Sign in to use this feature.

Years

Between: -

Subjects

remove_circle_outline
remove_circle_outline

Journals

Article Types

Countries / Regions

Search Results (5)

Search Parameters:
Keywords = cis/trans-isoxazolidines

Order results
Result details
Results per page
Select all
Export citation of selected articles as:
22 pages, 3674 KB  
Article
New 3-(Dibenzyloxyphosphoryl)isoxazolidine Conjugates of N1-Benzylated Quinazoline-2,4-diones as Potential Cytotoxic Agents against Cancer Cell Lines
by Magdalena Łysakowska, Iwona E. Głowacka, Ewelina Honkisz-Orzechowska, Jadwiga Handzlik and Dorota G. Piotrowska
Molecules 2024, 29(13), 3050; https://doi.org/10.3390/molecules29133050 - 27 Jun 2024
Cited by 2 | Viewed by 2565
Abstract
In this study, a new series of cis and trans 5-substituted-3-(dibenzyloxyphosphoryl)isoxazolidines 16ag were synthesized by the 1,3-dipolar cycloaddition reaction of N-benzyl-C-(dibenzyloxyphosphoryl)nitrone and selected N1-allyl-N3-benzylquinazoline-2,4-diones. All the obtained trans-isoxazolidines 16ag and [...] Read more.
In this study, a new series of cis and trans 5-substituted-3-(dibenzyloxyphosphoryl)isoxazolidines 16ag were synthesized by the 1,3-dipolar cycloaddition reaction of N-benzyl-C-(dibenzyloxyphosphoryl)nitrone and selected N1-allyl-N3-benzylquinazoline-2,4-diones. All the obtained trans-isoxazolidines 16ag and the samples enriched in respective cis-isomers were evaluated for anticancer activity against three tumor cell lines. All the tested compounds exhibited high activity against the prostate cancer cell line (PC-3). Isoxazolidines trans-16a and trans-16b and diastereoisomeric mixtures of isoxazolidines enriched in cis-isomer using HPLC, namely cis-16a/trans-16a (97:3) and cis-16b/trans-16b (90:10), showed the highest antiproliferative properties towards the PC-3 cell line (IC50 = 9.84 ± 3.69–12.67 ± 3.45 μM). For the most active compounds, induction apoptosis tests and an evaluation of toxicity were conducted. Isoxazolidine trans-16b showed the highest induction of apoptosis. Moreover, the most active compounds turned out safe in vitro as none affected the cell viability in the HEK293, HepG2, and HSF cellular models at all the tested concentrations. The results indicated isoxazolidine trans-16b as a promising new lead structure in the search for effective anticancer drugs. Full article
Show Figures

Graphical abstract

18 pages, 1235 KB  
Article
Design, Synthesis, Anti-Varicella-Zoster and Antimicrobial Activity of (Isoxazolidin-3-yl)Phosphonate Conjugates of N1-Functionalised Quinazoline-2,4-Diones
by Magdalena Łysakowska, Iwona E. Głowacka, Graciela Andrei, Dominique Schols, Robert Snoeck, Paweł Lisiecki, Magdalena Szemraj and Dorota G. Piotrowska
Molecules 2022, 27(19), 6526; https://doi.org/10.3390/molecules27196526 - 2 Oct 2022
Cited by 4 | Viewed by 1992
Abstract
Dipolar cycloaddition of the N-substituted C-(diethoxyphosphonyl)nitrones with N3-allyl-N1-benzylquinazoline-2,4-diones produced mixtures of diastereoisomeric 3-(diethoxyphosphonyl)isoxazolidines with a N1-benzylquinazoline-2,4-dione unit at C5. The obtained compounds were assessed for antiviral and antibacterial activities. Several compounds showed moderate inhibitory activities [...] Read more.
Dipolar cycloaddition of the N-substituted C-(diethoxyphosphonyl)nitrones with N3-allyl-N1-benzylquinazoline-2,4-diones produced mixtures of diastereoisomeric 3-(diethoxyphosphonyl)isoxazolidines with a N1-benzylquinazoline-2,4-dione unit at C5. The obtained compounds were assessed for antiviral and antibacterial activities. Several compounds showed moderate inhibitory activities against VZV with EC50 values in the range of 12.63–58.48 µM. A mixture of isoxazolidines cis-20c/trans-20c (6:94) was found to be the most active against B. cereus PCM 1948, showing an MIC value 0.625 mg/mL, and also was not mutagenic up to this concentration. Full article
Show Figures

Graphical abstract

23 pages, 3675 KB  
Article
Novel Isoxazolidine and γ-Lactam Analogues of Homonucleosides
by Dorota G. Piotrowska, Iwona E. Głowacka, Dominique Schols, Robert Snoeck, Graciela Andrei and Joanna Gotkowska
Molecules 2019, 24(22), 4014; https://doi.org/10.3390/molecules24224014 - 6 Nov 2019
Cited by 15 | Viewed by 3394
Abstract
Homonucleoside analogues cis-16 and trans-17 having a (5-methoxycarbonyl)isoxazolidine framework were synthesized via the 1,3-dipolar cycloaddition of nucleobase-derived nitrones with methyl acrylate. Hydrogenolysis of the isoxazolidines containing thymine, dihydrouracil, theophylline and adenine moieties efficiently led to the formation of the [...] Read more.
Homonucleoside analogues cis-16 and trans-17 having a (5-methoxycarbonyl)isoxazolidine framework were synthesized via the 1,3-dipolar cycloaddition of nucleobase-derived nitrones with methyl acrylate. Hydrogenolysis of the isoxazolidines containing thymine, dihydrouracil, theophylline and adenine moieties efficiently led to the formation of the respective γ-lactam analogues. γ-Lactam analogues having 5-bromouracil and 5-chlorouracil fragments were synthesized by treatment of uracil-containing γ-lactams with NBS and NCS. Isoxazolidine and γ-lactam analogues of homonucleosides obtained herein were evaluated for activity against a broad range of DNA and RNA viruses. None of the compounds that were tested exhibited antiviral or cytotoxic activity at concentrations up to 100 µM. The cytostatic activities of all compounds toward nine cancerous cell lines was tested. γ-Lactams trans-15e (Cl-Ura) and cis-15h (Theo) appeared the most active toward pancreatic adenocarcinoma cells (Capan-1), showing IC50 values 21.5 and 18.2 µM, respectively. Isoxazolidine cis-15e (Cl-Ura) inhibited the proliferation of colorectal carcinoma (HCT-116). Full article
(This article belongs to the Section Medicinal Chemistry)
Show Figures

Graphical abstract

16 pages, 1723 KB  
Article
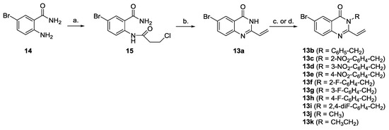
Isoxazolidine Conjugates of N3-Substituted 6-Bromoquinazolinones—Synthesis, Anti-Varizella-Zoster Virus, and Anti-Cytomegalovirus Activity
by Magdalena Grabkowska-Drużyc, Graciela Andrei, Dominique Schols, Robert Snoeck and Dorota G. Piotrowska
Molecules 2018, 23(8), 1889; https://doi.org/10.3390/molecules23081889 - 28 Jul 2018
Cited by 12 | Viewed by 4370
Abstract
1,3-Dipolar cycloaddition of N-methyl C-(diethoxyphosphoryl) nitrone to N3-substituted 6-bromo-2-vinyl-3H-quinazolin-4-ones gave (3-diethoxyphosphoryl) isoxazolidines substituted at C5 with quinazolinones modified at N3. All isoxazolidine cycloadducts were screened for antiviral activity against a broad spectrum of DNA and RNA viruses. Several isoxazolidines [...] Read more.
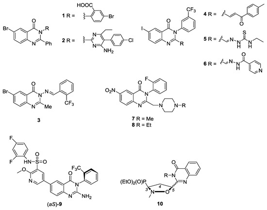
1,3-Dipolar cycloaddition of N-methyl C-(diethoxyphosphoryl) nitrone to N3-substituted 6-bromo-2-vinyl-3H-quinazolin-4-ones gave (3-diethoxyphosphoryl) isoxazolidines substituted at C5 with quinazolinones modified at N3. All isoxazolidine cycloadducts were screened for antiviral activity against a broad spectrum of DNA and RNA viruses. Several isoxazolidines inhibited the replication of both thymidine kinase wild-type and deficient (TK+ and TK) varicella-zoster virus strains at EC50 in the 5.4–13.6 μΜ range, as well as human cytomegalovirus (EC50 = 8.9–12.5 μΜ). Isoxazolidines trans-11b, trans-11c, trans-11e, trans-11f/cis-11f, trans-11g, trans-11h, and trans-11i/cis-11i exhibited moderate cytostatic activity towards the human lymphocyte cell line CEM (IC50 = 9.6–17 μM). Full article
(This article belongs to the Section Medicinal Chemistry)
Show Figures

Graphical abstract

15 pages, 1059 KB  
Article
New Isoxazolidine-Conjugates of Quinazolinones—Synthesis, Antiviral and Cytostatic Activity
by Dorota G. Piotrowska, Graciela Andrei, Dominique Schols, Robert Snoeck and Magdalena Grabkowska-Drużyc
Molecules 2016, 21(7), 959; https://doi.org/10.3390/molecules21070959 - 22 Jul 2016
Cited by 21 | Viewed by 6928
Abstract
A novel series of (3-diethoxyphosphoryl)isoxazolidines substituted at C5 with various quinazolinones have been synthesized by the 1,3-dipolar cycloaddition of N-methyl-C-(diethoxyphosphoryl)nitrone with N3-substitued 2-vinyl-3H-quinazolin-4-ones. All isoxazolidines were assessed for antiviral activity against a broad range of DNA and RNA viruses. [...] Read more.
A novel series of (3-diethoxyphosphoryl)isoxazolidines substituted at C5 with various quinazolinones have been synthesized by the 1,3-dipolar cycloaddition of N-methyl-C-(diethoxyphosphoryl)nitrone with N3-substitued 2-vinyl-3H-quinazolin-4-ones. All isoxazolidines were assessed for antiviral activity against a broad range of DNA and RNA viruses. Isoxazolidines trans-11f/cis-11f (90:10), trans-11h and trans-11i/cis-11i (97:3) showed weak activity (EC50 = 6.84, 15.29 and 9.44 μM) toward VZV (TK+ strain) which was only one order of magnitude lower than that of acyclovir used as a reference drug. Phosphonates trans-11b/cis-11b (90:10), trans-11c, trans-11e/cis-11e (90:10) and trans-11g appeared slightly active toward cytomegalovirus (EC50 = 27–45 μM). Compounds containing benzyl substituents at N3 in the quinazolinone skeleton exhibited slight antiproliferative activity towards the tested immortalized cells with IC50 in the 21–102 μM range. Full article
(This article belongs to the Section Medicinal Chemistry)
Show Figures

Graphical abstract

Back to TopTop