Sign in to use this feature.

Years

Between: -

Subjects

remove_circle_outline
remove_circle_outline
remove_circle_outline
remove_circle_outline
remove_circle_outline
remove_circle_outline

Journals

remove_circle_outline
remove_circle_outline
remove_circle_outline

Article Types

Countries / Regions

Search Results (6)

Search Parameters:
Keywords = chirooptic properties

Order results
Result details
Results per page
Select all
Export citation of selected articles as:
39 pages, 8508 KB  
Review
Recent Advances in the Field of Amino Acid-Conjugated Aminoferrocenes—A Personal Perspective
by Mojca Čakić Semenčić, Monika Kovačević and Lidija Barišić
Int. J. Mol. Sci. 2024, 25(9), 4810; https://doi.org/10.3390/ijms25094810 - 28 Apr 2024
Cited by 2 | Viewed by 1760
Abstract
The development of turn-based inhibitors of protein–protein interactions has attracted considerable attention in medicinal chemistry. Our group has synthesized a series of peptides derived from an amino-functionalized ferrocene to investigate their potential to mimic protein turn structures. Detailed DFT and spectroscopic studies (IR, [...] Read more.
The development of turn-based inhibitors of protein–protein interactions has attracted considerable attention in medicinal chemistry. Our group has synthesized a series of peptides derived from an amino-functionalized ferrocene to investigate their potential to mimic protein turn structures. Detailed DFT and spectroscopic studies (IR, NMR, CD) have shown that, for peptides, the backbone chirality and bulkiness of the amino acid side chains determine the hydrogen-bond pattern, allowing tuning of the size of the preferred hydrogen-bonded ring in turn-folded structures. However, their biological potential is more dependent on their lipophilicity. In addition, our pioneering work on the chiroptical properties of aminoferrocene-containing peptides enables the correlation of their geometry with the sign of the CD signal in the absorption region of the ferrocene chromophore. These studies have opened up the possibility of using aminoferrocene and its derivatives as chirooptical probes for the determination of various chirality elements, such as the central chirality of amino acids and the helicity of peptide sequences. Full article
Show Figures

Figure 1

22 pages, 3768 KB  
Article
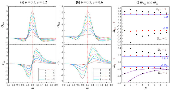
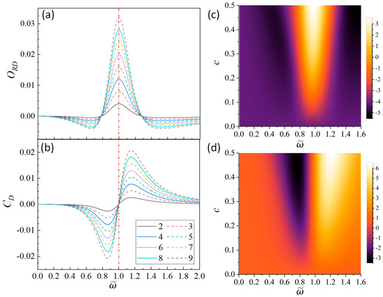
The N-Oscillator Born–Kuhn Model: An In-Depth Analysis of Chiro-Optical Properties in Complex Chiral Systems
by Yiping Zhao, Andrei Galiautdinov and Jingzhi Tie
Nanomaterials 2024, 14(3), 270; https://doi.org/10.3390/nano14030270 - 26 Jan 2024
Cited by 2 | Viewed by 1830
Abstract
A comprehensive theory is developed for the chiral optical response of two configurations of the N-oscillator Born–Kuhn model (NOBK): the helically stacked and the corner stacked models. In the helical NOBK model, there is always a chiral response regardless of the value of [...] Read more.
A comprehensive theory is developed for the chiral optical response of two configurations of the N-oscillator Born–Kuhn model (NOBK): the helically stacked and the corner stacked models. In the helical NOBK model, there is always a chiral response regardless of the value of N, whereas in the corner NOBK, only configurations with even N demonstrate a chiral response. Generally, the magnitudes of optical rotatory dispersion (ORD) and circular dichroism (CD) increase with N when the parameters of each oscillator are fixed. In cases of weak coupling, the spectral shapes of ORD and CD remain invariant, while strong coupling significantly alters the spectral shapes. For large damping, the spectral amplitude becomes smaller, and the spectral features become broader. In the presence of small damping, strong coupling introduces degeneracy in the coupled oscillator system, leading to multiple spectral features in both ORD and CD across the entire spectral region. This simple model can not only help in the design of tunable chiral metamaterials but also enhance our understanding of chiro-optical responses in structures with different configurations. Full article
(This article belongs to the Section Nanophotonics Materials and Devices)
Show Figures

Figure 1

54 pages, 10229 KB  
Review
pH Effects on the Conformations of Galacturonan in Solution: Conformational Transition and Loosening, Extension and Stiffness
by Sergio Paoletti and Ivan Donati
Polysaccharides 2023, 4(3), 271-324; https://doi.org/10.3390/polysaccharides4030018 - 8 Sep 2023
Cited by 4 | Viewed by 2563
Abstract
Calorimetric (from both isothermal micro-calorimetry and DSC), chiro-optical, viscometric and rheological data on aqueous solutions of pectic acid and low-methoxyl pectin (LMP), published over decades from different laboratories, have been comparatively revisited. The aim was to arrive at a consistent and detailed description [...] Read more.
Calorimetric (from both isothermal micro-calorimetry and DSC), chiro-optical, viscometric and rheological data on aqueous solutions of pectic acid and low-methoxyl pectin (LMP), published over decades from different laboratories, have been comparatively revisited. The aim was to arrive at a consistent and detailed description of the behavior of galacturonan as a function of pH, i.e., of the degree of charging (as degree of dissociation, α) of the polyanion. The previously hypothesized pH-induced transition from a 31 to a 21 helix was definitely confirmed, but it has been shown, for the first time, that the transition is always coupled with loosening/tightening effects brought about by an increase in charge. The latter property has a twofold effect: the former effect is a purely physical one (polyelectrolytic), which is always a loosening one. However, in the very low range of pH and before the beginning of the transition, an increase in charge tightens the 31 helix by strengthening an intramolecular—but inter-residue—hydrogen bond. The value of the enthalpy change of 31 → 21 transition—+0.59 kcal·mol−1—is bracketed by those provided by theoretical modeling, namely +0.3 and +0.8 kcal·mol−1; the corresponding entropy value is also positive: +1.84 cal·mole r.u.−1·K−1. The enthalpic and the entropic changes in chain loosening amount only to about 23% of the corresponding 31 → 21 changes, respectively. Much like poly(galacturonic acid), the 31 conformation of LMP also stiffens on passing from pH = 2.5 to 3.0, to then start loosening and transforming into the 21 one on passing to pH = 4.0. Lowering the pH of a salt-free aqueous solution of LMP down to 1.6 brings about a substantial chain–chain association, which is at the root of the interchain junctions stabilizing the acid pH gels, in full agreement with the rheological results. A comparison of the enthalpic data reveals that, at 85 °C, LMP in acidic pH conditions has lost its initial order by about 2.3 times more than pectic acid brought from low charging to full neutralization (at α = 1.0) at 25 °C. A proper combination of experiments (enthalpic measurements) and theory (counterion condensation polyelectrolyte theory) succeeded in demonstrating, for the first time ever, a lyotropic/Hofmeister effect of the anion perchlorate in stabilizing the more disordered form of the 21 helix of galacturonan. The viscometric results in water showed that the 31 helix is capable of forming longer rheologically cooperative units compared with the 21 helix. Extrapolation to infinite ionic strength confirmed that, once all electrostatic interactions are cancelled, the elongation of the two helical forms is practically the same. At the same time, however, they indicated that the flexibility of the two-fold helix is more than fifteen times larger than that of the three-fold one. The result is nicely corroborated by a critical revisiting of 23Na relaxation experiments. Full article
Show Figures

Graphical abstract

22 pages, 4560 KB  
Article
Influence of Tartrate Ligand Coordination over Luminescence Properties of Chiral Lanthanide-Based Metal–Organic Frameworks
by Uxua Huizi-Rayo, Xuban Gastearena, Ana M. Ortuño, Juan M. Cuerva, Antonio Rodríguez-Diéguez, Jose Angel García, Jesus Ugalde, Jose Manuel Seco, Eider San Sebastian and Javier Cepeda
Nanomaterials 2022, 12(22), 3999; https://doi.org/10.3390/nano12223999 - 13 Nov 2022
Cited by 4 | Viewed by 3437
Abstract
The present work reports on a detailed discussion about the synthesis, characterization, and luminescence properties of three pairs of enantiopure 3D metal–organic frameworks (MOFs) with general formula {[Ln2(L/D-tart)3(H2O)2]·3H2O}n (3D_Ln-L/D, where [...] Read more.
The present work reports on a detailed discussion about the synthesis, characterization, and luminescence properties of three pairs of enantiopure 3D metal–organic frameworks (MOFs) with general formula {[Ln2(L/D-tart)3(H2O)2]·3H2O}n (3D_Ln-L/D, where Ln = Sm(III), Eu(III) or Gd(III), and L/D-tart = L- or D-tartrate), and ten pairs of enantiopure 2D coordination polymers (CPs) with general formula [Ln(L/D-Htart)2(OH)(H2O)2]n (2D_Ln-L/D, where Ln = Y(III), Sm(III), Eu(III), Gd(III), Tb(III), Dy(III), Ho(III), Er(III), Tm(III) or Yb(III), and L/D-Htart = hydrogen L- or D-tartrate) based on single-crystal X-ray structures. Enantiopure nature of the samples has been further corroborated by Root Mean Square Deviation (RMSD) as well as by circular dichroism (CD) spectra. Solid-state emission spectra of Eu(III), Tb(III), and Dy(III)-based compounds confirm the occurrence of ligand-to-metal charge transfers in view of the characteristic emissions for these lanthanide ions, and emission decay curves were also recorded to estimate the emission lifetimes for the reported compounds. A complete theoretical study was accomplished to better understand the energy transfers occurring in the Eu-based counterparts, which allows for explaining the different performances of 3D-MOFs and 2D-layered compounds. As inferred from the colorimetric diagrams, emission characteristics of Eu-based 2D CPs depend on the temperature, so their luminescent thermometry has been determined on the basis of a ratiometric analysis between the ligand-centered and Eu-centered emission. Finally, a detailed study of the polarized luminescence intensity emitted by the samples is also accomplished to support the occurrence of chiro-optical activity. Full article
Show Figures

Graphical abstract

1 pages, 177 KB  
Abstract
Structure, Properties and Biological Activity of Chitosan Salts with L- and D-Aspartic Acid
by Anna Shipovskaya, Natalia Gegel, Xenia Shipenok, Olga Ushakova, Tatiana Lugovitskaya and Irina Zudina
Biol. Life Sci. Forum 2022, 20(1), 5; https://doi.org/10.3390/IECBM2022-13399 - 1 Nov 2022
Cited by 1 | Viewed by 3162
Abstract
A comprehensive study of the structure, properties and biological functionality of salt chitosan complexes with L- and D-aspartic acid (AspA) was carried out. It has been established that these polymer salts differ in their spatial organization, chirooptic characteristics, surface charge and macrocoil size. [...] Read more.
A comprehensive study of the structure, properties and biological functionality of salt chitosan complexes with L- and D-aspartic acid (AspA) was carried out. It has been established that these polymer salts differ in their spatial organization, chirooptic characteristics, surface charge and macrocoil size. In experiments in vitro on a wide range of biological objects (unicellular algae, planktonic crustaceans, aerobic bacterial microorganisms, cell cultures and test plants), it was found that the chitosan salt with D-AspA exhibited the best biological activity. The results obtained confirm our hypothesis that the biological homochiral hierarchy principles are most consistent with the chitosan (D-aminoglycan) derivatives with the D-antipode of the acid. Full article
14 pages, 6422 KB  
Article
Plasmonic Elliptical Nanohole Arrays for Chiral Absorption and Emission in the Near-Infrared and Visible Range
by Emilija Petronijevic, Ramin Ghahri and Concita Sibilia
Appl. Sci. 2021, 11(13), 6012; https://doi.org/10.3390/app11136012 - 28 Jun 2021
Cited by 7 | Viewed by 2767
Abstract
Chiral plasmonic nanostructures with tunable handedness-dependent absorption in the visible and infrared offer chiro-optical control at the nanoscale. Moreover, coupling them with emitting layers could lead to chiral nanosources, important for nanophotonic circuits. Here, we propose plasmonic elliptical nanohole arrays (ENHA) for circularly [...] Read more.
Chiral plasmonic nanostructures with tunable handedness-dependent absorption in the visible and infrared offer chiro-optical control at the nanoscale. Moreover, coupling them with emitting layers could lead to chiral nanosources, important for nanophotonic circuits. Here, we propose plasmonic elliptical nanohole arrays (ENHA) for circularly dependent near-infrared and visible emission. We first investigate broadband chiral behavior in an Au-ENHA embedded in glass by exciting it with plane waves. We then study the coupling of ENHA with a thin emitting layer embedded in glass; we focus on the emission wavelengths which provided high chirality in plane-wave simulations. Our novel simulation set-up monitors the chirality of the far-field emission by properly averaging a large set of homogeneously distributed, randomly oriented quantum sources. The intrinsic chirality of ENHA influences the circular polarization degree of the emitting layer. Finally, we study the emission dependence on the field distribution at the excitation wavelength. We demonstrate the chiral absorption and emission properties for Au-ENHA emitting in the near-infrared range, and for Ag-ENHA which is excited in green range and emits in the Lumogen Red range. The simple geometry of ENHA can be fabricated with low-cost nanosphere lithography and be covered with emission gel. We thus believe that this design can be of great importance for tunable chiral nanosources. Full article
(This article belongs to the Special Issue Optical Chirality: Structures, Detection and Applications)
Show Figures

Figure 1

Back to TopTop