Sign in to use this feature.

Years

Between: -

Subjects

remove_circle_outline
remove_circle_outline
remove_circle_outline
remove_circle_outline
remove_circle_outline
remove_circle_outline
remove_circle_outline
remove_circle_outline
remove_circle_outline

Journals

Article Types

Countries / Regions

Search Results (68)

Search Parameters:
Keywords = cichlid

Order results
Result details
Results per page
Select all
Export citation of selected articles as:
16 pages, 5231 KB  
Article
Mitogenome Characteristics and Phylogenetic Analysis of Six Apistogramma Species
by Xiao-Die Chen, Wei Hu, Xiao Ma, Cheng-He Sun and Chang-Hu Lu
Animals 2026, 16(8), 1178; https://doi.org/10.3390/ani16081178 - 12 Apr 2026
Viewed by 234
Abstract
The Neotropical cichlid genus Apistogramma represents one of the most taxonomically diverse and ecologically significant groups of South American freshwater fishes, yet its evolutionary history and species boundaries remain poorly understood due to a lack of comprehensive genomic resources. To address this gap, [...] Read more.
The Neotropical cichlid genus Apistogramma represents one of the most taxonomically diverse and ecologically significant groups of South American freshwater fishes, yet its evolutionary history and species boundaries remain poorly understood due to a lack of comprehensive genomic resources. To address this gap, this study investigated the complete mitogenomic characteristics of six representative Apistogramma species (A. agassizii, A. allpahuayo, A. baenschi, A. nijsseni, A. resticulosa, and A. cacatuoides) to establish a robust molecular framework for species identification and phylogenetic reconstruction. The results showed that Apistogramma mitogenomes are highly conserved. All six Apistogramma species exhibited significant AT bias. Selection pressure analysis revealed that the Ka/Ks ratios for all 13 protein-coding genes were between 0 and 1, indicating that these genes were under purifying selection. Differential site analysis identified nad5, cox1, and nad4 as ideal molecular markers for rapid Apistogramma species identification owing to higher proportions of variable sites. Phylogenetic analysis recovered Apistogramma as a strongly supported monophyletic clade (BP = 100, PP = 1.00), within which A. nijsseni clustered with A. baenschi and A. cacatuoides with A. agassizii. These internal phylogenetic relationships are consistent with the calculated genetic distances and previous morphological groupings. These findings provide an important theoretical basis and data support for rapid species identification, genetic evolutionary research, and divergence time estimation within Apistogramma. Full article
Show Figures

Figure 1

23 pages, 4709 KB  
Article
Effects of Brazilian Pepper Tree (Schinus terebinthifolius Raddi) Ethanolic Leaf Extract on Growth Performance and Expression of Intestinal Immune-Related Genes in Nile Tilapia (Oreochromis niloticus)
by Eman Mohamed, Mahmoud Mostafa Mahmoud, Yosra M. I. El Sherry, Amr Abdullah, Soad A. L. Bayoumi, Rofida Wahman, Abeer M. Mahmoud, Mahmoud M. S. Farrag and Ebtsam Sayed Hassan Abdallah
Biology 2026, 15(6), 476; https://doi.org/10.3390/biology15060476 - 15 Mar 2026
Viewed by 532
Abstract
This study investigated the ethanolic leaf extract of Brazilian pepper tree (Schinus terebinthifolius Raddi) for its metabolite composition and effects on growth performance and intestinal immune gene expression in Nile tilapia (Oreochromis niloticus). Ultra-performance liquid chromatography-electrospray ionization-mass spectrometry (UPLC-ESI-MS/MS) in [...] Read more.
This study investigated the ethanolic leaf extract of Brazilian pepper tree (Schinus terebinthifolius Raddi) for its metabolite composition and effects on growth performance and intestinal immune gene expression in Nile tilapia (Oreochromis niloticus). Ultra-performance liquid chromatography-electrospray ionization-mass spectrometry (UPLC-ESI-MS/MS) in positive and negative modes revealed a diverse profile of 33 peaks in each polarity, identifying key compounds such as phenolic acids (e.g., gallic acid and ferulic acid), flavonoids (e.g., myricetin-O-glucoside and quercetin 3-O-glucoside), gallotannins (e.g., glucogallin and pentagalloylglucose), and triterpenoids (e.g., masticadienoic acid). A 60-day feeding trial with four groups (control and three extract doses; 0.5%; T0.5%, 1%; T1% and 2%; T2%) demonstrated dose-dependent enhancements in growth metrics, where final body weight increased by up to 106.9 ± 3.6 g, weight gain% by 197.3 ± 3.5%, and the growth rate got more than doubled in T2% (2.4 ± 0.1), alongside improved feed conversion ratio (1.24 ± 0.01) at 30 days and condition factor (stabilized at 2.1 ± 0.0) at 60 days post-feeding. Viscero- and gastro-somatic indices declined insignificantly in most feed groups, indicating improved muscle growth. Biphasic patterns were observed in intestinal gene expression as follows: over 60 days, the IL-1β gene upregulated at low doses but returned to normal at high doses. The IL-10 gene upregulated progressively, promoting an anti-inflammatory balance. In fish fed medium and high doses (T1% and T2%), the IgM gene is upregulated, supporting humoral immunity. These outcomes, linked to the extract’s previously described antioxidants, anti-inflammatory, and antimicrobial bioactive compounds, suggest that S. terebinthifolius is a promising natural feed additive for sustainable tilapia aquaculture and warrants further validation for commercial application. Full article
Show Figures

Figure 1

17 pages, 1485 KB  
Article
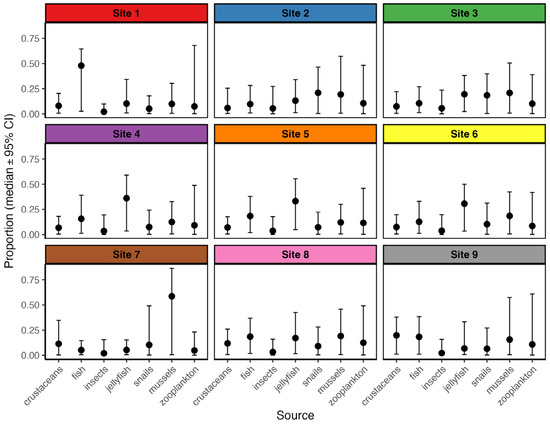
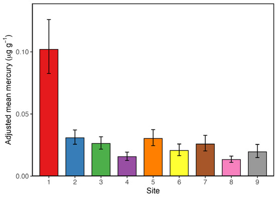
Trophic Niche Differentiation and Mercury Levels in Cyphotilapia frontosa and C. gibberosa Along the East Coast of Lake Tanganyika
by George D. Jackson, Christine H. Jackson and Asilatu H. Shechonge
Fishes 2026, 11(2), 106; https://doi.org/10.3390/fishes11020106 - 9 Feb 2026
Viewed by 694
Abstract
Diet, trophic niche, and mercury were examined for Cyphotilapia frontosa and C. gibberosa along the east coast of Lake Tanganyika, from northern Burundi to the southern region near the Zambian border. Mercury levels were generally low across populations, indicating that Lake Tanganyika is [...] Read more.
Diet, trophic niche, and mercury were examined for Cyphotilapia frontosa and C. gibberosa along the east coast of Lake Tanganyika, from northern Burundi to the southern region near the Zambian border. Mercury levels were generally low across populations, indicating that Lake Tanganyika is a low-mercury environment. However, fish from Burundi had significantly higher mercury concentrations (0.1 mg−kg) compared to all other sites, which showed mean mercury values less than 0.04 mg−kg. Diet analysis based on δ13C and δ15N revealed variation in both diet composition and trophic niche width along the lake. Four sites exhibited isotopic niche overlap with their adjacent location, forming two clusters of sites with similar trophic structure. In contrast, several other sites showed little to no overlap, indicating greater isotopic differentiation. Because detailed dietary information for Cyphotilapia is lacking, we selected nine prey groups and compiled their isotopic signatures from the literature for use in MixSIAR dietary analysis. The model indicated clear dietary differentiation among sites. Mussels, jellyfish, and fish were important dietary contributors, while zooplankton, snails, and crustaceans contributed moderately. Insects formed only a very small contribution to the diet. The relative importance of each prey group varied among sites, demonstrating differences in resource use along the lake. Full article
(This article belongs to the Special Issue Trophic Ecology of Freshwater and Marine Fish Species)
Show Figures

Figure 1

24 pages, 2634 KB  
Article
Different Colours, Different Outcomes: Tank Colour Shapes Larval Survival, Growth, and Endocrine Response in Cichlasoma dimerus
by Agustina C. Beriotto, María P. Di Yorio, Julieta E. Sallemi, Carlos A. Alvarez-González and Paula G. Vissio
Animals 2026, 16(3), 466; https://doi.org/10.3390/ani16030466 - 2 Feb 2026
Viewed by 1139
Abstract
Early environmental conditions play a critical role in shaping fish physiology and behaviour, with tank colour emerging as a relevant yet often overlooked factor in aquaculture and experimental research. This study investigated how rearing tank colour affects larval performance in the cichlid fish [...] Read more.
Early environmental conditions play a critical role in shaping fish physiology and behaviour, with tank colour emerging as a relevant yet often overlooked factor in aquaculture and experimental research. This study investigated how rearing tank colour affects larval performance in the cichlid fish Cichlasoma dimerus. Larvae were reared in white, light-blue, or grey tanks, and survival, growth, pigmentation, sex ratio, skeletal development, and the endocrine responses of somatolactin (Sl) and growth hormone (Gh) were evaluated. Survival was significantly lower in white tanks. Conversely, larvae reared in white tanks reached a higher final body weight, while total length showed a similar but non-significant trend. Gh-immunoreactive cells exhibited significantly larger nuclear areas in larvae reared in white tanks and a tendency toward smaller cytoplasmic areas compared with those from light-blue tanks. Melanophore number did not differ among treatments, whereas larvae from grey tanks showed a higher number of Sl-immunoreactive cells. Sex ratios tended to be female-biased in white tanks. Skeletal development did not differ among tank colours and followed the expected chondrogenesis and ossification sequence. Overall, tank colour influenced multiple aspects of larval development, particularly survival, growth, and endocrine responses, underscoring its relevance in fish rearing and experimental design. Full article
(This article belongs to the Special Issue Fish Nutrition, Physiology and Management: Second Edition)
Show Figures

Graphical abstract

19 pages, 505 KB  
Review
From Mammals to Zebrafish, via Cichlids: Advantages and Some Limits of Fish Models for Human Behavioral Pathologies
by Arianna Racca, Francesco Ciabattoni, Enrico Alleva and Daniela Santucci
Int. J. Transl. Med. 2026, 6(1), 8; https://doi.org/10.3390/ijtm6010008 - 30 Jan 2026
Viewed by 888
Abstract
Zebrafish (ZF) have gained increasing attention in developmental neuroscience due to their experimental tractability, favorable ethical profile, and translational value. However, the expanding use of the ZF model has also highlighted the need to consider species-specific differences in relation to early social and [...] Read more.
Zebrafish (ZF) have gained increasing attention in developmental neuroscience due to their experimental tractability, favorable ethical profile, and translational value. However, the expanding use of the ZF model has also highlighted the need to consider species-specific differences in relation to early social and emotional development. This review adopts a comparative and ethological perspective to examine early social interactions in ZF and mammals, integrating evidence from non-altricial vertebrates and teleost species with parental care (cichlids). Selected illustrative ZF papers were discussed, while Cichlids fish were chosen as a complementary, translationally consistent subject for developmental behavioral studies. The analysis focuses on developmental stages that are relevant for behavioral phenotyping in models of neuropsychiatric conditions. Zebrafish offer multiple methodological advantages, including suitability for high-throughput experimentation and substantial genetic and neurobiological homologies with humans. Nevertheless, the absence of mother–offspring bonding limits the modeling of neurodevelopmental processes shaped by early caregiving, such as imprinting and reciprocal regulatory interactions, instead observed in cichlids. Accumulating evidence indicates that early interactions among age-matched ZF are measurable, developmentally regulated, and sensitive to environmental and experimental manipulations. Within a comparative approach, these early conspecific interactions could be analogs of early social bonding observed in altricial mammals. Rather than representing a critical limitation, such species-specific features can inform the investigation of fundamental mechanisms of social development and support the complementary use of ZF and mammalian models. A contextualized and integrative approach may therefore enhance the translational relevance of ZF-based research, particularly for the study of neurodevelopmental disorders involving early social dysfunction. Full article
Show Figures

Figure 1

5 pages, 167 KB  
Review
Maylandia (Teleostei: Cichlidae) Remains a Nomen Nudum
by Adrianus F. Konings, Martin Geerts and Jay R. Stauffer
Taxonomy 2026, 6(1), 3; https://doi.org/10.3390/taxonomy6010003 - 3 Jan 2026
Viewed by 1252
Abstract
The debate of the validity of Maylandia vs. Metriaclima as a genus for a group of rock-dwelling cichlids (Pseudotropheus zebra complex) in Lake Malawi, Africa, has been argued for more than 25 years. Probably the most important requirement in describing new zoological [...] Read more.
The debate of the validity of Maylandia vs. Metriaclima as a genus for a group of rock-dwelling cichlids (Pseudotropheus zebra complex) in Lake Malawi, Africa, has been argued for more than 25 years. Probably the most important requirement in describing new zoological taxa is Article 13.1.1 of the International Code of Zoological Nomenclature (ICZN, 4th edition). We demonstrate that the description of Maylandia did not meet these requirements. Thus, we maintain that Maylandia remains a nomen nudum. Full article
10 pages, 5155 KB  
Protocol
Development of Primary Cell Cultures from Haplochromine Cichlid Bone-Derived Tissues
by Deepti Negi, Penelope M. Tsimbouri, Matthew J. Dalby and Kevin J. Parsons
Fishes 2025, 10(12), 636; https://doi.org/10.3390/fishes10120636 - 10 Dec 2025
Viewed by 446
Abstract
Bone is a dynamic tissue with ecological and evolutionary importance, as it can grow and remodel itself in response to mechanical stimuli. In mammals, osteocytes are widely recognised as the central regulators of bone formation and mechanotransduction. However, many advanced teleosts lack these [...] Read more.
Bone is a dynamic tissue with ecological and evolutionary importance, as it can grow and remodel itself in response to mechanical stimuli. In mammals, osteocytes are widely recognised as the central regulators of bone formation and mechanotransduction. However, many advanced teleosts lack these cells yet still exhibit evidence of bone formation and remodelling. This challenges the prevailing view that osteocytes are indispensable for these processes. Notably, these anosteocytic teleosts exhibit clear responses to mechanical loading, suggesting alternative mechanisms at play. African cichlids, known for their remarkable ecological diversification, which occurs in craniofacial bone morphology. However, these differences are based on very few genetic changes, while including interspecific variation in bone remodeling capacities. Thus, cichlid, being anosteocytic, and variable in remodeling abilities based on very few genetic changes, represents an ideal model system for understanding the mechanisms underlying remodeling. This protocol outlines the development of primary cell cultures from cichlid jaw bones that can be applied across species, establishing a foundation for future research aimed at elucidating the cellular and molecular mechanisms underlying bone formation and remodelling in anosteocytic systems. Full article
Show Figures

Figure 1

16 pages, 4153 KB  
Article
Transcriptomic Analysis Reveals Glycolysis and Gluconeogenesis Pathway Activation Underlying Growth Enhancement by Duck-Blood Protein Hydrolysate in Flowerhorn Cichlid Fish
by Pimpisut Manassila, Papungkorn Sangsawad, Surintorn Boonanuntanasarn, Jirawadee Kaewda, Pakpoom Boonchuen, Sirawich Limkul and Chatsirin Nakharuthai
Int. J. Mol. Sci. 2025, 26(19), 9563; https://doi.org/10.3390/ijms26199563 - 30 Sep 2025
Viewed by 992
Abstract
Protein hydrolysates have potential as sustainable functional feed ingredients or additives for the aquaculture industry. This study examined the growth-promoting effects of duck-blood protein hydrolysate (DBPH, <10 kDa) on the flowerhorn cichlid (Amphilophus citrinellus × Cichlasoma trimaculatum). Fish with an average [...] Read more.
Protein hydrolysates have potential as sustainable functional feed ingredients or additives for the aquaculture industry. This study examined the growth-promoting effects of duck-blood protein hydrolysate (DBPH, <10 kDa) on the flowerhorn cichlid (Amphilophus citrinellus × Cichlasoma trimaculatum). Fish with an average weight of 3.24 ± 0.22 g were randomly assigned to four dietary treatments: a negative control (basal diet) and basal diets supplemented with 0.5%, 1%, and 2% DBPH. After 90 days of the feeding trial, growth parameters indicated that supplementation with 1% and 2% DBPH enhanced growth. However, the muscle composition and skin coloration did not differ significantly. Transcriptome sequencing of the liver tissue yielded 39.83 GB of high-quality clean data. De novo transcriptome assembly identified 32,824 unigenes, of which 21,385 were successfully annotated based on public databases. Differential expression analysis identified 269 upregulated and 232 downregulated genes. To clarify the growth-promoting effects of DBPH, five glycolysis/gluconeogenesis-related genes (tpi, gapdh, pck1, ldh, and adh) were validated by liver qRT-PCR, and the results were consistent with those of the transcriptomic analysis. These findings provide new insights into the mechanisms by which DBPH supplementation could enhance growth, as evidenced by alterations in glycolysis and gluconeogenesis pathways, indicating potential as a novel feed additive in aquaculture. Full article
(This article belongs to the Section Molecular Biology)
Show Figures

Graphical abstract

17 pages, 2176 KB  
Communication
Gut Microbiome Analysis Reveals Core Microbiota Variation Among Allopatric Populations of the Commercially Important Euryhaline Cichlid Etroplus suratensis
by Jilu Alphonsa Jose, Anoop Alex and Siby Philip
Microbiol. Res. 2025, 16(10), 210; https://doi.org/10.3390/microbiolres16100210 - 23 Sep 2025
Cited by 4 | Viewed by 2883
Abstract
The gut microbiome plays a critical role in host physiology and adaptation, shaped by both intrinsic host factors and extrinsic environmental conditions. In this study, we investigated the influence of habitat type and geographical isolation on gut microbial communities in habitat-isolated populations of [...] Read more.
The gut microbiome plays a critical role in host physiology and adaptation, shaped by both intrinsic host factors and extrinsic environmental conditions. In this study, we investigated the influence of habitat type and geographical isolation on gut microbial communities in habitat-isolated populations of the euryhaline cichlid Etroplus suratensis, which inhabit freshwater and brackish water environments. Using 16S rRNA gene amplicon sequencing, we compared microbial assemblages in fish guts and their corresponding habitats to assess patterns of community divergence. Alpha and beta diversity analyses revealed significant differences in microbial composition between gut and water samples, with limited overlap, particularly in brackish water, indicating strong host-mediated filtering of environmental microbiota. Notably, brackish and freshwater habitats harbored 2244 and 3136 unique water-associated taxa, respectively, while only 36 and 426 taxa were shared between water and gut in each habitat. Despite habitat divergence, 59 microbial taxa were consistently shared across gut samples from both populations, indicating the existence of a conserved core microbiome that likely fulfills essential functional roles. These findings support the notion that the fish gut serves as a selective ecological niche, enabling the persistence of functionally relevant microbes while restricting the entry of environmental transients. Moreover, the observed divergence in gut microbiota across habitats, coupled with a shared core, highlights the interplay between local adaptation and conserved host–microbe associations, with potential implications for understanding microbial contributions to vertebrate ecological diversification and allopatric speciation. Full article
Show Figures

Figure 1

14 pages, 821 KB  
Article
Eat First, Fight Later: Competitive Advantage of an Invasive Cichlid over a Native Competitor for Food Resources
by Leonardo Cirillo, Caio A. Miyai, Fábio H. C. Sanches, Alexandre L. Arvigo and Tânia M. Costa
Fishes 2025, 10(7), 340; https://doi.org/10.3390/fishes10070340 - 10 Jul 2025
Viewed by 1085
Abstract
Competition for resources with invasive species can negatively impact native fauna. Invasive species often exhibit higher aggressiveness and monopolize resources through behavioral interference. However, their feeding behavior also plays a central role in invasion success. We investigated how food resource availability influences agonistic [...] Read more.
Competition for resources with invasive species can negatively impact native fauna. Invasive species often exhibit higher aggressiveness and monopolize resources through behavioral interference. However, their feeding behavior also plays a central role in invasion success. We investigated how food resource availability influences agonistic interactions between the invasive cichlid Oreochromis niloticus and the native cichlid Geophagus iporangensis. Specifically, we assessed whether the invasive species interferes with the native species’ feeding behavior. Using neutral arenas, we staged competition trials under two conditions: initially without food and subsequently with food present. The native species served as the focal animal and was exposed to either a conspecific or an invasive competitor. Results showed that native species aggressiveness toward the invasive competitor was three times higher in the absence of food. Although O. niloticus was 1.6 times more aggressive than conspecifics, its presence did not affect the native species’ feeding rate, and no behavioral interference was observed. Instead, the invasive species relied primarily on scramble competition, initiating nine of ten trials and consuming seven times more food than the native cichlid. Our findings suggest that, beyond aggression, feeding behavior and resource exploitation are key mechanisms driving competitive exclusion by invasive species. Full article
(This article belongs to the Special Issue Behavioral Ecology of Fishes)
Show Figures

Figure 1

16 pages, 1651 KB  
Article
Effect of Magnetic Fields on the Development of the Larvae of the Jaguar Cichlid (Parachromis managuensis, Günther, 1867) and the Green Terror (Andinoacara rivulatus, Günther, 1860)
by Radosław Piesiewicz, Agata Korzelecka-Orkisz and Krzysztof Formicki
Animals 2025, 15(13), 1824; https://doi.org/10.3390/ani15131824 - 20 Jun 2025
Cited by 2 | Viewed by 761
Abstract
This article has examined the effects of magnetic fields with intensities of 1 mT, 3 mT, and 5 mT on two species of cichlid fish (family Cichlidae). This study focused specifically on assessing the influence of these magnetic fields on larval development, the [...] Read more.
This article has examined the effects of magnetic fields with intensities of 1 mT, 3 mT, and 5 mT on two species of cichlid fish (family Cichlidae). This study focused specifically on assessing the influence of these magnetic fields on larval development, the survival rate, and the occurrence of deformities in the larvae of the jaguar cichlid (Parachromis managuensis) and the green terror (Andinoacara rivulatus). The analysis of the study results indicates that the effects of magnetic field exposure depend both on its intensity and on the fish species being studied. Magnetic fields, depending on the applied intensity, can influence changes in body size as well as the size of the yolk sac. In jaguar cichlid larvae, increased survival was observed in the groups exposed to the magnetic field; however, this was accompanied by a higher number of deformities compared with the control group. In the case of the green terror, the highest survival rates were recorded in the control group and in the group exposed to a magnetic field of 3 mT, while increased numbers of deformities were also noted in the exposed groups. The obtained results may be of significant importance for ornamental fish aquaculture, where appropriately selected magnetic field parameters could support larval growth and survival, reducing losses in breeding. Full article
(This article belongs to the Section Aquatic Animals)
Show Figures

Figure 1

9 pages, 1340 KB  
Article
Defense Limitations of Single Parents in the Biparental Convict Cichlid Fish: A Field Study
by Layla Al-Shaer, Brandon Baumann and Murray Itzkowitz
Hydrobiology 2025, 4(2), 14; https://doi.org/10.3390/hydrobiology4020014 - 21 May 2025
Viewed by 1214
Abstract
A field study on the biparental convict cichlids (Amatitlania siquia) in Lake Xiloá, Nicaragua was conducted to understand how the loss of a parent’s parental care affects the antipredator behavior of both parents and offspring during intruder events. We hypothesized that [...] Read more.
A field study on the biparental convict cichlids (Amatitlania siquia) in Lake Xiloá, Nicaragua was conducted to understand how the loss of a parent’s parental care affects the antipredator behavior of both parents and offspring during intruder events. We hypothesized that the combined efforts of two parents would result in increased intruder aggression and decreased offspring dispersion compared to single-parents of either sex, and that single-females and males would differ in their ability to deter predators and manage offspring dispersion. Both parents in a pair chased half the intruders that single-females did and the same number as single-males, suggesting that the presence of a partner deters intruders from encroaching and affords parents more time to engage in other parental care duties. Compared to single-parents, offspring accompanied by both parents were seldom left alone and showed greater shoal cohesion—both of which would presumably lower their risk of predation. Although there were sex differences between single-parents in terms of how often they left their offspring unattended and called to them using pelvic fin-flicks, neither sex was found to be more effective at managing the distribution of their offspring. This field study provides empirical evidence to support the need for biparental care in this species and gives insight into the selection pressures shaping parental investment. Full article
Show Figures

Figure 1

17 pages, 1009 KB  
Article
The Physiological Benefits and Economic Value of Using Fairy Shrimp as Fish Meal for Flowerhorn Cichlids; Amphilophus citrinellus (Günther, 1864) × Cichlasoma trimaculatum (Günther, 1867)
by Ploychompoo Weber, Supranee Wigraiboon, Nantaporn Sutthi, Pattira Kasamesiri and Wipavee Thaimuangphol
Fishes 2025, 10(3), 132; https://doi.org/10.3390/fishes10030132 - 18 Mar 2025
Cited by 3 | Viewed by 2102
Abstract
The aim of this study was to evaluate the utilization of fairy shrimp (Branchinella thailandensis) meal in the diets of flowerhorn cichlids, on their growth, skin coloration, carotenoid content, antioxidant activity, and innate immunity. The fish were fed diets incorporated with [...] Read more.
The aim of this study was to evaluate the utilization of fairy shrimp (Branchinella thailandensis) meal in the diets of flowerhorn cichlids, on their growth, skin coloration, carotenoid content, antioxidant activity, and innate immunity. The fish were fed diets incorporated with fairy shrimp meal at 0% (control; FS0), 10% (FS10), 20% (FS20), and 30% (FS30) for 60 days. The results showed that growth performance and chemical composition were not significantly different among treatments (p > 0.05), whereas fish fed the 30% fairy shrimp meal (FS30) diet represented significantly enhanced skin coloration, particularly in terms of redness (a*) and dominant wavelength (H°ab). The highest level of antioxidant enzymes and non-specific immune enzymes such as SOD and lysozyme were observed in the fish fed the FS30 diet. Meanwhile, increasing fairy shrimp meal significantly reduced the liver function markers (ALT and AST), and decreased lipid peroxidation. These findings suggest that fairy shrimp meal serves as a valuable dietary ingredient for enhancing skin pigmentation, boosting antioxidant defense, and stimulating immune responses in flowerhorn cichlids. Moreover, the economic evaluation of using fairy shrimp meal as an ingredient for ornamental fish demonstrates promising investment potential, supporting its application in commercial aquaculture. Full article
(This article belongs to the Section Physiology and Biochemistry)
Show Figures

Figure 1

16 pages, 1061 KB  
Communication
Negative Selection in Oreochromis niloticus × O. aureus Hybrids Indicates Incompatible Oxidative Phosphorylation (OXPHOS) Proteins
by Andrey Shirak, Arie Yehuda Curzon, Eyal Seroussi and Moran Gershoni
Int. J. Mol. Sci. 2025, 26(5), 2089; https://doi.org/10.3390/ijms26052089 - 27 Feb 2025
Viewed by 1373
Abstract
Crossing Oreochromis niloticus (On) females with O. aureus (Oa) males results in all-male progeny that are essential for effective tilapia aquaculture. However, a reproductive barrier between these species prevents commercial-scale yield. To achieve all-male progeny, the currently used practice [...] Read more.
Crossing Oreochromis niloticus (On) females with O. aureus (Oa) males results in all-male progeny that are essential for effective tilapia aquaculture. However, a reproductive barrier between these species prevents commercial-scale yield. To achieve all-male progeny, the currently used practice is crossing admixed stocks and feeding fry with synthetic androgens. Hybrid tilapias escaping to the wild might impact natural populations. Hybrids competing with wild populations undergo selection for different stressors, e.g., oxygen levels, salinity, and low-temperature tolerance. Forming mitochondrial oxidative phosphorylation (OXPHOS) complexes, mitochondrial (mtDNA) and nuclear DNA (nDNA)-encoded proteins control energy production. Crossbred tilapia have been recorded over 60 years, providing an excellent model for assessing incompatibility between OXPHOS proteins, which are critical for the adaptation of these hybrids. Here, by comparing nonconserved amino acid substitutions, across 116 OXPHOS proteins, between On and Oa, we developed a panel of 13 species-specific probes. Screening 162 SRA experiments, we noted that 39.5% had a hybrid origin with mtDNA-nDNA allele mismatches. Observing that the frequency of interspecific mtDNA-nDNA allele combinations was significantly (p < 10−4) lower than expected for three factors, UQCRC2, ATP5C1, and COX4B, we concluded that these findings likely indicated negative selection, cytonuclear incompatibility, and a reproductive barrier. Full article
Show Figures

Figure 1

16 pages, 3010 KB  
Article
Population Genetics and Gene Flow in Cyphotilapia frontosa and Cyphotilapia gibberosa Along the East Coast of Lake Tanganyika
by George D. Jackson, Timothy Standish, Ortaç Çetintaş, Oleksandr Zinenko, Asilatu H. Shechonge and Alexey Yanchukov
Fishes 2024, 9(12), 481; https://doi.org/10.3390/fishes9120481 - 26 Nov 2024
Cited by 1 | Viewed by 3500
Abstract
The radiation of cichlid species in the East African Great Lakes is remarkable and rapid. The population genetics of two deep-water Cyphotilapia species along the east coast of Lake Tanganyika from Burundi to southern Tanzania was determined using ddRAD-seq. A combination of ADMIXTURE, [...] Read more.
The radiation of cichlid species in the East African Great Lakes is remarkable and rapid. The population genetics of two deep-water Cyphotilapia species along the east coast of Lake Tanganyika from Burundi to southern Tanzania was determined using ddRAD-seq. A combination of ADMIXTURE, PCA, genome polarization, and 2D site frequency spectrum analyses confirmed the presence of two species, C. frontosa in the north and C. gibberosa in the south, as documented in other studies. We also found evidence of a potential hybrid zone connecting the two species at a sharp genetic cline centered in the middle of the lake and apparent introgression in both directions, but predominantly from ‘gibberosa’ into ‘frontosa’. The highest proportion of introgressed ‘gibberosa’ ancestry was present in the southernmost populations of C. frontosa collected near Karilani Island and Cape Kabogo. At the intra-specific level, there was support for between 1 and 3 populations of C. frontosa, whereas the results indicated only a single homogeneous population of C. gibberosa. The presence of different morphs in the lake despite the low levels of heterozygosity suggests that a small number of loci may be involved in the morphological variation and/or that there is a more complex interplay between genetics and the environment in different locations. Full article
Show Figures

Graphical abstract

Back to TopTop