Sign in to use this feature.

Years

Between: -

Subjects

remove_circle_outline
remove_circle_outline
remove_circle_outline
remove_circle_outline
remove_circle_outline
remove_circle_outline
remove_circle_outline
remove_circle_outline
remove_circle_outline

Journals

Article Types

Countries / Regions

Search Results (20)

Search Parameters:
Keywords = chemometry

Order results
Result details
Results per page
Select all
Export citation of selected articles as:
31 pages, 5335 KB  
Article
Monitoring of Antioxidant Efficacy of Mangrove-Derived Polyphenols in Linseed Oil by Physicochemical and Fluorescence Methods
by Manjeet Singh, Eliot Botosoa and Romdhane Karoui
Antioxidants 2025, 14(2), 192; https://doi.org/10.3390/antiox14020192 - 7 Feb 2025
Cited by 1 | Viewed by 1768
Abstract
This study was conducted to assess the antioxidant potential of polyphenolic extracts from Rhizophora mucronata and Avicennia marina as natural preservatives in comparison with synthetic butylated hydroxytoluene (BHT) and rosemary extract. Antioxidant activities were assessed by 2,2-diphenyl-1-picrylhydrazyl (DPPH), oxygen radical absorbance capacity (ORAC), [...] Read more.
This study was conducted to assess the antioxidant potential of polyphenolic extracts from Rhizophora mucronata and Avicennia marina as natural preservatives in comparison with synthetic butylated hydroxytoluene (BHT) and rosemary extract. Antioxidant activities were assessed by 2,2-diphenyl-1-picrylhydrazyl (DPPH), oxygen radical absorbance capacity (ORAC), and total phenolic content (TPC). Extracts were blended into linseed oil and evaluated for oxidative stability using a 15-day Schaal oven test. Physicochemical analyses, including peroxide value (PV), acid index (AI), p-anisidine value (p-AnV), and thiobarbituric acid reactive substances (TBARS), showed that mangrove-treated oils exhibited the highest stability against oxidation compared to the negative and positive controls. R. mucronata mature leaves presented the highest DPPH inhibition (93.40%) and the lowest TBARS value (0.33 ± 0.0 mg MDA/kg of oil) on day 11. Fluorescence spectroscopy provided complementary and valuable information. Statistical analysis using factorial discriminant analysis (FDA) achieved a classification accuracy of 91.43%, underlining the different oxidative profiles of the treated samples. These findings demonstrated the potential of extracts from mangrove plants as a sustainable alternative to synthetic antioxidants for food preservation. Future studies should explore broader food applications using advanced analytical techniques to optimize their efficiency and performing a series of toxicity evaluations. Full article
Show Figures

Graphical abstract

15 pages, 1316 KB  
Article
Destructive and Non-Destructive Evaluation of Anthocyanin Content and Quality Attributes in Red Kiwifruit Subjected to Plant Spray Treatment with Cis-3-Hexenyl Butyrate
by Micaela Lembo, Vanessa Eramo, Riccardo Riggi, Roberto Forniti, Andrea Bellincontro and Rinaldo Botondi
Foods 2025, 14(3), 480; https://doi.org/10.3390/foods14030480 - 2 Feb 2025
Cited by 1 | Viewed by 1631
Abstract
This work evaluated red kiwifruit plants’ spray treatment with cis-3-hexenyl butyrate (HB) as an inductor of some metabolic mechanisms related to fruit ripening, including an increase in anthocyanin content and the red hue color parameter. Considering their key role as ripening parameters for [...] Read more.
This work evaluated red kiwifruit plants’ spray treatment with cis-3-hexenyl butyrate (HB) as an inductor of some metabolic mechanisms related to fruit ripening, including an increase in anthocyanin content and the red hue color parameter. Considering their key role as ripening parameters for postharvest fruit quality and sorting assessment, the soluble solid content (SSC) and the flesh firmness penetrometer (FFP) were also measured. Treated plants received an application of 50 mM HB, administered exactly 2 and 4 weeks before the commercial harvest. At harvest time and during postharvest fruit ripening, near-infrared (NIR) spectral acquisitions were performed in order to check the feasibility of a rapid and non-destructive prediction of fruit anthocyanin content and SSC, coupled to destructive measurements and chemometric modelling. Regarding technological and chemical results, HB treatment indicates an optimum overall qualitative storage at 30 days. The fruit from treated plants is characterized by good quality parameters, including higher SSC, enhanced red hue (a* value) and increased anthocyanin content, despite similar weight loss to the untreated fruit. The obtained chemometric results underscore the promise and feasibility of NIRs in terms of detecting and estimating anthocyanin content and SSC in red kiwifruit, in order to pursue an evident perspective of improvement. Full article
(This article belongs to the Section Plant Foods)
Show Figures

Figure 1

33 pages, 17312 KB  
Article
Authentication of a Painting Attributed to the Rembrandt School
by Ion Sandu, Vasile Drobota, Ana Drob, Andrei Victor Sandu, Viorica Vasilache, Cosmin Tudor Iurcovschi and Ioan Gabriel Sandu
Appl. Sci. 2024, 14(19), 8655; https://doi.org/10.3390/app14198655 - 25 Sep 2024
Cited by 1 | Viewed by 1617
Abstract
This paper presents the archaeometric and chemometric authentication of a Renaissance-style oil painting on linen canvas, with plaster and barium sulphate-based primer preparation and bone glue as binder. By optical microscopy (OM), stereomicroscopy (SOM), scanning electron microscopy with energy dispersive X-ray spectroscopy (SEM-EDX) [...] Read more.
This paper presents the archaeometric and chemometric authentication of a Renaissance-style oil painting on linen canvas, with plaster and barium sulphate-based primer preparation and bone glue as binder. By optical microscopy (OM), stereomicroscopy (SOM), scanning electron microscopy with energy dispersive X-ray spectroscopy (SEM-EDX) and attenuated total reflectance–Fourier transform infrared spectroscopy (ATR-FTIR), a series of archaeometric characteristics were identified: the grain size of the chemical components of the paint layers, the 3D porosity distribution of the pigments, the degree of penetration between the paint layers and the varnish and between the varnish and the oxidatively anchored dirt, and the typology of the craquelure (craquelure network arrangement and morphology). By correlating the results obtained, it was possible to estimate the period of the painting as 1660 ± 3 years. Full article
(This article belongs to the Section Materials Science and Engineering)
Show Figures

Figure 1

11 pages, 917 KB  
Article
Rational Design of a Portable Chemometric-Assisted Voltammetric Sensor Based on Ion-Imprinted Polymeric Film for Co(II) Determination in Water
by Sabrina Di Masi, Nelson Arturo Manrique Rodriguez, Marco Costa, Giuseppe Egidio De Benedetto and Cosimino Malitesta
Nanomaterials 2024, 14(6), 536; https://doi.org/10.3390/nano14060536 - 18 Mar 2024
Cited by 4 | Viewed by 1789
Abstract
Herein, chemometric-assisted synthesis of electrochemical sensors based on electropolymerised ion-imprinted polymeric (e-IIP) films was explored. Co(II)-IIPs sensors were prepared by performing electropolymerisation procedures of polymerisation mixtures comprising varying concentrations of an electroactive o-aminophenol (o-AP) monomer and Co(II) ions, respectively, according to the Taguchi [...] Read more.
Herein, chemometric-assisted synthesis of electrochemical sensors based on electropolymerised ion-imprinted polymeric (e-IIP) films was explored. Co(II)-IIPs sensors were prepared by performing electropolymerisation procedures of polymerisation mixtures comprising varying concentrations of an electroactive o-aminophenol (o-AP) monomer and Co(II) ions, respectively, according to the Taguchi L9 experimental design, exploiting the simultaneous evaluation of other controlled parameters during electrosynthesis. Each e-IIP developed from Taguchi runs was compared with the respective non-imprinted polymer (NIP) films and fitted according to Langmuir–Freudlich isotherms. Distinctive patterns of low and high-affinity films were screened based on the qualities and properties of the developed IIPs in terms of binding kinetics (KD), imprinting factor, and the heterogeneity index of produced cavities. These results can provide a generic protocol for chemometric-assisted synthesis of e-IIPs based on poly-o-AP, providing highly stable, reproducible, and high-affinity imprinted polymeric films for monitoring purposes. Full article
(This article belongs to the Section Environmental Nanoscience and Nanotechnology)
Show Figures

Figure 1

18 pages, 6480 KB  
Article
Comprehensive Assessment of the Stability of Selected Coxibs in Variable Environmental Conditions along with the Assessment of Their Potential Hepatotoxicity
by Paweł Gumułka, Łukasz Pecio, Paweł Żmudzki, Krzesimir Ciura, Krystyna Skalicka-Woźniak, Monika Dąbrowska and Małgorzata Starek
Pharmaceutics 2023, 15(11), 2609; https://doi.org/10.3390/pharmaceutics15112609 - 9 Nov 2023
Viewed by 2445
Abstract
Determining the influence of environmental factors on the stability of drugs is very helpful when choosing excipients, storage conditions or packaging materials. In addition, information about possible toxic degradation products enables detecting and avoiding the harmful side effects of the drug. We used [...] Read more.
Determining the influence of environmental factors on the stability of drugs is very helpful when choosing excipients, storage conditions or packaging materials. In addition, information about possible toxic degradation products enables detecting and avoiding the harmful side effects of the drug. We used the thin-layer chromatographic-densitometric procedure for the assay of five coxibs, conducted degradation studies in various environments and at different temperatures along with the determination of pharmacokinetic parameters. The results were subjected to chemometric analysis, to investigate and visualize the similarities and differences of the studied coxibs. Samples of the tested drug were also analyzed by UPLC-MS/MS in order to identify degradation products, and determine possible drug degradation pathways. Using the human liver cancer HepG2 cell line, the hepatotoxic effect of the degradation products was also determined. It was observed that all substances were relatively stable under the analyzed conditions and degraded more in acidic than alkaline environments. Robenacoxib is the drug that decomposes the fastest, and cimicoxib turned out to be the most stable. Robenacoxib also showed significant hepatotoxicity at the highest tested concentration, which correlates with the high degree of its degradation, and the probable formation of a more hepatoxic product. The obtained mass spectra of compounds formed as a result of hydrolysis of the protonated drug leading to the formation of several product ions, which enabled us to propose probable degradation pathways. Full article
Show Figures

Figure 1

15 pages, 769 KB  
Article
Assessing the Repeatability and Reliability of NIRS to Predict Nutritional Values and to Evaluate Two Lignin Methods in Urochloa spp. Grasses
by Iuli Caetano da Silva Brandão Guimarães, Thiago Henrique da Silva, Cristina Cirino Picchi and Romualdo Shigueo Fukushima
Grasses 2023, 2(2), 112-126; https://doi.org/10.3390/grasses2020010 - 5 Jun 2023
Cited by 4 | Viewed by 2335
Abstract
Reliable forage analysis is crucial for proper ration formulation of ruminant herds. Through its fast, inexpensive, and non-destructive procedures, near-infrared spectroscopy (NIRS) has become a valuable method for forage evaluating. Notwithstanding, NIRS needs calibration before routine analysis. In addition, to evaluate the best [...] Read more.
Reliable forage analysis is crucial for proper ration formulation of ruminant herds. Through its fast, inexpensive, and non-destructive procedures, near-infrared spectroscopy (NIRS) has become a valuable method for forage evaluating. Notwithstanding, NIRS needs calibration before routine analysis. In addition, to evaluate the best method for lignin quantification in Urochloa spp. grasses is crucial under a digestibility perspective in grass-fed ruminant production. The aims of this study were to use 149 samples from different Urochloa species to develop NIRS calibration curves (partial least squares regressions) for acid detergent lignin (ADL), acetyl bromide lignin (ABL), as well as for ash, cell wall (CW), neutral detergent fiber (NDF), acid detergent fiber (ADF), in vitro DM digestibility (IVDMD), and in vitro NDF digestibility (IVNDFD). Moreover, the aim of this study was to correlate the in vitro digestibility with lignin quantification methods: ADL and ABL. Near-infrared spectroscopy showed potential for the quantification of Urochloa spp. properties, such as lignin contents (ADL and ABL) and ash, CW, NDF, ADF, IVDMD, and IVNDFD. However, calibrations performed using NIRS to measure ADF, ADL, IVDMD, and IVNDFD need to be thought about with caution before their utilization as a routine analysis for determining the potential for nutrient measurement and digestibility of Urochloa spp. grasses. In addition, the ABL method used for lignin quantification was better correlated with IVDMD and IVNDFD than the ADL method. Full article
Show Figures

Figure 1

4 pages, 499 KB  
Proceeding Paper
HPLC Screening of Phytoestrogens from Soybeans in Conjunction with Chemometric Data Analysis: A Tool for Selecting the Best Raw Materials for Producing Dietary Supplements for Menopausal Health
by Edward Muntean, Camelia Urda and Raluca Rezi
Med. Sci. Forum 2023, 21(1), 48; https://doi.org/10.3390/ECB2023-14082 - 1 Mar 2023
Viewed by 1179
Abstract
Soybeans are one of the primary dietary sources of isoflavones - phytoestrogens with numerous benefits to human health, including alleviating menopausal symptoms, reducing the risk of certain types of cancer and many others. This research provides a combined approach of high-performance liquid chromatography [...] Read more.
Soybeans are one of the primary dietary sources of isoflavones - phytoestrogens with numerous benefits to human health, including alleviating menopausal symptoms, reducing the risk of certain types of cancer and many others. This research provides a combined approach of high-performance liquid chromatography and chemometry, which is able to highlight in a fast way the isoflavone content of soybean seeds belonging to different genotypes. The proposed approach can be considered not only for quality control assessment purposes, but also for assisting breeding programs targeted to develop new genotypes with the desired isoflavone content. Full article
(This article belongs to the Proceedings of The 2nd International Electronic Conference on Biomedicines)
Show Figures

Figure 1

16 pages, 4847 KB  
Article
Green Chemometric Determination of Cefotaxime Sodium in the Presence of Its Degradation Impurities Using Different Multivariate Data Processing Tools; GAPI and AGREE Greenness Evaluation
by Yasmine Ahmed Sharaf, Adel Ehab Ibrahim, Sami El Deeb and Rania Adel Sayed
Molecules 2023, 28(5), 2187; https://doi.org/10.3390/molecules28052187 - 26 Feb 2023
Cited by 21 | Viewed by 3102
Abstract
Four eco-friendly, cost-effective, and fast stability-indicating UV-VIS spectrophotometric methods were validated for cefotaxime sodium (CFX) determination either in the presence of its acidic or alkaline degradation products. The applied methods used multivariate chemometry, namely, classical least square (CLS), principal component regression (PCR), partial [...] Read more.
Four eco-friendly, cost-effective, and fast stability-indicating UV-VIS spectrophotometric methods were validated for cefotaxime sodium (CFX) determination either in the presence of its acidic or alkaline degradation products. The applied methods used multivariate chemometry, namely, classical least square (CLS), principal component regression (PCR), partial least square (PLS), and genetic algorithm-partial least square (GA-PLS), to resolve the analytes’ spectral overlap. The spectral zone for the studied mixtures was within the range from 220 to 320 nm at a 1 nm interval. The selected region showed severe overlap in the UV spectra of cefotaxime sodium and its acidic or alkaline degradation products. Seventeen mixtures were used for the models’ construction, and eight were used as an external validation set. For the PLS and GA-PLS models, a number of latent factors were determined as a pre-step before the modelsʹ construction and found to be three for the (CFX/acidic degradants) mixture and two for the (CFX/alkaline degradants) mixture. For GA-PLS, spectral points were minimized to around 45% of the PLS models. The root mean square errors of prediction were found to be (0.19, 0.29, 0.47, and 0.20) for the (CFX/acidic degradants) mixture and (0.21, 0.21, 0.21, and 0.22) for the (CFX/alkaline degradants) mixture for CLS, PCR, PLS, and GA-PLS, respectively, indicating the excellent accuracy and precision of the developed models. The linear concentration range was studied within 12–20 μg mL–1 for CFX in both mixtures. The validity of the developed models was also judged using other different calculated tools such as root mean square error of cross validation, percentage recoveries, standard deviations, and correlation coefficients, which indicated excellent results. The developed methods were also applied to the determination of cefotaxime sodium in marketed vials, with satisfactory results. The results were statistically compared to the reported method, revealing no significant differences. Furthermore, the greenness profiles of the proposed methods were assessed using the GAPI and AGREE metrics. Full article
(This article belongs to the Special Issue New Winds in Chemometrics: Theory and Application)
Show Figures

Figure 1

10 pages, 1833 KB  
Article
Assessment of Wine Adulteration Using Near Infrared Spectroscopy and Laser Backscattering Imaging
by Anita Hencz, Lien Le Phuong Nguyen, László Baranyai and Donatella Albanese
Processes 2022, 10(1), 95; https://doi.org/10.3390/pr10010095 - 4 Jan 2022
Cited by 15 | Viewed by 4254
Abstract
Food adulteration is in the focus of research due to its negative effect on safety and nutritional value and because of the demand for the protection of brands and regional origins. Portugieser and Sauvignon Blanc wines were selected for experiments. Samples were made [...] Read more.
Food adulteration is in the focus of research due to its negative effect on safety and nutritional value and because of the demand for the protection of brands and regional origins. Portugieser and Sauvignon Blanc wines were selected for experiments. Samples were made by water dilution, the addition of sugar and then a combination of both. Near infrared (NIR) spectra were acquired in the range of 900–1700 nm. Partial least squares regression was performed to predict the adulteration level. The model including all wines and adulterations achieved a prediction error of 0.59% added sugar and 6.85% water dilution. Low-power laser modules were used to collect diffuse reflectance signals at wavelengths of 532, 635, 780, 808, 850, 1064 nm. The general linear model resulted in a higher prediction error of 3.06% added sugar and 20.39% water dilution. Instead of classification, the present study investigated the feasibility of non-destructive methods in the prediction of adulteration level. Laser scattering successfully detected the added sugar with linear discriminant analysis (LDA), but its prediction accuracy was low. NIR spectroscopy might be suitable for rapid non-destructive estimation of wine adulteration. Full article
Show Figures

Figure 1

20 pages, 2002 KB  
Article
Cancer Influences the Elemental Composition of the Myocardium More Strongly than Conjugated Linoleic Acids-Chemometric Approach to Cardio-Oncological Studies
by Agnieszka Białek, Małgorzata Białek, Tomasz Lepionka, Anna Ruszczyńska, Ewa Bulska and Marian Czauderna
Molecules 2021, 26(23), 7127; https://doi.org/10.3390/molecules26237127 - 25 Nov 2021
Cited by 3 | Viewed by 2189
Abstract
The aim of the study was to verify in a cardio-oncological model experiment if conjugated linoleic acids (CLA) fed to rats with mammary tumors affect the content of selected macro- and microelements in their myocardium. The diet of Sprague–Dawley females was supplemented either [...] Read more.
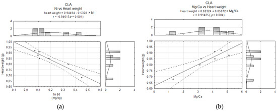
The aim of the study was to verify in a cardio-oncological model experiment if conjugated linoleic acids (CLA) fed to rats with mammary tumors affect the content of selected macro- and microelements in their myocardium. The diet of Sprague–Dawley females was supplemented either with CLA isomers or with safflower oil. In hearts of rats suffering from breast cancer, selected elements were analyzed with a quadrupole mass spectrometer with inductively coupled plasma ionization (ICP-MS). In order to better understand the data trends, cluster analysis, principal component analysis and linear discriminant analysis were applied. Mammary tumors influenced macro- and microelements content in the myocardium to a greater extent than applied diet supplementation. Significant influences of diet (p = 0.0192), mammary tumors (p = 0.0200) and interactions of both factors (p = 0.0151) were documented in terms of Fe content. CLA significantly decreased the contents of Cu and Mn (p = 0.0158 and p = 0.0265, respectively). The level of Ni was significantly higher (p = 0.0073), which was more pronounced in groups supplemented with CLA. The obtained results confirmed antioxidant properties of CLA and the relationship with Se deposition. Chemometric techniques distinctly showed that the coexisting pathological process induced differences to the greater extent than diet supplementation in the elemental content in the myocardium, which may impinge on cardiac tissue’s susceptibility to injuries. Full article
Show Figures

Figure 1

20 pages, 3245 KB  
Article
Varietal and Geographical Origin Characterization of Peaches and Nectarines by Combining Analytical Techniques and Statistical Approach
by Gabriella Tamasi, Claudia Bonechi, Gemma Leone, Marco Andreassi, Marco Consumi, Paola Sangiorgio, Alessandra Verardi, Claudio Rossi and Agnese Magnani
Molecules 2021, 26(14), 4128; https://doi.org/10.3390/molecules26144128 - 7 Jul 2021
Cited by 7 | Viewed by 3573
Abstract
Prunus persica L. is one of the most important fruit crops in European production, after grapes, apples, oranges and watermelons. Most varieties are rich in secondary metabolites, showing antioxidant properties for human health. The purpose of this study was to develop a chemical [...] Read more.
Prunus persica L. is one of the most important fruit crops in European production, after grapes, apples, oranges and watermelons. Most varieties are rich in secondary metabolites, showing antioxidant properties for human health. The purpose of this study was to develop a chemical analysis methodology, which involves the use of different analytical-instrumental techniques to deepen the knowledge related to the profile of metabolites present in selected cultivars of peaches and nectarines cultivated in the Mediterranean area (Southern Italy). The comparative study was conducted by choosing yellow-fleshed peaches (RomeStar, ZeeLady) and yellow-fleshed nectarines (Nectaross, Venus) from two geographical areas (Piana di Sibari and Piana di Metaponto), and by determining the chemical parameters for the flesh and skin that allow for identification of any distinctive varietal and/or geographical characteristics. A combined analytical and chemometric approach was used, trough rheological, thermogravimetric (TGA), chromatographic (HPLC-ESI-MS), spectroscopic (UV-Vis, ATR-FTIR, NMR) and spectrometric (ToF-SIMS) analysis. This approach allowed us to identify the characterizing parameters for the analysis of a plant matrix so that the developed methodology could define an easily exportable and extendable model for the characterization of other types of vegetable matrices. Full article
Show Figures

Graphical abstract

15 pages, 2125 KB  
Article
Archaeometry and Analysis of Ceramic Materials from Ávila (Spain): Late-Vetton Evidence
by Isabel Sonsoles de Soto García, María de los Reyes de Soto García, Blas Cabrera González and Rosario García Giménez
Sustainability 2021, 13(11), 5910; https://doi.org/10.3390/su13115910 - 24 May 2021
Cited by 1 | Viewed by 3308
Abstract
From the archaeological excavations carried out during 2019/2020 in the walled Ávila city (Spain), numerous ceramic fragments of different chronologies have appeared that have allowed us to find settlement sequences in this city that place its beginnings before Romanization. The latest interventions allow [...] Read more.
From the archaeological excavations carried out during 2019/2020 in the walled Ávila city (Spain), numerous ceramic fragments of different chronologies have appeared that have allowed us to find settlement sequences in this city that place its beginnings before Romanization. The latest interventions allow us to know that the wall of Ávila has a Roman origin, and it was developed on an indigenous nucleus from the 1st century BC that received the Romanizing influence during the 1st century AD. In addition, it was possible to establish that the materials used for their preparation are consistent with the materials of the geological environment, which suggests a local origin. This paper presents the study of a set of ceramic samples using XRD, ICP/MS, SEM/EDX, and linescan analysis. A statistical analysis of the samples using the minor elements concentrations has suggested that even though the local origin, there were several production centers within painted ceramics that until now were always included as a single set. Finally, due to the importance of the “late-Vetton” or “late Iberic” ceramics (mid-1st century BC—middle of the 1st century AC) from the archaeological aspect, for the first time, these ceramics are studied in detail from chemical and mineralogical tests. It was discovered that these samples had been made in an oven that had not exceeded 800 °C due to the persistence of different phases after cooking. Full article
(This article belongs to the Special Issue Frontiers of Archaeological Studies on Ancient Ceramics)
Show Figures

Figure 1

18 pages, 1039 KB  
Article
Impact of Plant Origin on Eurasian Propolis on Phenolic Profile and Classical Antioxidant Activity
by Piotr Okińczyc, Jarosław Widelski, Jakub Szperlik, Magdalena Żuk, Tomasz Mroczek, Krystyna Skalicka-Woźniak, Zuriyadda Sakipova, Gabriela Widelska and Piotr Marek Kuś
Biomolecules 2021, 11(1), 68; https://doi.org/10.3390/biom11010068 - 6 Jan 2021
Cited by 37 | Viewed by 4857
Abstract
Propolis is a bee product with known medical properties, including antioxidant activity. The scope of the study is profiling 19 different Eurasian propolis samples (mostly from Russia and Kazakhstan, Kyrgyzstan, Poland, Ukraine, and Slovakia). Profiles of propolises were investigated by ultra-high-performance liquid chromatography–diode [...] Read more.
Propolis is a bee product with known medical properties, including antioxidant activity. The scope of the study is profiling 19 different Eurasian propolis samples (mostly from Russia and Kazakhstan, Kyrgyzstan, Poland, Ukraine, and Slovakia). Profiles of propolises were investigated by ultra-high-performance liquid chromatography–diode array detector–mass spectrometry (UPLC-DAD-MS). Classical antioxidant properties, which are based on electron donation mechanism, were assessed by DPPH, ferric reducing antioxidant power (FRAP), and oxygen radical absorbance capacity (ORAC) assays. Total phenolic and flavonoid contents were also evaluated by colorimetric tests. Most of the samples exhibited significant content of polyphenols (from 30.28 to 145.24 mg GAE/g of propolis) and flavonoids (from 10.45 to 82.71 mg GAE/g of propolis). Most of the propolis samples exhibited potent antiradical (DPPH test—from 8.83 to 64.47 mg GAE/g of propolis) and reducing activity (FRAP test—from 0.08 to 1.17 mmol Fe2+/g of propolis). Based on the occurrence of marker compounds, propolis samples were classified as poplar, aspen–birch, aspen–poplar, and aspen–birch–poplar type. Main markers present in propolis of poplar (e.g., chrysin, pinocembrin, galangin, and 3-O-acetyl-pinobanksin), birch (ermanin and acacetin) and aspen (2-acetyl-1,3-di-p-coumaroylglycerol) origin were used. DPPH, FRAP, and ORAC tests results were correlated with flavonoids, total polyphenols, or the polyphenols other than flavonoids content. In term of activity, poplar propolis type was variable, while aspen–birch–poplar type usually exhibited high DPPH and FRAP activity. Full article
Show Figures

Graphical abstract

9 pages, 2191 KB  
Article
A Chemometry of Aldrovanda vesiculosa L. (Waterwheel, Droseraceae) Populations
by Bartosz J. Płachno, Maciej Strzemski, Sławomir Dresler, Lubomír Adamec, Kamila Wojas-Krawczyk, Ireneusz Sowa, Anna Danielewicz and Vitor F. O. Miranda
Molecules 2021, 26(1), 72; https://doi.org/10.3390/molecules26010072 - 25 Dec 2020
Cited by 7 | Viewed by 4443
Abstract
The genus Aldrovanda is a Palaeogene element containing a single extant species, Aldrovanda vesiculosa L. This aquatic carnivorous herb has a very wide range of distribution, natively covering four continents; however, it is a critically endangered aquatic plant species worldwide. Previous studies revealed [...] Read more.
The genus Aldrovanda is a Palaeogene element containing a single extant species, Aldrovanda vesiculosa L. This aquatic carnivorous herb has a very wide range of distribution, natively covering four continents; however, it is a critically endangered aquatic plant species worldwide. Previous studies revealed that A. vesiculosa had an extremely low genetic variation. The main aim of the present paper is to explore, using chemometric tools, the diversity of 16 A. vesiculosa populations from various sites from four continents (Eurasia, Africa, Australia). Using chemometric data as markers for genetic diversity, we show the relationships of 16 A. vesiculosa populations from various sites, including four continents. Phytochemical markers allowed the identification of five well-supported (bootstrap > 90%) groups among the 16 populations sampled. The principal component analysis data support the idea that the strongly related African (Botswana) and Australian (Kimberley, NT, NW Australia) populations are the most distant ones, separated from the European and Asian ones. However, considering the five Australian populations sampled, three are nested within the Eurasian group. The chemometric data are correlated positively with the geographical distances between the samples, which suggests a tendency toward isolation for the most distant populations. Full article
Show Figures

Figure 1

15 pages, 1753 KB  
Article
NIR Spectroscopy for Discriminating and Predicting the Sensory Profile of Dry-Cured Beef “Cecina”
by Isabel Revilla, Ana M. Vivar-Quintana, María Inmaculada González-Martín, Miriam Hernández-Jiménez, Iván Martínez-Martín and Pedro Hernández-Ramos
Sensors 2020, 20(23), 6892; https://doi.org/10.3390/s20236892 - 2 Dec 2020
Cited by 12 | Viewed by 3476
Abstract
For Protected Geographical Indication (PGI)-labeled products, such as the dry-cured beef meat “cecina de León”, a sensory analysis is compulsory. However, this is a complex and time-consuming process. This study explores the viability of using near infrared spectroscopy (NIRS) together with artificial neural [...] Read more.
For Protected Geographical Indication (PGI)-labeled products, such as the dry-cured beef meat “cecina de León”, a sensory analysis is compulsory. However, this is a complex and time-consuming process. This study explores the viability of using near infrared spectroscopy (NIRS) together with artificial neural networks (ANN) for predicting sensory attributes. Spectra of 50 samples of cecina were recorded and 451 reflectance data were obtained. A feedforward multilayer perceptron ANN with 451 neurons in the input layer, a number of neurons varying between 1 and 30 in the hidden layer, and a single neuron in the output layer were optimized for each sensory parameter. The regression coefficient R squared (RSQ > 0.8 except for odor intensity) and mean squared error of prediction (MSEP) values obtained when comparing predicted and reference values showed that it is possible to predict accurately 23 out of 24 sensory parameters. Although only 3 sensory parameters showed significant differences between PGI and non-PGI samples, the optimized ANN architecture applied to NIR spectra achieved the correct classification of the 100% of the samples while the residual mean squares method (RMS-X) allowed 100% of non-PGI samples to be distinguished. Full article
(This article belongs to the Special Issue Using Vis-NIR Spectroscopy for Predicting Quality Compounds in Foods)
Show Figures

Figure 1

Back to TopTop