Abstract
1,3-Dipolar cycloaddition of N-methyl C-(diethoxyphosphoryl) nitrone to N3-substituted 6-bromo-2-vinyl-3H-quinazolin-4-ones gave (3-diethoxyphosphoryl) isoxazolidines substituted at C5 with quinazolinones modified at N3. All isoxazolidine cycloadducts were screened for antiviral activity against a broad spectrum of DNA and RNA viruses. Several isoxazolidines inhibited the replication of both thymidine kinase wild-type and deficient (TK+ and TK−) varicella-zoster virus strains at EC50 in the 5.4–13.6 μΜ range, as well as human cytomegalovirus (EC50 = 8.9–12.5 μΜ). Isoxazolidines trans-11b, trans-11c, trans-11e, trans-11f/cis-11f, trans-11g, trans-11h, and trans-11i/cis-11i exhibited moderate cytostatic activity towards the human lymphocyte cell line CEM (IC50 = 9.6–17 μM).
1. Introduction
Herpesviruses are enveloped, icosahedral viruses containing double-stranded DNA. What fundamentally distinguishes herpesviruses from others is the ability to establish latent infection and reactivating when the host immune system is impaired. Human cytomegalovirus (HCMV) and varicella zoster virus (VZV) belong to the family of herpesviruses which cause infections usually acquired in childhood [1,2,3]. For the treatment of viral infections caused by herpesviruses, including VZV and HCMV, several drugs, such as acyclovir (e.g., Zovirax), valacyclovir (e.g., Valtrex), famciclovir (e.g., Famvir), brivudin (e.g., Zostex, Helpin), and ganciclovir (e.g., Cymevene), have been used [3,4,5].
Despite the wide range of available drugs, effective treatment of viral infections is still limited. This is mainly due to the specificity of viral infections and the ability of viruses to mutate, which is associated with the acquisition of drug resistance. Therefore, new compounds with potential biological activity are being sought all the time. Quinazolinone and its derivatives have been extensively studied because of their wide range of biological activities, including antiviral [6], anticancer [7,8], antifungal [9], antibacterial [10,11], antitubercular [12,13], anti-inflammatory [11,14], anticonvulsant [15], hypolipidemic [16], analgesic [17], or immunotropic properties [18].
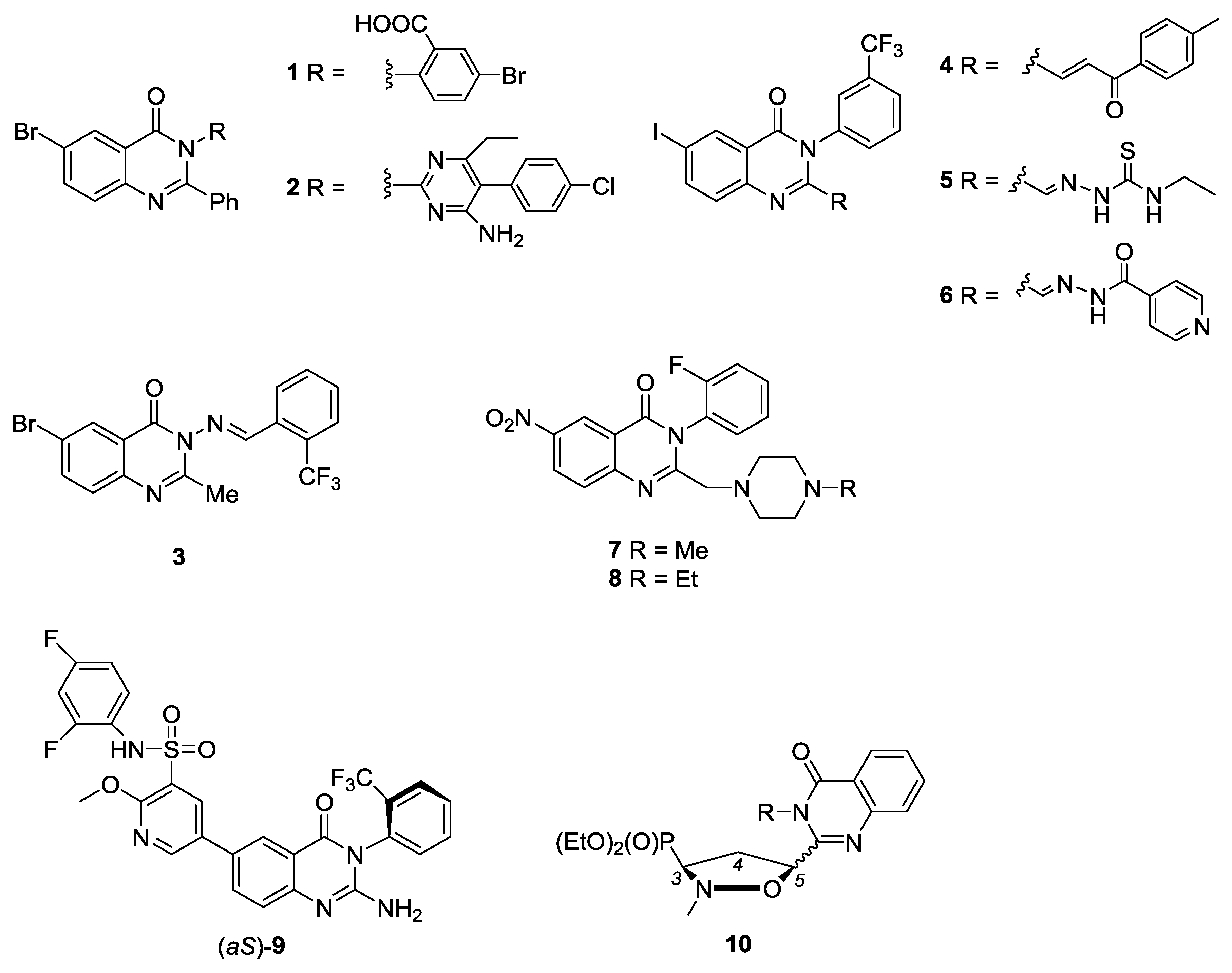
The antiviral activity of compounds containing the C6-substituted quinazolin-4-one framework has been discovered in recent years (Figure 1). For example, 5-bromo-2-(6-bromo-4-oxo-2-phenyl-4H-quinazolin-3-yl)-benzoic acid 1 was reported to possess distinct antiviral activity against both herpes simplex viruses 1 and 2 (HSV-1 and HSV-2) and vaccinia virus (VACV) (EC50 = 12 μg/mL) [19], whereas compound 2 exhibited activity against vaccinia virus in E6SM cell cultures (MIC of 1.92 μg/mL) [20]. Another analogue, i.e., 2-methyl-3-(substituted-benzalamino)-4(3H)-quinazolinone 3, was found to exhibit antiviral activity against tobacco mosaic virus (TMV) in vivo. Compound 3 showed curative effects of 54%, which was slightly higher than that of a reference drug, Ningnanmycin [21]. Very recently quinazolin-4(3H)-ones 4–6 were synthesized and evaluated for inhibitory action on the replication of influenza A virus (H5N1), as well as to test toxicity on in vitro cell lines. In general, quinazolin-4(3H)-ones containing a chalcone skeleton 4, thiosemicarbazone 5, and hydrazide 6 showed moderate antiviral activity against H5N1 (inhibition rate: 38%, 47%, 25%, respectively, for 4, 5, 6) compared to a reference drug, Zanamivir [22]. In addition, compounds 7 and 8 possessing a nitro group at C6 were reported as potent inhibitors of Venezuelan Equine Encephalitis Virus (VEEV) (EC50 = 0.8 μM, CC50 = 50 μM) [23]. Quinazolinone (aS)-9 displayed high selectivity for PI4KIIIα and appeared to be potent inhibitors of hepatitis C virus (HCV) replication in vitro. Moreover, compound (aS)-9 exhibited higher potency for PI4KIIIα than its atropisomer aR (pIC50 of 8.3 vs. 6.9) and an improved selectivity range (2.7–3.2 vs. 1.4–2.1) against the other lipid kinases [24].
Figure 1.
Examples of C6-substituted quinazolinone derivatives with antiviral activity.
Recently, we have succeeded in synthesis of a series of quinazolinones substituted at C3 with a (diethoxyphosphoryl)isoxazolidine moiety 10. Several of the synthesized analogues exhibited moderate activity against varicella zoster virus (VZV) and human cytomegalovirus (HCMV) [25]. On the basis of these observations, and in continuation of our search for new biologically active compounds [25], a novel series of quinazolinone derivatives of general formula 11 having an isoxazolidine ring at C2, different substituents at N3, and an additional bromine atom at C6 was synthesized. The synthetic strategy for our new isoxazolidine-conjugates of quinazolinones relies on the 1,3-dipolar cycloaddition of N-methyl-C-(diethoxyphosphoryl)nitrone 12 [26] with selected 6-bromo-2-vinyl-3H-quinazolin-4-ones 13 (Scheme 1).
Scheme 1.
Retrosynthesis of isoxazolidine conjugates of 6-bromoquinazolinones.
2. Results and Discussion
2.1. Chemistry
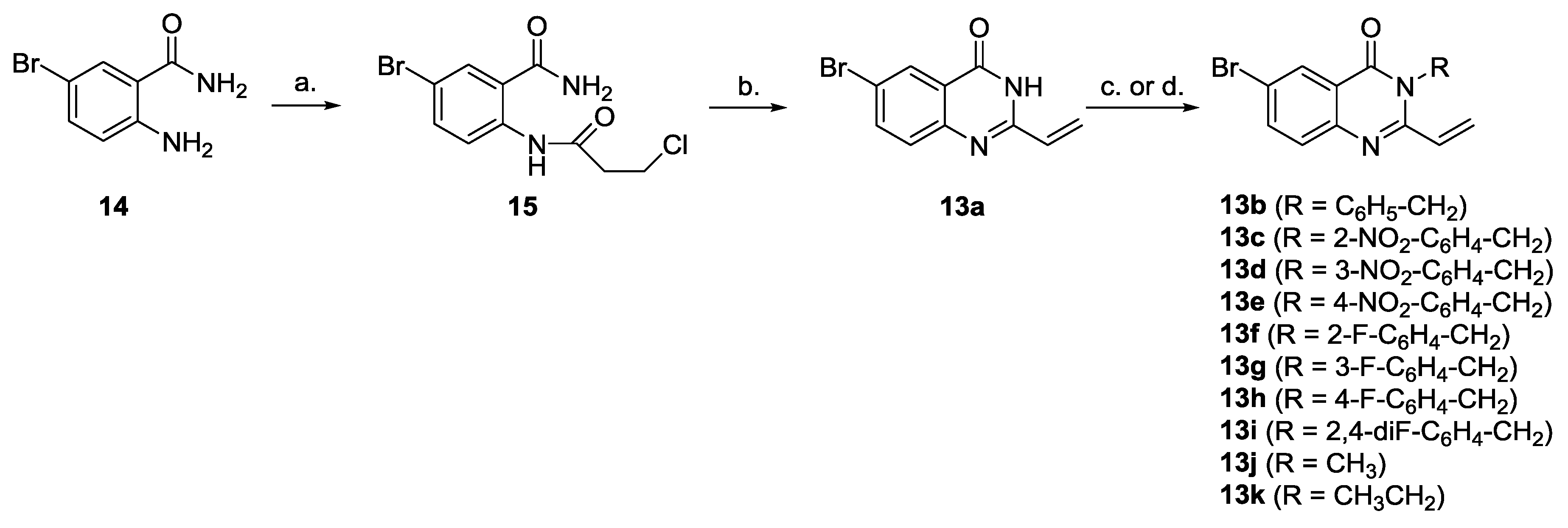
The respective 3-substituted 6-bromo-2-vinyl-3H-quinazolin-4-ones 13a–k were synthesized starting from the commercially available isatoic acid anhydride, which was first reacted with bromine and then transformed into 5-bromoanthranilic acid amide 14 according to the procedure in the literature [27,28]. Reaction 5-bromoanthranilic acid amide 14 with 3-chloropropionyl chloride followed by cyclization and dehydrohalogenation led to the formation of 6-bromo-2-vinyl-3H-quinazolin-4-one 13a, which was then used as a key intermediate in the preparation of N3-substituted derivatives 13b–13k via alkylation with the respective benzyl bromides, as well as with methyl or ethyl iodide [29] (Scheme 2).
Scheme 2.
Synthesis of 3-substituted 6-bromo-2-vinylquinazolinones 13a–13k. Reaction and conditions: a. 3-chloropropionyl chloride, 1,4-dioxane, 0 °C; b. 5% NaOH–EtOH (2:1); c. RBr, KOH, 105 °C; d. MeI or EtI, KOH, CH3CN, 60 °C.
The 1,3-dipolar cycloadditions of nitrone 12 with the respective 6-bromo-2-vinylquinazolinones 13a–13k were carried out at 70 °C in toluene and afforded mixtures of diastereoisomeric isoxazolidines trans-11a–11k and cis-11a–11k (Scheme 3, Table 1). Ratios of trans/cis diastereoisomers were determined on the basis of the 31P-NMR spectra of crude products and confirmed by the analysis of 1H-NMR spectra data. In all cases good trans/cis diastereoselectivities were observed (in the range of 76–88%) and trans-isomers predominated. The mixtures of isoxazolidine cycloadducts were separated chromatographically on silica gel. The isolation of pure isomers was successfully accomplished for the major isomers trans-11a (R = H), trans-11b (R = C6H5CH2), trans-11c (R = 2-NO2-C6H4-CH2), trans-11d (R = 3-NO2-C6H4-CH2), trans-11e (R = 4-NO2-C6H4-CH2), trans-11g (R = 3-F-C6H4-CH2), trans-11h (R = 4-F-C6H4-CH2), trans-11j (R = CH3), and trans-11k (R = CH3CH2), as well as for a minor isomer cis-11a (R = H).
Scheme 3.
Synthesis of isoxazolidines trans-11a–k and cis-11a–k. Reaction and conditions: a. toluene, 70 °C, 24 h.
Stereochemistry of the cycloaddition of a nitrone 12 to N3-substituted derivatives of 2-vinyl-3H-quinazolin-4-ones has recently been described and relative configurations of trans- and cis-isoxazolidine cycloadducts were established based on conformational analysis [25]. Since the introduction of the bromine atom at C6 of the quinazolin-4-one framework has no influence on the stereochemical outcome of the reaction of nitrone 12 with N3-susbstituted 2-vinyl-3H-quinazolin-4-ones, the trans and cis configurations of the major trans-11a–k and minor cis-11a–k isomers were assigned taking advantage of our previous observations.
2.2. Antiviral and Cytostatic Evaluation
2.2.1. Antiviral Activity
Pure isomers trans-11a, trans-11b, trans-11c, trans-11d, trans-11e, trans-11g, trans-11h, trans-11j, trans-11k, and cis-11a, as well as diastereoisomeric mixtures of isoxazolidines trans-11f/cis-11f (95:5) and trans-11i/cis-11i (92:8), were tested for inhibitory activity against a wide variety of DNA and RNA viruses. The following cell-based assays were used: (a) human embryonic lung (HEL) cells (herpes simplex virus-1 (KOS strain), herpes simplex virus-2 (G strain), thymidine kinase deficient (acyclovir resistant) herpes simplex virus-1 (TK− KOS ACVr), vaccinia virus, adenovirus-2, vesicular stomatitis virus, cytomegalovirus (AD-169 and Davis strains), varicella-zoster virus (TK+ VZV and TK− VZV strains)); (b) HeLa cell cultures (vesicular stomatitis virus, Coxsackie virus B4, and respiratory syncytial virus); (c) Vero cell cultures (parainfluenza-3 virus, reovirus-1, Sindbis virus, Coxsackie virus B4, Punta Toro virus, yellow fever virus); (d) CrFK cell cultures (feline corona virus (FIPV) and feline herpes virus (FHV)); and (e) MDCK cell cultures (influenza A virus (H1N1 and H3N2 subtypes) and influenza B virus). Ganciclovir, cidofovir, acyclovir, brivudin, zalcitabine, zanamivir, alovudine, amantadine, rimantadine, ribavirin, dextran sulfate (molecular weight 10000, DS-10000), mycophenolic acid, Hippeastrum hybrid agglutinin (HHA), and Urtica dioica agglutinin (UDA) were used as the reference compounds. The antiviral activity was expressed as the EC50: the compound concentration required to reduce virus plaque formation (VZV) by 50% or to reduce virus-induced cytopathogenicity by 50% (other viruses).
Almost all synthesized isoxazolidines inhibited the replication of both TK+ and TK− VZV strains at EC50’s in the 5.4–13.6 μΜ range (Table 2), at the same time they were inactive toward other tested viruses, except for HCMV. In general, the inhibitory activity of the tested compounds toward TK− VZV 07-1 strain was better than that of the reference drugs acyclovir and brivudin (EC50 = 39.2 μΜ and EC50 = 31.9 μΜ, respectively), which require activation by the viral enzyme. On the other hand, the activity of these compounds against the TK+ VZV OKA strain was five to nine-fold and 360 to 587-fold lower than that of the reference drugs acyclovir and brivudin, respectively. While exhibiting significant activity toward both TK+ and TK− VZV stains, compounds trans-11b, trans-11d, trans-11g, and trans-11h exhibited the lowest cytotoxicity (CC50 = 33–42 μΜ). It is worth mentioning that incorporation of the bromine atom at C6 in the quinazolinone skeleton resulted in a significant increase in potency of isoxazolidine-conjugates 11b–11i against VZV (up to five-fold higher) when compared with previously described analogous conjugates 10b–10i having an unsubstituted quinazoline skeleton [25].
Table 2.
Antiviral activity and cytotoxicity against varicella-zoster virus (VZV) in HEL cell cultures.
The synthesized isoxazolidine phosphonates also showed marked activity against human cytomegalovirus (HCMV) (Table 3) and, among them, trans-11d, trans-11g, trans-11h, and trans-11i/cis-11i (92:8) were the most potent ones. Activities of the tested compounds against both AD-169 and Davis strains were comparable (EC50 = 8.9–12.5 μΜ) to that of Ganciclovir (EC50 = 16.9 and 7.7 μΜ) used as a reference drug, but still lower than that of the other reference drug, Cidofovir (EC50 = 1.5–1.7 μΜ).
Table 3.
Antiviral activity and cytotoxicity against human cytomegalovirus in HEL cell cultures.
2.2.2. Cytostatic Activity
The 50% cytostatic inhibitory concentration (IC50) causing a 50% decrease in cell proliferation was determined against murine leukemia L1210, human lymphocyte CEM, human cervix carcinoma HeLa, and immortalized human dermal microvacsular endothelial cells (HMEC-1). Almost all compounds 11a–11k showed inhibitory activity against the proliferation of tumour cell lines (Table 4). They appeared to be the most cytostatic toward the human T-lymphocyte (CEM) cell line with an inhibitory effect in the 9.6–33 μM range. Thus, isoxazolidines trans-11b (IC50 = 16 ± 3 μM), trans-11c (IC50 = 14 ± 4 μM), trans-11e (IC50 = 17 ± 12 μM), trans-11f/cis-11f (95:5) (IC50 = 13 ± 1 μM), trans-11g (IC50 = 10 ± 0 μM), trans-11h (IC50 = 9.6 ± 2.2 μM), and trans-11i/cis-11i (92:8) (IC50 = 9.8 ± 4.8 μM) exhibited activity toward the CEM line higher than of 5-fluorouracil (IC50 = 18 ± 5 μM).
Table 4.
Inhibitory effect of the tested compounds against the proliferation of murine leukemia (L1210), human T-lymphocyte (CEM), human cervix carcinoma (HeLa), and immortalized human dermal microvascular endothelial cells (HMEC-1).
Structure–activity relationship studies indicated that the isoxazolidine derivatives possessing hydrogen (cis-11a, trans-11a), methyl (trans-11j), or ethyl (trans-11k) at N3 in the quinazolinone ring were not active against tested viruses and they did not inhibit proliferation of the tested cell lines. Compounds substituted at N3 with benzyl moieties were found effective against VZV, HCMV, and were able to inhibit tumour cell line growth. Moreover, isoxazolidine phosphonates having 3-nitrobenzyl (trans-11d) and 3-fluorobenzyl (trans-11g) substituents at N3 of the quinazolinone core showed the highest antiviral activity with an EC50 values in the range of 5.8–11.6 μM.
On the other hand, compounds possessing 3-fluorobenzyl (trans-11g), 4-fluorobenzyl (trans-11h) and 2,4-difluorobenzyl (trans-11i/cis-11i (92:8)) substituents at the N3 position showed an inhibitory effect against the proliferation of murine leukemia (L1210) and human T-lymphocyte (CEM) cell lines, whereas isoxazolidines having 2-nitrobenzyl (trans-11c) and 2,4-difluorobenzyl (trans-11i/cis-11i (92:8)) substituents at the same position of a quinazolinone moiety appeared to be the most active toward the human cervix carcinoma (HeLa) cell line, however, their inhibitory concentration was much lower than that of the reference drugs.
3. Experimental Section
3.1. General
1H-NMR spectra were taken in CDCl3 on the following spectrometers: Gemini 2000BB (200 MHz Varian, Palo Alto, CA, USA), and Bruker Avance III (600 MHz, Bruker Instrument, Karlsruhe, Germany) with TMS as internal standard. 13C-NMR spectra were recorded for CDCl3 solution on the Bruker Avance III at 151.0 MHz. 31P-NMR spectra were performed in CDCl3 solution on the Varian Gemini 2000 BB at 81.0 MHz or on Bruker Avance III at 243.0 MHz.
IR spectra were measured on an Infinity MI-60 FT-IR spectrometer (ATI Instruments North America—Mattson, Madison, WI, USA). Melting points were determined on a Boetius apparatus (VEB Kombinat NAGEMA, Dresden, DDR—currently Germany) and are uncorrected. Elemental analyses were performed by the Microanalytical Laboratory of this faculty on a Perkin-Elmer PE 2400 CHNS analyzer (Perkin-Elmer Corp., Norwalk, CT, USA).
The following adsorbents were used: column chromatography, Merck silica gel 60 (70–230 mesh); analytical TLC, Merck (Merck KGaA, Darmstadt, Germany) TLC plastic sheet silica gel 60 F254.
N-methyl-C-(diethoxyphosphoryl)nitrone [26] and 5-bromoanthranilic acid amide [27,28] were obtained according to the procedures in the literature.
3.2. Synthesis of 6-Bromo-2-vinyl-3H-quinazolin-4-one 13a
To a solution 5-bromoanthranilic amide (2.40 g, 11.2 mmol) in 1,4-dioxane (5 mL) 3-chloropropionyl chloride (0.527 mL, 5.60 mmol) was added over 20 min. at 0 °C under an argon atmosphere. The mixture was stirred at room temperature for 1 h and then diluted with water until a precipitate appeared, which was collected and washed with water (3 × 10 mL). A mixture of 2-(3-chloropropionylamino)benzamide (2.03 g, 6.63 mmol) in 5% sodium hydroxide (16.4 mL) and ethanol (8.2 mL) was stirred under reflux for 5 min., the solution was allowed to cool for 15 min. and then acidified with acetic acid (1.6 mL). The precipitate was collected and washed with water (3 × 10 mL). The crude 6-bromo-2-vinylquinazolin-4(3H)-one was purified by crystallization from methanol.
Off-white amorphous solid, m.p. = 223–225 °C (re-crystallized from methanol). IR (KBr, cm−1) νmax: 3165, 3088, 3019, 2943, 2738, 1673, 1638, 1591, 1462, 1337, 1292, 1245, 1207, 1114, 1065, 977, 829, 793, 687, 633. 1H-NMR (200 MHz, DMSO): δ = 12.51 (s, 1H, NH), 8.17 (d, 4J = 2.4 Hz, 1H, HC5), 7.90 (dd, 3J = 8.7 Hz, 4J = 2.4 Hz, 1H, HC7), 7.81 (d, 3J = 8.7 Hz, 1H, HC8), 6.63 (dd, 3J = 17.5 Hz, 2J = 3.7 Hz, 1H, CH=CH2), 6.53 (dd, 3J = 17.5 Hz, 3J = 8.1 Hz, 1H, CH=CH2), 5.86 (dd, 3J = 8.1 Hz, 2J = 3.7 Hz, 1H, CH=CH2). 13C-NMR (151 MHz, DMSO): δ = 161.11 (C=O), 152.00, 148.23, 137.80, 131.00, 130.18, 128.45, 126.31, 123.40, 119.37. Anal. Calcd. for C10H7BrN2O: C, 47.84; H, 2.81; N, 11.16. Found: C, 47.88; H, 2.49; N, 11.01.
3.3. General Procedure for the Synthesis of N3-Benzylated 6-bromo-2-vinyl-3H-quinazolin-4-ones 13b–13i
To a solution of 6-bromo-2-vinyl-3H-quinazolin-4-one (0.251 g, 1.00 mmol) in acetonitrile (15 mL) potassium hydroxide (0.168 g, 3.00 mmol) was added. After 15 min. the respective benzyl bromide (1.10 mmol) was added and the reaction mixture was stirred under reflux for 4 h. The solvent was removed and the residue was re-dissolved in methylene chloride (10 mL) and extracted with water (3 × 10 mL). An organic phase was dried (MgSO4), concentrated, and the crude product was purified on a silica gel column with a methylene chloride:hexane (7:3, v/v) mixture followed by crystallization (chloroform-petroleum ether or ethyl acetate) to give pure quinazolinones.
3-Benzyl-6-bromo-2-vinylquinazolin-4(3H)-one (13b). A white amorphous solid, m.p. = 71–72 °C (re-crystallized from ethyl acetate). IR (KBr, cm−1) νmax: 3097, 3036, 2926, 1608, 1571, 1553, 1470, 1290, 1153, 1112, 989, 841, 678, 581, 437. 1H-NMR (200 MHz, CDCl3): δ = 8.30–8.27 (m, 1H), 7.88–7.82 (m, 1H), 7.77–7.73 (m, 1H), 7.57–7.50 (m, 2H), 7.48–7.37 (m, 3H), 6.91 (dd, 3J = 17.2 Hz, 3J = 9.9 Hz, 1H, CH=CH2), 6.73 (dd, 3J = 17.2 Hz, 2J = 2.5 Hz, 1H, CH=CH2), 5.82 (dd, 3J = 9.9 Hz, 2J = 2.5 Hz, 1H, CH=CH2), 5.67 (s, 2H, N-CH2). 13C-NMR (151 MHz, CDCl3): δ = 165.16 (C=O), 160.28, 150.36, 137.00, 136.88, 136.02, 129.45, 128.67, 128.45, 126.09, 124.36, 120.03, 116.67, 68.69 (N-CH2). Anal. Calcd. for C17H13BrN2O: C, 59.84; H, 3.84; N, 8.21. Found: C, 59.92; H, 3.68; N, 8.29.
6-Bromo-3-(2-nitrobenzyl)-2-vinylquinazolin-4(3H)-one (13c). A yellowish amorphous solid, m.p. 117–119 °C (re-crystallized from chloroform-petroleum ether). IR (KBr, cm−1) νmax: 3078, 2980, 2925, 2854, 1689, 1613, 1573, 1526, 1489, 1390, 1354, 1287, 1242, 1116, 1053, 1024, 968, 836, 791, 730. 1H-NMR (600 MHz, CDCl3): δ = 8.33 (d, 4J = 2.2 Hz, 1H, HC5), 8.18–8.16 (m, 1H), 7.90 (dd, 3J = 8.9 Hz, 4J = 2.2 Hz, 1H, HC7), 7.81 (d, 3J = 8.9 Hz, 1H, HC8), 7.80–7.78 (m, 1H), 7.71–7.69 (m, 1H), 7.56–7.53 (m, 1H), 6.87 (dd, 3J = 17.2 Hz, 3J = 10.4 Hz, 1H, CH=CH2), 6.64 (dd, 3J = 17.2 Hz, 2J = 1.5 Hz, 1H, CH=CH2), 6.10 (s, 2H, N-CH2), 5.80 (dd, 3J = 10.4 Hz, 2J = 1.5 Hz, 1H, CH=CH2). 13C-NMR (151 MHz, CDCl3): δ = 164.62 (C=O), 160.12, 150.32, 147.84, 137.31, 136.31, 133.78, 132.33, 129.51, 129.05, 128.87, 125.76, 125.07, 124.92, 120.38, 116.31, 65.14 (N-CH2). Anal. Calcd. for C17H12BrN3O3: C, 52.87; H, 3.13; N, 10.88. Found: C, 52.50; H, 2.80; N, 10.80.
6-Bromo-3-(3-nitrobenzyl)-2-vinylquinazolin-4(3H)-one (13d). A yellowish amorphous solid, m.p. 147–149 °C (re-crystallized from chloroform-petroleum ether). IR (KBr, cm−1) νmax: 3112, 3071, 2924, 2854, 1610, 1573, 1529, 1456, 1382, 1294, 1119, 836, 668. 1H-NMR (600 MHz, CDCl3): δ = 8.44 (brs, 1H), 8.32–8.30 (m, 1H), 8.26–8.24 (m, 1H), 7.91–7.88 (m, 2H), 7.80–7.78 (m, 1H), 7.64–7.61 (m, 1H), 6.91 (dd, 3J = 17.2 Hz, 3J = 10.4 Hz, 1H, CH=CH2), 6.73 (dd, 3J = 17.2 Hz, 2J = 1.4 Hz, 1H, CH=CH2), 5.84 (dd, 3J = 10.4 Hz, 2J = 1.4 Hz, 1H, CH=CH2), 5.78 (s, 2H, N-CH2). 13C-NMR (151 MHz, CDCl3): δ = 164.69 (C=O), 160.05, 150.49, 148.51, 138.14, 137.28, 136.68, 134.10, 129.73, 129.60, 125.84, 124.47, 123.37, 123.27, 120.35, 116.34, 67.22 (N-CH2). Anal. Calcd. for C17H12BrN3O3: C, 52.87; H, 3.13; N, 10.88. Found: C, 52.81; H, 2.98; N, 10.60.
6-Bromo-3-(4-nitrobenzyl)-2-vinylquinazolin-4(3H)-one (13e). Off-white amorphous solid, m.p. 121–123 °C (re-crystallized from chloroform-petroleum ether). IR (KBr, cm−1) νmax: 3418, 2924, 2853, 1739, 1608, 1573, 1524, 1343, 1292, 1117, 945, 833, 661. 1H-NMR (200 MHz, CDCl3): δ = 8.30–8.26 (m, 3H), 7.96–7.92 (m, 1H), 7.81–7.76 (m, 1H), 7.73–7.67 (m, 2H), 6.88 (dd, 3J = 17.2 Hz, 3J = 10.1 Hz, 1H, CH=CH2), 6.65 (dd, 3J = 17.2 Hz, 2J = 2.1 Hz, 1H, CH=CH2), 5.80 (dd, 3J = 10.1 Hz, 2J = 2.1 Hz, 1H, CH=CH2), 5.77 (s, 2H, N-CH2). 13C-NMR (151 MHz, CDCl3): δ = 164.69 (C=O), 160.03, 150.41, 147.93, 143.27, 137.37, 136.59, 129.58, 128.50, 125.80, 124.58, 123.93, 120.44, 116.33, 67.14 (N-CH2). Anal. Calcd. for C17H12BrN3O3: C, 52.87; H, 3.13; N, 10.88. Found: C, 52.81; H, 2.98; N, 10.60.
6-Bromo-3-(2-fluorobenzyl)-2-vinylquinazolin-4(3H)-one (13f). A white amorphous solid, m.p. 91–92 °C (re-crystallized from ethyl acetate). IR (KBr, cm−1) νmax: 3078, 2967, 1568, 1555, 1486, 1420, 1348, 1293, 1238, 1115, 938, 828, 760, 675. 1H-NMR (600 MHz, CDCl3): δ = 8.31 (d, 4J = 2.2 Hz, 1H, HC5), 7.89 (dd, 3J = 8.9 Hz, 4J = 2.2 Hz, 1H, HC7), 7.68 (d, 3J = 8.9 Hz, 1H, HC8), 7.61–7.58 (m, 1H), 7.42–7.38 (m, 1H), 7.23–7.20 (m, 1H), 7.18–7.15 (m, 1H), 6.92 (dd, 3J = 17.2 Hz, 3J = 10.4 Hz, 1H, CH=CH2), 6.78 (dd, 3J = 17.2 Hz, 2J = 1.7 Hz, 1H, CH=CH2), 5.84 (dd, 3J = 10.4 Hz, 2J = 1.7 Hz, 1H, CH=CH2), 5.78 (s, 2H, N-CH2). 13C-NMR (151 MHz, CDCl3): δ = 164.99 (C=O), 161.20 (d, 1J(CF) = 248.8 Hz, C2′), 160.24, 150.39, 137.03, 136.81, 130.70 (d, 3J(CCCF) = 4.0 Hz, C4′), 130.39 (d, 3J(CCCF) = 7.9 Hz, C6′), 129.47, 126.04, 124.44, 124.25 (d, 4J(CCCCF) = 3.4 Hz, C5′), 123.24 (d, 2J(CCF) = 14.5 Hz, C3′), 120.06, 116.59, 115.63 (d, 2J(CCF) = 21.5 Hz, C1′), 62.51 (d, 3J(CCF) = 4.4 Hz, N-CH2). Anal. Calcd. for C17H12BrFN2O: C, 56.85; H, 3.37; N, 7.80. Found: C, 56.62; H, 2.99; N, 7.79.
6-Bromo-3-(3-fluorobenzyl)-2-vinylquinazolin-4(3H)-one (13g). A yellowish amorphous solid, m.p. 78–80 °C (re-crystallized from ethyl acetate). IR (KBr, cm−1) νmax: 3070, 2980, 2925, 2853, 1614, 1568, 1490, 1416, 1336, 1286, 1115, 1055, 967, 836, 790. 1H-NMR (600 MHz, CDCl3): δ = 8.32 (d, 4J = 2.2 Hz, 1H, HC5), 7.89 (dd, 3J = 8.9 Hz, 4J = 2.2 Hz, 1H, HC7), 7.80 (d, 3J = 8.9 Hz, 1H, HC8), 7.43–7.39 (m, 1H), 7.34–7.32 (m, 1H), 7.28–7.26 (m, 1H), 7.11–7.08 (m, 1H), 6.92 (dd, 3J = 17.1 Hz, 3J = 10.4 Hz, 1H, CH=CH2), 6.73 (dd, 3J = 17.1 Hz, 2J = 1.7 Hz, 1H, CH=CH2), 5.84 (dd, 3J = 10.4 Hz, 2J = 1.7 Hz, 1H, CH=CH2), 5.69 (s, 2H, N-CH2). 13C-NMR (151 MHz, CDCl3): δ = 164.95 (C=O), 162.95(d, 1J(CF) = 246.6 Hz, C3′), 160.19, 150.43, 138.50 (d, 3J(CCCF) = 7.5 Hz, C5′), 137.13, 136.79, 130.25 (d, J = 8.1 Hz, C1′), 129.53, 125.98, 124.42, 123.74 (d, 4J(CCCCF) = 3.1 Hz, C6′), 120.18, 116.54, 115.33 (d, 2J(CCF) = 21.0 Hz, C4′), 115.14 (d, 2J(CCF) = 22.0 Hz, C2′), 67.77 (d, 4JCCCCF = 1.5 Hz, N-CH2). Anal. Calcd. for C17H12BrFN2O: C, 56.85; H, 3.37; N, 7.80. Found: C, 56.99; H, 2.97; N, 7.84.
6-Bromo-3-(4-fluorobenzyl)-2-vinylquinazolin-4(3H)-one (13h). A yellowish amorphous solid, m.p. 100–103 °C (re-crystallized from chloroform-petroleum ether). IR (KBr, cm−1) νmax: 3064, 2926, 1608, 1565, 1510, 1487, 1354, 1219, 1118, 989, 832, 697, 501. 1H-NMR (200 MHz, CDCl3): δ = 8.26 (d, 4J = 2.1 Hz, 1H, HC5), 7.85 (dd, 3J = 8.9 Hz, 4J = 2.1 Hz, 1H, HC7), 7.75 (d, 3J = 8.9 Hz, 1H, HC8), 7.55–7.48 (m, 2H), 7.15–7.06 (m, 2H), 6.90 (dd, 3J = 17.2 Hz, 3J = 11.5 Hz, 1H, CH=CH2), 6.72 (dd, 3J = 17.2 Hz, 2J = 2.3 Hz, 1H, CH=CH2), 5.82 (dd, 3J = 11.5 Hz, 2J = 2.3 Hz, 1H, CH=CH2), 5.63 (s, 2H, N-CH2). 13C-NMR (151 MHz, CDCl3): δ = 165.04 (C=O), 162.82 (d, 1J(CF) = 247.1 Hz, C4′), 160.20, 150.40, 137.04, 136.88, 131.84 (d, 4J(CCCCF) = 3.1 Hz, C1′), 130.39 (d, 3J(CCCF) = 8.6 Hz, C2′, C6′), 129.50, 125.99, 124.28, 120. 08, 116.60, 115.62 (d, 2J(CCF) = 21.9 Hz, C3′, C5′), 67.94 (N-CH2). Anal. Calcd. for C17H12BrFN2O: C, 56.85; H, 3.37; N, 7.80. Found: C, 56.50; H, 3.01; N, 7.76.
6-Bromo-3-(2,4-difluorobenzyl)-2-vinylquinazolin-4(3H)-one (13i). A yellowish amorphous solid, m.p. 88–90 °C (re-crystallized from chloroform-petroleum ether). IR (KBr, cm−1) νmax: 3079, 2923, 2852, 1614, 1565, 1508, 1488, 1416, 1349, 1279, 1099, 955, 834, 728, 538. 1H-NMR (600 MHz, CDCl3): δ = 8.27 (d, 4J = 2.1 Hz, 1H, HC5), 7.88 (dd, 3J = 8.9 Hz, 4J = 2.1 Hz, 1H, HC7), 7.78 (d, 3J = 8.9 Hz, 1H, HC8), 7.59–7.55 (m, 1H), 6.96–6.89 (m, 2H), 6.89 (dd, 3J = 17.2 Hz, 3J = 10.0 Hz, 1H, CH=CH2), 6.72 (dd, 3J = 17.2 Hz, 2J = 2.4 Hz, 1H, CH=CH2), 5.82 (dd, 3J = 10.0 Hz, 2J = 2.4 Hz, 1H, CH=CH2), 5.68 (s, 2H, N-CH2). 13C-NMR (151 MHz, CDCl3) δ: 164.86 (C=O), 163.23 (dd, 1J(CF) = 250.4 Hz, 3J(CCCF) = 12.0 Hz, C2′), 161.45 (dd, 1J(CF) = 251.8 Hz, 3J(CCCF) = 12.1 Hz, C4′), 160.15, 150.38, 137.06, 136.80, 131.83 (dd, 3J(CCCF) = 9.8 Hz, 3J(CCCF) = 5.4 Hz, C6′), 129.49, 125.95, 124.39, 120.12, 119.29 (dd, 2J(CCF) = 15.0 Hz, 4J(CCCCF) = 4.0 Hz, C1′), 116.48, 111.50 (dd, 2J(CCF) = 21.7 Hz, 4J(CCCCF) = 4.1 Hz, C5′), 104.16 (dd, 2J(CCF) = 25.3 Hz, 2J(CCF) = 25.3 Hz, C3′), 61.93 (d, 3J(CCCF) = 3.4 Hz, N-CH2) Anal. Calcd. for C17H11BrF2N2O: C, 54.13; H, 2.94; N, 7.43. Found: C, 54.42; H, 3.14; N, 7.04.
3.4. General Procedure for the Synthesis of N3-Alkylated 6-bromo-2-vinyl-3H-quinazolin-4-ones 13j and 13k
To the solution of 6-bromo-2-vinyl-3H-quinazolin-4-one (0.251 g, 1.00 mmol) in acetonitrile (15 mL) potassium hydroxide (0.168 g, 3.00 mmol) was added. After 15 min iodomethane (0.124 mL, 2.00 mmol) or iodoethane (0.088 mL, 1.10 mmol) was added and the reaction mixture was stirred at 60 °C for 5 h. The solvent was removed and the residue was re-dissolved in methylene chloride (10 mL) and extracted with water (3 × 10 mL). The organic layer was dried (MgSO4), concentrated, and the crude product was purified on a silica gel column with a methylene chloride:hexane mixture (7:3, v/v) mixture followed by crystallization (chloroform:petroleum ether).
6-Bromo-3-methyl-2-vinylquinazolin-4(3H)-one (13j). A white amorphous solid, m.p. = 147–148 °C (re-crystallized from chloroform-petroleum ether). IR (KBr, cm−1) νmax: 2956, 2924, 1675, 1661, 1555, 1468, 1337, 1260, 1025, 981, 791, 645. 1H-NMR (200 MHz, CDCl3): δ = 8.21 (d, 4J = 2.1 Hz, 1H, HC5), 7.79 (dd, 3J = 8.9 Hz, 4J = 2.1 Hz, 1H, HC7), 7.67 (d, 3J = 8.9 Hz, 1H, HC8), 6.83 (dd, 3J = 17.2 Hz, 3J = 9.9 Hz, 1H, CH=CH2), 6.66 (dd, 3J = 17.2 Hz, 2J = 2.5 Hz, 1H, CH=CH2), 5.74 (dd, 3J = 9.9 Hz, 2J = 2.5 Hz, 1H, CH=CH2), 4.14 (s, 3H, CH3). 13C-NMR (151 MHz, CDCl3): δ = 161.06 (C=O), 152.56, 146.20, 137.33, 129.34, 129.29, 128.92, 127.19, 121.95, 120.12, 30.95. Anal. Calcd. for C11H9BrN2O: C, 49.84; H, 3.42; N, 10.57. Found: C, 50.11; H, 3.42; N, 10.56.
6-Bromo-3-ethyl-2-vinylquinazolin-4(3H)-one (13k). A white amorphous solid, m.p. = 62–64 °C (re-crystallized from chloroform-petroleum ether). IR (KBr, cm−1) νmax: 3097, 3035, 2956, 2926, 2853, 1610, 1571, 1554, 1488, 1428, 1347, 1291, 1153, 1018, 842, 807, 678. 1H-NMR (200 MHz, CDCl3): δ = 8.22 (d, 4J = 2.2 Hz, 1H, HC5), 7.79 (dd, 3J = 8.9 Hz, 4J = 2.2 Hz, 1H, HC7), 7.68 (d, 3J = 8.9 Hz, 1H, HC8), 6.82 (dd, 3J = 17.2 Hz, 3J = 10.0 Hz, 1H, CH=CH2), 6.63 (dd, 3J = 17.2 Hz, 2J = 2.4 Hz, 1H, CH=CH2), 5.73 (dd, 3J = 10.0 Hz, 2J = 2.4 Hz, 1H, CH=CH2), 4.62 (q, 3J = 7.1 Hz, 2H, CH3CH2), 1.47 (t, 3J = 7.1 Hz, 3H, CH3CH2). 13C-NMR (151 MHz, CDCl3): δ = 161.06 (C=O), 160.37, 150.12, 136.90, 136.78, 129.34, 126.10, 124.19, 119.83, 116.71, 63.10, 14.28. Anal. Calcd. for C12H11BrN2O: C, 51.63; H, 3.97; N, 10.04. Found: C, 51.94; H, 3.75; N, 9.94.
3.5. General Procedure for the Synthesis of Isoxazolidines trans-11 and cis-11
A solution of the nitrone (0.195 g, 1.00 mmol) and the respective 6-bromo-2-vinylquinazolin-4(3H)-one (1.00 mmol) in toluene (2 mL) was stirred at 70 °C until the disappearance (TLC) of the starting nitrone. Solvents were evaporated in vacuo and crude products were subjected to chromatography on silica gel columns with chloroform:methanol (100:1, 50:1, 20:1, v/v) mixtures.
Diethyl trans-[5-(6-bromo-4-oxo-3,4-dihydroquinazolin-2-yl)-2-methylisoxazolidin-3-yl]phosphonate (trans-11a). Colorless oil. IR (film, cm−1) νmax: 3316, 3171, 3090, 2980, 2974, 2783, 1660, 1625, 1486, 1412, 1301, 1234, 1054, 968, 834, 775, 575. 1H-NMR (600 MHz, CDCl3): δ = 10.63 (s, 1H, NH), 8.44 (d, 4J = 2.3 Hz, 1H, HC5′), 7.84 (dd, 3J = 8.6 Hz, 4J = 2.3 Hz, 1H, HC7′), 7.54 (d, 3J = 8.6 Hz, 1H, HC8′), 5.02 (dd, 3J(H5–H4β) = 8.4 Hz, 3J(H5–H4α) = 6.2 Hz, 1H, HC5), 4.30–4.21 (m, 4H, 2 × CH2OP), 3.25–3.21 (m, 1H, HC3), 3.04 (s, 3H, CH3N), 3.12 (dddd, 3J(H4β–P) = 16.7 Hz, 2J(H4β–H4α) = 12.9 Hz, 3J(H4β–H5) = 8.6 Hz, 3J(H4β–H3) = 8.3 Hz, 1H, HβC4), 2.94 (dddd, 3J(H4α–P) = 12.9 Hz, 2J(H4α–H4β) = 12.9 Hz, 3J(H4α–H3) = 10.0 Hz, 3J(H4α–H5) = 6.2 Hz, 1H, HαC4), 1.40 (t, 3J = 7.1 Hz, 3H, CH3CH2OP), 1.38 (t, 3J = 7.0 Hz, 3H, CH3CH2OP). 13C-NMR (151 MHz, CDCl3): δ = 160.30 (C=O), 156.50, 147.35, 137.66, 129.26, 128.96, 123.27, 120.46, 74.68 (d, 3J(CCCP) = 8.6 Hz, C5), 64.60 (d, 1J(CP) = 168.1 Hz, C3), 63.51 (d, 2J(COP) = 6.6 Hz, CH2OP), 62.61 (d, 2J(COP) = 6.9 Hz, CH2OP), 46.07 (CH3N), 40.92 (C4), 16.55 (d, 3J(CCOP) = 6.2 Hz, CH3CH2OP), 16.48 (d, 3J(CCOP) = 5.5 Hz, CH3CH2OP). 31P-NMR (243 MHz, CDCl3): δ = 20.51. Anal. Calcd. for C16H21BrN3O5P: C, 43.07; H, 4.74; N, 9.42. Found: C, 43.09; H, 4.52; N, 9.35.
Diethyl cis-[5-(6-bromo-4-oxo-3,4-dihydroquinazolin-2-yl)-2-methylisoxazolidin-3-yl]phosphonate (cis-11a). Colorless oil. IR (film, cm−1) νmax: 3090, 2959, 2925, 2865, 1661, 1626, 1601, 1461, 1336, 1234, 1054, 969, 834, 575. 1H-NMR (600 MHz, CDCl3): δ = 10.63 (s, 1H, NH), 8.44 (d, 4J = 2.3 Hz, 1H, HC5′), 7.84 (dd, 3J = 8.6 Hz, 4J = 2.3 Hz, 1H, HC7′), 7.54 (d, 3J = 8.6 Hz, 1H, HC8′), 5.07 (dd, 3J(H5–H4α) = 9.2 Hz, 3J(H5–H4β) = 4.3 Hz, 1H, HC5), 4.23–4.12 (m, 4H, 2 × CH2OP), 3.21 (dddd, 3J(H4β–P) = 19.8 Hz, 2J(H4β–H4α) = 10.9 Hz, 3J(H4β–H3) = 6.8 Hz, 3J(H4β–H5) = 4.3 Hz, 1H, HβC4), 3.12 (ddd, 3J(H3–H4β) = 6.8 Hz, 3J(H3–H4α) = 9.6 Hz, 2J(H3–P) = 4.4 Hz 1H, HC3), 3.00 (s, 3H, CH3N), 2.83 (dddd, 3J(H4α–P) = 13.1 Hz, 2J(H4α–H4β) = 10.9 Hz, 3J(H4α–H3) = 9.6 Hz, 3J(H4α–H5) = 9.2 Hz, 1H, HαC4), 1.32 (t, 3J = 7.0 Hz, 3H, CH3CH2OP), 1.27 (t, 3J = 7.1 Hz, 3H, CH3CH2OP). 13C-NMR (151 MHz, CDCl3): δ = 160.33 (C=O), 156.50, 147.35, 137.65, 129.26, 128.96, 123.27, 120.46, 75.58 (d, 3J(CCCP) = 6.6 Hz, C5), 63.58 (d, 1J(CP) = 169.1 Hz, C3), 63.18 (d, 2J(COP) = 6.5 Hz, CH2OP), 63.15 (d, 2J(COP) = 6.4 Hz, CH2OP), 45.58 (d, 3J(CNCP) = 5.8 Hz, CH3N), 37.71 (C4), 16.38 (d, 3J(CCOP) = 5.3 Hz, CH3CH2OP), 16.37 (d, 3J(CCOP) = 5.4 Hz, CH3CH2OP). 31P-NMR (243 MHz, CDCl3): δ = 20.92. Anal. Calcd. for C16H21BrN3O5P: C, 43.07; H, 4.74; N, 9.42. Found: C, 43.12; H, 4.35; N, 9.33.
Diethyl trans-[5-(3-benzyl-6-bromo-4-oxo-3,4-dihydroquinazolin-2-yl)-2-methylisoxazolidin-3-yl]phosphonate (trans-11b). A yellowish oil. IR (film, cm−1) νmax: 3040, 2980, 2926, 2853, 1613, 1568, 1490, 1418, 1353, 1239, 1056, 1025, 835, 822, 699. 1H-NMR (600 MHz, CDCl3): δ = 8.33 (d, 4J = 2.3 Hz, 1H, HC5′), 7.90 (dd, 3J = 8.9 Hz, 4J = 2.3 Hz, 1H, HC7′), 7.83 (d, 3J = 8.9 Hz, 1H, HC8′), 7.55–7.53 (m, 2H), 7.45–7.42 (m, 2H), 7.40–7.37 (m, 1H), 5.66 (s, 2H, N-CH2), 5.25 (dd, 3J(H5–H4β) = 6.8 Hz, 3J(H5–H4α) = 6.4 Hz, 1H, HC5), 4.33–4.19 (m, 4H, 2 × CH2OP), 3.42–3.39 (m, 1H, HC3), 3.07–2.94 (m, 2H, HαC4, HβC4), 3.05 (s, 3H, CH3N), 1.42 (t, 3J = 7.0 Hz, 3H, CH3CH2OP), 1.39 (t, 3J = 6.9 Hz, 3H, CH3CH2OP). 13C-NMR (151 MHz, CDCl3): δ = 166.08 (C=O), 163.35, 149.91, 137.20, 135.69, 129.67, 128.67, 128.65, 128.52, 128.45, 125.97, 120.69, 80.15 (d, 3J(CCCP) = 8.5 Hz, C5), 69.14 (N-CH2), 64.41 (d, 1J(CP) = 168.8 Hz, C3), 63.26 (d, 2J(COP) = 6.5 Hz, CH2OP), 62.42 (d, 2J(COP) = 7.2 Hz, CH2OP), 46.62 (CH3N), 37.90 (C4), 16.58 (d, 3J(CCOP) = 5.6 Hz, CH3CH2OP), 16.52 (d, 3J(CCOP) = 5.6 Hz, CH3CH2OP). 31P-NMR (243 MHz, CDCl3): δ = 22.04. Anal. Calcd. for C23H27BrN3O5P: C, 51.50; H, 5.07; N, 7.83. Found: C, 51.78; H, 5.11; N, 7.70.
Diethyl trans-{5-[6-bromo-3-(2-nitrobenzyl)-4-oxo-3,4-dihydroquinazolin-2-yl]-2-methylisoxazolidin-3-yl}phosphonate (trans-11c). A yellowish oil. IR (film, cm−1) νmax: 3444, 3077, 2979, 2925, 2853, 1690, 1614, 1575, 1527, 1489, 1413, 1355, 1337, 1055, 1024, 835, 791, 730, 574. 1H-NMR (600 MHz, CDCl3): δ = 8.36 (d, 4J = 2.0 Hz, 1H, HC5′), 8.20–8.18 (m, 1H), 7.95 (dd, 3J = 8.9 Hz, 4J = 2.3 Hz, 1H, HC7′), 7.87 (d, 4J = 8.9 Hz, 1H, HC8′), 7.78–7.76 (m, 1H), 7.72–7.69 (m, 1H), 7.57–7.55 (m, 1H), 6.10 (AB, JAB = 14.6 Hz, 1H, N-CH2b), 6.07 (AB, JAB = 14.6 Hz, 1H, N-CH2a), 5.21 (dd, 3J(H5–H4β) = 8.0 Hz, 3J(H5–H4α) = 6.1 Hz, 1H, HC5), 4.31–4.22 (m, 4H, 2 × CH2OP), 3.36–3.33 (m, 1H, HC3), 3.00 (s, 3H, CH3N), 2.99 (dddd, 2J(H4β–P) = 16.6 Hz, 3J(H4β–H4α) = 12.6 Hz, 3J(H4β–H3) = 8.2 Hz, 3J(H4β–H5) = 8.0 Hz, 1H, HβC4), 2.38 (dddd, 2J(H4α–H4β) = 12.6 Hz, 3J(H4α–P) = 10.2 Hz, 3J(H4α–H3) = 8.8 Hz, 3J (H4α–H5) = 6.1 Hz, 1H, HαC4), 1.41 (t, 3J = 7.1 Hz, 3H, CH3CH2OP), 1.39 (t, 3J = 7.1 Hz, 3H, CH3CH2OP). 13C-NMR (151 MHz, CDCl3): δ = 165.56 (C=O), 163.42, 150.09, 147.81, 137.49, 133.80, 132.03, 129.85, 129.14, 129.00, 125.66, 125.15, 121.03, 116.40, 80.08 (d, 3J(CCCP) = 7.8 Hz, C5), 65.64 (N-CH2), 64.30 (d, 1J(CP) = 168.5 Hz, C3), 63.21 (d, 2J(COP) = 6.3 Hz, CH2OP), 62.49 (d, 2J(COP) = 6.8 Hz, CH2OP), 46.61 (d, 3J(CNCP) = 4.2 Hz, CH3N), 37.91 (C4), 16.54 (d, 3J(CCOP) = 5.6 Hz, CH3CH2OP), 16.49 (d, 3J(CCOP) = 5.5 Hz, CH3CH2OP). 31P-NMR (243 MHz, CDCl3): δ = 21.85. Anal. Calcd. for C23H26BrN4O7P: C, 47.52; H, 4.51; N, 9.64. Found: C, 47.22; H, 4.40; N, 9.35.
Diethyl trans-{5-[6-bromo-3-(3-nitrobenzyl)-4-oxo-3,4-dihydroquinazolin-2-yl]-2-methylisoxazolidin-3-yl}phosphonate (trans-11d). A yellowish oil. IR (film, cm−1) νmax: 3078, 2980, 2926, 2854, 1613, 1566, 1531, 1489, 1416, 1348, 1242, 1115, 1053, 1024, 966, 836, 805, 733, 671. 1H-NMR (600 MHz, CDCl3): δ = 8.44–8.42 (m, 1H), 8.32 (d, 4J = 2.0 Hz, 1H, HC5′), 8.24–8.22 (m, 1H), 7.92 (dd, 3J = 8.9 Hz, 4J = 2.0 Hz, 1H, HC7′), 7.90–7.88 (m, 1H), 7.84 (d, 3J = 8.9 Hz, 1H, HC8′), 7.63–7.60 (m, 1H), 5.77 (s, 2H, N-CH2), 5.29 (dd, 3J(H5–H4β) = 8.0 Hz, 3J(H5–H4α) = 6.4 Hz, 1H, HC5), 4.34–4.23 (m, 4H, 2 × CH2OP), 3.44–3.37 (m, 1H, HC3), 3.10–2.94 (m, 2H, HαC4, HβC4), 3.07 (s, 3H, CH3N), 1.43 (t, 3J = 7.1 Hz, 3H, CH3CH2OP), 1.41 (t, 3J = 7.0 Hz, 3H, CH3CH2OP). 13C-NMR (151 MHz, CDCl3): δ = 165.59 (C=O), 163.05, 150.03, 148.49, 137.81, 137.49, 134.31, 129.78, 129.76, 125.74, 123.45, 123.29, 121.03, 116.42, 80.00 (d, 3J(CCCP) = 8.4 Hz, C5), 65.61 (N-CH2), 64.38 (d, 1J(CP) = 168.5 Hz, C3), 63.26 (d, 2J(COP) = 6.5 Hz, CH2OP), 62.50 (d, 2J(COP) = 6.8 Hz, CH2OP), 46.57 (CH3N), 37.77 (C4), 16.56 (d, 3J(CCOP) = 5.6 Hz, CH3CH2OP), 16.50 (d, 3J(CCOP) = 5.9 Hz, CH3CH2OP). 31P-NMR (243 MHz, CDCl3): δ = 21.52. Anal. Calcd. for C23H26BrN4O7P: C, 47.52; H, 4.51; N, 9.64. Found: C, 47.71; H, 4.51; N, 9.44.
Diethyl trans-{5-[6-bromo-3-(4-nitrobenzyl)-4-oxo-3,4-dihydroquinazolin-2-yl]-2-methylisoxazolidin-3-yl}phosphonate (trans-11e). A yellowish oil. IR (film, cm−1) νmax: 3069, 2969, 2925, 2854, 1610, 1571, 1523, 1490, 1343, 1285, 1241, 1114, 1027, 968, 837. 1H-NMR (600 MHz, CDCl3): δ = 8.35 (d, 4J = 2.0 Hz, 1H, HC5′), 1H), 8.30–8.28 (m, 2H), 7.95 (dd, 3J = 8.9 Hz, 4J = 2.0 Hz, 1H, HC7′), 7.86 (d, 3J = 8.9 Hz, 1H, HC8′), 7.72–7.71 (m, 2H), 5.76 (s, 1H, N-CH2), 5.24 (dd, 3J(H5–H4β) = 6.4 Hz, 3J(H5–H4α) = 6.0 Hz, 1H, HC5), 4.32–4.22 (m, 4H, 2 × CH2OP), 3.37–3.33 (m, 1H, HC3), 3.07–2.98 (m, 1H, HβC4), 3.03 (s, 3H, CH3-N), 2.94 (dddd, 3J(H4α–P) = 12.4 Hz, 2J(H4α–H4β) = 12.4 Hz, 3J(H4α–H3) = 9.2 Hz, 3J(H4α–H5) = 6.0 Hz, 1H, HαC4), 1.41 (t, 3J = 7.0 Hz, 3H, CH3CH2OP), 1.39 (t, 3J = 7.0 Hz, 3H, CH3CH2OP). 13C-NMR (151 MHz, CDCl3): δ = 165.57 (C=O), 163.06, 150.04, 147.95, 142.93, 137.55, 129.83, 128.67, 125.69, 123.92, 121.09, 116.42, 79.97 (d, 3J(CCCP) = 8.6 Hz, C5), 67.55 (s, N-CH2), 64.40 (d, 1J(CP) = 168.3 Hz, C3), 63.28 (d, 2J(COP) = 6.5 Hz, CH2OP), 62.46 (d, 2J(COP) = 7.1 Hz, CH2OP), 46.55 (CH3N), 37.77 (C4), 16.56 (d, 3J(CCOP) = 5.7 Hz, CH3CH2OP), 16.50 (d, 3J(CCOP) = 5.8 Hz, CH3CH2OP). 31P-NMR (243 MHz, CDCl3): δ = 21.85. Anal. Calcd. for C23H26BrN4O7P: C, 47.52; H, 4.51; N, 9.64. Found: C, 47.75; H, 4.54; N, 9.39.
Diethyl trans-{5-[6-bromo-3-(2-fluorobenzyl)-4-oxo-3,4-dihydroquinazolin-2-yl]-2-methylisoxazolidin-3-yl}phosphonate (trans-11f). Data presented below were extracted from spectra of a 88:12 mixture of trans-11f and cis-11f. Yellowish oil. IR (film, cm−1) νmax: 3069, 2981, 2929, 2909, 1614, 1567, 1490, 1456, 1353, 1285, 1116, 1025, 964, 869, 760, 691. 1H-NMR (600 MHz, CDCl3): δ = 8.31 (d, 4J = 2.1 Hz, 1H, HC5′), 7.90 (dd, 3J = 8.9 Hz, 4J = 2.1 Hz, 1H, HC7′), 7.84 (d, 3J = 8.9 Hz, 1H, HC8′), 7.58–7.55 (m, 1H), 7.40–7.36 (m, 1H), 7.21–7.18 (m, 1H), 7.16–7.13 (m, 1H), 5.73 (AB, JAB = 12.4 Hz, 1H, N-CH2b), 5.71 (AB, JAB = 12.4 Hz, 1H, N-CH2a), 5.25 (dd, 3J(H5–H4β) = 7.9 Hz, 3J(H5–H4α) = 6.2 Hz, 1H, HC5), 4.33–4.18 (m, 4H, 2 × CH2OP), 3.42–3.39 (m, 1H, C3), 3.05 (s, 3H, CH3-N), 3.03–2.96 (m, 1H, HβC4), 2.96 (dddd, 3J(H4α–P) = 12.5 Hz, 2J(H4α–H4β) = 12.5 Hz, 3J(H4α–H3) = 8.9 Hz, 3J(H4α–H5) = 6.2 Hz, 1H, HαC4), 1.42 (t, 3J = 7.0 Hz, 3H, CH3CH2OP), 1.39 (t, 3J = 7.1 Hz, 3H, CH3CH2OP). 13C-NMR (151 MHz, CDCl3): δ = 165.94 (C=O), 163.31, 161.19 (d, 1J(CF) = 248.8 Hz, C2″), 149.96, 137.25, 130.81 (d, 3J(CCCF) = 3.5 Hz, C4″), 130.52 (d, 3J(CCCF) = 8.0 Hz, C6″), 129.68, 125.94, 124.26 (d, 4J(CCCCF) = 3.4 Hz, C5″), 122.93 (d, 2J(CCF) = 14.5 Hz, C3″), 120.75, 116.65, 115.66 (d, 2J(CCF) = 21.0 Hz, C1″), 80.14 (dd, 3J(CCCP) = 8.1 Hz, C5), 64.42 (d, 1J(CP) = 168.3 Hz, C3), 63.25 (d, 2J(COP) = 6.5 Hz, CH2OP), 63.03 (d, 3J = 4.3 Hz, N-CH2), 62.43 (d, 2J(COP) = 7.2 Hz, CH2OP), 46.59 (CH3N), 37.89 (C4), 16.55 (d, 3J(CCOP) = 5.7 Hz, CH3CH2OP), 16.50 (d, 3J(CCOP) = 5.8 Hz, CH3CH2OP). 31P-NMR (243 MHz, CDCl3): δ = 22.01. Anal. Calcd. for C23H26BrFN3O5P: C, 49.83; H, 4.73; N, 7.58. Found: C, 49.49; H, 4.53; N, 7.71 (obtained on a 88:12 mixture of trans-11f and cis-11f).
Diethyl trans-{5-[6-bromo-3-(3-fluorobenzyl)-4-oxo-3,4-dihydroquinazolin-2-yl]-2-methylisoxazolidin-3-yl}phosphonate (trans-11g). Yellowish oil. IR (film, cm−1) νmax: 3071, 2979, 2926, 2853, 1613, 1572, 1490, 1452, 1415, 1345, 1285, 1255, 1114, 1055, 1025, 966, 836, 789, 749. 1H-NMR (200 MHz, CDCl3): δ = 8.35–8.33 (m, 1H), 7.91–7.89 (m, 1H), 7.84–7.82 (m, 1H), 7.41–7.37 (m, 1H), 7.30–7.28 (m, 1H), 7.26–7.24 (m, 1H), 7.08–7.05 (m, 1H), 5.64 (s, 1H, N-CH2), 5.24 (dd, 3J(H5–H4β) = 7.9 Hz, 3J(H5–H4α) = 6.5 Hz, 1H, HC5), 4.33–4.17 (m, 4H, 2 × CH2OP), 3.39–3.36 (m, 1H, C3), 3.04 (s, 3H, CH3-N), 3.05–2.99 (m, 1H, HβC4), 2.95 (dddd, 3J(H4α–P) = 12.7 Hz, 2J(H4α–H4β) = 12.7 Hz, 3J(H4α–H3) = 9.7 Hz, 3J(H4α–H5) = 6.5 Hz, 1H, HαC4), 1.41 (t, 3J = 7.0 Hz, 3H, CH3CH2OP), 1.39 (t, 3J = 6.9 Hz, 3H, CH3CH2OP). 13C-NMR (151 MHz, CDCl3): δ = 165.84 (C=O), 163.22, 162.91, (d, 1J(CF) = 246.7 Hz, C3′), 149.97, 138.18 (d, 3J(CCCF) = 7.6 Hz, C5′), 137.31, 130.26 (d, J = 7.9 Hz, C1′), 129.72, 125.84, 123.80 (d, 4J(CCCCF) = 2.4 Hz, C6′), 120.83, 116.59, 115.45 (d, 2J(CCF) = 21.0 Hz, C4′), 115.21 (d, 2J(CCF) = 22.0 Hz, C2′), 80.06 (dd, 3J(CCCP) = 8.0 Hz, C5), 68.19 (d, 3J = 1.7 Hz, N-CH2), 64.42 (d, 1J(CP) = 168.3 Hz, C3), 63.24 (d, 2J(COP) = 6.4 Hz, CH2OP), 62.44 (d, 2J(COP) = 7.3 Hz, CH2OP), 46.57 (d, 3J(CNCP) = 3.7 Hz, CH3N), 37.84 (s, C4), 16.55 (d, 3J(CCOP) = 5.6 Hz, CH3CH2OP), 16.49 (d, 3J(CCOP) = 5.9 Hz, CH3CH2OP). 31P-NMR (121.5 MHz, CDCl3): δ = 21.97. Anal. Cald. for C23H26BrFN3O5P: C, 49.83; H, 4.73; N, 7.58. Found: C, 49.49; H, 4.53; N, 7.71.
Diethyl trans{5-[6-bromo-3-(4-fluorobenzyl)-4-oxo-3,4-dihydroquinazolin-2-yl]-2-methylisoxazolidin-3-yl}phosphonate (trans-11h). A yellowish oil. IR (film, cm−1) νmax: 3072, 2981, 2926, 2853, 1611, 1568, 1512, 1490, 1430, 1351, 1285, 1227, 1160, 1114, 1099,1056, 1026, 965, 835.1H-NMR (600 MHz, CDCl3): δ = 8.31 (d, 4J = 2.2 Hz, 1H, HC5′), 7.91 (dd, 3J = 8.9 Hz, 4J = 2.2 Hz, 1H, HC7′), 7.84 (d, 3J = 8.9 Hz, 1H, HC8′), 7.55–7.53 (m, 2H), 7.14–7.11 (m, 2H), 5.63 (s, 1H, N-CH2), 5.26 (dd, 3J(H5–H4β) = 6.4 Hz, 3J(H5–H4α) = 6.4 Hz, 1H, HC5), 4.34–4.22 (m, 4H, 2 × CH2OP), 3.41–3.39 (m, 1H, C3), 3.07–3.00 (m, 1H, HβC4), 3.06 (s, 3H, CH3-N), 2.98 (dddd, 3J(H4α–P) = 13.4 Hz, 2J(H4α–H4β) = 13.4 Hz, 3J(H4α–H3) = 10.4 Hz, 3J(H4α–H5) = 6.4 Hz, 1H, HαC4), 1.42 (t, 3J = 7.0 Hz, 3H, CH3CH2OP), 1.40 (t, 3J = 7.1 Hz, 3H, CH3CH2OP). 13C-NMR (151 MHz, CDCl3): δ = 165.94 (C=O), 163.26, 162.84 (d, 1J(CF) = 247.6 Hz, C4″), 149.94, 137.25, 131.52 (d, 4J(CCCCF) = 3.1 Hz, C1″), 130.49 (d, 3J(CCCF) = 8.0 Hz, C2″, C6″), 129.69, 125.89, 120.75, 116.65, 115.62 (d, 2J(CCF) = 21.9 Hz, C3″, C5″), 80.09 (d, 3J(CCP) = 8.1 Hz, C5), 68.40 (N-CH2), 64.43 (d, 1J(CP) = 168.3 Hz, C3), 63.26 (d, 2J(COP) = 6.5 Hz, CH2OP), 62.45 (d, 2J(COP) = 6.8 Hz, CH2OP), 46.59 (CH3N), 37.87 (C4), 16.56 (d, 3J(CCOP) = 5.8 Hz, CH3CH2OP), 16.46 (d, 3J(CCOP) = 5.3 Hz, CH3CH2OP). 31P-NMR (243 MHz, CDCl3): δ = 22.00. Anal. Calcd. for C23H26BrFN3O5P: C, 49.83; H, 4.73; N, 7.58. Found: C, 50.20; H, 4.62; N, 7.32.
Diethyl trans-{5-[6-bromo-3-(2,4-difluorobenzyl)-4-oxo-3,4-dihydroquinazolin-2-yl]-2-methylisoxazolidin-3-yl}phosphonate (trans-11i). Data presented below were extracted from spectra of a 92:8 mixture of trans-11i and cis-11i. Yellowish oil. IR (film, cm−1) νmax: 3079, 2959, 2924, 2853, 1738, 1689, 1613, 1565, 1509, 1490, 1416, 1351, 1280, 1141, 1100, 961, 836, 798. 1H-NMR (600 MHz, CDCl3): δ = 8.30 (d, 4J = 2.1 Hz, 1H, HC5′), 7.92 (dd, 3J = 8.8 Hz, 4J = 2.1 Hz, 1H, HC7′), 7.85 (d, 3J = 8.8 Hz, 1H, HC8′), 7.59–7.55 (m, 1H), 6.95–6.89 (m, 2H), 5.68 (AB, JAB = 13.3 Hz, 1H, N-CH2b), 5.66 (AB, JAB = 13.3 Hz, 1H, N-CH2a), 5.25 (dd, 3J(H5–H4β) = 7.7 Hz, 3J(H5–H4α) = 6.5 Hz, 1H, HC5), 4.33–4.18 (m, 4H, 2 × CH2OP), 3.41–3.38 (m, 1H, HC3), 3.07–3.01 (m, 1H, HβC4), 3.05 (s, 3H, CH3-N), 2.98 (dddd, 3J(H4α–P) = 12.8 Hz, 2J(H4α–H4β) = 12.8 Hz, 3J(H4α–H3) = 9.7 Hz, 3J(H4α–H5) = 6.5 Hz, 1H, HαC4), 1.41 (t, 3J = 7.0 Hz, 3H, CH3CH2OP), 1.40 (t, 3J = 7.0 Hz, 3H, CH3CH2OP). 13C-NMR (151 MHz, CDCl3): δ = 165.82 (C=O), 163.32 (dd, 1J(CF) = 250.9 Hz, 3J(CCCF) = 12.1 Hz, C2″), 163.20, 161.50 (dd, 1J(CF) = 251.4 Hz, 3J(CCCF) = 12.2 Hz, C4″), 149.87, 137.31, 132.09 (dd, 3J(CCCF) = 9.8 Hz, 3J(CCCF) = 4.9 Hz, C6″), 129.71, 125.87, 120.81, 118.98 (dd, 2J(CCF) = 14.4 Hz, 4J(CCCCF) = 3.4 Hz, C1″), 116.58, 111.51 (dd, 2J(CCF) = 21.1 Hz, 4J(CCCCF) = 3.5 Hz, C5″), 104.21 (dd, 2J(CCF) = 25.3 Hz, 2J(CCF) = 25.4 Hz, C3″), 80.09 (dd, 3J(CCCP) = 7.9 Hz, C5), 64.43 (d, 1J(CP) = 168.3 Hz, C3), 63.26 (d, 2J(COP) = 6.5 Hz, CH2OP), 62.47 (d, 3J(CCCF) = 2.7 Hz, N-CH2), 62.43 (d, 2J(COP) = 6.3 Hz, CH2OP), 46.57 (d, 3J(CNCP) = 4.0 Hz, CH3N), 37.89 (C4), 16.56 (d, 3J(CCOP) = 5.7 Hz, CH3CH2OP), 16.50 (d, 3J(CCOP) = 5.6 Hz, CH3CH2OP). 31P-NMR (243 MHz, CDCl3): δ = 21.98. Anal. Calcd. for C23H25BrF2N3O5P × 0.75 H2O: C, 47.15; H, 4.56; N, 7.17. Found: C, 46.84; H, 4.18; N, 6.96 (obtained on a 92:8 mixture of trans-11i and cis-11i).
Diethyl trans-{5-[6-bromo-3-methyl-4-oxo-3,4-dihydroquinazolin-2-yl]-2-methylisoxazolidin-3-yl}phosphonate (trans-11j). A yellowish oil. IR (film, cm−1) νmax: 3521, 3477, 2976, 2912, 2855, 1687, 1606, 1470, 1308, 1265, 1050, 1023, 972, 849, 574. 1H-NMR (600 MHz, CDCl3): δ = 8.42 (d, 4J = 2.3 Hz, 1H, HC5′), 7.82 (dd, 3J = 8.7 Hz, 4J = 2.3 Hz, 1H, HC7′), 7.56 (d, 3J = 8.7 Hz, 1H, HC8′), 5.18 (dd, 3J(H5–H4β) = 7.6 Hz, 3J(H5–H4α) = 5.7 Hz, 1H, HC5), 4.29–4.23 (m, 4H, 2 × CH2OP), 3.75 (s, 3H, CH3), 3.71 (dddd, 3J(H4α–P) = 12.6 Hz, 2J(H4α–H4β) = 11.3 Hz, 3J(H4α–H3) = 9.1 Hz, 3J(H4α–H5) = 5.7 Hz, 1H, HαC4), 3.35 (ddd, 3J(H3–H4α) = 9.1 Hz, 3J(H3–H4β) = 7.6 Hz, 2J(H3-P) = 2.8 Hz, 1H, HC3), 2.87 (s, 3H, CH3N), 2.80 (dddd, 3J(H4β–P) = 15.3 Hz, 2J(H4β–H4α) = 11.3 Hz, 3J(H4β–H3) = 7.6 Hz, 3J(H4β–H5) = 7.6 Hz, 1H, HβC4), 1.41 (t, 3J = 7.0 Hz, 3H, CH3CH2OP), 1.40 (t, 3J = 7.1 Hz, 3H, CH3CH2OP). 13C-NMR (151 MHz, CDCl3): δ = 161.31 (C=O), 152.70, 145.34, 137.33, 129.44, 129.37, 122.31, 121.02, 76.29 (d, 3J(CCCP) = 7.8 Hz, C5), 64.35 (d, 1J(CP) = 170.1 Hz, C3), 62.89 (d, 2J(COP) = 6.6 Hz, CH2OP), 62.73 (d, 2J(COP) = 7.2 Hz, CH2OP), 47.15 (d, 3J(CNCP) = 6.4 Hz CH3N), 34.38 (C4), 30.97 (CH3), 16.56 (d, 3J(CCOP) = 4.9 Hz, CH3CH2OP), 16.53 (d, 3J(CCOP) = 5.1 Hz, CH3CH2OP). 31P-NMR (243 MHz, CDCl3): δ = 21.93. Anal. Calcd. for C17H23BrN3O5P: C, 44.36; H, 5.04; N, 9.13. Found: C, 44.15; H, 4.75; N, 9.03.
Diethyl trans-{5-[6-bromo-3-ethyl-4-oxo-3,4-dihydroquinazolin-2-yl]-2-methylisoxazolidin-3-yl}phosphonate (trans-11k). Colorless oil. IR (film, cm−1) νmax: 3055, 2981, 2929, 2854, 1687, 1613, 1569, 1493, 1430, 1383, 1285, 1241, 1117, 1056, 1024, 967, 836. 1H-NMR (600 MHz, CDCl3): δ = 8.32 (d, 4J = 2.2 Hz, 1H, HC5′), 7.90 (dd, 3J = 8.8 Hz, 4J = 2.2.Hz, 1H, HC7′), 7.82 (d, 3J = 8.8 Hz, 1H, HC8′), 5.23 (dd, 3J(H5–H4β) = 8.0 Hz, 3J(H5–H4α) = 6.0 Hz, 1H, HC5), 4.68 (q, 3J = 7.2 Hz, 2H, CH3CH2), 4.33–4.21 (m, 4H, 2 × CH2OP), 3.45–3.43 (m, 1H, HC3), 3.07 (s, 3H, CH3N), 3.06–3.01 (m, 1H, HβC4), 2.97 (dddd, 3J(H4α–P) = 12.6 Hz, 2J(H4α–H4β) = 12.6 Hz, 3J(H4α–H3) = 9.4 Hz, 3J(H4α–H5) = 6.0 Hz, 1H, HαC4), 1.55 (t, 3J = 7.2 Hz, 3H, CH3CH2), 1.42 (t, 3J = 7.0 Hz, 3H, CH3CH2OP), 1.39 (t, 3J = 6.8 Hz, 3H, CH3CH2OP). 13C-NMR (151 MHz, CDCl3): δ =166.33 (C=O), 163.63, 149.78, 137.01, 129.63, 126.03, 120.47, 116.78, 80.22 (d, 3J(CCCP) = 7.9 Hz, C5), 64.38 (d, 1J(CP) = 168.0 Hz, C3), 63.28 (d, 2J(COP) = 6.4 Hz, CH2OP), 62.41 (d, 2J(COP) = 6.7 Hz, CH2OP), 47.21 (CH3N), 38.01 (C4), 29.69 (CH3CH2) 16.56 (d, 3J(CCOP) = 5.5 Hz, CH3CH2OP), 16.50 (d, 3J(CCOP) = 6.2 Hz, CH3CH2OP), 14.29 (CH3CH2). 31P-NMR (243 MHz, CDCl3): δ = 22.08. Anal. Calcd. for C18H25BrN3O5P: C, 45.58; H, 5.31; N, 8.86. Found: C, 45.37; H, 5.31; N, 8.54.
3.6. Antiviral Activity Assays
The compounds were evaluated against different herpesviruses, including herpes simplex virus type 1 (HSV-1) strain KOS, thymidine kinase-deficient (TK−) HSV-1 KOS strain resistant to ACV (ACVr), herpes simplex virus type 2 (HSV-2) strain G, varicella-zoster virus (VZV) strain Oka, TK− VZV strain 07-1, human cytomegalovirus (HCMV) strains AD-169 and Davis, as well as vaccinia virus, adeno virus-2, vesicular stomatitis virus, para-influenza-3 virus, reovirus-1, Sindbis virus, Coxsackie virus B4, Punta Toro virus, respiratory syncytial virus (RSV), feline coronovirus (FIPV), and influenza A virus subtypes H1N1 (A/PR/8), H3N2 (A/HK/7/87) and influenza B virus (B/HK/5/72). The antiviral assays were based on the inhibition of virus-induced cytopathicity or plaque formation in human embryonic lung (HEL) fibroblasts, African green monkey kidney cells (Vero), human epithelial cervix carcinoma cells (HeLa), Crandell-Rees feline kidney cells (CRFK), or Madin Darby canine kidney cells (MDCK). Confluent cell cultures in microtiter 96-well plates were inoculated with 100 CCID50 of virus (1 CCID50 being the virus dose to infect 50% of the cell cultures) or with 20 plaque forming units (PFU) and the cell cultures were incubated in the presence of varying concentrations of the test compounds. Viral cytopathicity or plaque formation (VZV) was recorded as soon as it reached completion in the control virus-infected cell cultures that were not treated with the test compounds. Antiviral activity was expressed as the EC50 or compound concentration required to reduce virus-induced cytopathicity or viral plaque formation by 50%. Cytotoxicity of the test compounds was expressed as the minimum cytotoxic concentration (MCC) or the compound concentration that caused a microscopically detectable alteration of cell morphology. Alternatively, the cytostatic activity of the test compounds was measured based on inhibition of cell growth. HEL cells were seeded at a rate of 5 × 103 cells/well into 96-well microtiter plates and allowed to proliferate for 24 h. Then, medium containing different concentrations of the test compounds was added. After three days of incubation at 37 °C, the cell number was determined with a Coulter counter. The cytostatic concentration was calculated as the CC50, or the compound concentration required to reduce cell proliferation by 50% relative to the number of cells in the untreated controls.
3.7. Cytostatic Activity against Immortalized Cell Lines
Murine leukemia (L1210), human T-lymphocyte (CEM), human cervix carcinoma (HeLa), and immortalized human dermal microvascular endothelial cells (HMEC-1) were suspended at 300,000–500,000 cells/mL of culture medium, and 100 μL of a cell suspension was added to 100 μL of an appropriate dilution of the test compounds in 200 μL-wells of 96-well microtiter plates. After incubation at 37 °C for two (L1210), three (CEM), or four (HeLa) days, the cell number was determined using a Coulter counter. The IC50 was defined as the compound concentration required to inhibit cell proliferation by 50%.
4. Conclusions
A series of isoxazolidine-conjugates of quinazolinones trans-11a–k and cis-11a–k were obtained from N-methyl C-(diethoxyphosphoryl)nitrone and selected N3-substituted 6-bromo-2-vinylquinazolinones. The trans-isoxazolidine cycloadducts (trans-11a, trans-11b, trans-11c, trans-11d, trans-11e, trans-11g, trans-11h, trans-11j, trans-11k) and isoxazolidine cis-11a, or the respective mixtures of isoxazolidines (trans-11f/cis-11f (95:5) and trans-11i/cis-11i (92:8)) were evaluated for their antiviral activity toward variety of DNA and RNA viruses. Almost all compounds were active against VZV and among them trans-11b, trans-11d, trans-11g, and trans-11h were the most potent (EC50 = 5.8–11.6 μΜ) and, at the same time, exhibited lower cytotoxicity toward uninfected cell lines (CC50 = 33–42 μΜ). Furthermore, (isoxazolidine)phosphonates trans-11d, trans-11g, trans-11h, and trans-11i/cis-11i (92:8) showed the highest activity against HCMV (EC50 = 8.9–12.5 μΜ). On the other hand, several compounds exhibited moderate cytostatic effect toward the CEM cell line (IC50 = 9.6–17 μM), however, slightly higher than that of 5-fluorouracil used as the reference drug.
It was proved that installation of functionalized benzyl groups at N3 in the quinazolinone moiety is essential for inhibitory properties toward both VZV and HCMV. At the same time, it was noticed that incorporation of the bromine atom at C6 in a quinazolinone skeleton resulted in a significant increase in potency of isoxazolidine-conjugates 11b–11i toward both VZV (up to five-fold higher) and HCMV (up to three-fold higher) when compared with previously described analogous conjugates 10b–10i lacking a bromine substituent at C6 of the quinazolinone moiety. Moreover, inhibitory properties of the newly synthesized compounds 11b–11k toward tested cell lines were also slightly higher than those of previously described analogues 10b–10k.
Author Contributions
The research group from the Medical University of Lodz (D.G.P. and M.G.D.) conceived the research project, participated in all steps of the research, interpreted the results, discussed the experimental data, and prepared the manuscript. The research group from KU Leuven (G.A., D.S., and R.S.) conducted the biological assays and provided the experimental procedures and results. All authors read, commented on, and approved the manuscript.
Funding
This research was funded by the Medical University of Lodz (internal fund 503/3-014-01/503-31-001) and by the KU Leuven (GOA 15/19 TBA).
Acknowledgments
The authors wish to express their gratitude to Leentje Persoons, Ellen De Waegenaere, Bianca Stals, Kirsten Lepaige, Niels Willems, and Nathalie Van Winkel for their excellent technical assistance.
Conflicts of Interest
The authors declare no conflict of interest.
References
- König, B.; Grätzei, M.A. Novel Immunosensor for Herpes Viruses. Anal. Chem. 1994, 66, 341–344. [Google Scholar] [CrossRef] [PubMed]
- Hollier, L.M.; Grissom, H. Human Herpes Viruses in Pregnancy: Cytomegalovirus, Epstein-Barr Virus, and Varicella Zoster Virus. Clin. Perinatol. 2005, 32, 671–696. [Google Scholar] [CrossRef] [PubMed]
- Field, H.J.; Vere Hodge, R.A. Recent developments in anti-herpesvirus drugs. Br. Med. Bull. 2013, 106, 213–249. [Google Scholar] [CrossRef] [PubMed]
- Cohen, J.I. Herpes Zoster. N. Engl. J. Med. 2013, 369, 255–263. [Google Scholar] [CrossRef] [PubMed]
- De Clercq, E. Antivirals for the treatment of herpes virus infections. J. Antimicrob. Chemother. 1993, 32 (Suppl. A), 121–132. [Google Scholar] [CrossRef] [PubMed]
- Ma, J.; Li, P.; Li, X.; Shi, Q.; Wan, Z.; Hu, D.; Jin, L.; Song, B. Synthesis and Antiviral Bioactivity of Novel 3-((2-((1E,4E)-3-Oxo-5-arylpenta-1,4-dien-1-yl)phenoxy)methyl)-4(3H)-quinazolinone Derivatives. J. Agric. Food Chem. 2014, 62, 8928–8934. [Google Scholar] [CrossRef] [PubMed]
- Dohle, W.; Jourdan, F.L.; Menchon, G.; Prota, A.E.; Foster, P.A.; Mannion, P.; Hamel, E.; Thomas, M.P.; Kasprzyk, P.G.; Ferrandis, E.; et al. Quinazolinone-Based Anticancer Agents: Synthesis, Antiproliferative SAR, Antitubulin Activity, and Tubulin Co-crystal Structure. J. Med. Chem. 2018, 61, 1031–1044. [Google Scholar] [CrossRef] [PubMed]
- Al-Suwaidan, I.A.; Abdel-Aziz, A.A.-M.; Shawer, T.Z.; Ayyad, R.R.; Alanazi, A.M.; El-Morsy, A.M.; Mohamed, M.A.; Abdel-Aziz, N.I.; El-Sayed, M.A.-A.; El-Azab, A.S. Synthesis, antitumor activity and molecular docking study of some novel 3-benzyl-4(3H)-quinazolinone analogues. J. Enzyme Inhib. Med. Chem. 2016, 31, 78–89. [Google Scholar] [CrossRef] [PubMed]
- Zhang, J.; Liu, J.; Ma, Y.; Re, D.; Cheng, P.; Zhao, J.; Zhang, F.; Yao, Y. One-pot synthesis and antifungal activity against plant pathogens of quinazolinone derivatives containing an amide moiety. Bioorg. Med. Chem. Lett. 2016, 26, 2273–2277. [Google Scholar] [CrossRef] [PubMed]
- Raju, G.N.; Sai, K.B.; Resshma, V.; Sudarshini, N.; Sowmya, P.L.; Nalini, Y.; Nadendla, R.R. Potential antimicrobial activities of quinazolinone derivatives. J. Chem. Pharm. Res. 2015, 7, 1279–1287. [Google Scholar]
- Rakesh, K.P.; Ramesh, S.; Kumar, H.M.M.; Chandan, S.; Gowda, D.C. Quinazolinones linked amino acids derivatives as a new class of promising antimicrobial, antioxidant and anti-inflammatory agents. Eur. J. Chem. 2015, 6, 254–260. [Google Scholar] [CrossRef]
- Kuneš, J.; Bažant, J.; Pour, M.; Waisser, K.; Šlosárek, M.; Janota, J. Quinazoline derivatives with antitubercular activity. Il Farmaco 2000, 55, 725–729. [Google Scholar] [CrossRef]
- Pandit, U.; Dodiya, A. Synthesis and antitubercular activity of novel pyrazole–quinazolinone hybrid analogs. Med. Chem. Res. 2013, 22, 3364–3371. [Google Scholar] [CrossRef]
- Kumar, A.; Bansal, D.; Bajaj, K.; Sharma, S.; Srivastava, V.K. Synthesis of some newer derivatives of 2-amino benzoic acid as potent anti-inflammatory and analgesic agents. Bioorg. Med. Chem. 2003, 11, 5281–5291. [Google Scholar] [CrossRef]
- Noureldin, N.A.; Kothayer, H.; Lashine, E.-S.M.; Baraka, M.M.; El-Eraky, W.; El Awdan, S.A. Synthesis, Anticonvulsant Activity, and SAR Study of Novel 4-Quinazolinone Derivatives. Arch. Pharm. Chem. Life Sci. 2017, 350, e1600332. [Google Scholar] [CrossRef] [PubMed]
- Mokale, S.N.; Palkar, A.D.; Dube, P.N.; Sakle, N.S.; Miniyar, P.B. Design, synthesis and in vivo screening of some novel quinazoline analogs as anti-hyperlipidemic and hypoglycemic agents. Bioorg. Med. Chem. Lett. 2015, 6, 272–276. [Google Scholar] [CrossRef] [PubMed]
- Alafeefy, A.M.; Kadi, A.A.; Al-Deeb, O.A.; El-Tahir, K.E.H.; Al-Jaber, N.A. Synthesis, analgesic and anti-inflammatory evaluation of some novel quinazoline derivatives. Eur. J. Med. Chem. 2010, 45, 4947–4952. [Google Scholar] [CrossRef] [PubMed]
- Nawrocka, W.; Zimecki, M. Syntheses of Novel 3-Amino-2(1H)-thioxo-4(3H)-quinazolinones and Evaluation of Their Immunotropic Activity. Part III. Arch. Pharm. Pharm. Med. Chem. 1997, 330, 399–405. [Google Scholar] [CrossRef]
- Selvam, P.; Murugesh, N.; Chandramohan, M.; Pannecouque, C.; De Clercq, E. Synthesis, Antiviral and Cytotoxic Activities of 2-(2-Phenyl carboxylic acid)-3-Phenylquinazolin-4(3H)-one Derivatives. Indian J. Pharm. Sci. 2010, 72, 806–809. [Google Scholar] [CrossRef] [PubMed]
- Dinakaran, M.; Selvam, P.; De Clercq, E.; Sridhar, S.K. Synthesis, Antiviral and Cytotoxic Activity of 6-Bromo-2,3-disubstituted-4(3H)-quinazolinones. Biol. Pharm. Bull. 2003, 26, 1278–1282. [Google Scholar] [CrossRef] [PubMed]
- Gao, X.; Cai, X.; Yan, K.; Song, B.; Gao, L.; Chen, Z. Synthesis and Antiviral Bioactivities of 2-Aryl- or 2-Methyl-3-(substituted-Benzalamino)-4(3H)-quinazolinone Derivatives. Molecules 2007, 12, 2621–2642. [Google Scholar] [CrossRef] [PubMed]
- Abbas, S.Y.; El-Bayouki, K.A.M.; Basyouni, W.M.; Mostafa, E.A. New series of 4(3H)-quinazolinone derivatives: Syntheses and evaluation of antitumor and antiviral activities. Med. Chem. Res. 2018, 27, 571–582. [Google Scholar] [CrossRef]
- Schroeder, C.E.; Yao, T.; Sotsky, J.; Smith, R.A.; Roy, S.; Chu, Y.-K.; Guo, H.; Tower, N.A.; Noah, J.W.; McKellip, S.; et al. Development of (E)-2-((1,4-Dimethylpiperazin-2-ylidene)amino)-5-nitro-N-phenylbenzamide, ML336: Novel 2-Amidinophenylbenzamides as Potent Inhibitors of Venezuelan Equine Encephalitis Virus. J. Med. Chem. 2014, 57, 8608–8621. [Google Scholar] [CrossRef] [PubMed]
- Leivers, A.L.; Tallant, M.; Shotwell, J.B.; Dickerson, S.; Leivers, M.R.; McDonald, O.B.; Gobel, J.; Creech, K.L.; Strum, S.L.; Mathis, A.; et al. Discovery of Selective Small Molecule Type III Phosphatidylinositol 4-Kinase Alpha (PI4KIIIα) Inhibitors as Anti Hepatitis C (HCV) Agents. J. Med. Chem. 2014, 57, 2091–2106. [Google Scholar] [CrossRef] [PubMed]
- Piotrowska, D.G.; Andrei, G.; Schols, D.; Snoeck, R.; Grabkowska-Drużyc, M. New Isoxazolidine-Conjugates of Quinazolinones—Synthesis, Antiviral and Cytostatic Activity. Molecules 2016, 21, 959. [Google Scholar] [CrossRef] [PubMed]
- Piotrowska, D.G. N-Substituted C-diethoxyphosphorylated nitrones as useful synthons for the synthesis of α-aminophosphonates. Tetrahedron Lett. 2006, 47, 5363–5366. [Google Scholar] [CrossRef]
- Erb, B.; Akue, R.; Rigo, B. Synthesis of 2-Aminoquinazoline-4(3H)-one Derivatives as Potential Potassium Channel Openers. J. Heterocycl. Chem. 2000, 37, 253–260. [Google Scholar] [CrossRef]
- Dolzhenko-Podchezertseva, A.V.; Korkodinova, L.M.; Vasilyuk, M.V.; Kotegov, V.P. Synthesis and antiinflamatory activity of N-acyl-5-bromoanthranilic acid amides. Pharm. Chem. J. 2002, 36, 647–648. [Google Scholar] [CrossRef]
- Witt, A.; Bergman, J. Synthesis and reactions of some 2-vinyl-3H-quinazolin-4-ones. Tetrahedron 2000, 56, 7245–7253. [Google Scholar] [CrossRef]
Sample Availability: Samples of the compounds are not available from the authors. |
© 2018 by the authors. Licensee MDPI, Basel, Switzerland. This article is an open access article distributed under the terms and conditions of the Creative Commons Attribution (CC BY) license (http://creativecommons.org/licenses/by/4.0/).



