Abstract
A novel series of (3-diethoxyphosphoryl)isoxazolidines substituted at C5 with various quinazolinones have been synthesized by the 1,3-dipolar cycloaddition of N-methyl-C-(diethoxyphosphoryl)nitrone with N3-substitued 2-vinyl-3H-quinazolin-4-ones. All isoxazolidines were assessed for antiviral activity against a broad range of DNA and RNA viruses. Isoxazolidines trans-11f/cis-11f (90:10), trans-11h and trans-11i/cis-11i (97:3) showed weak activity (EC50 = 6.84, 15.29 and 9.44 μM) toward VZV (TK+ strain) which was only one order of magnitude lower than that of acyclovir used as a reference drug. Phosphonates trans-11b/cis-11b (90:10), trans-11c, trans-11e/cis-11e (90:10) and trans-11g appeared slightly active toward cytomegalovirus (EC50 = 27–45 μM). Compounds containing benzyl substituents at N3 in the quinazolinone skeleton exhibited slight antiproliferative activity towards the tested immortalized cells with IC50 in the 21–102 μM range.
1. Introduction
Nitrogen-containing heterocycles form the core of natural products (e.g., alkaloids) and they are also present in many pharmacophores as well as in numerous marketed drugs. Among them, quinazolines and quinazolinones have drawn special attention due to the broad spectrum of biological activities of their derivatives, including sedative [1,2,3], anticancer [4,5,6,7], antiviral [8,9,10,11,12], antibacterial [13,14,15], antifungal [15,16], anti-inflamatory [15,17,18,19] and antifibrotic [20,21] activities. Several reviews focused on the synthetic strategies and biological activities of these compounds have been published [22,23,24,25,26,27,28,29]. The significant impact of various functional groups installed into quinazoline/quinazolinone frameworks on pharmacological properties have been proven.
In the last decades several compounds containing the quinazolin-4-one framework, which exhibited promising anticancer as well as antiviral properties, have been obtained (Figure 1). Furthermore, some biologically active substituted quinazolin-4(3H)-ones were isolated from various fungi and bacteria species. For example, 2-(4-hydroxybenzyl)quinazolin-4(3H)-one (1) was found in an entomopathogenic fungus Isaria farinosa and its strong inhibitory properties on the replication of tobacco mosaic virus (TMV) [30] were recognised, whereas its 2-(4-hydroxybenzoyl) analogue 2 present in fungus from Penicillium genus appeared only slightly active toward TMV [30]. Moreover, compound 1 exhibited significant cytotoxicity toward various cancer cell lines [31,32]. Quinazolinone 3 isolated from Streptomyces sp. appeared cytotoxic against Vero cells [33]. Very recently synthetic pyridine-containing analogue 4 and its 3-substituted derivatives 5 and 6 have been obtained and their slight activity against influenza A virus was revealed [34]. On the other hand, various 2,3-disubstitued quinazolin-4(3H)-ones, including compounds 7–10, have been found to possess antitumor activity [35].
Figure 1.
Examples of quinazolinones with antiviral and anticancer activity.
In continuation of our studies on antiviral and cytostatic activity of isoxazolidine analogues of C-nucleoside analogues, we designed a new series of compounds of the general formula 11 containing a substituted quinazolinone moiety as a false nucleobase at C5 in the isoxazolidine ring and the diethoxyphosphoryl function attached at C3. Our synthetic strategy to compounds trans-11/cis-11 relies on the 1,3-dipolar cycloaddition of N-methyl-C-(diethoxyphosphoryl)nitrone 12 [36] with 2-vinyl-3H-quinazolin-4-ones 13 substituted at N3 (Scheme 1).
Scheme 1.
Retrosynthesis of (isoxazolidinyl) phosphonates trans-11/cis-11.
2. Results and Discussion
2.1. Chemistry
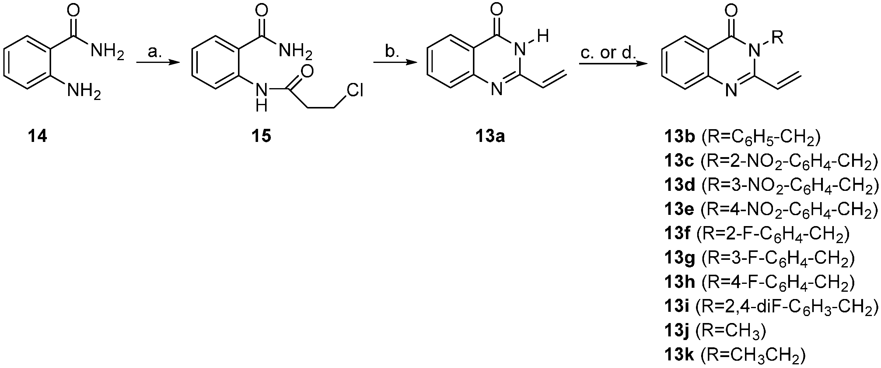
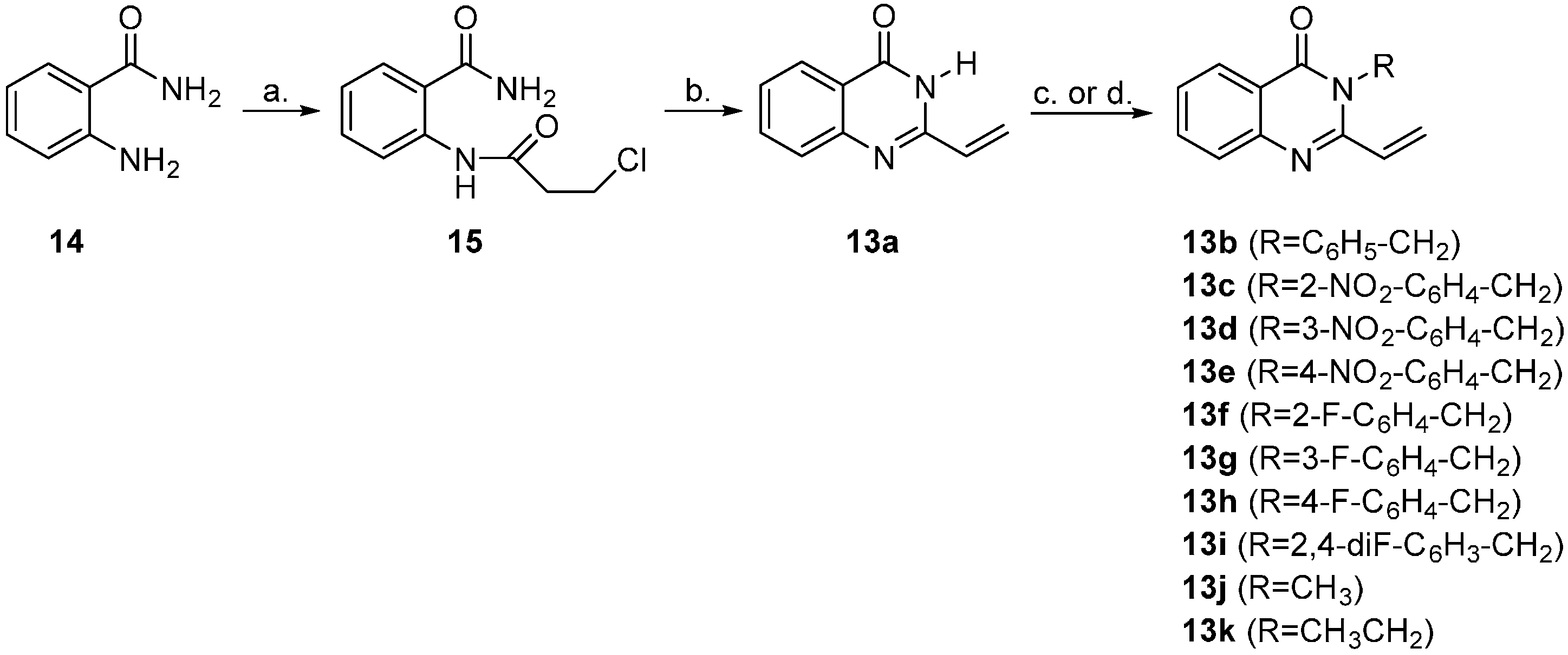
2-Vinyl-3H-quinazolin-4-ones 13 modified at N3 with substituted benzyl groups were synthesized from commercially available 2-aminobenzamide (14) by acylation with 3-chloro-propionyl chloride followed by cyclization and dehydrohalogenation to prepare 2-vinyl-3H-quinazolin-4-one (13a) as a key intermediate [37] and a subsequent reaction with substituted benzyl bromides 13b–i [38] (Scheme 2). Moreover, compounds 13j (R = Me) and 13k (R = Et) were also obtained with intention to determine the influence of the benzyl substituent on biological activity of the designed isoxazolidines trans-11/cis-11. In the 1H-NMR spectra of compounds 13a–k characteristic signals for vinyl protons were observed in the 6.94–5.59 ppm (three doublets of doublets).
Scheme 2.
Synthesis of Compounds 13a–k. Reaction and conditions: a. 3-chloropropionyl chloride, 1,4-dioxane, 0 °C; b. 5% NaOH-EtOH (2:1); c. RBr, KOH, CH3CN, 105 °C; d. MeI or EtI, KOH, CH3CN, 60 °C.
The 1,3-dipolar cycloaddition of a nitrone 12 with 2-vinylquinazolinones 13a–k led to the formation of diastereoisomeric mixtures of 5-substituted (3-diethoxyphosphoryl)isoxazolidines trans-11 and cis-11 with good (80%–88%) diastereoselectivities (Scheme 3, Table 1). Ratios of cis/trans diastereoisomers were calculated from 31P-NMR spectra of crude reaction mixtures and confirmed by the analysis of 1H-NMR spectral data. Crude mixtures of isoxazolidine cycloadducts were then subjected to purification on silica gel columns. However, attempts to isolate pure diastereoisomers were fruitful for trans-11a (R = H), trans-11c (R = 2-NO2-C6H4-CH2), trans-11g (R = 3-F-C6H4-CH2), trans-11h (R = 4-F-C6H4-CH2) and trans-11j (R = Me) only.
Scheme 3.
Synthesis of Isoxazolidines cis-11a–k and trans-11a–k. Reaction and conditions: a. toluene, 70 °C, 24 h.
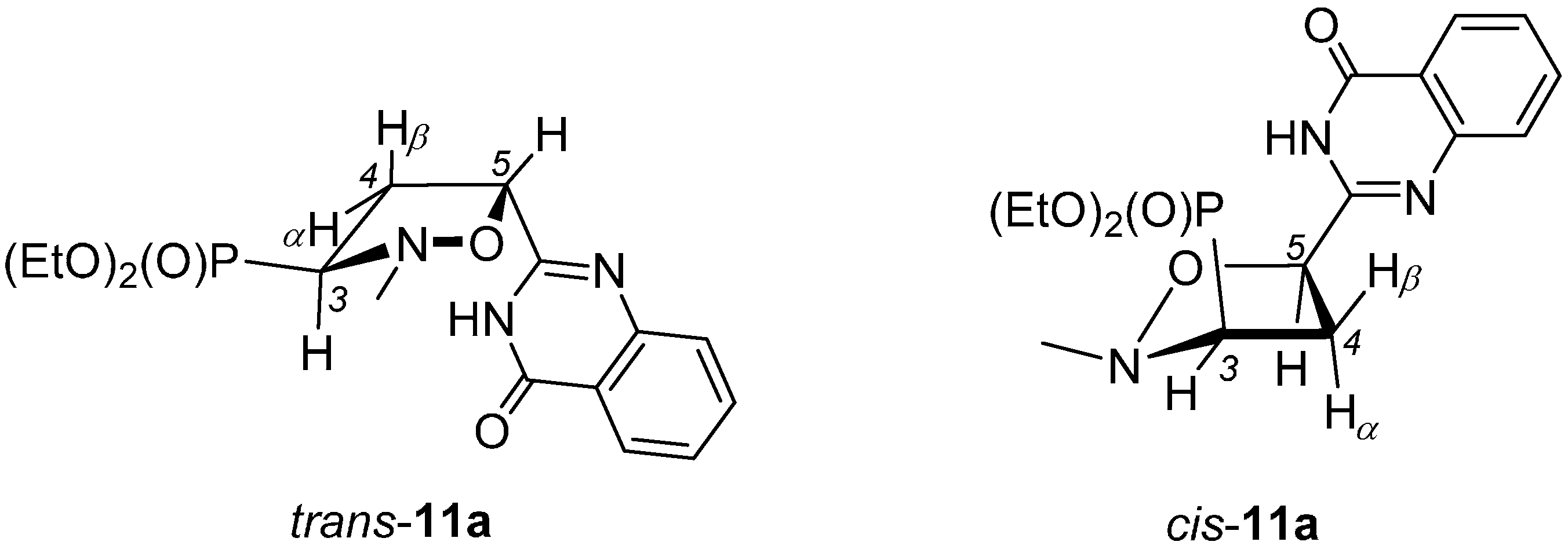
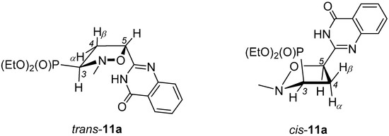
The relative configurations of isoxazolidines trans-11a and cis-11a were established based on our previous studies on stereochemistry of cycloaddition of N-methyl-C-(diethoxyphosphoryl)nitrone (12) with various vinyl aryls [39,40] since similar 1H-NMR spectral patters for the respective series of trans- and cis-isoxazolidines were observed. Since for compound trans-11a all necessary coupling constants were successfully extracted from the 1H- and 13C-NMR spectra, detailed conformational analysis was performed based on these data {J(H3-H4α) = 9.3 Hz [41], J(H3-H4β) = 8.3 Hz, J(H4α-P) = 9.9 Hz [42,43], J(H4β-P) = 16.9 Hz, J(H4α-H5) = 6.2 Hz, J(H4β-H5) = 8.3 Hz, J(CCCP) = 8.5 Hz [44,45]} and revealed that isoxazolidine ring in trans-11a adopts a 3E conformation in which the diethoxyphosphoryl group resides in the equatorial position of the isoxazolidine ring while a quinazolinone substituent is located pseudoequatorially (Figure 2). On the other hand, cis configuration of the minor isomer was established from the corresponding couplings [J(H3-H4α) = 9.0 Hz, J(H3-H4β) = 6.5 Hz, J(H4α-P) = 11.2 Hz, J(H4β-P) = 20.0 Hz, J(H4α-H5) = 9.1 Hz, J(H4β-H5) = 3.9 Hz, J(CCCP) = 7.3 Hz] indicating the 2E conformation of the isoxazolidine ring (Figure 2). The additional arguments to support our assignments follow from shielding of the CH3CH2OP protons observed for the cis isomer (Δδ ca. 0.1 ppm) when compared with the trans-11a. Furthermore, it was found that on a 1H-NMR spectrum taken on the 83:17 mixture of cis- and trans-11a, the H-N proton in the quinazolinone ring of cis-11a was significantly deshielded (Δδ = 0.7 ppm) when compared with the trans isomer, highly likely, as a result of the hydrogen bond formation with the phosphoryl oxygen amide, a phenomenon spatially achievable in the cis isomer only.
Figure 2.
The preferred conformations of trans-isoxazolidine trans-11a.
Since introduction of various substituents at N3 of quinazolinone moiety has no influence on the stereochemical outcome of the cycloaddition therefore configuration of the all major isoxazolidines 11 were assigned as trans, thereby minor ones as cis.
2.2. Antiviral and Cytostatic Evaluation
2.2.1. Antiviral Activity
All obtained phosphonates trans-11a, trans-11c, trans-11g, trans-11h and trans-11j as well as mixtures of diastereoisomeric phosphonates trans-11b/cis-11b (90:10), trans-11d/cis-11d (90:10), trans-11e/cis-11e (90:10), trans-11f/cis-11f (90:10), trans-11i/cis-11i (97:3) and trans-11k/cis-11k (97:3) were evaluated for inhibitory activity against a wide variety of DNA and RNA viruses, using the following cell-based assays: (a) human embryonic lung (HEL) cells: herpes simplex virus-1 (KOS), herpes simplex virus-2 (G), thymidine kinase deficient (acyclovir resistant) herpes simplex virus-1 (TK− KOS ACVr), vaccinia virus, adeno virus-2, vesicular stomatitis virus, cytomegalovirus (AD-169 strain -1 and Davis strain), varicella-zoster virus (TK+ VZV Oka strain and TK− VZV 07-1 strain); (b) HeLa cell cultures: vesicular stomatitis virus, Coxsackie virus B4 and respiratory syncytial virus; (c) Vero cell cultures: para-influenza-3 virus, reovirus-1, Sindbis virus, Coxsackie virus B4, Punta Toro virus, yellow fever virus; (e) CRFK cell cultures: feline corona virus (FIPV) and feline herpes virus (FHV) and (d) MDCK cell cultures: influenza A virus (H1N1 and H3N2 subtypes) and influenza B virus. Ganciclovir, cidofovir, acyclovir, brivudin, zalcitabine, zanamivir, alovudine, amantadine, rimantadine, ribavirin, dextran sulfate (molecular weight 10,000, DS-10000), mycophenolic acid, Hippeastrum hybrid agglutinin (HHA) and Urtica dioica agglutinin (UDA) were used as the reference compounds. The antiviral activity was expressed as the EC50: the compound concentration required to reduce virus plaque formation (VZV) by 50% or to reduce virus-induced cytopathogenicity by 50% (other viruses).
Several isoxazolidines trans-11/cis-11 were able to weakly inhibit the replication of TK+ and TK− VZV strains with EC50 values in the range of 6.84–100 μM (Table 2). Among them, phosphonates trans-11f/cis-11f (90:10) (R = 2-F-C6H4-CH2) (EC50 = 6.84 μM), trans-11h (R = 4-F-C6H4-CH2) (EC50 = 15.29 μM), trans-11i/cis-11i (97:3) (R = 2,4-diF-C6H3-CH2) (EC50 = 9.44 μM) were the most active toward TK+ VZV Oka strain, while exhibiting no activity toward TK− VZV strain. The activity of these isoxazolidines trans-11/cis-11 against TK+ VZV Oka strain was 8- to 22-folds lower than that of the reference drug acyclovir.
Table 2.
Cytotoxicity and antiviral activity against varicella-zoster virus (VZV) in HEL cell cultures.
On the other hand, the EC50 values for the TK− VZV 07-1 strain (which is an acyclovir resistant strain) of the phosphonates trans-11e/cis-11e (90:10) (R = 4-NO2-C6H4-CH2) (EC50 = 42.87 μM) and trans-11k/cis-11k (97:3) (R = Et) (EC50 = 41.57 μM) were comparable to that of acyclovir (EC50 = 39.69 μM). These derivatives showed similar EC50’s for TK+ and TK− VZV strains and therefore their potency against TK+ VZV was approximately 50-fold lower compared to acyclovir.
Furthermore, compounds trans-11b/cis-11b (90:10) (R = C6H5-CH2), trans-11c (R = 2-NO2-C6H4-CH2), trans-11e/cis-11e (90:10) (R = 4-NO2-C6H4-CH2) and trans-11g (R = 3-F-C6H4-CH2) showed some activity against human cytomegalovirus (EC50 = 27–45 μM), although they were less active than ganciclovir and cidofovir used as the reference compounds (Table 3). None of the phosphonate derivatives here described showed activity against the other tested DNA and RNA viruses.
Table 3.
Antiviral activity and cytotoxicity against human cytomegalovirus in HEL cell cultures.
2.2.2. Cytostatic Activity
The 50% cytostatic inhibitory concentration (IC50) causing a 50% decrease in cell proliferation was determined against murine leukemia L1210, human lymphocyte CEM, human cervix carcinoma HeLa and immortalized human dermal microvacsular endothelial cells (HMEC-1). Isoxazolidines trans-11a (R = H) and trans-11j (R = Me) did not inhibit cell proliferation at the highest tested concentration (i.e., 250 μM), whereas trans-11k/cis-11k (97:3) (R = Et) appeared slightly cytostatic towards the tested cell lines (IC50 = 85–101 μM). On the other hand (Table 4, entries b to i), compounds having benzyl substituents at N3 in the quinazolinone moiety showed lower IC50 values (IC50 = 21–102 μM) thereby indicating that installation of functionalized benzyl groups was profitable for inhibitory properties.
Table 4.
Inhibitory effect of the tested compounds against the proliferation of murine leukemia (L1210), human T-lymphocyte (CEM), human cervix carcinoma (HeLa) and immortalized human dermal microvascular endothelial cells (HMEC-1).
3. Experimental Section
3.1. General
1H-NMR spectra were taken in CDCl3 on the following spectrometers: Gemini 2000BB (200 MHz Varian, Palo Alto, CA, USA), and Avance III (600 MHz, Bruker Instruments, Karlsruhe, Germany) with TMS as internal standard. 13C-NMR spectra were recorded for CDCl3 solution on the Bruker Avance III at 151.0 MHz. 31P-NMR spectra were performed in CDCl3 solution on the Varian Gemini 2000 BB at 81.0 MHz or on Bruker Avance III at 243.0 MHz. IR spectra were measured on an Infinity MI-60 FT-IR spectrometer (ATI Instruments North America-Mattson, Madison, WI, USA). Melting points were determined on a Boetius apparatus (VEB Kombinat NAGEMA, Dresden, Germany) and are uncorrected. Elemental analyses were performed by the Microanalytical Laboratory of this Faculty on Perkin-Elmer PE 2400 CHNS analyzer (Perkin-Elmer Corp., Norwalk, CT, USA). The following adsorbents were used: column chromatography, Merck silica gel 60 (70–230 mesh); analytical TLC, Merck (Merck KGaA, Darmstadt, Germany) TLC plastic sheets silica gel 60 F254. N-methyl-C-(diethoxyphosphoryl)nitrone (12) [36], 2-vinyl-3H-quinazolin-4-one (13a) [37] and 3-methyl-2-vinyl-3H-quinazolin-4-one (13j) [38] were obtained according to the literature procedures.
1H-, 13C- and 31P-NMR spectra of all new synthesised compounds are provided in Supplementary Materials (Figures S1–S54).
3.2. General Procedure for the Synthesis of N3-Benzylated 2-Vinyl-3H-quinazolin-4-ones 13b–i
To the solution of 2-vinyl-3H-quinazolin-4-one (13a, 1.00 mmol) in acetonitrile (15 mL) potassium carbonate (3.00 mmol) was added. After 15 min the respective benzyl bromide (1.10 mmol) was added and the reaction mixture was stirred under reflux for 4 h. A solvent was removed and the residue was extracted with water (3 × 10 mL). An organic layer was dried (MgSO4), concentrated and the crude product was purified on a silica gel column with a methylene chloride: hexane mixture (7:3, v/v) followed by crystallisation (chloroform-petroleum ether) to give pure quinazolinones 13b–e and 13g–i.
3-Benzyl-2-vinylquinazolin-4(3H)-one (13b). White amorphous solid, m.p. = 85 °C–87 °C (reference [46]—colorless viscous oil). IR (KBr, cm−1) νmax: 3027, 2950, 2925, 1677, 1615, 1574, 1425, 1312, 1271, 952, 845, 778, 755, 585. 1H-NMR (200 MHz, CDCl3): δ = 8.20–8.19 (m, 1H), 7.92–7.88 (m, 1H), 7.83–7.78 (m, 1H), 7.58–7.49 (m, 3H), 7.46–7.36 (m, 3H), 6.94 (dd, 3J = 17.2 Hz, 3J = 10.1 Hz, 1H, CH=CH2), 6.73 (dd, 3J = 17.2 Hz, 2J = 2.3 Hz, 1H, CH=CH2), 5.80 (dd, 3J = 10.1 Hz, 2J = 2.3 Hz, 1H, CH=CH2), 5.69 (s, 2H, N-CH2). 13C-NMR (151 MHz, CDCl3): δ = 166.12 (s, C(O)), 159.97, 151.63, 137.17, 136.44, 133.57, 128.60, 128.28, 128.25, 127.67, 126.60, 123.81, 123.61, 115.59, 68.32 (s, N-CH2). Anal. Calcd. for C17H14N2O: C, 77.84; H, 5.38; N, 10.68. Found: C, 77.69; H, 5.21; N, 10.88.
3-(2-Nitrobenzyl)-2-vinylquinazolin-4(3H)-one (13c). Yellowish amorphous solid, m.p. = 88 °C–91 °C. IR (KBr, cm−1) νmax: 2952, 2851, 1615, 1574, 1525, 1493, 1396, 1312, 988, 1104, 988, 938, 780, 723, 664. 1H- NMR (600 MHz, CDCl3): δ = 8.24–8.22 (m, 1H), 8.18–8.16 (m, 1H), 7.96–7.94 (m, 1H), 7.87–7.82 (m, 2H), 7.69–7.67 (m, 1H), 7.59–7.53 (m, 2H), 6.91 (dd, 3J = 17.2 Hz, 3J = 10.4 Hz, 1H, CH=CH2), 6.64 (dd, 3J = 17.2 Hz, 2J = 1.2 Hz, 1H, CH=CH2), 6.14 (s, 2H, N-CH2), 5.78 (dd, 3J = 10.4 Hz, 2J = 1.2 Hz, 1H, CH=CH2). 13C-NMR (151 MHz, CDCl3): δ = 165.51 (s, C(O)), 159.83, 151.80, 147.86, 136.77, 133.78, 133.65, 132.77, 129.02, 128.67, 128.86, 127.86, 126.85, 124.97, 124.12, 123.56, 123.26, 115.26, 64.79 (s, N-CH2). Anal. Calcd. for C17H13N3O3: C, 66.44; H, 4.26; N, 13.67. Found: C, 66.23; H, 4.11; N, 13.38.
3-(3-Nitrobenzyl)-2-vinylquinazolin-4(3H)-one (13d). Yellowish amorphous solid, m.p. = 90 °C–93 °C. IR (KBr, cm−1) νmax: 3093, 3020, 2958, 2941, 1615, 1574, 1562, 1523, 1345, 1044, 991, 965, 801, 764, 687. 1H-NMR (600 MHz, CDCl3): δ = 8.46 (brs, 1H), 8.25–8.23 (m, 1H), 8.22–8.20 (m, 1H), 7.94–7.89 (m, 2H), 7.86–7.83 (m, 1H), 7.63–7.60 (m, 1H), 7.57–7.55 (m, 1H), 6.94 (dd, 3J = 17.2 Hz, 3J = 10.4 Hz, 1H, CH=CH2), 6.71 (dd, 3J = 17.2 Hz, 2J = 1.6 Hz, 1H, CH=CH2), 5.82 (dd, 3J = 10.4 Hz, 2J = 1.6 Hz, 1H, CH=CH2), 5.80 (s, 2H, N-CH2). 13C-NMR (151 MHz, CDCl3): δ = 165.61 (s, C(O)), 159.72, 151.74, 148.48, 138.58, 136.98, 133.89, 133.82, 129.61, 127.82, 126.88, 123.89, 123.33, 123.15, 122.98, 115.24, 66.83 (s, N-CH2). Anal. Calcd. for C17H13N3O3: C, 66.44; H, 4.26; N, 13.67. Found: C, 66.12; H, 3.97; N, 13.40.
3-(4-Nitrobenzyl)-2-vinylquinazolin-4(3H)-one (13e). Yellowish amorphous solid, m.p. = 131 °C–132 °C. IR (KBr, cm−1) νmax: 2944, 2849, 1608, 1570, 1514, 1488, 1338, 1162, 984, 854, 812, 704, 680. 1H-NMR (600 MHz, CDCl3): δ = 8.30–8.28 (m, 2H), 8.24–8.21 (m, 1H), 7.96–7.94 (m, 1H), 7.87–7.84 (m, 1H), 7.73–7.72 (m, 2H), 7.58–7.55 (m, 1H), 6.93 (dd, 3J = 17.2 Hz, 3J = 10.4 Hz, 1H, CH=CH2), 6.68 (dd, 3J = 17.2 Hz, 2J = 1.8 Hz, 1H, CH=CH2), 5.82 (s, 2H, N-CH2), 5.80 (dd, 3J = 10.4 Hz, 2J = 1.6 Hz, 1H, CH=CH2). 13C-NMR (151 MHz, CDCl3): δ = 165.59 (s, C(O)), 159.74, 151.78, 147.77, 143.81, 136.97, 133.87, 128.31, 127.89, 126.91 123.91, 123.85, 123.27, 115.25, 66.78 (s, N-CH2). Anal. Calcd. for C17H13N3O3: C, 66.44; H, 4.26; N, 13.67. Found: C, 66.23; H, 4.03; N, 13.33.
3-(2-Fluorobenzyl)-2-vinylquinazolin-4(3H)-one (13f). Colorless oil; IR (film, cm−1) νmax: 3061, 1676, 1618, 1496, 1422, 1349, 1104, 988, 941, 759, 680, 661. 1H-NMR (200 MHz, CDCl3): δ = 8.17–8.13 (m, 1H), 7.92–7.74 (m, 2H), 7.61–7.45 (m, 2H), 7.41–7.29 (m, 1H), 7.26–7.08 (m, 2H), 6.93 (dd, 3J = 17.2 Hz, 3J = 10.0 Hz, 1H, CH=CH2), 6.74 (dd, 3J = 17.2 Hz, 2J = 2.4 Hz, 1H, CH=CH2), 5.79 (dd, 3J = 10.0 Hz, 2J = 2.4 Hz, 1H, CH=CH2), 5.76 (s, 2H, N-CH2). 13C-NMR (151 MHz, CDCl3): δ = 165.95 (s, C(O)), 161.15 (d, 1J(CF) = 249.1 Hz, C2), 159.93, 151.69, 137.12, 133.57, 130.54 (d, 3J(CCCF) = 3.5 Hz, C4), 130.13 (d, 3J(CCCF) = 8.5 Hz, C6), 127.71, 126.61, 124.17 (d, 4J(CCCCF) = 3.4 Hz, C5), 123.85, 123.66 (d, 2J(CCF) = 14.4 Hz, C3), 123.56, 115.54 (d, 2J(CCF) = 21.1 Hz, C1), 115.51, 62.16 (d, 3J(CCCF) = 4.4 Hz, N-CH2). Anal. Calcd. for C17H13FN2O: C, 72.85; H, 4.67; N, 9.99. Found: C, 72.78; H, 4.41; N, 9.80.
3-(3-Fluorobenzyl)-2-vinylquinazolin-4(3H)-one (13g). White amorphous solid, m.p. = 58 °C–59 °C. IR (KBr, cm−1) νmax: 3095, 3057, 3032, 1618, 1578, 1498, 1422, 1349, 1106, 988, 945, 681, 520. 1H-NMR (200 MHz, CDCl3): δ = 8.20–8.15 (m, 1H), 7.93–7.88 (m, 1H), 7.84–7.75 (m, 1H), 7.55–7.47 (m, 1H), 7.39–7.22 (m, 3H), 7.10–7.01 (m, 1H), 6.93 (dd, 3J = 17.2 Hz, 3J = 10.1 Hz, 1H, CH=CH2), 6.70 (dd, 3J = 17.2 Hz, 2J = 2.3 Hz, 1H, CH=CH2), 5.79 (dd, 3J = 10.1 Hz, 2J = 2.3 Hz, 1H, CH=CH2), 5.67 (s, 2H, N-CH2). 13C-NMR (151 MHz, CDCl3): δ = 165.88 (s, C(O)), 162.95 (d, 1J(CF) = 246.6 Hz, C3), 159.88, 151.69, 138.97 (d, 3J(CCCF) = 7.8 Hz, C5), 137.09, 133.67, 130.15 (d, 3J(CCCF) = 8.8 Hz, C1), 127.75, 126.72, 123.84, 123.53 (d, 4J(CCCCF) = 2.4 Hz, C6), 123.48, 115.45, 115.09 (d, 2J(CCF) = 21.0 Hz, C4), 114.93 (d, 2J(CCF) = 22.0 Hz, C2), 67.39 (s, N-CH2). Anal. Calcd. for C17H13FN2O: C, 72.85; H, 4.67; N, 9.99. Found: C, 72.66; H, 4.38; N, 9.95.
3-(4-Fluorobenzyl)-2-vinylquinazolin-4(3H)-one (13h). White amorphous solid, m.p. = 125 °C–127 °C. IR (KBr, cm−1) νmax: 3058, 1677, 1618, 1493, 1425, 1349, 1102, 992, 942, 757, 683, 658. 1H-NMR (200 MHz, CDCl3): δ = 8.12–8.07 (m, 1H), 7.87–7.82 (m, 1H), 7.78–7.73 (m, 1H), 7.51–7.40 (m, 3H), 7.10–6.97 (m, 2H), 6.88 (dd, 3J = 17.2 Hz, 3J = 10.1 Hz, 1H, CH=CH2), 6.66 (dd, 3J = 17.2 Hz, 2J = 2.3 Hz, 1H, CH=CH2), 5.74 (dd, 3J = 10.1 Hz, 2J = 2.3 Hz, 1H, CH=CH2), 5.59 (s, 2H, N-CH2). 13C-NMR (151 MHz, CDCl3): δ = 165.99 (s, C(O)), 162.71 (d, 1J(CF) = 249.1 Hz, C4), 159.90, 151.69, 137.19, 133.59, 132.26 (d, 4J(CCCCF) = 3.2 Hz, C1), 130.22 (d, 3J(CCCF) = 7.7 Hz, C2, C6), 127.74, 126.62, 123.70, 123.49, 115.55 (d, 2J(CCF) = 21.3 Hz, C3, C5), 67.58 (s, N-CH2). Anal. Calcd. for C17H13FN2O: C, 72.85; H, 4.67; N, 9.99. Found: C, 72.67; H, 4.30; N, 9.70.
3-(2,4-Difluorobenzyl)-2-vinylquinazolin-4(3H)-one (13i). Yellowish amorphous solid, m.p. = 67 °C–68 °C. IR (KBr, cm−1) νmax: 3076, 3015, 2929, 1681, 1606, 1574, 1505, 1351, 1279, 1100, 964, 851, 772, 666, 683. 1H-NMR (200 MHz, CDCl3): δ = 8.10–8.05 (m, 1H), 7.86–7.82 (m, 1H), 7.78–7.68 (m, 1H), 7.57–7.40 (m, 2H), 6.90–6.78 (m, 2H), 6.88 (dd, 3J = 17.2 Hz, 3J = 10.1 Hz, 1H, CH=CH2), 6.67 (dd, 3J = 17.2 Hz, 2J = 2.3 Hz, 1H, CH=CH2), 5.74 (dd, 3J = 10.1 Hz, 2J = 2.3 Hz, 1H, CH=CH2), 5.65 (s, 2H, N-CH2). 13C-NMR (151 MHz, CDCl3): δ = 165.84 (s, C(O)), 163.11 (dd, 1J(CF) = 249.9 Hz, 3J(CCCF) = 12.1 Hz, C2) 161.40 (dd, 1J(CF) = 251.2 Hz, 3J(CCCF) = 12.1 Hz, C4), 159.85, 151.69, 137.11, 133.64, 131.70 (dd, 3J(CCCF) = 9.8 Hz, 3J(CCCF) = 5.5 Hz, C6), 127.75, 126.66, 123.81, 123.46, 119.69 (dd, 2J(CCF) = 14.6 Hz, 4J(CCCCF) = 3.6 Hz, C1), 115.44, 111.40 (dd, 2J(CCF) = 21.0 Hz, 4J(CCCCF) = 3.4 Hz, C5), 104.07 (dd, 2J(CCF) = 25.3 Hz, 2J(CCF) = 25.0 Hz, C3), 61.61 (d, 3J(CCCF) = 4.0 Hz, N-CH2). Anal. Calcd. for C17H12F2N2O: C, 68.45; H, 4.06; N, 9.39. Found: C, 68.19; H, 3.87; N, 9.45.
3.3. General Procedure for the Synthesis of N3-Alkylated 2-Vinyl-3H-quinazolin-4-ones 13j and 13k
To the solution of 2-vinyl-3H-quinazolin-4-one (13a, 1.00 mmol) in acetonitrile (15 mL) potassium carbonate (3.00 mmol) was added. After 15 min. iodomethane (2.00 mmol) or iodoethane (1.10 mmol) was added and the reaction mixture was stirred at 60 °C for 5 h. The solvent was removed and a residue was extracted with water (3 × 10 mL). Organic layer was dried (MgSO4), concentrated and the crude product was purified on a silica gel column with methylene chloride:hexane mixture (7:3, v/v) followed by crystallization (chloroform : petroleum ether) to give pure quinazolinones 13j [35] or 13k.
3-Methyl-2-vinylquinazolin-4(3H)-one (13j). Amorphous solid, m.p. = 122 °C–124 °C (reference [35] m.p. = 123 °C–125 °C).
3-Ethyl-2-vinylquinazolin-4(3H)-one (13k). Yellowish oil; IR (film, cm−1) νmax: 3066, 2979, 2927, 2855, 1684, 1621, 1576, 1423, 1381, 1163, 962, 768, 681. 1H-NMR (200 MHz, CDCl3): δ = 8.16–8.11 (m, 1H), 7.90–7.85 (m, 1H), 7.81–7.73 (m, 1H), 7.52–7.44 (m, 1H), 6.91 (dd, 3J = 17.2 Hz, 3J = 10.1 Hz, 1H, CH=CH2), 6.69 (dd, 3J = 17.2 Hz, 2J = 2.3 Hz, 1H, CH=CH2), 5.76 (dd, 3J = 10.1 Hz, 2J = 2.3 Hz, 1H, CH=CH2), 4.68 (q, 3J = 7.1 Hz, 2H, CH2CH3), 1.52 (t, 3J = 7.1 Hz, 3H, CH2CH3). 13C-NMR (151 MHz, CDCl3): δ = 166.31 (s, C(O)), 160.09, 151.51, 137.29, 133.35, 127.62, 126.39, 123.55, 115.66, 62.70 (s, CH2CH3), 14.34 (s, CH2CH3). Anal. Calcd. for C12H12N2O × 0.25 H2O: C, 70.40; H, 6.15; N, 13.68. Found: C, 70.73; H, 5.92; N, 13.80.
3.4. General Procedure for the Synthesis of Isoxazolidines Trans-11 and Cis-11
A solution of the nitrone 12 (1.0 mmol) and the respective vinyl quinazolinone (1.0 mmol) in toluene (2 mL) was stirred at 70 °C until the disappearance (TLC) of the starting nitrone. All volatiles were removed in vacuo and crude products were subjected to chromatography on silica gel columns with a chloroform/methanol (100:1, 50:1, 20:1, v/v) mixtures as eluents.
Diethyl trans-(2-methyl-5-(4-oxo-3,4-dihydroquinazolin-2-yl)isoxazolidin-3-yl)phosphonate (trans-11a). Yellowish oil; IR (film, cm−1) νmax: 3085, 2980, 2929, 2782, 1687, 1610, 1469, 1331, 1132, 1098, 1052, 968, 775. 1H-NMR (600 MHz, CDCl3): δ = 10.13 (s, 1H, NH), 8.31–8.29 (m, 1H), 7.80–7.78 (m, 1H), 7.71–7.69 (m, 1H), 7.53–7.50 (m, 1H), 5.04 (dd, 3J(H5–H4β) = 8.3 Hz, 3J(H5–H4α) = 6.2 Hz, 1H, HC5), 4.29–4.20 (m, 4H, 2 × CH2OP), 3.28–3.24 (m, 1H, HC3), 3.13 (dddd, 3J(H4β–P) = 16.9 Hz, 2J(H4β–H4α) = 12.8 Hz, 3J(H4β–H3) = 8.3 Hz, 3J(H4β–H5) = 8.3 Hz, 1H, HβC4), 3.05 (s, 3H, CH3N), 2.96 (dddd, 2J(H4α–H4β) = 12.8 Hz, 3J(H4α–P) = 9.9 Hz, 3J(H4α–H3) = 9.3 Hz, 3J(H4α–H5) = 6.2 Hz, 1H, HαC4), 1.40 (t, 3J = 7.1 Hz, 3H, CH3CH2OP), 1.38 (t, 3J = 7.2 Hz, 3H, CH3CH2OP). 13C-NMR (151 MHz, CDCl3): δ = 161.75 (s, C(O)), 153.76, 148.61, 134.82, 127.45, 127.15, 126.60, 121.61, 75.82 (d, 3J(CCCP) = 8.5 Hz, C5), 63.76 (d, 1J(CP) = 170.0 Hz, C3), 63.36 (d, 2J(COP) = 6.5 Hz, CH2OP), 62.59 (d, 2J(COP) = 7.3 Hz, CH2OP), 46.33 (s, CH3N), 37.77 (d, 2J(CCP) = 1.9 Hz, C4), 16.53 (d, 3J(CCOP) = 5.7 Hz, CH3CH2OP), 16.46 (d, 3J(CCOP) = 5.6 Hz, CH3CH2OP). 31P-NMR (243 MHz, CDCl3): δ = 20.64. Anal. Calcd. for C16H22N3O5P × 0.25 H2O: C, 51.68; H, 6.10; N, 11.30. Found: C, 51.63; H, 6.09; N, 11.32.
Diethyl cis-(2-methyl-5-(4-oxo-3,4-dihydroquinazolin-2-yl)isoxazolidin-3-yl)phosphonate (cis-11a). Data noted below correspond to a 17:83 mixture of trans-11a and cis-11a. Yellowish oil; IR (film, cm−1) νmax: 3202, 3086, 2980, 2926, 2791, 1688, 1610, 1567, 1469, 1392, 1330, 1231, 1163, 1100, 1024, 973, 776, 573. (signals of cis-11a were extracted from the spectra of a 17:83 mixture of trans-11a and cis-11a); 1H-NMR (600 MHz, CDCl3): δ = 10.48 (s, 1H, NH), 8.31–8.29 (m, 1H), 7.77–7.75 (m, 1H), 7.67–7.65 (m, 1H), 7.50–7.47 (m, 1H), 5.10 (dd, 3J(H5–H4α) = 9.1 Hz, 3J(H5–H4β) = 3.9 Hz, 1H, HC5), 4.27–4.11 (m, 4H, 2 × CH2OP), 3.21 (dddd, 3J(H4α–P) = 11.2 Hz, 2J(H4β–H4α) = 12.6 Hz, 3J(H4α–H5) = 9.1 Hz, 3J(H4α–H3) = 9.0 Hz, 1H, HαC4), 3.10 (ddd, 3J(H3–H4α) = 9.0 Hz, 3J(H3–H4β) = 6.5 Hz, 2J(H3-P) = 3.9 Hz, 1H, HC3), 3.01 (s, 3H, CH3N), 2.85 (dddd, 3J(H4β–P) = 20.0 Hz, 2J(H4α–H4β) = 12.6 Hz, 3J(H4β–H3) = 6.5 Hz, 3J(H4β–H5) = 3.9 Hz, 1H, HβC4), 1.31 (t, 3J = 7.5 Hz, 3H, CH3CH2OP), 1.25 (t, 3J = 6.5 Hz, 3H, CH3CH2OP). 13C-NMR (151 MHz, CDCl3): δ = 161.52 (s, C(O)), 156.11, 148.53, 134.53, 127.14, 126.88, 126.67, 121.83, 75.51 (d, 3J(CCCP) = 7.3 Hz, C5), 63.66 (d, 1J(CP) = 168.5 Hz, C3), 63.23 (d, 2J(COP) = 6.6 Hz, CH2OP), 63.03 (d, 2J(COP) = 6.7 Hz, CH2OP), 45.62 (d, 3J(CNCP) = 5.4 Hz, CH3N), 37.96 (s, C4), 16.38 (d, 3J(CCOP) = 5.5 Hz, CH3CH2OP), 16.35 (d, 3J(CCOP) = 5.5 Hz, CH3CH2OP). 31P-NMR (243 MHz, CDCl3): δ = 20.87. Anal. Calcd. for C16H22N3O5P × 0.25 H2O: C, 51.68; H, 6.10; N, 11.30. Found: C, 51.63; H, 6.05; N, 11.32 (obtained on a 90:10 mixture of trans-11a and cis-11a).
Diethyl trans-(5-(3-benzyl-4-oxo-3,4-dihydroquinazolin-2-yl)-2-methylisoxazolidin-3-yl)phosphonate (trans-11b). Yellowish oil; IR (film, cm−1) νmax: 3065, 3033, 2981, 2915, 2779, 1687, 1620, 1574, 1498, 1455, 1347, 1239, 1104, 1026, 966, 774, 683. 1H-NMR (600 MHz, CDCl3): δ = 8.22–8.20 (m, 1H), 7.97–7.95 (m, 1H), 7.84–7.82 (m, 1H), 7.57–7.54 (m, 1H), 7.43–7.41 (m, 1H), 7.38–7.36 (m, 1H), 5.67 (s, 2H, N-CH2), 5.28 (dd, 3J(H5–H4β) = 7.4 Hz, 3J(H5–H4α) = 6.5 Hz, 1H, HC5), 4.33–4.20 (m, 4H, 2 × CH2OP), 3.45–3.42 (m, 1H, HC3), 3.06 (s, 3H, CH3N), 3.07–2.97 (m, 2H, HαC4, HβC4), 1.42 (t, 3J = 7.0 Hz, 3H, CH3CH2OP), 1.39 (t, 3J = 7.1 Hz, 3H, CH3CH2OP). 13C-NMR (151 MHz, CDCl3): δ = 167.04 (s, C(O)), 162.94, 151.27, 136.14, 133.71, 128.59, 128.30, 128.24, 127.86, 127.12, 123.50, 115.60, 80.30 (d, 3J(CCCP) = 8.6 Hz, C5), 68.73 (s, CH2N), 64.44 (d, 1J(CP) = 168.2 Hz, C3), 63.25 (d, 2J(COP) = 6.5 Hz, CH2OP), 62.55 (d, 2J(COP) = 6.9 Hz, CH2OP), 46.63 (s, CH3N), 37.95 (s, C4), 16.56 (d, 3J(CCOP) = 5.6 Hz, CH3CH2OP), 16.51 (d, 3J(CCOP) = 5.6 Hz, CH3CH2OP). 31P-NMR (243 MHz, CDCl3): δ = 22.19. Anal. Calcd. for C23H28N3O5P: C, 60.39; H, 6.17; N, 9.19. Found: C, 59.99; H, 6.21; N, 9.15.
Diethyl trans-(2-methyl-5-(3-(2-nitrobenzyl)-4-oxo-3,4-dihydroquinazolin-2-yl)isoxazolidin-3-yl)-phosphonate (trans-11c). Yellowish oil; IR (film, cm−1) νmax: 3067, 2973, 2918, 1620, 1576, 1526, 1347, 1337, 1264, 1050, 1018, 964, 790, 733, 584, 571. 1H-NMR (200 MHz, CDCl3): δ = 8.18–8.07 (m, 2H), 7.93–7.69 (m, 3H), 7.60–7.42 (m, 3H), 6.01 (s, 2H, N-CH2), 5.15 (dd, 3J(H5–H4β) = 7.8 Hz, 3J(H5–H4α) = 6.1 Hz, 1H, HC5), 4.29–4.07 (m, 4H, 2 × CH2OP), 3.28 (ddd, 3J(H3–H4α) = 10.6 Hz, 3J(H3–H4β) = 8.5 Hz, 2J(H3-P) = 1.2 Hz, 1H, HC3), 2.93 (s, 3H, CH3N), 2.99–2.82 (m, 1H, HβC4), 2.76 (dddd, 3J(H4α–P) = 12.5 Hz, 2J(H4α–H4β) = 12.5 Hz, 3J(H4α–H3) = 10.6 Hz, 3J(H4α–H5) = 6.1 Hz, 1H, HαC4), 1.33 (t, 3J = 7.0 Hz, 3H, CH3CH2OP), 1.31 (t, 3J = 7.0 Hz, 3H, CH3CH2OP). 13C-NMR (151 MHz, CDCl3): δ = 166.51 (s, C(O)), 162.99, 151.40, 147.85, 133.98, 133.68, 132.46, 129.10, 128.82, 128.08, 127.44, 125.06, 123.19, 115.30, 80.23 (d, 3J(CCCP) = 8.4 Hz, C5), 65.34 (s, N-CH2), 64.33 (d, 1J(CP) = 168.4 Hz, C3), 63.19 (d, 2J(COP) = 6.5 Hz, CH2OP), 62.44 (d, 2J(COP) = 7.1 Hz, CH2OP), 46.58 (d, 3J(CNCP) = 3.8 Hz, CH3N), 37.98 (s, C4), 16.55 (d, 3J(CCOP) = 6.4 Hz, CH3CH2OP), 16.49 (d, 3J(CCOP) = 5.7 Hz, CH3CH2OP). 31P-NMR (81 MHz, CDCl3): δ = 22.85. Anal. Calcd. for C23H27N4O7P × 0.25 H2O: C, 54.49; H, 5.47; N, 11.05. Found: C, 54.42; H, 5.28; N, 10.89.
Diethyl trans-(2-methyl-5-(3-(3-nitrobenzyl)-4-oxo-3,4-dihydroquinazolin-2-yl)isoxazolidin-3-yl)-phosphonate (trans-11d). Data noted below correspond to a 92:8 mixture of trans-11d and cis-11d. A yellowish oil; IR (film, cm−1) νmax: 3070, 2982, 2930, 2910, 1620, 1574, 1531, 1497, 1415, 1298, 1103, 1025, 774, 733, 682. (signals of trans-11d were extracted from the spectra of a 92:8 mixture of trans-11d and cis-11d); 1H-NMR (600 MHz, CDCl3): δ = 8.46–8.44 (m, 1H), 8.25–8.22 (m, 2H), 8.00–7.98 (m, 1H), 7.91–7.88 (m, 2H), 7.63–7.60 (m, 2H), 5.78 (s, 2H, N-CH2), 5.28 (dd, 3J(H5–H4β) = 6.8 Hz, 3J(H5–H4α) = 6.8 Hz, 1H, HC5), 4.33–4.20 (m, 4H, 2 × CH2OP), 3.40–3.38 (m, 1H, HC3), 3.07–3.00 (m, 1H, HβC4), 3.05 (s, 3H, CH3N), 2.98 (dddd, 3J(H4α–P) = 12.2 Hz, 2J(H4α–H4β) = 12.2 Hz, 3J (H4α–H3) = 9.8 Hz, 3J(H4α–H5) = 6.8 Hz, 1H, HαC4), 1.42 (t, 3J = 7.1 Hz, 3H, CH3CH2OP), 1.40 (t, 3J = 6.7 Hz, 3H, CH3CH2OP). 13C-NMR (151 MHz, CDCl3): δ = 166.54 (s, C(O)), 162.63, 151.38, 148.50, 138.29, 134.06, 133.97, 129.65, 128.02, 127.45, 123.25, 123.00, 115.30, 80.14 (d, 3J(CCCP) = 8.4 Hz, C5), 67.21 (s, N-CH2), 64.42 (d, 1J(CP) = 168.5 Hz, C3), 63.24 (d, 2J(COP) = 6.5 Hz, CH2OP), 62.44 (d, 2J(COP) = 7.2 Hz, CH2OP), 46.33 (s, CH3N), 37.84 (s, C4), 16.56 (d, 3J(CCOP) = 5.6 Hz, CH3CH2OP), 16.46 (d, 3J(CCOP) = 4.2 Hz, CH3CH2OP). 31P-NMR (243 MHz, CDCl3): δ = 22.07. Anal. Calcd. for C23H27N4O7P: C, 54.98; H, 5.42; N, 11.15. Found: C, 54.62; H, 5.24; N, 11.14 (obtained on a 92:8 mixture of trans-11d and cis-11d).
Diethyl trans-(2-methyl-5-(3-(4-nitrobenzyl)-4-oxo-3,4-dihydroquinazolin-2-yl)isoxazolidin-3-yl)-phosphonate (trans-11e). Data noted below correspond to a 90:10 mixture of trans-11e and cis-11e. A yellowish oil; IR (film, cm−1) νmax: 3073, 2982, 2929, 2781, 1687, 1608, 1523, 1498, 1342, 1106, 968, 851, 739. (signals of trans-11e were extracted from the spectra of a 90:10 mixture of trans-11e and cis-11e); 1H-NMR (600 MHz, CDCl3): δ = 8.29–8.27 (m, 2H), 8.23–8.21 (m, 1H), 8.00–7.98 (m, 1H), 7.89–7.86 (m, 1H), 7.72–7.70 (m, 2H), 7.62–7.60 (m, 1H), 5.77 (s, 2H, N-CH2), 5.26 (dd, 3J(H5–H4β) = 6.8 Hz, 3J(H5–H4α) = 6.8 Hz, 1H, HC5), 4.33–4.19 (m, 4H, 2 × CH2OP), 3.38–3.35 (m, 1H, HC3), 3.05 (s, 3H, CH3N), 3.04–2.91 (m, 2H, HαC4, HβC4), 1.41 (t, 3J = 7.2 Hz, 3H, CH3CH2OP), 1.39 (t, 3J = 7.2 Hz, 3H, CH3CH2OP). 13C-NMR (151 MHz, CDCl3): δ = 166.51 (s, C(O)), 162.65, 151.35, 147.82, 143.45, 134.04, 128.90, 128.45, 128.07, 127.48, 123.84, 123.19, 115.29, 80.10 (d, 3J(CCCP) = 8.8 Hz, C5), 67.18 (s, N-CH2), 64.42 (d, 1J(CP) = 168.6 Hz, C3), 63.25 (d, 2J(COP) = 5.3 Hz, CH2OP), 62.46 (d, 2J(COP) = 6.9 Hz, CH2OP), 46.58 (s, CH3N), 37.84 (s, C4), 16.55 (d, 3J(CCOP) = 5.6 Hz, CH3CH2OP), 16.50 (d, 3J(CCOP) = 5.7 Hz, CH3CH2OP). 31P-NMR (243 MHz, CDCl3): δ = 22.05. Anal. Calcd. for C23H27N4O7P × 0.5 H2O: C, 54.01; H, 5.52; N, 10.95. Found: C, 53.91; H, 5.24; N, 10.95 (obtained on a 90:10 mixture of trans-11e and cis-11e).
Diethyl trans-(5-(3-(2-fluorobenzyl)-4-oxo-3,4-dihydroquinazolin-2-yl)-2-methylisoxazolidin-3-yl)-phosphonate (trans-11f). Data noted below correspond to a 90:10 mixture of trans-11f and cis-11f. A colorless oil; IR (film, cm−1) νmax: 3067, 2981, 2930, 2909, 1620, 1574, 1498, 1457, 1418, 1346, 1298, 1162, 1101, 1025, 965, 770, 682. (signals of trans-11f were extracted from the spectra of a 90:10 mixture of trans-11f and cis-11f); 1H-NMR (600 MHz, CDCl3): δ = 8.17–8.15 (m, 1H), 7.95–7.93 (m, 1H), 7.83–7.80 (m, 1H), 7.58–7.52 (m, 2H), 7.36–7.32 (m, 1H), 7.17–7.15 (m, 1H), 7.13–7.10 (m, 1H), 5.73 (AB, 2JAB = 12.6 Hz, 1H, N-CH2b), 5.70 (AB, 2JAB = 12.6 Hz, 1H, N-CH2a), 5.26 (dd, 3J(H5–H4β) = 7.3 Hz, 3J(H5–H4α) = 6.7 Hz, 1H, HC5), 4.32–4.18 (m, 4H, 2 × CH2OP), 3.43–3.40 (m, 1H, HC3), 3.04 (s, 3H, CH3N), 3.03–2.93 (m, 2H, HαC4, HβC4), 1.40 (t, 3J = 7.0 Hz, 3H, CH3CH2OP), 1.38 (t, 3J = 7.1 Hz, 3H, CH3CH2OP). 13C-NMR (151.0 MHz, CDCl3): δ = 166.86 (s, C(O)), 162.84, 161.08 (d, 1J(CF) = 248.6 Hz, C2’), 151.19, 133.76, 130.60 (d, 3J(CCCF) = 3.4 Hz, C4’), 130.26 (d, 3J(CCCF) = 8.6 Hz, C6’), 127.85, 127.17, 124.17 (d, 4J(CCCCF) = 3.3 Hz, C5’), 123.45, 123.31 (d, 2J(CCF) = 14.3 Hz, C3’), 115.54 (d, 2J(CCF) = 21.4 Hz, C1’), 115.49, 80.27 (dd, 3J(CCCP) = 8.7 Hz, C5), 64.41 (d, 1J(CP) = 168.3 Hz, C3), 63.23 (d, 2J(COP) = 6.3 Hz, CH2OP), 62.60 (d, 3J = 4.3 Hz, CH2N), 62.39 (d, 2J(COP) = 6.8 Hz, CH2OP), 46.61 (s, CH3N), 37.94 (s, C4), 16.56 (d, 3J(CCOP) = 5.6 Hz, CH3CH2OP), 16.50 (d, 3J(CCOP) = 5.6 Hz, CH3CH2OP). 31P-NMR (243 MHz, CDCl3): δ = 22.16. Anal. Calcd. for C23H27FN3O5P × 0.5 H2O: C, 57.02; H, 5.83; N, 8.67. Found: C, 57.30; H, 5.58; N, 8.62 (obtained on a 90:10 mixture of trans-11f and cis-11f).
Diethyl trans-(5-(3-(3-fluorobenzyl)-4-oxo-3,4-dihydroquinazolin-2-yl)-2-methylisoxazolidin-3-yl)-phosphonate (trans-11g). Colorless oil; IR (film, cm−1) νmax: 3066, 2982, 2909, 1620, 1575, 1497, 1452, 1416, 1343, 1299, 1163, 1104, 966, 775, 682. 1H-NMR (600 MHz, CDCl3): δ = 8.22–8.20 (m, 1H), 7.98–7.96 (m, 1H), 7.86–7.84 (m, 1H), 7.59–7.57 (m, 1H), 7.40–7.37 (m, 1H), 7.31–7.28 (m, 2H), 7.08–7.06 (m, 1H), 5.66 (s, 2H, N-CH2), 5.27 (dd, 3J(H5–H4β) = 7.4 Hz, 3J(H5–H4α) = 6.7 Hz, 1H, HC5), 4.33–4.21 (m, 4H, 2 × CH2OP), 3.42–3.40 (m,1H, HC3), 3.05 (s, 3H, CH3N), 3.04–2.94 (m, 2H, HαC4, HβC4) 1.42 (t, 3J = 7.1 Hz, 3H, CH3CH2OP), 1.39 (t, 3J = 7.0 Hz, 3H, CH3CH2OP). 13C-NMR (151 MHz, CDCl3): δ = 166.80 (s, C(O)), 162.92 (d, 1J(CF) = 246.6 Hz, C3’), 162.80, 151.25, 138.65 (d, 3J(CCCF) = 7.6 Hz, C5’), 133.84, 130.17 (d, J = 8.7 Hz, C1’), 127.94, 127.27, 123.60 (d, 4J(CCCCF) = 2.6 Hz, C6’), 123.39, 115.47, 115.18 (d, 2J(CCF) = 21.0 Hz, C4’), 115.00 (d, 2J(CCF) = 22.0 Hz, C2’), 80.22 (dd, 3J(CCCP) = 7.9 Hz, C5), 67.80 (d, 3J = 1.6 Hz, CH2N), 64.43 (d, 1J(CP) = 168.3 Hz, C3), 63.26 (d, 2J(COP) = 6.7 Hz, CH2OP), 62.41 (d, 2J(COP) = 6.4 Hz, CH2OP), 46.59 (s, CH3N), 37.92 (s, C4), 16.56 (d, 3J(CCOP) = 5.6 Hz, CH3CH2OP), 16.50 (d, 3J(CCOP) = 5.6 Hz, CH3CH2OP). 31P-NMR (243 MHz, CDCl3): δ = 22.14. Anal. Calcd. for C23H27FN3O5P × 0.5 H2O: C, 57.02; H, 5.83; N, 8.67. Found: C, 57.30; H, 5.66; N, 8.74.
Diethyl trans-(5-(3-(4-fluorobenzyl)-4-oxo-3,4-dihydroquinazolin-2-yl)-2-methylisoxazolidin-3-yl)-phosphonate (trans-11h). Colorless oil; IR (film, cm−1) νmax: 3069, 2982, 2930, 2910, 1620, 1574, 1512, 1498, 1226, 1104, 966, 823, 774, 683. 1H-NMR (600 MHz, CDCl3): δ = 8.17–8.15 (m, 1H), 7.96–7.94 (m, 1H), 7.84–7.81 (m, 1H), 7.56–7.51 (m, 3H), 7.11–7.08 (m, 2H), 5.62 (s, 2H, N-CH2), 5.27 (dd, 3J(H5–H4β) = 6.7 Hz, 3J(H5–H4α) = 6.7 Hz, 1H, HC5), 4.32–4.20 (m, 4H, 2 × CH2OP), 3.43–3.40 (m, 1H, HC3), 3.07–2.99 (m, 1H, HβC4), 3.06 (s, 3H, CH3N), 2.99 (dddd, 3J(H4α–P) = 12.5 Hz, 2J(H4α–H4β) = 12.5 Hz, 3J(H4α–H3) = 10.3 Hz, 3J(H4α–H5) = 6.7 Hz, 1H, HαC4), 1.41 (t, 3J = 7.1 Hz, 3H, CH3CH2OP), 1.39 (t, 3J = 6.4 Hz, 3H, CH3CH2OP). 13C-NMR (151 MHz, CDCl3): δ = 166. 90 (s, C(O)), 162.84, 162.73 (d, 1J(CF) = 246.9 Hz, C4’), 151.21, 133.76, 131.93 (d, 4J(CCCCF) = 3.2 Hz, C1’), 130.28 (d, 3J(CCCF) = 8.0 Hz, C2’, C6’), 127.89, 127.18, 123.41, 115.53 (d, 2J(CCF) = 21.4 Hz, C3’, C5’), 115.52, 80.23 (d, 3J(CCP) = 8.1 Hz, C5), 68.02 (s, N-CH2), 64.45 (d, 1J(CP) = 168.1 Hz, C3), 63.25 (d, 2J(COP) = 6.4 Hz, CH2OP), 62.39 (d, 2J(COP) = 6.9 Hz, CH2OP), 46.62 (s, CH3N), 37.96 (s, C4), 16.56 (d, 3J(CCOP) = 5.6 Hz, CH3CH2OP), 16.50 (d, 3J(CCOP) = 5.5 Hz, CH3CH2OP). 31P-NMR (243 MHz, CDCl3): δ = 22.13. Anal. Calcd. for C23H27FN3O5P: C, 58.10; H, 5.72; N, 8.84. Found: C, 57.74; H, 5.70; N, 8.77.
Diethyl trans-(5-(3-(2,4-difluorobenzyl)-4-oxo-3,4-dihydroquinazolin-2-yl)-2-methylisoxazolidin-3-yl)-phosphonate (trans-11i). Data noted below correspond to a 92:8 mixture of trans-11i and cis-11i. A colorless oil; IR (film, cm−1) νmax: 3068, 2982, 2930, 2910, 1621, 1574, 1498, 1416, 1162, 1102, 1025, 961, 773, 682. (signals of trans-11i were extracted from the spectra of a 92:8 mixture of trans-11i and cis-11i); 1H-NMR (600 MHz, CDCl3): δ = 8.18–8.16 (m, 1H), 7.98–7.96 (m, 1H), 7.86–7.84 (m, 1H), 7.62–7.56 (m, 2H), 6.95–6.89 (m, 2H), 5.71 (AB, 2JAB = 12.4 Hz, 1H, N-CH2b), 5.71 (AB, 2JAB = 12.4 Hz, 1H, N-CH2a), 5.29 (dd, 3J(H5–H4β) = 6.6 Hz, 3J(H5–H4α) = 6.2 Hz, 1H, HC5), 4.34–4.22 (m, 4H, 2 × CH2OP), 3.44–3.41 (m, 1H, C3), 3.07 (s, 3H, CH3-N), 3.04–3.02 (m, 1H, HβC4), 3.01 (dddd, 3J(H4α–P) = 12.4 Hz, 2J(H4α–H4β) = 12.4 Hz, 3J(H4α–H3) = 10.1 Hz, 3J(H4α–H5) = 6.2 Hz, 1H, HαC4), 1.43 (t, 3J = 7.1 Hz, 3H, CH3CH2OP), 1.41 (t, 3J = 7.0 Hz, 3H, CH3CH2OP). 13C-NMR (151 MHz, CDCl3): δ = 165.94 (s, C(O)), 163.05 (dd, 1J(CF) = 265.3 Hz, 3J(CCCF) = 12.1 Hz, C2’), 162.71, 161.44 (dd, 1J(CF) = 266.1 Hz, 3J(CCCF) = 14.4 Hz, C4’), 151.19, 133.76, 131.87 (dd, 3J(CCCF) = 9.9 Hz, 3J(CCCF) = 5.5 Hz, C6’), 127.85, 127.18, 123.33, 119.34 (dd, 2J(CCF) = 14.5 Hz, 4J(CCCCF) = 3.3 Hz, C1’), 115.38, 111.35 (dd, 2J(CCF) = 21.0 Hz, 4J(CCCCF) = 3.3 Hz, C5’), 104.02 (dd, 2J(CCF) = 25.3 Hz, 2J(CCF) = 25.3 Hz, C3’), 80.20 (dd, 3J(CCCP) = 8.7 Hz, 3J(CCCF) = 2.3 Hz, C5), 64.41 (d, 1J(CP) = 168.2 Hz, C3), 63.19 (d, 2J(COP) = 6.1 Hz, CH2OP), 62.35 (d, 2J(COP) = 7.3 Hz, CH2OP), 62.04 (d, 3J(CCCF) = 3.2 Hz, CH2N), 46.45 (d, 3J(CNCP) = 2.6 Hz, CH3N), 37.89 (d, 2J(CCP) = 1.7 Hz, C4), 16.52 (d, 3J(CCOP) = 5.5 Hz, CH3CH2OP), 16.45 (d, 3J(CCOP) = 5.5 Hz, CH3CH2OP). 31P-NMR (243 MHz, CDCl3): δ = 22.13. Anal. Calcd. for C23H26F2N3O5P × 0.5 H2O: C, 54.98; H, 5.42; N, 8.36. Found: C, 55.08; H, 5.14; N, 8.26 (obtained on a 92:8 mixture of trans-11i and cis-11i).
Diethyl trans-(2-methyl-5-(3-methyl-4-oxo-3,4-dihydroquinazolin-2-yl)isoxazolidin-3-yl)phosphonate (trans-11j). Colorless oil; IR (film, cm−1) νmax: 2983, 2955, 2924, 2854, 1679, 1601, 1474, 1435, 1340, 1299, 1241, 1053, 1022, 945, 781, 695, 653, 600, 559. 1H-NMR (600 MHz, CDCl3): δ = 8.28–8.25 (m, 1H), 7.75–7.72 (m, 1H), 7.68–7.66 (m, 1H), 7.50–7.47 (m, 1H), 5.18 (dd, 3J(H5–H4β) = 7.7 Hz, 3J(H5–H4α) = 5.6 Hz, 1H, HC5), 4.30–4.22 (m, 4H, 2 × CH2OP), 3.75 (dddd, 3J(H4α–P) = 14.0 Hz, 2J(H4α–H4β) = 12.7 Hz, 3J(H4α–H3) = 9.1 Hz, 3J(H4α–H5) = 5.6 Hz, 1H, HβC4), 3.74 (s, 3H, CH3N), 3.37 (ddd, 3J(H3–H4α) = 9.1 Hz, 3J(H3–H4β) = 7.7 Hz, 2J(H3-P) = 2.7 Hz, 1H, HC3), 2.79 (dddd, 3J(H4β–P) = 15.4 Hz, 2J(H4β–H4α) = 12.7 Hz, 3J(H4β–H3) = 7.7 Hz, 3J (H4β–H5) = 7.7 Hz, 1H, HβC4), 1.40 (t, 3J = 7.1 Hz, 3H, CH3CH2OP), 1.39 (t, 3J = 7.1 Hz, 3H, CH3CH2OP). 13C-NMR (151 MHz, CDCl3): δ = 162.50 (s, C(O)), 152.24, 146.52, 134.08, 127.62, 127.41, 126.79, 120.98, 76.37 (d, 3J(CCCP) = 7.8 Hz, C5), 64.38 (d, 1J(CP) = 170.6 Hz, C3), 63.02 (d, 2J(COP) = 6.6 Hz, CH2OP), 62.70 (d, 2J(COP) = 6.9 Hz, CH2OP), 47.21 (d, 3J(CNCP) = 6.3 Hz, CH3N), 34.41 (s, C4), 30.77 (s, CH3N) 16.56 (d, 3J(CCOP) = 5.0 Hz, CH3CH2OP), 16.53 (d, 3J(CCOP) = 4.9 Hz, CH3CH2OP). 31P-NMR (243 MHz, CDCl3): δ = 22.09. Anal. Calcd. for C17H24N3O5P × H2O: C, 51.13; H, 6.56; N, 10.52. Found: C, 51.23; H, 6.17; N, 10.49.
Diethyl trans-(5-(3-ethyl-4-oxo-3,4-dihydroquinazolin-2-yl)-2-methylisoxazolidin-3-yl)phosphonate (trans-11k). Data noted below correspond to a 94:6 mixture of trans-11k and cis-11k. Yellowish oil; IR (film, cm−1) νmax: 3068, 2981, 2930, 2870, 1620, 1574, 1501, 1424, 1382, 1340, 1240, 1164, 1105, 1053, 1023, 967, 774, 684, 581. (signals of trans-11k were extracted from the spectra of a 94:6 mixture of trans-11k and cis-11k); 1H-NMR (600 MHz, CDCl3): δ = 8.19–8.17 (m, 1H), 7.96–7.94 (m, 1H), 7.84–7.82 (m, 1H), 7.58–7.55 (m, 1H), 5.26 (dd, 3J(H5–H4β) = 7.4 Hz, 3J(H5–H4α) = 6.4 Hz, 1H, HC5), 4.69 (q, 3J = 7.1 Hz, 2H, CH3CH2), 4.34–4.21 (m, 4H, 2 × CH2OP), 3.49–3.46 (m, 1H, HC3), 3.08 (s, 3H, CH3N), 3.10–2.96 (m, 2H, HαC4, HβC4), 1.55 (t, 3J = 7.1 Hz, 3H, CH3CH2), 1.42 (t, 3J = 7.0 Hz, 3H, CH3CH2OP), 1.39 (t, 3J = 7.1 Hz, 3H, CH3CH2OP). 13C-NMR (151 MHz, CDCl3): δ =167.25 (s, C(O)), 163.16, 151.03, 133.51, 127.77, 126.92, 123.44, 115.60, 80.36 (d, 3J(CCCP) = 8.3 Hz, C5), 64.38 (d, 1J(CP) = 168.2 Hz, C3), 63.23 (d, 2J(COP) = 6.4 Hz, CH2OP), 62.36 (d, 2J(COP) = 6.7 Hz, CH2OP), 47.21 (d, 3J(CNCP) = 6.3 Hz, CH3N), 34.41 (s, C4), 29.64 (s, CH3CH2) 16.53 (d, 3J(CCOP) = 5.7 Hz, CH3CH2OP), 16.47 (d, 3J(CCOP) = 5.8 Hz, CH3CH2OP), 14.29 (s, CH3CH2). 31P-NMR (243 MHz, CDCl3): δ = 22.23. Anal. Calcd. for C18H26N3O5P: C, 54.68; H, 6.63; N, 10.63. Found: C, 54.93; H, 6.51; N, 10.21 (obtained on a 94:6 mixture of trans-11k and cis-11k).
3.5. Antiviral Activity Assays
The compounds were evaluated against different herpesviruses, including herpes simplex virus type 1 (HSV-1) strain KOS, thymidine kinase-deficient (TK−) HSV-1 KOS strain resistant to ACV (ACVr), herpes simplex virus type 2 (HSV-2) strain G, varicella-zoster virus (VZV) strain Oka, TK− VZV strain 07-1, human cytomegalovirus (HCMV) strains AD-169 and Davis as well as feline herpes virus (FHV), the poxvirus vaccinia virus (Lederle strain), para-influenza-3 virus, reovirus-1, Sindbis virus, Coxsackie virus B4, Punta Toro virus, respiratory syncytial virus (RSV), feline coronovirus (FIPV) and influenza A virus subtypes H1N1 (A/PR/8), H3N2 (A/HK/7/87) and influenza B virus (B/HK/5/72) and human immune deficiency virus (5HVV-1 and HIV-2). The antiviral assays, other than HIV, were based on inhibition of virus-induced cytopathicity or plaque formation in human embryonic lung (HEL) fibroblasts, African green monkey kidney cells (Vero), human epithelial cervix carcinoma cells (HeLa), Crandell-Rees feline kidney cells (CRFK), or Madin Darby canine kidney cells (MDCK). Confluent cell cultures in microtiter 96-well plates were inoculated with 100 CCID50 of virus (1 CCID50 being the virus dose to infect 50% of the cell cultures) or with 20 plaque forming units (PFU) and the cell cultures were incubated in the presence of varying concentrations of the test compounds. Viral cytopathicity or plaque formation (VZV) was recorded as soon as it reached completion in the control virus-infected cell cultures that were not treated with the test compounds. Antiviral activity was expressed as the EC50 or compound concentration required to reduce virus-induced cytopathicity or viral plaque formation by 50%. Cytotoxicity of the test compounds was expressed as the minimum cytotoxic concentration (MCC) or the compound concentration that caused a microscopically detectable alteration of cell morphology.
3.6. Cytostatic Activity against Immortalized Cell Lines
Murine leukemia (L1210), human T-lymphocyte (CEM), human cervix carcinoma (HeLa) and immortalized human dermal microvascular endothelial cells (HMEC-1) were suspended at 300,000–500,000 cells/mL of culture medium, and 100 μL of a cell suspension was added to 100 μL of an appropriate dilution of the test compounds in 200 μL-wells of 96-well microtiter plates. After incubation at 37 °C for two (L1210), three (CEM) or four (HeLa) days, the cell number was determined using a Coulter counter. The IC50 was defined as the compound concentration required to inhibit cell proliferation by 50%.
4. Conclusions
A series of isoxazolidine-containing quinazolinones trans-11 and cis-11 have been synthesised from N-methyl-C-diethoxyphosphorylnitrone (12) and the respective N3-substituted 2-vinyl-quinazolin-ones 13 via the 1,3-dipolar cycloaddition. The obtained isoxazolidine phosphonates trans-11 or the respective mixtures of trans-11/cis-11 were evaluated against a variety of DNA and RNA viruses. Among all tested compounds, isoxazolidines trans-11f/cis-11f (90:10), trans-11h and trans-11i/cis-11i were slightly active toward TK+VZV strain (EC50 = 6.84, 15.29 and 9.44 μM) without exhibiting cytotoxicity toward uninfected cells at concentration up to 100 μM. On the other hand, phosphonates trans-11b/cis-11b (90:10), trans-11c, trans-11e/cis-11e (90:10) and trans-11g showed weak antiviral properties against cytomegalovirus (EC50 = 27–45 μM).
Compounds equipped with benzyl substituents at N3 in the quinazolinone skeleton exhibited some antiproliferative activity toward the tested immortalized cells (IC50 = 21–102 μM), while analogues lacking substituent or having alkyl group at N3 were inactive. These results encourage us to continue the search for more active compounds with special focus on modification the quinazoline-4-one unit especially at N3.
Supplementary Materials
Supplementary materials can be accessed at: http://www.mdpi.com/1420-3049/21/7/959/s1.
Acknowledgments
The authors wish to express their gratitude to Leentje Persoons, Frieda De Meyer, Ellen De Waegenaere and Lizette van Berckelaer for excellent technical assistance. The synthetic part of this work was supported by the Medical University of Lodz internal funds (503/3-014-01/503-31-001 and 502-03/3-014-01/502-34-067). The biological part of this work was supported by the KU Leuven (GOA 15/19 TBA).
Author Contributions
Research group from Medical University of Lodz (D.G.P. and M.G.-D.) conceived the research project, participated in all steps of the research, interpreted the results, discussed the experimental data and prepared the manuscript. Research group from KU Leuven (G.A., D.S. and R.S.) conducted the biological assays and provided the experimental procedures and results. All authors read, commented and approved the manuscript.
Conflicts of Interest
The authors declare no conflict of interest.
References
- Hammer, H.; Bader, B.M.; Ehnert, C.; Bundgaard, C.; Bunch, L.; Hoestgaard-Jensen, K.; Schroeder, O.H.-U.; Bastlund, J.F.; Gramowski-Voss, A.; Jensen, A.A. A multifaceted GABAA receptor modulator: Functional properties and mechanism of action of the sedative-hypnotic and recreational drug methaqualone (quaalude). Mol. Pharmacol. 2015, 88, 401–420. [Google Scholar] [CrossRef] [PubMed]
- Tyurenkov, I.N.; Ozerov, A.A.; Solodunova, E.A.; Archakova, Y.V.; Shmatova, E.N.; Sampieva, K.T. Synthesis and Anxiosedative and Antidepressant Properties of α-(4-Oxoquinazolin-3(4H)-yl)carboxylic Acid Anilides. Pharm. Chem. J. 2013, 47, 239–242. [Google Scholar] [CrossRef]
- Kashaw, S.K.; Gupta, V.; Kashaw, V.; Mishra, P.; Stables, J.P.; Jain, N.K. Anticonvulsant and sedative-hypnotic activity of some novel 3-(5-(4-substituted) phenyl-1,3,4-oxadiazole-2yl)-2-styrylquinazoline-4(3H)-ones. Med. Chem. Res. 2010, 19, 250–261. [Google Scholar] [CrossRef]
- Chandregowda, V.; Kus, A.K.; Chandrasekara Reddy, G. Synthesis and in vitro antitumor activities of novel 4-anilinoquinazoline derivatives. Eur. J. Med. Chem. 2009, 44, 3046–3055. [Google Scholar] [CrossRef] [PubMed]
- Abbas, S.E.; Abdel Gawad, N.M.; Georgey, H.H.; Abdullah, J.H. New Quinazolinone Derivatives: Synthesis, Anti-inflammatory and Antitumor Activities. Int. J. Chemtech Res. 2010, 2, 1560–1578. [Google Scholar]
- Noolvi, M.N.; Patel, H.M.; Bhardwaj, V.; Chauhan, A. Synthesis and in vitro antitumor activity of substituted quinazoline and quinoxaline derivatives: Search for anticancer agent. Eur. J. Med. Chem. 2011, 46, 2327–2346. [Google Scholar] [CrossRef] [PubMed]
- Ahmed, M.F.; Youns, M. Synthesis and Biological Evaluation of a Novel Series of 6,8-Dibromo-4(3H)quinazolinone Derivatives as Anticancer Agents. Arch. Pharm. Chem. Life Sci. 2013, 346, 610–617. [Google Scholar] [CrossRef] [PubMed]
- Gupta, V.D.; Singh, J.; Kinger, M.; Arora, A.K.; Jaswal, V.S. Synthesis and antiviral activities of some 2,3-disubstituted quinazoline derivatives. Asian J. Chem. 2015, 27, 4379–4382. [Google Scholar] [CrossRef]
- Chen, M.; Li, P.; Hu, D.; Zeng, S.; Li, T.; Jin, L.; Xue, W.; Song, B. Synthesis, antiviral activity, 3D-QSAR, and interaction mechanisms study of novel malonate derivatives containing quinazolin-4(3H)-one moiety. Bioorg. Med. Chem. Lett. 2016, 26, 168–173. [Google Scholar] [CrossRef] [PubMed]
- Long, C.; Li, P.; Chen, M.; Dong, L.; Hu, D.; Song, B. Synthesis, anti-tobacco mosaic virus and cucumber mosaic virus activity, and 3D-QSAR study of novel 1,4-pentadien-3-one derivatives containing 4-thioquinazoline moiety. Eur. J. Med. Chem. 2015, 102, 639–647. [Google Scholar] [CrossRef] [PubMed]
- Kumar, K.S.; Swastika, G.; Ravichandran, V.; Pandy, V. Synthesis, antiviral and antimicrobial activities of quinazoline urea analogues. Int. J. Drug Des. Discov. 2013, 4, 1215–1230. [Google Scholar]
- Schroeder, C.E.; Yao, T.; Sotsky, J.; Smith, R.A.; Roy, S.; Chu, Y.-K.; Guo, H.; Tower, N.A.; Noah, T.J.W.; McKellip, S.; et al. Development of (E)-2-((1,4-Dimethylpiperazin-2-ylidene)amino)-5-nitro-N-phenylbenzamide, ML336: Novel 2-Amidinophenylbenzamides as Potent Inhibitors of Venezuelan Equine Encephalitis Virus. J. Med. Chem. 2014, 57, 8608–8621. [Google Scholar] [CrossRef] [PubMed]
- Rohini, R.; Reddy, P.M.; Shanker, K.; Hu, A.; Ravinder, V. Antimicrobial study of newly synthesized 6-substituted indolo(1,2-c)quinazolines. Eur. J. Med. Chem. 2010, 45, 1200–1205. [Google Scholar] [CrossRef] [PubMed]
- Raju, G.N.; Sai, K.B.; Resshma, V.; Sudarshini, N.; Sowmya, P.L.; Nalini, Y.; Nadendla, R.R. Potential antimicrobial activities of quinazolinone derivatives. J. Chem. Pharm. Res. 2015, 7, 1279–1287. [Google Scholar]
- Rakesh, K.P.; Ramesh, S.; Kumar, H.M.M.; Chandan, S.; Gowda, D.C. Quinazolinones linked amino acids derivatives as a new class of promising antimicrobial, antioxidant and anti-inflammatory agents. Eur. J. Chem. 2015, 6, 254–260. [Google Scholar] [CrossRef]
- Kumar, R.; Shukla, R.K.; Shukla, A.; Tyagi, N. Synthetic and Pharmacological Evaluation of Some 3-(4-{((Substitutedphenyl)methylene)amino}phenyl)-6-bromo-2-methylquinazolin-4-one derivatives. World J. Pharm. Res. 2015, 4, 1984–1991. [Google Scholar]
- Serya, R.A.T.; Abbas, A.H.; Ismail, N.S.M.; Esmat, A.; Abou El Ella, D.A. Design, synthesis and biological evaluation of novel quinazoline-based anti-inflammatory agents acting as PDE4B inhibitors. Chem. Pharm. Bull. 2015, 63, 102–116. [Google Scholar] [CrossRef] [PubMed]
- Rakesh, K.P.; Manukumar, H.M.; Gowda, D.C. Schiff's bases of quinazolinone derivatives: Synthesis and SAR studies of a novel series of potential anti-inflammatory and antioxidants. Bioorg. Med. Chem. Lett. 2015, 25, 1072–1077. [Google Scholar] [CrossRef] [PubMed]
- Kumar, D.; Lal, R.; Rani, S. Synthesis of some new substituted azetidinonyl and thiazolidinonyl quinazolin-4(3H)-ones as potential non-steroidal anti-inflammatory and analgesic agents. IJIAS 2014, 8, 1798–1813. [Google Scholar]
- Pines, M.; Spector, I. Halofuginone—The Multifaceted Molecule. Moecules 2015, 20, 573–594. [Google Scholar] [CrossRef] [PubMed]
- Marzaro, G.; Castagliuolo, I.; Schirato, G.; Palu, G.; Dalla Via, M.; Chilin, A.; Brun, P. Substituted quinazolinones as kinase inhibitors endowed with anti-fibroic properties. Eur. J. Med. Chem. 2016, 115, 416–425. [Google Scholar] [CrossRef] [PubMed]
- Ghosh, S.K.; Nagarajan, R. Deep eutectic solvent mediated synthesis of quinazolinones and dihydroquinazolinones: Synthesis of natural products and drugs. RSC Adv. 2016, 6, 27378–27387. [Google Scholar] [CrossRef]
- Asif, M. Chemical Characteristics, Synthetic Methods, and Biological Potential of Quinazoline and Quinazolinone Derivatives. Int. J. Med. Chem. 2014, 2014. [Google Scholar] [CrossRef] [PubMed]
- Chawla, A.; Batra, C. Recent advances of quinazolinone derivatives as marker for various biological activities. Int. Res. J. Pharm. 2013, 4, 49–58. [Google Scholar] [CrossRef]
- Rajput, R.; Mishra, A.P. A Review on Biological Activity of Quinazolinones. Int. J. Pharm. Sci. 2012, 4, 66–70. [Google Scholar]
- Rajput, R.; Mishra, A.P. Quinazolinones as antimicrobial agents: A review. Int. J. Res. Pharm. Biomed. Sci. 2012, 3, 82–89. [Google Scholar]
- Arora, R.; Kappor, A.; Gill, N.S.; Rana, A.C. Quinazolinone: An overview. Int. Res. J. Pharm. 2011, 2, 22–28. [Google Scholar]
- Selvam, T.; Kumar, P.V. Quinazoline marketed drugs—A Review. Res. Pharm. 2011, 1, 1–21. [Google Scholar]
- Vogtle, M.M.; Marzinzik, A.L. Synthetic Approaches towards Quinazolines, Quinazolinones and Quinazolinediones on Solid Phase. QSAR Comb. Sci. 2004, 23, 440–459. [Google Scholar] [CrossRef]
- Shen, S.; Li, W.; Wang, J. A novel and other bioactive secondary metabolites from a marine fungus Penicillium oxalicum 0312F1. Nat. Prod. Res. 2013, 27, 2286–2291. [Google Scholar] [CrossRef] [PubMed]
- An, C.-Y.; Li, X.-M.; Li, C.-S.; Gao, S.-S.; Shang, Z.; Wang, B.-G. Triazoles and Other N-Containing Metabolites from the Marine-Derived Endophytic Fungus Pencillinum chrysogenum EN-118. Helv. Chim. Acta 2013, 96, 682–687. [Google Scholar] [CrossRef]
- Li, C.-S.; An, C.-Y.; Li, X.-M.; Gao, S.-S.; Cui, C.-M.; Sun, H.-F.; Wang, B.-G. Triazole and Dihydroimidazole Alkaloids from the Marine Sediment-Derived Fungus Penicillium paneum SD-44. J. Nat. Prod. 2011, 74, 1331–1334. [Google Scholar] [CrossRef] [PubMed]
- Kornsakulkarn, J.; Saepua, S.; Srijomthong, K.; Rachtawee, P.; Thongpanchang, C. Quinazolinone alkaloids from actinomycete Streptomyces sp. BCC 21795. Phytochem. Lett. 2015, 12, 6–8. [Google Scholar] [CrossRef]
- Liu, S.; Wang, W.; Jiang, L.; Wan, S.; Zhang, L.; Yu, R.; Jiang, T. 2-Pyridinyl-4(3H)-Quinazolinone: A Scaffold for Anti-influenza A Virus Compounds. Chem. Biol. Drug Des. 2015, 86, 1221–1225. [Google Scholar] [CrossRef] [PubMed]
- Ahmed, M.F.; Belal, A. Design, Synthesis, and Molecular Docking Studies of 2-(Furan-2-yl)-quinazolin-4-one Derivatives as Potential Antiproliferative Agents. Arch. Pharm. Chem. Life Sci. 2015, 348, 487–497. [Google Scholar] [CrossRef] [PubMed]
- Piotrowska, D.G. N-Substituted C-diethoxyphosphorylated nitrones as useful synthons for the synthesis of α-aminophosphonates. Tetrahedron Lett. 2006, 47, 5363–5366. [Google Scholar] [CrossRef]
- Witt, A.; Bergman, J. Synthesis and reaction of some 2-vinyl-3H-quinazolin-4-ones. Tetrahedron 2000, 56, 7245–7253. [Google Scholar] [CrossRef]
- Makhloufi, A.; Wahl, M.; Frank, W.; Ganter, C. A new Mixed Amino-Amido N-Heterocyclic Carbene Based on Antranilin Acid. Organomettalics 2013, 32, 854–861. [Google Scholar] [CrossRef]
- Piotrowska, D.G.; Cieslak, M.; Krolewska, K.; Wróblewski, A.E. Design, synthesis and cytotoxicity of a new series of isoxazolidine based nucleoside analogues. Arch. Pharm. Chem. Life Sci. 2011, 11, 301–310. [Google Scholar] [CrossRef] [PubMed]
- Grabkowska-Drużyc, M.; Balzarini, J.; Piotrowska, D.G. Design, synthesis, antiviral and cytostatic evaluation of novel isoxazolidine analogues of C-nucleotides. Nucleosides Nucleotides Nucleic Acids 2013, 32, 682–699. [Google Scholar] [CrossRef] [PubMed]
- Karplus, M. Vicinal Proton Coupling in Nuclear Magnetic Resonance. J. Am. Chem. Soc. 1963, 85, 2870–2871. [Google Scholar] [CrossRef]
- Benezra, C. NMR of phosphonates. VI. Variation of vicinal phosphorus-31-carbon-carbon-proton couplings with dihedral angle in phosphonates. J. Am. Chem. Soc. 1973, 95, 6890–6894. [Google Scholar] [CrossRef]
- Neeser, J.-R.; Tronchet, J.M.J.; Charollais, E.J. Structural analysis of 3-C-phosphonates, -phosphinates, and -phosphine oxides of branched-chain sugars. Can. J. Chem. 1983, 61, 2112–2120. [Google Scholar] [CrossRef]
- Adiwidjaja, G.; Meyer, B.; Thiem, J. Darstellung und Kristallstruktur von endo-2-Dimethylphosphono-exo-2-hydroxy-(–)-camphan zur Bestimmung von 3J(CCCP)-Vicinalkopplungen. Z. Naturforsch. 1979, 34, 1547–1551. [Google Scholar]
- Buchanan, G.W.; Bourque, K.; Seeley, A. 13C- and 31P-NMR spectra of 1-diethylphosphono-1-hydroxycycloalkanes. Magn. Res. Chem. 1986, 24, 360–367. [Google Scholar] [CrossRef]
- Hayato, N.; Noriki, K.; Takao, S. Functionalized Carbodiimide Mediated Synthesis of 2,3-Disubstituted Quinazolin-4(3H)-ones via the Tandem Strategy of C-Nucleophilic Addition and Intramolecular NH-Substitution Cyclization. Synthesis 2012, 44, 3179–3184. [Google Scholar]
- Sample Availability: Samples of the compounds are not available from the authors.
© 2016 by the authors. Licensee MDPI, Basel, Switzerland. This article is an open access article distributed under the terms and conditions of the Creative Commons Attribution (CC-BY) license ( http://creativecommons.org/licenses/by/4.0/).




