Sign in to use this feature.

Years

Between: -

Subjects

remove_circle_outline
remove_circle_outline
remove_circle_outline
remove_circle_outline
remove_circle_outline
remove_circle_outline
remove_circle_outline
remove_circle_outline
remove_circle_outline

Journals

remove_circle_outline
remove_circle_outline
remove_circle_outline
remove_circle_outline
remove_circle_outline
remove_circle_outline
remove_circle_outline
remove_circle_outline
remove_circle_outline
remove_circle_outline
remove_circle_outline
remove_circle_outline
remove_circle_outline
remove_circle_outline
remove_circle_outline
remove_circle_outline
remove_circle_outline
remove_circle_outline

Article Types

Countries / Regions

remove_circle_outline
remove_circle_outline
remove_circle_outline
remove_circle_outline
remove_circle_outline
remove_circle_outline

Search Results (2,028)

Search Parameters:
Keywords = chelating activity

Order results
Result details
Results per page
Select all
Export citation of selected articles as:
27 pages, 1598 KB  
Review
Molecular and Cellular Mechanisms of Plant Responses to Heavy Metal Stress in Mining-Impacted Environments
by Mădălina F. Ioniță, Emilia C. Dunca and Sorin M. Radu
Plants 2026, 15(7), 1045; https://doi.org/10.3390/plants15071045 (registering DOI) - 28 Mar 2026
Abstract
Heavy metal contamination associated with mining activities is a major source of abiotic stress for plants, strongly affecting plant physiology, growth and survival in contaminated environments. Due to their non-biodegradable nature and long-term bioavailability, heavy metals persist in soils affected by mining activities, [...] Read more.
Heavy metal contamination associated with mining activities is a major source of abiotic stress for plants, strongly affecting plant physiology, growth and survival in contaminated environments. Due to their non-biodegradable nature and long-term bioavailability, heavy metals persist in soils affected by mining activities, exposing plants to chronic stress conditions that require the activation of coordinated cellular and molecular response mechanisms to limit toxicity and maintain internal homeostasis. This review synthesises and critically analyses current knowledge on the molecular and cellular mechanisms governing plant responses to heavy metal stress in mining-affected environments. Key processes involved in metal uptake and transport, redox imbalance and oxidative stress generation, antioxidant defence systems, and molecular detoxification mechanisms, including metal chelation, subcellular compartmentalisation, and gene expression regulation, are discussed. Particular attention is paid to cellular signalling pathways that mediate plant adaptation to prolonged exposure to complex metal mixtures. Emphasis is placed on integrating molecular-level knowledge with the specific context of mining sites, highlighting the limitations of extrapolating results obtained under controlled experimental conditions to naturally contaminated environments. This perspective integrates molecular mechanisms with the geochemical realities of mining sites, providing a solid basis for the development of effective phytoremediation strategies and the optimisation of plant species selection. Full article
(This article belongs to the Section Plant Response to Abiotic Stress and Climate Change)
Show Figures

Figure 1

17 pages, 2687 KB  
Article
Dihydroartemisinin Induces Ferroptosis in Uveal Melanoma Cells Through the HO-1 and xCT/GPX4 Signaling Pathways
by Yuxuan Zhao, Chen Hou, Lirong Xiao, Longqian Liu and Naihong Yan
Int. J. Mol. Sci. 2026, 27(7), 3027; https://doi.org/10.3390/ijms27073027 - 26 Mar 2026
Abstract
Uveal melanoma (UM) represents an uncommon intraocular malignancy with high aggressiveness. Dysregulation of ferroptosis has been associated with UM progression. Dihydroartemisinin (DHA), a natural derivative of Artemisia annua, exhibits potent antitumor activity with a favorable safety profile, yet its role in ferroptosis [...] Read more.
Uveal melanoma (UM) represents an uncommon intraocular malignancy with high aggressiveness. Dysregulation of ferroptosis has been associated with UM progression. Dihydroartemisinin (DHA), a natural derivative of Artemisia annua, exhibits potent antitumor activity with a favorable safety profile, yet its role in ferroptosis regulation in UM remains unclear. Here, we showed that DHA significantly reduced the proliferation and invasiveness of UM cells—both primary and secondary—with effects intensifying over time and dose. Transcriptomic analysis indicated that DHA may exert antitumor effects by modulating the ferroptosis-related pathway, characterized by upregulating heme oxygenase-1 (HO-1) and downregulating the SLC7A11 (xCT)/GPX4 axis, leading to iron accumulation, increased ROS and lipid peroxidation, and mitochondrial dysfunction. Iron chelators and pancaspase inhibitors partially reverse these effects, whereas HO-1 inducers enhance them. Overall, our results suggest that DHA suppresses UM progression by inducing ferroptosis and mitochondrial dysfunction, while the HO-1 and xCT/GPX4 pathways may contribute to these effects. DHA may represent a potential therapeutic approach for UM, warranting further investigation. Full article
(This article belongs to the Section Biochemistry)
Show Figures

Figure 1

14 pages, 1327 KB  
Article
Synergistic Antimicrobial and Antibiofilm Activity of Nitroxoline in Combination with Hydroquinone Against Uropathogenic Enterococcus faecalis
by Davorka Repac Antić, Silvestar Mežnarić, Marko Kolenc, Irena Brčić Karačonji and Ivana Gobin
Antibiotics 2026, 15(4), 333; https://doi.org/10.3390/antibiotics15040333 - 25 Mar 2026
Viewed by 120
Abstract
Background: Enterococcus faecalis is a major cause of complicated urinary tract infections (UTIs), characterized by intrinsic resistance and pronounced biofilm formation. Nitroxoline (NTX), a metal-chelating uroantiseptic, accumulates in urine and exhibits antibiofilm activity. Hydroquinone (HQ), the active urinary metabolite of arbutin-containing herbal [...] Read more.
Background: Enterococcus faecalis is a major cause of complicated urinary tract infections (UTIs), characterized by intrinsic resistance and pronounced biofilm formation. Nitroxoline (NTX), a metal-chelating uroantiseptic, accumulates in urine and exhibits antibiofilm activity. Hydroquinone (HQ), the active urinary metabolite of arbutin-containing herbal preparations, is also excreted into urine and may contribute to antimicrobial activity in situ. This study investigated the antimicrobial and antibiofilm effects of NTX and HQ, individually and in combination, against uropathogenic E. faecalis isolates. Methods: Minimum inhibitory (MIC), bactericidal (MBC), and anti-adhesion (MAC) concentrations were determined using broth microdilution. Interaction was assessed by the checkerboard method and expressed as the fractional inhibitory concentration index (FICI). Biofilm inhibition was quantified by colony-forming unit (CFU) enumeration following exposure to subinhibitory concentrations. Ultrastructural alterations of E. faecalis following exposure to NTX and HQ were examined by transmission electron microscopy (TEM). Results: NTX demonstrated MIC values ranging from 0.002–0.016 mg/mL (MIC50/MIC90: 0.004/0.008 mg/mL), while HQ exhibited MIC values of 0.78–1.56 mg/mL (MIC50/MIC90: 0.78/1.56 mg/mL). Synergistic interactions (FICI ≤ 0.5) were observed in selected isolates, with up to eightfold and sixteenfold reductions in NTX and HQ concentrations, respectively. Additive effects predominated in the remaining isolates without antagonism. The combination achieved 3–5 log10 reductions in adherent bacterial counts compared to untreated controls and up to 4 log10 reductions compared to single-agent exposure. In several strains, complete inhibition of adhesion was observed. TEM analysis revealed marked envelope disruption, cytoplasmic condensation, and structural collapse following combined treatment. Conclusions: Given that both NTX and HQ are active within the urinary environment, their combination may represent a pharmacologically relevant strategy targeting both bacterial growth and early biofilm establishment in enterococcal UTIs. These findings support further in vivo and pharmacokinetic investigations to evaluate the clinical applicability of this combination. Full article
(This article belongs to the Special Issue Progress and Challenges in the Antibiotic Treatment of Infections)
Show Figures

Figure 1

24 pages, 4177 KB  
Article
NMR-Guided Discovery of Luvunga D: A Novel Propellane-Type Limonoid from Luvunga scandens That Functions as a Non-Classical Ferroptosis Inhibitor
by Bien-Thuy Bui Nguyen, Hoang-Minh Bui, Chia-Ching Liaw, Quoc-Dung Tran Huynh, Chih-Hua Chao, Duy-Hien Tran, I-Wen Lo, Thanh-Hoa Vo, Andreas Koeberle, Solveigh C. Koeberle, Mei-Chuan Chen and Yu-Chi Lin
Antioxidants 2026, 15(3), 402; https://doi.org/10.3390/antiox15030402 - 23 Mar 2026
Viewed by 298
Abstract
Recent phytochemical investigations have demonstrated that Luvunga scandens is a rich source of structurally diverse secondary metabolites; however, its potential antioxidant-active constituents and their underlying mechanisms remain largely unexplored. In this study, an NMR-guided fractionation strategy applied to the rhizomes and leaves of [...] Read more.
Recent phytochemical investigations have demonstrated that Luvunga scandens is a rich source of structurally diverse secondary metabolites; however, its potential antioxidant-active constituents and their underlying mechanisms remain largely unexplored. In this study, an NMR-guided fractionation strategy applied to the rhizomes and leaves of L. scandens led to the isolation of ten limonoids, including three new compounds, Luvungas B–D (3, 4, and 8). Their structures and absolute configurations were determined through extensive spectroscopic analysis, X-ray diffraction, and ECD calculations. Based on the isolated analogues, a biosynthetic pathway is proposed, featuring the metabolic bifurcation of a key acyclic intermediate into the isoobacunoic acid and propellane-type lineages. Biological evaluation revealed that 8 inhibits RSL3-induced ferroptosis in HepaRG liver cells with an EC50 of 16.1 µM. Mechanistic studies demonstrated that, unlike classical antioxidants, compound 8 mitigates lipid peroxidation without exhibiting direct radical-scavenging or iron-chelating activities. These findings suggest that 8 suppresses ferroptosis via non-canonical mechanisms. Full article
Show Figures

Graphical abstract

19 pages, 1473 KB  
Article
Phytochemical Composition and Bioactivity of Acanthus dioscoridis var. perringii: An Integrated Analysis of Antioxidant Activity, Enzyme Inhibition, and Phenolic–Bioactivity Correlations
by Bedrettin Selvi
Pharmaceuticals 2026, 19(3), 512; https://doi.org/10.3390/ph19030512 - 20 Mar 2026
Viewed by 223
Abstract
Objectives: Plant organs often allocate phenolic metabolites unevenly, resulting in organ-specific bioactivities. This study aimed to characterize the organ-specific phenolic profile of Acanthus dioscoridis var. perringii and determine how this chemical segregation is associated with antioxidant capacity and enzyme inhibitory activities. Materials and [...] Read more.
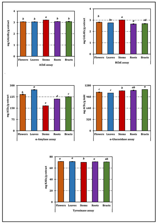
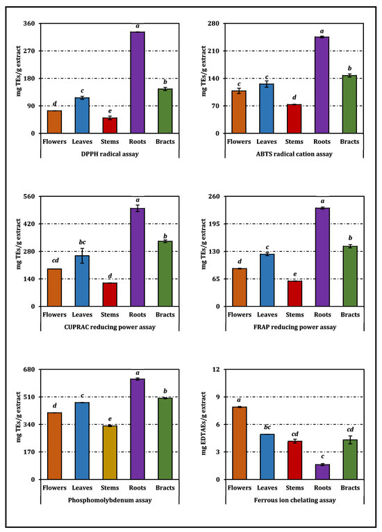
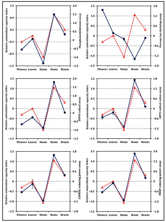
Objectives: Plant organs often allocate phenolic metabolites unevenly, resulting in organ-specific bioactivities. This study aimed to characterize the organ-specific phenolic profile of Acanthus dioscoridis var. perringii and determine how this chemical segregation is associated with antioxidant capacity and enzyme inhibitory activities. Materials and Methods: Organ-specific extracts (roots, stems, leaves, bracts, and flowers) were evaluated for total phenolic and flavonoid contents, targeted LC-MS analysis of individual phenolics, antioxidant activity by multiple assays, enzyme inhibition [acetylcholinesterase (AChE), butyrylcholinesterase (BChE), α-amylase, and α-glucosidase], and the relationships between phenolic composition and biological activities. Antioxidant performance was also assessed using the Relative Antioxidant Capacity Index (RACI). Results and Discussion: Roots showed the highest total phenolic content, whereas bracts had the highest total flavonoid level. Verbascoside was the dominant compound in all organs, with the highest levels in leaves, roots, and bracts. Roots exhibited the strongest reducing and radical-scavenging activities, while flowers showed the best metal-chelating capacity. Enzyme inhibition was organ-dependent and generally moderate, with stems showing the strongest cholinesterase inhibition, leaves the strongest α-amylase inhibition, and bracts together with roots the strongest α-glucosidase inhibition. Statistical analysis revealed close associations between phenolic richness, antioxidant responses, and cholinesterase inhibition. Conclusions: These findings demonstrate a clear organ-dependent distribution of phenolic compounds in A. dioscoridis var. perringii, reflected in distinct antioxidant and enzyme inhibitory profiles. Overall, the study provides a biochemical and bioactivity-based characterization of the species at the organ level. Full article
Show Figures

Graphical abstract

17 pages, 2581 KB  
Article
An Investigation into Carnosine as a Coordinating Ligand of Essential Metals, Copper, Zinc and Iron, and Some of Its Biological Activity
by Giovanna Claudino de Lima, João Honorato de Araujo-Neto, Marcelo Cecconi Portes, Ana Paula Araujo de Oliveira and Ana Maria da Costa Ferreira
Inorganics 2026, 14(3), 85; https://doi.org/10.3390/inorganics14030085 - 17 Mar 2026
Viewed by 298
Abstract
Carnosine (or β-alanyl-L-histidine) is an endogenous compound playing very important roles in human organisms as antiglycation and antioxidant agents, and, in addition, helping to mitigate illnesses such as cancer and neurodegenerative diseases. Aiming to explore the chelating ability of carnosine, [...] Read more.
Carnosine (or β-alanyl-L-histidine) is an endogenous compound playing very important roles in human organisms as antiglycation and antioxidant agents, and, in addition, helping to mitigate illnesses such as cancer and neurodegenerative diseases. Aiming to explore the chelating ability of carnosine, based on its coordinating possibilities, we started to investigate the metal complexes of essential copper(II), zinc(II), and iron(II) ions coordinated to this dipeptide. Different compounds were isolated in the solid state by adding stoichiometric amounts of metal salts to carnosine at controlled pH or under a controlled atmosphere, with the formation of mono-, bi- and polynuclear species. These complexes were subsequently characterized mainly by spectroscopic techniques (UV–Vis, IR, EPR), in addition to elemental analysis. A binuclear species was isolated with copper(II) and had its structure determined by X-ray diffraction, improving previously reported data in the literature. Two insoluble correlated trinuclear species were isolated with zinc(II) ions, using perchlorate or chloride as counter-ions. In the case of iron, a mononuclear species was verified with Fe(II) ions, obtained under an inert atmosphere. Further, the antioxidant properties of free carnosine and the copper–carnosine complex were verified by their scavenging activity toward the ABTS•+ radical, using Trolox as a reference, showing significant activity. The carnosine–metal complexes were also tested as potential antineoplastic agents, in comparison to the free ligand, after 24 h of incubation at 37 °C, using malignant HeLa, SKMEL 28 and SKMEL 147, and non-tumor fibroblast cells. Results indicated neglected or poor anti-proliferative properties of these metal complexes, when compared to other similar compounds described in the literature. Full article
Show Figures

Figure 1

14 pages, 2274 KB  
Article
Ruthenium Materials: Synthesis, Characterization, Optical, Antioxidant, and Anticancer Applications
by Sampath Krishnan, Anusha Karunakaran, Nagoor Meeran Mohamed Ibrahim, Sampath Gayathri, Jong Hun Han and Paulraj Arunkumar
Processes 2026, 14(6), 947; https://doi.org/10.3390/pr14060947 - 16 Mar 2026
Viewed by 272
Abstract
The technological promise of nonlinear optical (NLO) compounds has stimulated intense interest in optoelectronic devices, data storage, photonics, and anticancer therapy. Thiosemicarbazone ruthenium materials are of growing interest because of their tunable ligand framework and coordination sphere, allowing fine control over geometry, electronics, [...] Read more.
The technological promise of nonlinear optical (NLO) compounds has stimulated intense interest in optoelectronic devices, data storage, photonics, and anticancer therapy. Thiosemicarbazone ruthenium materials are of growing interest because of their tunable ligand framework and coordination sphere, allowing fine control over geometry, electronics, and functional properties. Here, we report an N-substituted salicylaldehyde thiosemicarbazone ligand and a series of octahedral Ru(III) complexes bearing triphenylphosphine or triphenylarsine and halide (Cl, Br) co-ligands. The complexes were characterized by elemental analysis, FT-IR, UV–Vis, EPR, mass spectrometry, and magnetic susceptibility measurements, which together confirm NS-chelation to a low-spin Ru(III) center in a distorted octahedral environment. Their photophysical and NLO responses were assessed by UV–Vis spectroscopy and powder second-harmonic generation measurements (Kurtz–Perry method), revealing promising NLO behavior. In parallel, antioxidant activity and in vitro anticancer effects against HeLa cells were evaluated by 2,2-diphenyl-1-picrylhydrazyl (DPPH) radical-scavenging and 3-(4,5-dimethylthiazol-2-yl)-2,5-diphenyltetrazolium bromide (MTT) cytotoxicity assays. These results provide insight into ligand-controlled structure–activity relationships, in which the halide (Cl/Br) and ancillary triarylphosphine co-ligands regulate electronic interactions and lipophilicity and ultimately increase biological performance, underscoring the dual materials and medicinal potential of these Ru(III) complexes. Full article
(This article belongs to the Section Materials Processes)
Show Figures

Graphical abstract

25 pages, 1792 KB  
Review
Pecan (Carya illinoinensis) Shells as a Source of Antioxidants: Implications for Oxidative Stress-Driven Pathologies
by Ifeoma Roseline Ezeanolue, Judith George, Precious Aimalohi Ohioze, Oluwapelumi Oloyede Oyeniyi, Jasper Okoro Godwin Elechi, Monica Rosa Loizzo and Pierluigi Plastina
Molecules 2026, 31(6), 993; https://doi.org/10.3390/molecules31060993 - 16 Mar 2026
Viewed by 233
Abstract
Pecan nutshells (PNS), once considered agricultural waste, are now recognized as a sustainable source of natural antioxidants with potential therapeutic benefits against oxidative stress-related diseases. This narrative review synthesized evidence from the last decade, including predominantly in vitro and in vivo studies, with [...] Read more.
Pecan nutshells (PNS), once considered agricultural waste, are now recognized as a sustainable source of natural antioxidants with potential therapeutic benefits against oxidative stress-related diseases. This narrative review synthesized evidence from the last decade, including predominantly in vitro and in vivo studies, with limited clinical evidence. PNS are particularly rich in polyphenols (gallic acid, ellagic acid, vanillic acid, catechins), with phenolic and flavonoid concentrations reported to be 5–20 times higher than those in the edible kernels. Their antioxidant actions involve free radical scavenging, metal chelation, enhancement of enzymatic defenses, and modulation of redox signalling. Preclinical findings suggest protective roles in cardiovascular disease, diabetes, neurodegeneration, and cancer, mediated through reduced lipid peroxidation, improved glucose metabolism, neuroprotection, and anticarcinogenic activity. However, variability in extraction methods, cultivar differences, and bioavailability issues remain major challenges. Standardized clinical studies are needed to validate the therapeutic potential of PNS as a sustainable antioxidant source. Full article
(This article belongs to the Special Issue Featured Review Papers in Food Chemistry—2nd Edition)
Show Figures

Figure 1

30 pages, 760 KB  
Review
Gadolinium Nanoparticles: Emerging Platforms Beyond Imaging for Drug Delivery and Theranostics
by Amir Nasrolahi Shirazi, Rajesh Vadlapatla, Ajoy Koomer, Heyam Zayed, Paris Marabut and Keykavous Parang
Pharmaceutics 2026, 18(3), 358; https://doi.org/10.3390/pharmaceutics18030358 - 13 Mar 2026
Viewed by 385
Abstract
Gadolinium nanoparticles (GdNPs) have gained increasing attention as multifunctional metal-based nanoplatforms that extend far beyond their traditional use as magnetic resonance imaging (MRI) contrast agents. Their specific magnetic properties, tunable physicochemical features, and tunable biocompatibilities with biocompatible coatings give them great potential as [...] Read more.
Gadolinium nanoparticles (GdNPs) have gained increasing attention as multifunctional metal-based nanoplatforms that extend far beyond their traditional use as magnetic resonance imaging (MRI) contrast agents. Their specific magnetic properties, tunable physicochemical features, and tunable biocompatibilities with biocompatible coatings give them great potential as drug delivery and theranostic applications. They offer greater stability, lower systemic toxicity, and more surface modification options compared to molecular gadolinium chelates. The functionalized GdNPs not only show excellent properties as drug carriers for their specific indications but also serve as agents in various imaging modalities with superior therapeutic efficacy by means of radio sensitization and magnetically assisted delivery. Note too that GdNP-based formulations have demonstrated synergistic activity when administered with chemotherapeutic agents such as doxorubicin. GdNPs have demonstrated promising preclinical outcomes, and their clinical translation remains restricted due to a number of scale-up constraints, long-term safety challenges, pharmacokinetics, and regulatory problems. This review provides information on the use of GdNPs, their key physicochemical and magnetic properties, ligand engineering for targeted delivery, and biological mechanisms of their theranostic performance. Full article
Show Figures

Figure 1

23 pages, 5356 KB  
Article
Measuring Communication in Microbial Biofilms in Response to Antibiotics, Phytochemicals and Stressors
by Jean-Marc Zingg, Pratibha Joshi, Michael Moraskie, Mengrui Li, Sherwin Reyes, Md Harun Or Roshid, Sapna Deo and Sylvia Daunert
Antioxidants 2026, 15(3), 361; https://doi.org/10.3390/antiox15030361 - 12 Mar 2026
Viewed by 325
Abstract
A high-throughput assay system is developed for measuring communication in microbial biofilms in a 96-well microtiter plate format. In this assay, bioluminescent microbial whole cell biosensor systems (MWCBs) for quorum-sensing molecules (QSMs) are embedded into biofilms, and their response to chemical cues relevant [...] Read more.
A high-throughput assay system is developed for measuring communication in microbial biofilms in a 96-well microtiter plate format. In this assay, bioluminescent microbial whole cell biosensor systems (MWCBs) for quorum-sensing molecules (QSMs) are embedded into biofilms, and their response to chemical cues relevant for bacterial communication is assessed. For measuring the response to stress, a sigma factor 54 (σ54, RpoN)-dependent MWCB was developed. Biofilms generated in this platform were exposed to gradients of communication signals (QSMs such as N-acetyl-homoserine lactones (AHLs), 3,5- dimethylpyrazin-2-ol (DPO), or phytochemicals that can act as natural quorum-sensing inhibitors (QSIs) such as curcumin or 3,3′-diindolylmethane (DIM)), and the response pattern was monitored. Further, the regulatory role of stressors such as oxidants (H2O2) or antibiotics (ciprofloxacin, trimethoprim/sulfamethoxazole) on the communication response is assessed. QSMs induced the MWCBs at 1 h and 4 h in biofilms, but high concentrations inhibited them at 24 h. Curcumin and DIM at higher concentrations lead to inhibition of quorum sensing in biofilms after 4 h and 24 h, but this is not followed by biofilm disintegration. H2O2 above 0.002% efficiently inhibited the MWCB activities and led to biofilm disintegration. At lower concentrations of H2O2, we observed induction of MWCBs. The antibiotics inhibited the MWCB activity at concentrations above their minimal inhibitory concentration (MIC), but this did not necessarily lead to disintegration of the biofilm. Like low concentrations of H2O2, the antibiotics activated the MWCBs at concentrations close to their MIC, possibly as a result of H2O2 generated during their bactericidal action. Interestingly, the induction of communication in response to antibiotics can be quenched by iron chelators, suggesting involvement of H2O2 and free radicals generated by the Fenton reaction. We hypothesize that the observed response to these stressors reflects increased communication in the biofilm, possibly enhancing tolerance and increasing survival. Full article
(This article belongs to the Special Issue Regulatory Effects of Curcumin, 2nd Edition)
Show Figures

Graphical abstract

26 pages, 56664 KB  
Article
Dimercaprol Reprograms Intestinal Redox Homeostasis and Organelle Crosstalk to Combat Iron-Induced Gut Dysbiosis Through NRF2/HO-1 Signaling
by Asad Khan, Zongliang Xiong, Iftikhar Ali Khan, Xiangyu Cheng, Qihui Luo, Lanlan Jia, Wentao Liu, Chao Huang and Zhengli Chen
Antioxidants 2026, 15(3), 356; https://doi.org/10.3390/antiox15030356 - 11 Mar 2026
Viewed by 348
Abstract
Gut disorders are largely caused by iron-induced microbial dysbiosis. Excess iron disrupts barrier integrity by inducing oxidative stress, leading to impaired cellular processes. The determination of therapeutic compounds that can reduce iron-induced damage and maintain gut cellular integrity is still a top objective. [...] Read more.
Gut disorders are largely caused by iron-induced microbial dysbiosis. Excess iron disrupts barrier integrity by inducing oxidative stress, leading to impaired cellular processes. The determination of therapeutic compounds that can reduce iron-induced damage and maintain gut cellular integrity is still a top objective. Dimercaprol (DP) represents a novel iron-chelating strategy for the treatment of iron-induced gut disorders. A chronic iron-overload model was established in mice via intragastric gavage of ferric citrate (FC) (286 mg/kg BW) for 16 weeks. Similarly, IPEC-J2 cells were exposed to FC (50 µmol/L) for 24 h. DP was used as a mechanistic probe to elucidate the pathways involved in iron-induced toxicity. Cells were transfected with or without NRF2 siRNA and exposed to DP post-FC. Colonic contents were assessed via metagenomics and metabolomics. Both in vivo and in vitro experiments were analyzed through a multifaceted analysis, Western blot, RT-qPCR, ELISA, transmission electron microscopy and immunofluorescence assays. Thiols in DP protect gut cells from damage by boosting their natural antioxidant defenses via the NRF2/HO-1 pathway. The DP mechanism of action is multifaceted, including enhancement of barrier integrity, protecting mitochondrial structure and function, suppression of inflammation and endoplasmic reticulum (ER) stress and restoration of gut microbial and metabolic homeostasis. These protective effects are mainly caused by the activation of the NRF2/HO-1 pathway, which makes DP a potential therapeutic agent for disorders caused by chronic gut injury induced by FC. DP provides strong protection against iron-induced gut damage by restoring organelle crosstalk, redox homeostasis and microbial–metabolic balance through NRF2/HO-1 signaling. Full article
(This article belongs to the Section Health Outcomes of Antioxidants and Oxidative Stress)
Show Figures

Graphical abstract

15 pages, 2156 KB  
Article
Impact of Silicon-Based Biostimulant on Improving Growth and Morpho-Physiological Traits of Sweet Basil (Ocimum basilicum L.) in a Glasshouse Production System
by Zoia Arshad Awan, Michael T. Gaffney and Lael Walsh
Plants 2026, 15(6), 859; https://doi.org/10.3390/plants15060859 - 10 Mar 2026
Viewed by 472
Abstract
Silicon-based biostimulants are gaining increasing interest for their ability to enhance plant performance and stress tolerance. In protected cultivation, where environmental conditions are already carefully managed, it remains unclear whether adding biostimulants provides meaningful benefits and how they should be used. This study [...] Read more.
Silicon-based biostimulants are gaining increasing interest for their ability to enhance plant performance and stress tolerance. In protected cultivation, where environmental conditions are already carefully managed, it remains unclear whether adding biostimulants provides meaningful benefits and how they should be used. This study examines whether silicon (Si) biostimulants can enhance the growth and morpho-physiological traits of sweet basil (Ocimum basilicum L.) in glasshouse production and which application rates are most effective. Two Si-based products with similar silicon content and different formulations were applied as soil drenches at four rates (10 mL, 100 mL, 1 L, and 2 L per hectare). Plant growth, biomass, photosynthetic performance, and physiological traits including membrane stability and electrolyte leakage were measured. Overall, silicon treatments improved most traits compared with untreated plants. Basil receiving Si showed longer shoots and roots, greater fresh and dry weight, and healthier leaves with better photosynthetic activity, as reflected by higher SPAD values and chlorophyll content. The response often depended on the dose: lower rates (10 mL and 100 mL h−1) of the silicic acid tetraethyl ester (21% Si) led to clear improvements in 7 of 12 measured traits, while higher rates (especially 2 L ha−1) reduced leaf size and morphology. However, root length: shoot length ratios were low across all treatments with the second biostimulant product: SiO2 with chelated iron (T5–T9). Certain results are paradoxical, suggesting a trade-off in growth and defense. In some instances, low doses promote growth but potentially worsen some physiological indicators, while high doses inhibit growth but improve stress resistance indicators. The conclusion indicates that silicon-based biostimulants are valuable to include in single-harvest basil production systems, when applied at a suitable rate. Choosing the correct formulation and dose requires testing and optimization to the crop and growing system. Full article
(This article belongs to the Special Issue Advances in Biostimulant Use on Horticultural Crops—Second Edition)
Show Figures

Figure 1

23 pages, 3209 KB  
Article
Resting Cytosolic and Nuclear Reactive Oxygen Species (ROS) Are Regulated by the Basal Activity of ET-1 Receptors in Human Vascular Smooth Muscle Cells
by Ghassan Bkaily, Rana Semaan and Danielle Jacques
Int. J. Mol. Sci. 2026, 27(6), 2524; https://doi.org/10.3390/ijms27062524 - 10 Mar 2026
Viewed by 148
Abstract
Endothelin-1 (ET-1) is a potent vasoconstrictor that exerts its numerous biological actions through two receptors, ETA and ETB. However, the implication and role of each receptor in ROS generation remain ambiguous. Previously, our group reported that blocking the basal activity [...] Read more.
Endothelin-1 (ET-1) is a potent vasoconstrictor that exerts its numerous biological actions through two receptors, ETA and ETB. However, the implication and role of each receptor in ROS generation remain ambiguous. Previously, our group reported that blocking the basal activity of ETA and ETB receptors with their respective peptidic antagonists increased basal intracellular calcium (Ca2+) levels, an effect inhibited by chelating extracellular Ca2+. Since a crosstalk between Ca2+ and reactive oxygen species (ROS) exists, the purpose of the present work was to investigate whether this increase in basal resting Ca2+ level induced by the blockade of ETA and ETB receptors is associated with an increase in resting ROS level. Our results showed that the basal activity of ETA and ETB receptors contributes negatively to the resting level of cytosolic and nuclear ROS, and that each receptor appears to act as the other’s physiological antagonist. Furthermore, our results showed that ET-1 receptor blockade increases ROS via a receptor insensitive to ETA and ETB receptor antagonists. This type of receptor could be the one reported by our group, ETC, or simply a heterodimeric ETA/ETB receptor. Moreover, blocking the heterodimerized ETA/ETB binding site is sufficient to unblock the physiological antagonism that each receptor exerts on the other. Furthermore, our results showed that blocking both ETA and ETB receptors, thereby preventing heterodimerization, prevented the increase in resting ROS, supporting the existence of a heterodimerized ET-1 receptor. Since human vascular smooth muscle cells (VSMCs) express only ETB receptors at the nuclear membrane, it is possible to suggest that nuclear ETB receptors are homodimers that regulate the resting nuclear ROS level. In conclusion, our results showed that the regulation of resting ROS levels by ET-1 and its receptors can be mediated by homodimerized and/or heterodimerized receptor activation; hence, the importance of developing drugs targeting this receptor type. Full article
Show Figures

Figure 1

20 pages, 8163 KB  
Article
Heat Treatment Modulates Structure, Functionality, and Digestion-Related Antioxidant Activity of Xanthoceras sorbifolium Seed Meal Protein
by Duanwu Liu, Qiuling Lu and Min Yang
Foods 2026, 15(5), 918; https://doi.org/10.3390/foods15050918 - 6 Mar 2026
Viewed by 278
Abstract
Enhancing plant protein structure, functionality, and digestion-associated bioactivity is pivotal to advancing sustainable food applications. In this study, a controlled thermal treatment was applied to Xanthoceras sorbifolium seed meal protein (XSMP) to characterize alterations in structural features, functional performance, and digestion-related bioactivity. Structural [...] Read more.
Enhancing plant protein structure, functionality, and digestion-associated bioactivity is pivotal to advancing sustainable food applications. In this study, a controlled thermal treatment was applied to Xanthoceras sorbifolium seed meal protein (XSMP) to characterize alterations in structural features, functional performance, and digestion-related bioactivity. Structural analyses showed that moderate heating induced partial unfolding and disaggregation, leading to reduced particle size and improved colloidal stability, with optimal performance observed at 65 °C. Accordingly, foaming capacity and emulsifying activity index reached their highest values under moderate heat pretreatment (71.43% and 27.21 m2/g, respectively). Simulated in vitro gastrointestinal digestion revealed that moderate heat pretreatment enhanced protease accessibility and was associated with increased formation of low-molecular-weight fragments. As a result, digestion products from optimally treated XSMP exhibited significantly enhanced antioxidant activities during the intestinal phase, including higher reducing power, Fe2+-chelating capacity (up to 51.21%), and lipid peroxidation inhibition (82.83%). In contrast, insufficient unfolding at lower temperatures or excessive aggregation at higher temperatures reduced the susceptibility to digestive proteases and the associated functional performance. These findings demonstrate that controlled heat treatment provides a simple and eco-friendly strategy to enhance the functional potential of XSMP, supporting its application as a functional protein ingredient. Full article
(This article belongs to the Section Food Physics and (Bio)Chemistry)
Show Figures

Figure 1

22 pages, 5939 KB  
Article
Cultivar-Specific Flesh Mealiness in Apple Fruit Associated with Divergent Cell Wall Metabolism and Accelerated Senescence
by Zhenshuo Ren, Zhimin Yang, Yang Bi, Zonghuan Ma, Wenfang Li, Yingjun Hou, Zhigang Guo, Xin Li and Baihong Chen
Horticulturae 2026, 12(3), 309; https://doi.org/10.3390/horticulturae12030309 - 5 Mar 2026
Viewed by 260
Abstract
Flesh mealiness, a textural disorder in apples, reduces storage quality and consumer acceptance. The ‘Delicious’ and ‘Fuji’, prominent apple cultivars in China, exhibit contrasting susceptibility to mealiness, though the underlying mechanisms remain unclear. This study compared cytological, physiological and cell wall metabolic changes [...] Read more.
Flesh mealiness, a textural disorder in apples, reduces storage quality and consumer acceptance. The ‘Delicious’ and ‘Fuji’, prominent apple cultivars in China, exhibit contrasting susceptibility to mealiness, though the underlying mechanisms remain unclear. This study compared cytological, physiological and cell wall metabolic changes between mealy ‘Oregon Spur II Delicious’ and non-mealy ‘Miyazaki Spur Fuji’ during ambient storage. Toluidine blue staining and scanning electron microscopy revealed that ‘Delicious’ exhibited larger intercellular spaces and cell separation in contrast to ‘Fuji’. This observation aligns with the earlier onset of mealiness in ‘Delicious’: its mealiness degree increased from 3.06% at harvest to 19.62% after 28 d of storage (a 6.4-fold rise), whereas that of ‘Fuji’ only increased from 2.13% to 3.90% (1.8-fold). This pronounced increase in ‘Delicious’ was accompanied by a significant increase in air space volume and a reduction in expressible juice. Furthermore, the occurrence of mealiness in ‘Delicious’ involved a sharp increase in respiration rate and ethylene production, alongside rapid declines in firmness and starch content. Notably, there was a substantial accumulation of water-soluble pectin (WSP) and chelator-soluble pectin (CSP) in ‘Delicious’, whereas the content of Na2CO3-soluble pectin (NSP) remained consistently lower. Monosaccharide composition analysis confirmed significantly reduced arabinose and galactose levels across pectin fractions (WSP, CSP, and NSP) in ‘Delicious’. Correspondingly, immunofluorescence labeling showed a pronounced degradation of arabinan and galactan within the side chains of rhamnogalacturonan-I (RG-I). In addition, the activities of pectin methylesterase, α-L-Arabinofuranosidase, and β-D-Galactosidase remained significantly elevated in ‘Delicious’. Collectively, these findings demonstrate that cultivar differences in flesh mealiness are attributable to divergent physiological senescence and cell wall disassembly processes. Full article
(This article belongs to the Section Postharvest Biology, Quality, Safety, and Technology)
Show Figures

Figure 1

Back to TopTop