5 from 5.8 to 52.5 wt.%; stage II contains CGM IIIs, with Nb2O5 between 59.5 and 71.5 wt.% and Ta2O5 between 3.5 and 16.2 wt.%. CGM Is consist of euhedral, homogeneous crystals of more than 100 μm, exhibit low Ta/(Nb + Ta) ratios (0.05–0.06) and high Mn/(Fe + Mn) ratios (0.19–0.26), and belong to columbite-Fe. CGM IIs generally overgrow on CGM Is with hydrothermal overprinting textures, and show significant compositional gaps compared to CGM Is, exhibiting higher Ta/(Nb + Ta) ratios (0.13–0.55) and restricted Mn/(Fe + Mn) ratios (0.15–0.18), with some belonging to columbite-Fe and others to tantalite-Fe, which reveals a transition from magma to “hydrosilicate fluid”. CGM IIIs are mainly anhedral and homogeneous, with a grain size of less than 50 μm. However, some CGM IIIs overgrow on CGM IIs and/or CGM Is with patchy textures indicative of subsequent hydrothermal overprinting of hydrosilicate fluid, forming a coarse-grain size over 100 μm. CGM IIIs are characterized by lower Ta/(Nb + Ta) ratios (0.03–0.14) and variable Mn/(Fe + Mn) ratios (0.08–0.26), and they belong to columbite-Fe. LA-ICP-MS U-Pb dating yields weighted mean 206Pb/238U ages of 2646 ± 15 Ma for stage I and 2500 ± 28 Ma for stage II, indicating two-stage Nb-Ta mineralization. The early mineralization may correlate with the partial melting of volcanic–sedimentary rocks due to the geothermal anomalies associated with ~2.7 Ga submarine volcanism, and the late mineralization formed by the magmatic hydrothermal activities related to emplacement of the Qidashan granite in 2.5 Ga. We therefore propose that the two-stage greisen-hosted Nb-Ta mineralization probably widely occurred in these sedimentary–metamorphic iron deposits in the Anshan–Benxi area and even in the northern edge of the North China Craton, and it may provide new insights for evaluating the Nb-Ta resource potential in similar Algoma-type iron deposits globally. Full article
Show Figures

Graphical abstract

38 pages, 2374 KB  
Article
Control over Recommendation Algorithms in Heterogeneous Modular Systems with Dynamic Opinions
by Vladislav Gezha and Ivan Kozitsin
Entropy 2026, 28(3), 333; https://doi.org/10.3390/e28030333 - 16 Mar 2026
Viewed by 169
Abstract
The paper suggests a model-dependent theoretical framework for designing optimal ranking algorithms to achieve desirable macroscopic opinion configurations. We consider an opinion formation process in which agents communicate through stochastic pairwise interactions, with the outcomes of these interactions being a function of the [...] Read more.
The paper suggests a model-dependent theoretical framework for designing optimal ranking algorithms to achieve desirable macroscopic opinion configurations. We consider an opinion formation process in which agents communicate through stochastic pairwise interactions, with the outcomes of these interactions being a function of the interacting agents’ opinions and individual attributes (types). For the model, we write a mean-field approximation (MFA)—a coarse-grained nonlinear ordinary differential equation—which accommodates network modularity and assortativity, agents’ activity heterogeneity, and the curation of a ranking system that can prohibit interactions with opinion- and type-dependent probabilities. Upon MFA, we formulate a control problem for dynamically adjusting the ranking algorithm’s parameters. The existence of a solution is proved, and certain properties of optimal controllers are derived. For the case of a two-element opinion alphabet, we obtain a solution to the control problem using finite-difference schemes. This solution holds for any number of agent types and does not depend on external factors, such as the influence of social bots. Numerical tests corroborate our findings and also enable us to investigate the control problem for high-dimension opinion spaces, wherein we consider two primary scenarios: depolarization of an initially polarized society and nudging a social system towards a fixed endpoint of an opinion spectrum. Full article
Show Figures

Figure 1

16 pages, 9419 KB  
Article
Nitrogen Content Effects on Microstructural Evolution and Low-Temperature Impact Toughness in the Coarse-Grained Heat-Affected Zone of Welded X70 Pipeline Steel
by Jiangcheng Liu, Kai Guo, Haote Ma, Jiangli He, Junchao Wang, Chuanyou Zhang, Tiansheng Wang and Qingfeng Wang
Metals 2026, 16(3), 331; https://doi.org/10.3390/met16030331 - 16 Mar 2026
Viewed by 185
Abstract
The low-temperature toughness of a coarse-grained heat-affected zone (CGHAZ) is a critical factor governing the service safety of welded joints in X70 pipeline steel. This study systematically investigated the influence of nitrogen content (ranging from 0.0018 to 0.0120 wt%) on the microstructure and [...] Read more.
The low-temperature toughness of a coarse-grained heat-affected zone (CGHAZ) is a critical factor governing the service safety of welded joints in X70 pipeline steel. This study systematically investigated the influence of nitrogen content (ranging from 0.0018 to 0.0120 wt%) on the microstructure and low-temperature impact toughness of the CGHAZ in X70 pipeline steel using welding thermal simulation tests with a heat input of 12.5 kJ/cm. The results indicate that the CGHAZ microstructure predominantly comprises lath bainite (LB) and minor martensite–austenite (M/A) constituents. With increasing nitrogen content, the austenite-to-ferrite transformation start temperature (Ar3) increased while the transformation finish temperature (Ar1) decreased, resulting in coarsening of the lath bainite packet structure. The M/A volume fraction rose from 2.11% to 5.23%, the average particle size grew from 0.17 to 0.71 μm, and the high-angle grain boundary (HAGB > 15°) fraction declined from 67.5% to 52.2%. These microstructural alterations collectively caused the Charpy impact energy of the CGHAZ to decrease from 269 J to 48 J. The deterioration in toughness is primarily attributed to blocky M-A constituents lowering the resistance to crack nucleation and the reduced HAGB fraction diminishing the resistance to crack propagation. This work provides a theoretical foundation for optimizing the performance of X70 pipeline steel welded joints, and it is recommended that the nitrogen content in the base metal be strictly maintained below 0.005 wt% to ensure superior CGHAZ toughness. Full article
(This article belongs to the Special Issue Advances in High-Strength Low-Alloy Steels (2nd Edition))
Show Figures

Figure 1

15 pages, 9537 KB  
Article
Mechanical Behavior of Gradient-Structured Nano-Crystalline NiCoAl Alloy
by Yina Zheng, Huan Yu, Wei Zhang, Bangxiong Liu, Junling Yu and Meng Chen
Metals 2026, 16(3), 329; https://doi.org/10.3390/met16030329 - 16 Mar 2026
Viewed by 174
Abstract
Nanostructured metallic materials are widely applied in various fields due to their excellent comprehensive properties. Enhancing mechanical properties through microstructure design has emerged as a novel strengthening strategy. In this contribution, the microscopic mechanical behavior of coarse-grained and gradient-structured nanocrystalline NiCoAl alloys during [...] Read more.
Nanostructured metallic materials are widely applied in various fields due to their excellent comprehensive properties. Enhancing mechanical properties through microstructure design has emerged as a novel strengthening strategy. In this contribution, the microscopic mechanical behavior of coarse-grained and gradient-structured nanocrystalline NiCoAl alloys during tensile deformation was investigated via molecular dynamics simulations. Based on the investigation of compositional effects, the Ni60Co30Al10 alloy composition was selected, exhibiting a yield strength of 4.92 GPa. The results indicate that increasing Al content reduces the material’s strength, Young’s modulus, and work hardening effect. Furthermore, by introducing a gradient structure with grain sizes gradually varying from 1.8 nm to 6.5 nm into the alloy, the yield strength reaches 1.8 GPa and the flow stress reaches 3.35 GPa, demonstrating a significant improvement compared to the uniform coarse-grained structure. Upon introducing the gradient structure into the alloy, it was observed that geometrically necessary dislocations (GNDs) nucleate in the coarse-grained region during deformation and gradually extend towards the fine-grained region. The increased grain boundary density effectively impedes dislocation motion and enhances dislocation pinning capability, thereby inducing continuous strain hardening and improving plasticity. By promoting the accumulation and interaction of grain boundary dislocations, the gradient structure achieves further strengthening and strain hardening in the alloy, providing a theoretical basis and simulation foundation for designing high-performance advanced alloys. Full article
Show Figures

Figure 1

32 pages, 10642 KB  
Article
Dynamic Beam Control-Based Neighbor Discovery Protocol for Underwater Acoustic Networks with Multi-Parallel Transceiver
by Jianjun Zhang, Lin Zhou, Haijun Wang, Zhiyong Zeng and Qing Hu
Sensors 2026, 26(6), 1855; https://doi.org/10.3390/s26061855 - 15 Mar 2026
Viewed by 217
Abstract
Neighbor discovery in underwater acoustic networks (UANs) faces challenges such as high propagation delay and limited spectrum resources. This study proposes a dynamic beam control-based multi-parallel transceiver neighbor discovery protocol (DBCB), which improves node discovery efficiency by dynamically matching transmission beams and optimizing [...] Read more.
Neighbor discovery in underwater acoustic networks (UANs) faces challenges such as high propagation delay and limited spectrum resources. This study proposes a dynamic beam control-based multi-parallel transceiver neighbor discovery protocol (DBCB), which improves node discovery efficiency by dynamically matching transmission beams and optimizing spatiotemporal frequency resource allocation. During node initialization, the master node broadcasts omnidirectionally to quickly capture coarse-grained neighbor parameters. After obtaining these parameters, the master node dynamically allocates orthogonal frequency bands for directional multi-beam validation and optimizes beam alignment, resource allocation, and topology stability through real-time feedback. The protocol adaptively optimizes transmission power and continues the discovery task, while nodes that remain undiscovered for extended periods automatically adjust their receiving gain. The adaptive power control mechanism adjusts the transmission power based on node distance and azimuth, enabling the protocol to maintain low power consumption and enhance interference resilience. Simulation results show that the DBCB protocol outperforms similar neighbor discovery protocols based on directional transmission-reception (DTR) and random two-way (RTW) mechanisms, with improvements of 7.84% and 28.17% in average discovery rate, and reductions of 28.13% and 59.06% in average discovery delay, respectively. The anechoic tank experiment demonstrates that multi-beam parallel transmission effectively improves underwater node discovery efficiency, with simulation results aligning with experimental data, confirming the stability and high efficiency of the system. Full article
(This article belongs to the Section Sensor Networks)
Show Figures

Figure 1

Back to TopTop