Gut Microbiome Analysis Reveals Core Microbiota Variation Among Allopatric Populations of the Commercially Important Euryhaline Cichlid Etroplus suratensis
Abstract
1. Introduction
2. Materials and Methods
2.1. Sample Collection
2.2. DNA Extraction and Sequencing
2.3. Bioinformatic and Statistical Analysis
3. Results
3.1. Taxon Composition
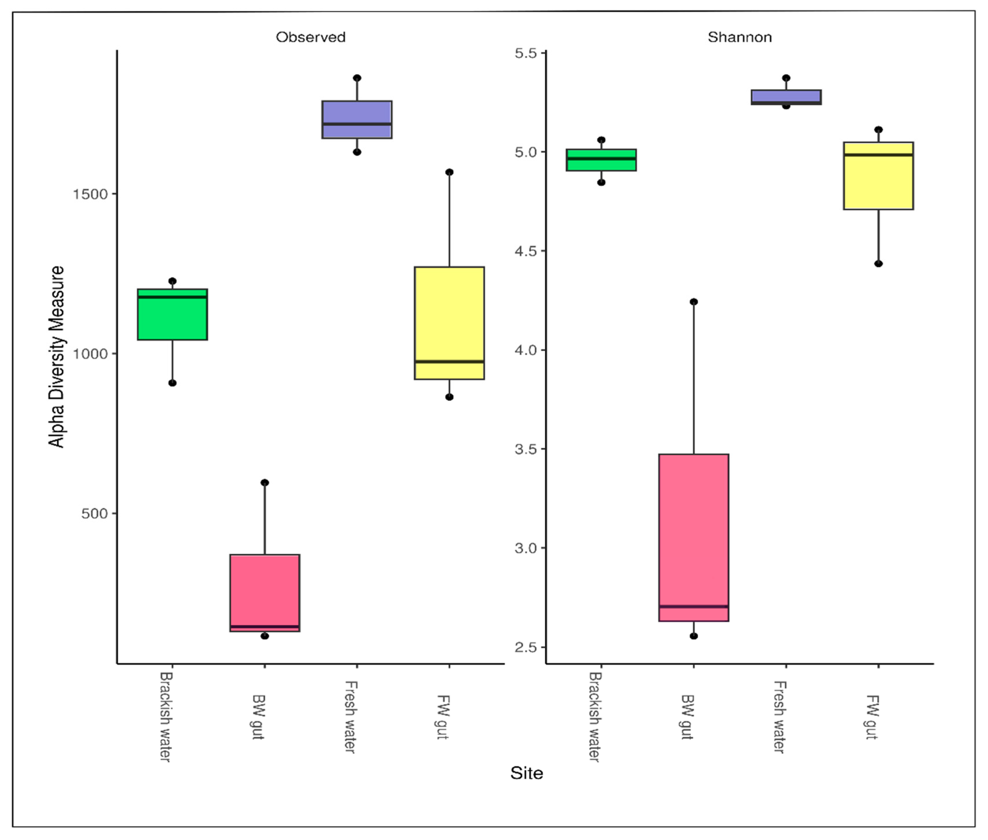
3.2. Alpha Diversity
3.3. Beta Diversity
4. Discussion
4.1. Habitat-Driven Divergence and Gut Microbiome Differentiation in Allopatric Populations of Etroplus suratensis
4.1.1. Distinct Microbial Profiles in Gut and Water Samples
4.1.2. Microbial Community Structure Across Habitats
4.1.3. Selective Filtering and Taxonomic Differentiation of Gut and Water Microbiota
5. Conclusions
Supplementary Materials
Author Contributions
Funding
Data Availability Statement
Acknowledgments
Conflicts of Interest
References
- Sullam, K.E.; Essinger, S.D.; Lozupone, C.A.; O’Connor, M.P.; Rosen, G.L.; Knight, R.; Kilham, S.S.; Russell, J.A. Environmental and Ecological Factors That Shape the Gut Bacterial Communities of Fish: A Meta-Analysis. Mol. Ecol. 2012, 21, 3363–3378. [Google Scholar] [CrossRef] [PubMed]
- Colston, T.J.; Jackson, C.R. Microbiome Evolution along Divergent Branches of the Vertebrate Tree of Life: What Is Known and Unknown. Mol. Ecol. 2016, 25, 3776–3800. [Google Scholar] [CrossRef]
- Miller, A.K.; Westlake, C.S.; Cross, K.L.; Leigh, B.A.; Bordenstein, S.R. The Microbiome Impacts Host Hybridization and Speciation. PLoS Biol. 2021, 19, e3001417. [Google Scholar] [CrossRef] [PubMed]
- Ghanbari, M.; Kneifel, W.; Domig, K.J. A New View of the Fish Gut Microbiome: Advances from next-Generation Sequencing. Aquaculture 2015, 448, 464–475. [Google Scholar] [CrossRef]
- Egerton, S.; Culloty, S.; Whooley, J.; Stanton, C.; Ross, R.P. The Gut Microbiota of Marine Fish. Front. Microbiol. 2018, 9, 873. [Google Scholar] [CrossRef]
- Kim, P.S.; Shin, N.-R.; Lee, J.-B.; Kim, M.-S.; Whon, T.W.; Hyun, D.-W.; Yun, J.-H.; Jung, M.-J.; Kim, J.Y.; Bae, J.-W. Host Habitat Is the Major Determinant of the Gut Microbiome of Fish. Microbiome 2021, 9, 166. [Google Scholar] [CrossRef]
- Wong, S.; Rawls, J. Intestinal Microbiota Composition in Fishes Is Influenced by Host Ecology and Environment. Mol. Ecol. 2012, 21, 3100–3102. [Google Scholar] [CrossRef]
- Morshed, S.M.; Chen, Y.-Y.; Lin, C.-H.; Chen, Y.-P.; Lee, T.-H. Freshwater Transfer Affected Intestinal Microbiota with Correlation to Cytokine Gene Expression in Asian Sea Bass. Front. Microbiol. 2023, 14, 1097954. [Google Scholar] [CrossRef]
- Smith, C.C.R.; Snowberg, L.K.; Gregory Caporaso, J.; Knight, R.; Bolnick, D.I. Dietary Input of Microbes and Host Genetic Variation Shape Among-Population Differences in Stickleback Gut Microbiota. ISME J. 2015, 9, 2515–2526. [Google Scholar] [CrossRef]
- Ma, L.; Hahn, M.E.; Karchner, S.I.; Nacci, D.; Clark, B.W.; Apprill, A. Environmental and Population Influences on Mummichog (Fundulus Heteroclitus) Gut Microbiomes. Microbiol. Spectr. 2025, 13, e0094724. [Google Scholar] [CrossRef] [PubMed]
- Bindu, L.; Padmakumar, K. Reproductive Biology of Etroplus Suratensis (Bloch) from the Vembanad Wetland System, Kerala. Available online: https://www.semanticscholar.org/paper/Reproductive-biology-of-Etroplus-suratensis-(Bloch)-Bindu-Padmakumar/2bb4ceec1d3063e3026edf9e1718f9317f88f1a9 (accessed on 10 March 2025).
- George, A.I.; Sebastian, M.J. Review of the Backwater Fisheries and Brackishwater Fish Culture in Kerala State. In Proceedings of the Symposium on Coastal Aquaculture, Bangkok, Thailand, 18–21 November 1970; Report No. FIIPFC/C70/SYM. 19. 12p. [Google Scholar]
- Caporaso, J.G.; Lauber, C.L.; Walters, W.A.; Berg-Lyons, D.; Lozupone, C.A.; Turnbaugh, P.J.; Fierer, N.; Knight, R. Global Patterns of 16S rRNA Diversity at a Depth of Millions of Sequences per Sample. Proc. Natl. Acad. Sci. USA 2011, 108, 4516–4522. [Google Scholar] [CrossRef]
- Klindworth, A.; Pruesse, E.; Schweer, T.; Peplies, J.; Quast, C.; Horn, M.; Glöckner, F.O. Evaluation of General 16S Ribosomal RNA Gene PCR Primers for Classical and Next-Generation Sequencing-Based Diversity Studies. Nucleic Acids Res. 2013, 41, e1. [Google Scholar] [CrossRef] [PubMed]
- Schloss, P.D.; Handelsman, J. Introducing DOTUR, a Computer Program for Defining Operational Taxonomic Units and Estimating Species Richness. Appl. Environ. Microbiol. 2005, 71, 1501–1506. [Google Scholar] [CrossRef]
- Goodrich, J.K.; Di Rienzi, S.C.; Poole, A.C.; Koren, O.; Walters, W.A.; Caporaso, J.G.; Knight, R.; Ley, R.E. Conducting a Microbiome Study. Cell 2014, 158, 250–262. [Google Scholar] [CrossRef]
- Herlemann, D.P.; Labrenz, M.; Jürgens, K.; Bertilsson, S.; Waniek, J.J.; Andersson, A.F. Transitions in Bacterial Communities along the 2000 Km Salinity Gradient of the Baltic Sea. ISME J. 2011, 5, 1571–1579. [Google Scholar] [CrossRef]
- Bolyen, E.; Rideout, J.R.; Dillon, M.R.; Bokulich, N.A.; Abnet, C.C.; Al-Ghalith, G.A.; Alexander, H.; Alm, E.J.; Arumugam, M.; Asnicar, F.; et al. Reproducible, Interactive, Scalable and Extensible Microbiome Data Science Using QIIME 2. Nat. Biotechnol. 2019, 37, 852–857. [Google Scholar] [CrossRef]
- Callahan, B.J.; McMurdie, P.J.; Rosen, M.J.; Han, A.W.; Johnson, A.J.A.; Holmes, S.P. DADA2: High-Resolution Sample Inference from Illumina Amplicon Data. Nat. Methods 2016, 13, 581–583. [Google Scholar] [CrossRef]
- Quast, C.; Pruesse, E.; Yilmaz, P.; Gerken, J.; Schweer, T.; Yarza, P.; Peplies, J.; Glöckner, F.O. The SILVA Ribosomal RNA Gene Database Project: Improved Data Processing and Web-Based Tools. Nucleic Acids Res. 2013, 41, D590–D596. [Google Scholar] [CrossRef] [PubMed]
- Robeson II, M.S.; O’Rourke, D.R.; Kaehler, B.D.; Ziemski, M.; Dillon, M.R.; Foster, J.T.; Bokulich, N.A. RESCRIPt: Reproducible Sequence Taxonomy Reference Database Management. PLoS Comput. Biol. 2021, 17, e1009581. [Google Scholar] [CrossRef] [PubMed]
- Hussain, U.; Downie, J.; Ellison, A.; Denman, S.; McDonald, J.; Cambon, M.C. Peptide Nucleic Acid (PNA) Clamps Reduce Amplification of Host Chloroplast and Mitochondria rRNA Gene Sequences and Increase Detected Diversity in 16S rRNA Gene Profiling Analysis of Oak-Associated Microbiota. Environ. Microbiome 2025, 20, 14. [Google Scholar] [CrossRef]
- Tierney, L. The R Statistical Computing Environment. In Statistical Challenges in Modern Astronomy V. Lecture Notes in Statistics; Feigelson, E., Babu, G., Eds.; Springer: New York, NY, USA, 2012; Volume 902, pp. 435–447. [Google Scholar]
- Wijaya, V.; Kurniawan, S.J.; Kaisar, M.M.M. Systematic Review and Meta-Analysis Protocol: Diagnostic Accuracy Assessment for Soil-Transmitted Helminth Using Microscopy and Molecular-Based Methods. Methods X 2024, 13, 102993. [Google Scholar] [CrossRef]
- McMurdie, P.J.; Holmes, S. Phyloseq: An R Package for Reproducible Interactive Analysis and Graphics of Microbiome Census Data. PLoS ONE 2013, 8, e61217. [Google Scholar] [CrossRef]
- Love, M.I.; Huber, W.; Anders, S. Moderated Estimation of Fold Change and Dispersion for RNA-Seq Data with DESeq2. Genome Biol. 2014, 15, 550. [Google Scholar] [CrossRef]
- Lin, H.; Peddada, S.D. Analysis of Compositions of Microbiomes with Bias Correction. Nat. Commun. 2020, 11, 3514. [Google Scholar] [CrossRef] [PubMed]
- Conway, J.R.; Lex, A.; Gehlenborg, N. UpSetR: An R Package for the Visualization of Intersecting Sets and Their Properties. Bioinformatics 2017, 33, 2938–2940. [Google Scholar] [CrossRef] [PubMed]
- Gu, Z.; Eils, R.; Schlesner, M. Complex Heatmaps Reveal Patterns and Correlations in Multidimensional Genomic Data. Bioinformatics 2016, 32, 2847–2849. [Google Scholar] [CrossRef]
- Fukuyama, J.; McMurdie, P.J.; Dethlefsen, L.; Relman, D.A.; Holmes, S. Comparisons of Distance Methods for Combining Covariates and Abundances in Microbiome Studies. Pac. Symp. Biocomput. 2012, 17, 213–224. [Google Scholar] [CrossRef]
- Pavoine, S.; Dufour, A.-B.; Chessel, D. From Dissimilarities among Species to Dissimilarities among Communities: A Double Principal Coordinate Analysis. J. Theor. Biol. 2004, 228, 523–537. [Google Scholar] [CrossRef]
- Giatsis, C.; Sipkema, D.; Smidt, H.; Heilig, H.; Benvenuti, G.; Verreth, J.; Verdegem, M. The Impact of Rearing Environment on the Development of Gut Microbiota in Tilapia Larvae. Sci. Rep. 2015, 5, 18206. [Google Scholar] [CrossRef]
- Yan, Q.; Li, J.; Yu, Y.; Wang, J.; He, Z.; Van Nostrand, J.D.; Kempher, M.L.; Wu, L.; Wang, Y.; Liao, L.; et al. Environmental Filtering Decreases with Fish Development for the Assembly of Gut Microbiota. Environ. Microbiol. 2016, 18, 4739–4754. [Google Scholar] [CrossRef]
- Ye, L.; Amberg, J.; Chapman, D.; Gaikowski, M.; Liu, W.-T. Fish Gut Microbiota Analysis Differentiates Physiology and Behavior of Invasive Asian Carp and Indigenous American Fish. ISME J. 2013, 8, 541. [Google Scholar] [CrossRef]
- Gurry, T.; Nguyen, L.T.T.; Yu, X.; Alm, E.J. Functional Heterogeneity in the Fermentation Capabilities of the Healthy Human Gut Microbiota. PLoS ONE 2021, 16, e0254004. [Google Scholar] [CrossRef]
- Vandeputte, D.; De Commer, L.; Tito, R.Y.; Kathagen, G.; Sabino, J.; Vermeire, S.; Faust, K.; Raes, J. Temporal Variability in Quantitative Human Gut Microbiome Profiles and Implications for Clinical Research. Nat. Commun. 2021, 12, 6740. [Google Scholar] [CrossRef]
- Llewellyn, M.S.; Boutin, S.; Hoseinifar, S.H.; Derome, N. Teleost Microbiomes: The State of the Art in Their Characterization, Manipulation and Importance in Aquaculture and Fisheries. Front. Microbiol. 2014, 5, 207. [Google Scholar] [CrossRef]
- Baldo, L.; Riera, J.L.; Mitsi, K.; Pretus, J.L. Processes Shaping Gut Microbiota Diversity in Allopatric Populations of the Endemic Lizard Podarcis Lilfordi from Menorcan Islets (Balearic Islands). FEMS Microbiol. Ecol. 2018, 94, fix186. [Google Scholar] [CrossRef]
- Sun, F.; Wang, Y.; Wang, C.; Zhang, L.; Tu, K.; Zheng, Z. Insights into the Intestinal Microbiota of Several Aquatic Organisms and Association with the Surrounding Environment. Aquaculture 2019, 507, 196–202. [Google Scholar] [CrossRef]
- Dulski, T.; Kujawa, R.; Godzieba, M.; Ciesielski, S. Effect of Salinity on the Gut Microbiome of Pike Fry (Esox Lucius). Appl. Sci. 2020, 10, 2506. [Google Scholar] [CrossRef]
- Fietz, K.; Rye Hintze, C.O.; Skovrind, M.; Kjærgaard Nielsen, T.; Limborg, M.T.; Krag, M.A.; Palsbøll, P.J.; Hestbjerg Hansen, L.; Rask Møller, P.; Gilbert, M.T.P. Mind the Gut: Genomic Insights to Population Divergence and Gut Microbial Composition of Two Marine Keystone Species. Microbiome 2018, 6, 82. [Google Scholar] [CrossRef] [PubMed]
- Hieu, D.Q.; Hang, B.T.B.; Lokesh, J.; Garigliany, M.-M.; Huong, D.T.T.; Yen, D.T.; Liem, P.T.; Tam, B.M.; Hai, D.M.; Son, V.N.; et al. Salinity Significantly Affects Intestinal Microbiota and Gene Expression in Striped Catfish Juveniles. Appl. Microbiol. Biotechnol. 2022, 106, 3245–3264. [Google Scholar] [CrossRef] [PubMed]
- Lai, K.P.; Lin, X.; Tam, N.; Ho, J.C.H.; Wong, M.K.-S.; Gu, J.; Chan, T.F.; Tse, W.K.F. Osmotic Stress Induces Gut Microbiota Community Shift in Fish. Environ. Microbiol. 2020, 22, 3784–3802. [Google Scholar] [CrossRef]
- Butt, R.L.; Volkoff, H. Gut Microbiota and Energy Homeostasis in Fish. Front. Endocrinol. 2019, 10, 9. [Google Scholar] [CrossRef]
- Kelly, C.; Salinas, I. Under Pressure: Interactions between Commensal Microbiota and the Teleost Immune System. Front. Immunol. 2017, 8, 271125. [Google Scholar] [CrossRef]
- Kohl, K.D.; Varner, J.; Wilkening, J.L.; Dearing, M.D. Gut Microbial Communities of American Pikas (Ochotona Princeps): Evidence for Phylosymbiosis and Adaptations to Novel Diets. J. Anim. Ecol. 2018, 87, 323–330. [Google Scholar] [CrossRef]
- Gustafsson, B.E.; Vitamin, K. Deficiency in Germfree Rats. Ann. N. Y. Acad. Sci. 1959, 78, 166–174. [Google Scholar] [CrossRef]
- Smith, K.; McCoy, K.D.; Macpherson, A.J. Use of Axenic Animals in Studying the Adaptation of Mammals to Their Commensal Intestinal Microbiota. Semin. Immunol. 2007, 19, 59–69. [Google Scholar] [CrossRef] [PubMed]
- Sommer, F.; Bäckhed, F. The Gut Microbiota—Masters of Host Development and Physiology. Nat. Rev. Microbiol. 2013, 11, 227–238. [Google Scholar] [CrossRef]
- Reinhart, E.M.; Korry, B.J.; Rowan-Nash, A.D.; Belenky, P. Defining the Distinct Skin and Gut Microbiomes of the Northern Pike (Esox Lucius). Front. Microbiol. 2019, 10, 2118. [Google Scholar] [CrossRef] [PubMed]
- Koll, R.; Hauten, E.; Theilen, J.; Bang, C.; Bouchard, M.; Thiel, R.; Möllmann, C.; Woodhouse, J.N.; Fabrizius, A. Spatio-Temporal Plasticity of Gill Microbiota in Estuarine Fish. Sci. Total Environ. 2024, 957, 177505. [Google Scholar] [CrossRef] [PubMed]
- Qi, X.; Zhang, Y.; Zhang, Y.; Luo, F.; Song, K.; Wang, G.; Ling, F. Vitamin B12 Produced by Cetobacterium Somerae Improves Host Resistance against Pathogen Infection through Strengthening the Interactions within Gut Microbiota. Microbiome 2023, 11, 135. [Google Scholar] [CrossRef]
- Bu, X.; Li, Z.; Zhao, W.; Zeng, Q.; Chen, Y.; Li, W.; Zou, H.; Li, M.; Wang, G. Alterations of Gut Microbiota and Short-Chain Fatty Acids Induced by Balantidium Polyvacuolum in the Hindgut of Xenocyprinae Fishes Providing New Insights into the Relationship among Protozoa, Gut Microbiota and Host. Front. Microbiol. 2023, 14, 1295456. [Google Scholar] [CrossRef]
- Santos, R.A.; Oliva-Teles, A.; Pousão-Ferreira, P.; Jerusik, R.; Saavedra, M.J.; Enes, P.; Serra, C.R. Isolation and Characterization of Fish-Gut Bacillus Spp. as Source of Natural Antimicrobial Compounds to Fight Aquaculture Bacterial Diseases. Mar. Biotechnol. 2021, 23, 276–293. [Google Scholar] [CrossRef]
- Lilli, G.; Sirot, C.; Campbell, H.; Hermand, F.; Brophy, D.; Flot, J.-F.; Graham, C.T.; George, I.F. Do Fish Gut Microbiotas Vary across Spatial Scales? A Case Study of Diplodus Vulgaris in the Mediterranean Sea. Anim. Microbiome 2024, 6, 32. [Google Scholar] [CrossRef] [PubMed]
- Xing, M.; Hou, Z.; Yuan, J.; Liu, Y.; Qu, Y.; Liu, B. Taxonomic and Functional Metagenomic Profiling of Gastrointestinal Tract Microbiome of the Farmed Adult Turbot (Scophthalmus Maximus). FEMS Microbiol. Ecol. 2013, 86, 432–443. [Google Scholar] [CrossRef] [PubMed]
- Sannino, D.R.; Arroyo, F.A.; Pepe-Ranney, C.; Chen, W.; Volland, J.-M.; Elisabeth, N.H.; Angert, E.R. The Exceptional Form and Function of the Giant Bacterium Ca. Epulopiscium Viviparus Revolves around Its Sodium Motive Force. Proc. Natl. Acad. Sci. USA 2023, 120, e2306160120. [Google Scholar] [CrossRef]
- Talwar, C.; Nagar, S.; Lal, R.; Negi, R.K. Fish Gut Microbiome: Current Approaches and Future Perspectives. Indian J. Microbiol. 2018, 58, 397–414. [Google Scholar] [CrossRef] [PubMed]
- Ma, K.-J.; Ye, Y.-L.; Li, Y.-K.; Fu, G.-Y.; Wu, Y.-H.; Sun, C.; Xu, X.-W. Polysaccharide Metabolic Pattern of Cytophagales and Flavobacteriales: A Comprehensive Genomics Approach. Front. Mar. Sci. 2025, 12, 1551618. [Google Scholar] [CrossRef]
- Jlidi, M.; Akremi, I.; Ibrahim, A.H.; Brabra, W.; Ali, M.B.; Ali, M.B. Probiotic Properties of Bacillus Strains Isolated from the Gastrointestinal Tract against Pathogenic Vibriosis. Front. Mar. Sci. 2022, 9, 884244. [Google Scholar] [CrossRef]
- Balcazar, J.; Blas, I.; Ruizzarzuela, I.; Cunningham, D.; Vendrell, D.; Muzquiz, J. The Role of Probiotics in Aquaculture. Vet. Microbiol. 2006, 114, 173–186. [Google Scholar] [CrossRef]






Disclaimer/Publisher’s Note: The statements, opinions and data contained in all publications are solely those of the individual author(s) and contributor(s) and not of MDPI and/or the editor(s). MDPI and/or the editor(s) disclaim responsibility for any injury to people or property resulting from any ideas, methods, instructions or products referred to in the content. |
© 2025 by the authors. Licensee MDPI, Basel, Switzerland. This article is an open access article distributed under the terms and conditions of the Creative Commons Attribution (CC BY) license (https://creativecommons.org/licenses/by/4.0/).
Share and Cite
Jose, J.A.; Alex, A.; Philip, S. Gut Microbiome Analysis Reveals Core Microbiota Variation Among Allopatric Populations of the Commercially Important Euryhaline Cichlid Etroplus suratensis. Microbiol. Res. 2025, 16, 210. https://doi.org/10.3390/microbiolres16100210
Jose JA, Alex A, Philip S. Gut Microbiome Analysis Reveals Core Microbiota Variation Among Allopatric Populations of the Commercially Important Euryhaline Cichlid Etroplus suratensis. Microbiology Research. 2025; 16(10):210. https://doi.org/10.3390/microbiolres16100210
Chicago/Turabian StyleJose, Jilu Alphonsa, Anoop Alex, and Siby Philip. 2025. "Gut Microbiome Analysis Reveals Core Microbiota Variation Among Allopatric Populations of the Commercially Important Euryhaline Cichlid Etroplus suratensis" Microbiology Research 16, no. 10: 210. https://doi.org/10.3390/microbiolres16100210
APA StyleJose, J. A., Alex, A., & Philip, S. (2025). Gut Microbiome Analysis Reveals Core Microbiota Variation Among Allopatric Populations of the Commercially Important Euryhaline Cichlid Etroplus suratensis. Microbiology Research, 16(10), 210. https://doi.org/10.3390/microbiolres16100210
