Phytochemical Composition and Bioactivity of Acanthus dioscoridis var. perringii: An Integrated Analysis of Antioxidant Activity, Enzyme Inhibition, and Phenolic–Bioactivity Correlations
Abstract
1. Introduction
2. Results and Discussion
2.1. Chemical Composition
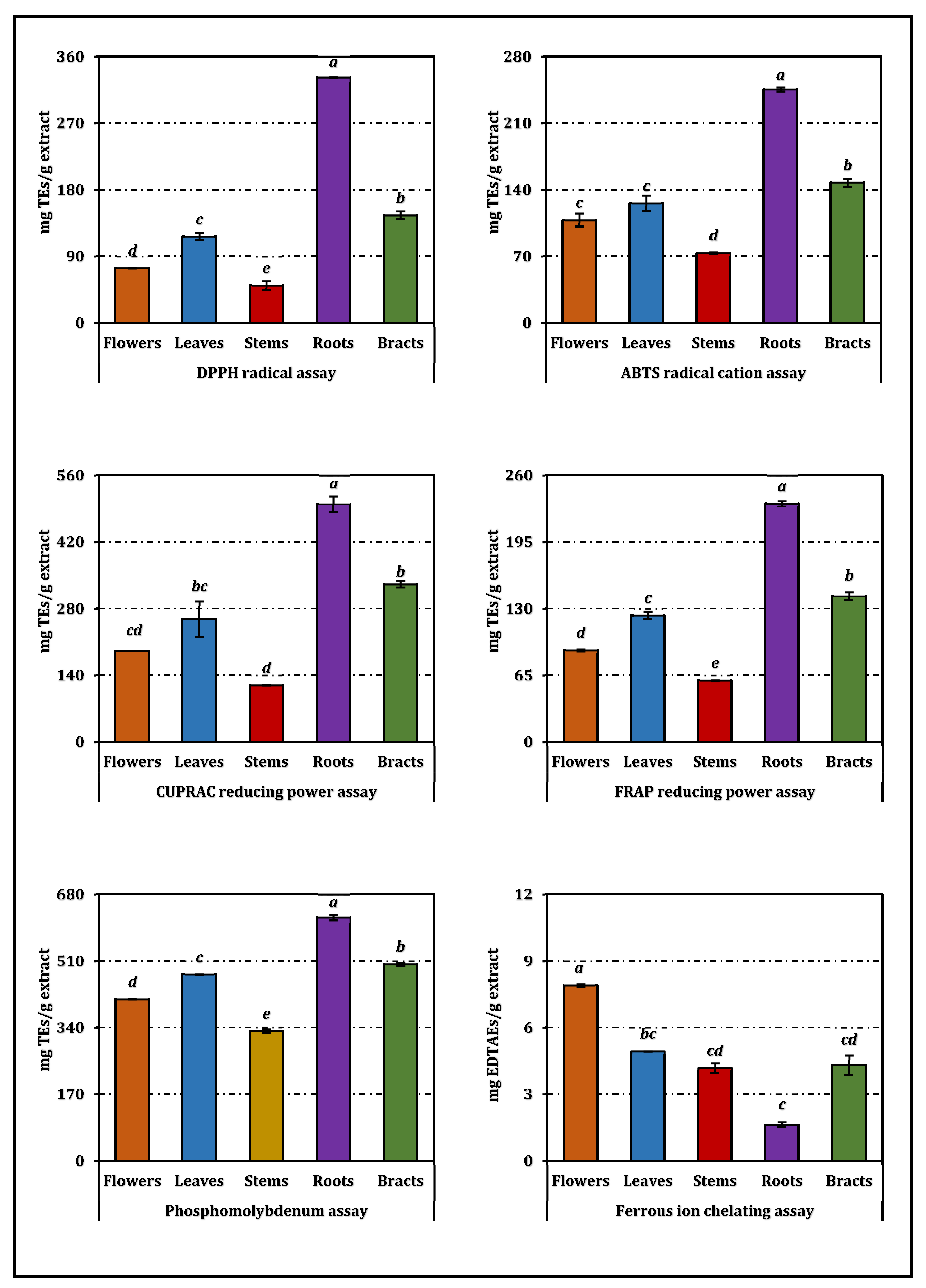
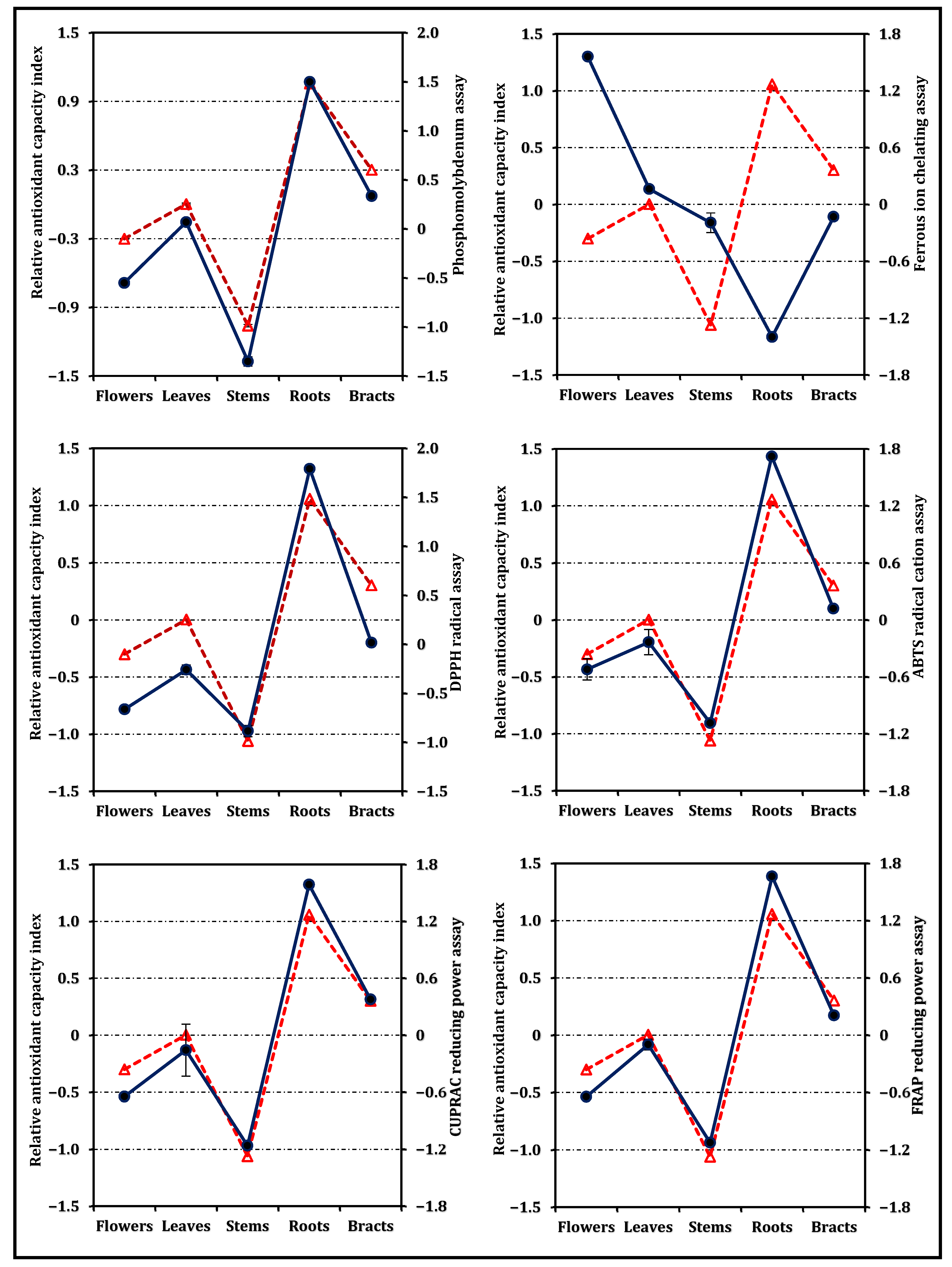
2.2. Antioxidant Activity
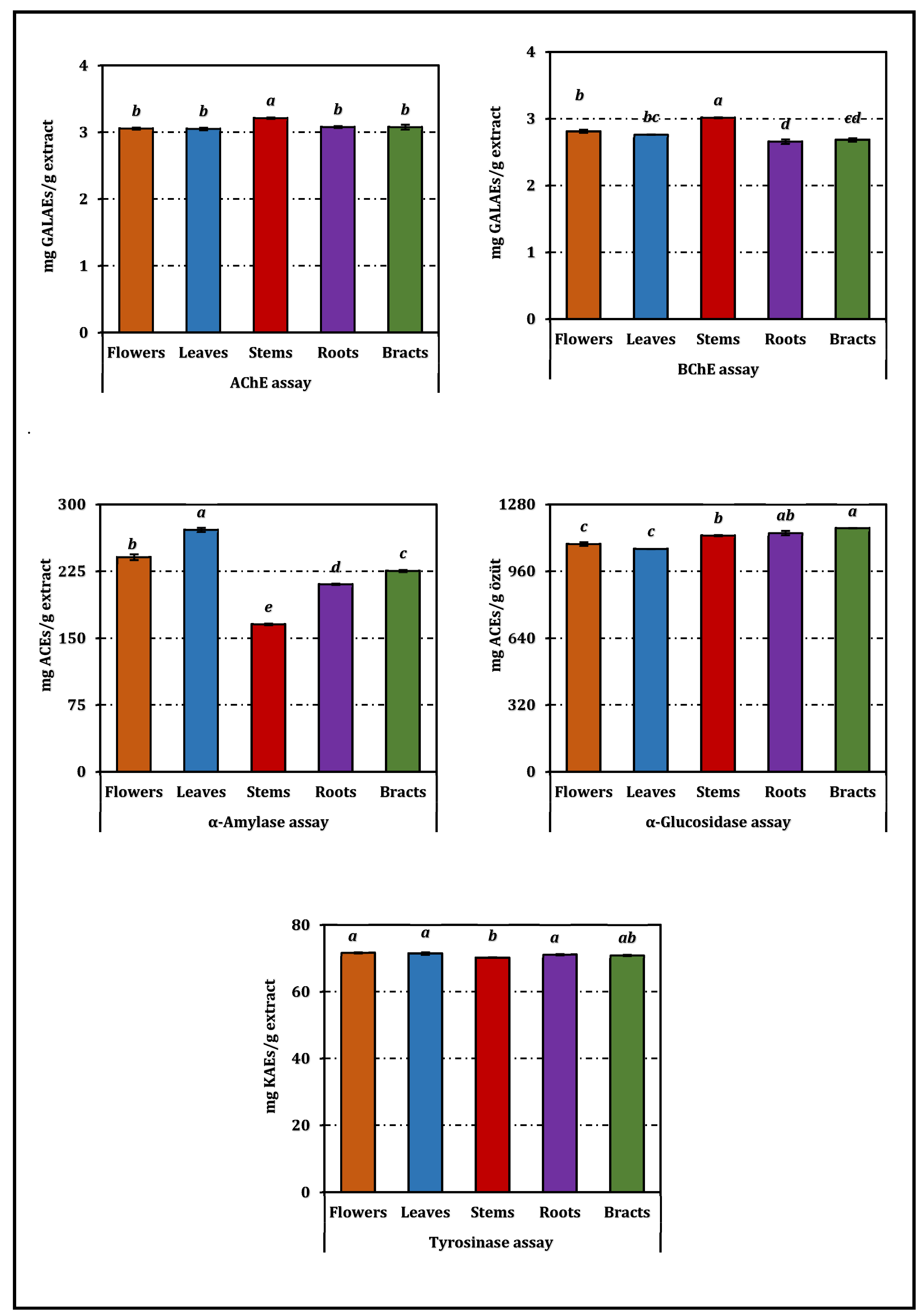
2.3. Enzyme Inhibitory Activity
2.4. Correlations Among Phenolic Compounds and Assays
3. Materials and Methods
3.1. Chemicals
3.2. Plant Material
3.3. Ethanol Extraction
3.4. Determination of the Chemical Compositions of the Extracts
3.5. Biological Activity
3.6. Statistical Analysis
3.7. Use of Artificial Intelligence
4. Conclusions
Supplementary Materials
Funding
Institutional Review Board Statement
Informed Consent Statement
Data Availability Statement
Conflicts of Interest
References
- Sun, T.; Tanumihardjo, S.A. An integrated approach to evaluate food antioxidant capacity. J. Food Sci. 2007, 72, R159–R165. [Google Scholar] [CrossRef] [PubMed]
- Sun, W.; Shahrajabian, M.H. Therapeutic potential of phenolic compounds in medicinal plants—Natural health products for human health. Molecules 2023, 28, 1845. [Google Scholar] [CrossRef] [PubMed]
- Zhang, Y.; Cai, P.; Cheng, G.; Zhang, Y. A brief review of phenolic compounds identified from plants: Their extraction, analysis, and biological activity. Nat. Prod. Commun. 2022, 17, 1934578X211069721. [Google Scholar] [CrossRef]
- Nile, S.H.; Keum, Y.S.; Nile, A.S.; Jalde, S.S.; Patel, R.V. Antioxidant, anti-inflammatory, and enzyme inhibitory activity of natural plant flavonoids and their synthesized derivatives. J. Biochem. Mol. Toxicol. 2018, 32, e22002. [Google Scholar] [CrossRef]
- Matos, P.; Batista, M.T.; Figueirinha, A. A review of the ethnomedicinal uses, chemistry, and pharmacological properties of the genus Acanthus (Acanthaceae). J. Ethnopharmacol. 2022, 293, 115271. [Google Scholar] [CrossRef]
- Singh, D.; Aeri, V. Phytochemical and pharmacological potential of Acanthus ilicifolius. J. Pharm. Bioallied Sci. 2013, 5, 17–20. [Google Scholar] [CrossRef]
- Keskin, C. Investigations of in vitro antioxidant activities, elemental compositions and lipid constituents of Acanthus dioscoridis L. var. dioscoridis L. as a Medicinal Plant. J. Inst. Sci. Technol. 2017, 7, 141–148. [Google Scholar] [CrossRef]
- Keser, S.; Kaygılı, O.; Tekin, S.; Türkoğlu, İ.; Yılmaz, Ö.; Karatepe, M.; Kırbağ, S.; Sandal, S. In vitro antimicrobial, anticancer and antioxidant activities and bioactive contents of endemic Acanthus dioscoridis L. var. dioscoridis flowers from Türkiye. J. Phys. Chem. Funct. Mater. 2024, 7, 66–72. [Google Scholar] [CrossRef]
- Purwanto, P.; Irianto, I.D.K.; Wahyuni, T.S.; Zakaria, Z. Chemistry and Biological Activities of Acanthus ilicifolius. In Bioactive Compounds in Mangroves and Their Associates; Springer: Berlin/Heidelberg, Germany, 2025; pp. 1–45. [Google Scholar]
- Boscaiu, M.; Sánchez, M.; Bautista, I.; Donat, P.; Lidón, A.; Llinares, J.; Llul, C.; Mayoral, O.; Vicente, O. Phenolic Compounds as Stress Markers in Plants from Gypsum Habitats. Bull. Univ. Agric. Sci. Vet. Med. Cluj-Napoca. Hortic. 2010, 67, 44–49. [Google Scholar]
- Yousefi, E.; Abedi, M.; Aghajanzadeh, T.A.; Moreno, D.A. Caper bush (Capparis spinosa L.) bioactive compounds and antioxidant capacity as affected by adaptation to harsh soils. Sci. Rep. 2025, 15, 11893. [Google Scholar] [CrossRef]
- Yang, D.; Liu, X.; Xu, X.; Niu, T.; Ma, X.; Fu, G.; Song, C.; Hou, X. Effect of soil and community factors on the yield and medicinal quality of Artemisia argyi growth at different altitudes of the Funiu mountain. Front. Plant Sci. 2024, 15, 1430758. [Google Scholar] [CrossRef] [PubMed]
- Gębalski, J.; Małkowska, M.; Graczyk, F.; Słomka, A.; Piskorska, E.; Gawenda-Kempczyńska, D.; Kondrzycka-Dąda, A.; Bogucka-Kocka, A.; Strzemski, M.; Sowa, I.; et al. Phenolic compounds and antioxidant and anti-enzymatic activities of selected adaptogenic plants from South America, Asia, and Africa. Molecules 2023, 28, 6004. [Google Scholar] [CrossRef] [PubMed]
- Ahangarpour, A.; Sayahi, M.; Sayahi, M. The antidiabetic and antioxidant properties of some phenolic phytochemicals: A review study. Diabetes Metab. Syndr. Clin. Res. Rev. 2019, 13, 854–857. [Google Scholar] [CrossRef] [PubMed]
- Yılmaz, M.A.; Taslimi, P.; Kılıç, Ö.; Gülçin, İ.; Dey, A.; Bursal, E. Unravelling the phenolic compound reserves, antioxidant and enzyme inhibitory activities of an endemic plant species, Achillea pseudoaleppica. J. Biomol. Struct. Dyn. 2023, 41, 445–456. [Google Scholar] [CrossRef]
- Topal, F.; Yılmaz, F.; Topal, M.; Menevşeoğlu, A. Exploring the Antioxidant and Neuroprotective Potential of Muscari armeniacum: Phenolic Profiling and Enzyme Inhibition. Turk. J. Agric. Food Sci. Technol. 2025, 13, 204–209. [Google Scholar] [CrossRef]
- Nurzyńska-Wierdak, R. Phenolic compounds from new natural sources—Plant genotype and ontogenetic variation. Molecules 2023, 28, 1731. [Google Scholar] [CrossRef]
- Ahmed, K.A.-A.; Alqaisi, K.M.; Ibrahim, N.A.; Jabbar, A.A.J.; Althagbi, H.I.; Hassan, R.R.; Saleh, G.N.; Al-Dabhawi, A.H.; Al-Saleem, M.S.M.; Abdullah, F.O.; et al. Skin tissue regeneration by Acanthus dioscoridis L. leaf extracts in vivo: Relevance to Transforming Growth Factor β 1, antioxidants, and inflammatory factors. Burns 2025, 51, 107690. [Google Scholar] [CrossRef]
- Babu, B.H.; Shylesh, B.S.; Padikkala, J. Antioxidant and hepatoprotective effect of Acanthus ilicifolius. Fitoterapia 2001, 72, 272–277. [Google Scholar] [CrossRef]
- Islam, M.S.; Islam, M.T.; Washim, M.R.; Haque, A.T.; Haque, M.I.; Islam, H.R.; Rashid, M.H.; Mahmud, Y. Antioxidant potentials of Acanthus ilicifolius leaves from Southwest Coastal Region of Bangladesh. Food Chem. Adv. 2024, 5, 100807. [Google Scholar] [CrossRef]
- Olatunji, O.J.; Olatunde, O.O.; Jayeoye, T.J.; Singh, S.; Nalinbenjapun, S.; Sripetthong, S.; Chunglok, W.; Ovatlarnporn, C. New insights on Acanthus ebracteatus Vahl: UPLC-ESI-QTOF-MS profile, antioxidant, antimicrobial and anticancer activities. Molecules 2022, 27, 1981. [Google Scholar] [CrossRef]
- Jara, C.; Leyton, M.; Osorio, M.; Silva, V.; Fleming, F.; Paz, M.; Madrid, A.; Mellado, M. Antioxidant, phenolic and antifungal profiles of Acanthus mollis (Acanthaceae). Nat. Prod. Res. 2017, 31, 2325–2328. [Google Scholar] [CrossRef] [PubMed]
- Firdaus, M.; Prihanto, A.A.; Nurdiani, R. Antioxidant and cytotoxic activity of Acanthus ilicifolius flower. Asian Pac. J. Trop. Biomed. 2013, 3, 17–21. [Google Scholar] [CrossRef] [PubMed]
- Burgos, C.; Muñoz-Mingarro, D.; Navarro, I.; Martín-Cordero, C.; Acero, N. Neuroprotective potential of verbascoside isolated from Acanthus mollis L. leaves through its enzymatic inhibition and free radical scavenging ability. Antioxidants 2020, 9, 1207. [Google Scholar] [CrossRef] [PubMed]
- Matos, P.; Paranhos, A.; Batista, M.T.; Figueirinha, A. Synergistic effect of DIBOA and verbascoside from Acanthus mollis leaf on tyrosinase inhibition. Int. J. Mol. Sci. 2022, 23, 13536. [Google Scholar] [CrossRef]
- Matos, P.; Paranhos, A.; Oliveiros, B.; Cruz, M.T.; Batista, M.T.; Figueirinha, A. Biological and phytochemical variation with pre-and post-harvest conditions for the Acanthus mollis L. leaf. Ind. Crops Prod. 2024, 211, 118221. [Google Scholar] [CrossRef]
- Ogundajo, A.L.; Kazeem, M.I.; Owoyele, O.A.; Ogunmoye, A.; Ogunwande, I.A. Inhibition of α-amylase and α-glucosidase by Acanthus montanus Leaf extracts. Br. J. Pharm. Res. 2016, 9, BJPR.21817. [Google Scholar] [CrossRef]
- Tran, C.L.; Nguyen, V.K.; Chong, K.T.D. Antioxidant and anti-diabetic effects in vitro of extract from the above-ground parts of Acanthus ilicifolius. Bionatura J. 2024, 1, 15. [Google Scholar]
- Sarikurkcu, C.; Kirkan, B.; Sahinler, S.S.; Tepe, B. Can Acanthus spinosus be used as an alternative antioxidant and enzyme inhibitory agent? S. Afr. J. Bot. 2022, 145, 135–141. [Google Scholar] [CrossRef]
- Selvi, B. Comparative study of Pentanema verbascifolium extracts: Phytochemical composition, antioxidant potential, and enzyme inhibition across plant parts. Food Biosci. 2025, 68, 106607. [Google Scholar] [CrossRef]
- Karakus, Z.; Sarikurkcu, C. Organ-Specific LC–MS/MS Phenolic Profiling and Multifunctional Antioxidant and Enzyme Inhibitory Activities of Onosma sintenisii. Molecules 2026, 31, 840. [Google Scholar] [CrossRef]
- Zengin, G.; Uren, M.C.; Kocak, M.S.; Gungor, H.; Locatelli, M.; Aktumsek, A.; Sarikurkcu, C. Antioxidant and Enzyme Inhibitory Activities of Extracts from Wild Mushroom Species from Turkey. Int. J. Med. Mushrooms 2017, 19, 327–336. [Google Scholar] [CrossRef]
- Karakus, Z. Influence of Extraction Method on the Phytochemical Composition and Biofunctional Potential of Centaurea urvillei subsp. Stepposa: A Multi-Assay and In Silico Perspective. ChemistrySelect 2026, 11, e04699. [Google Scholar] [CrossRef]
- Cittan, M.; Çelik, A. Development and validation of an analytical methodology based on Liquid Chromatography–Electrospray Tandem Mass Spectrometry for the simultaneous determination of phenolic compounds in olive leaf extract. J. Chromatogr. Sci. 2018, 56, 336–343. [Google Scholar] [CrossRef]
- Apak, R.; Güçlü, K.; Özyürek, M.; Esin Karademir, S.; Erçaǧ, E. The cupric ion reducing antioxidant capacity and polyphenolic content of some herbal teas. Int. J. Food Sci. Nutr. 2006, 57, 292–304. [Google Scholar] [CrossRef] [PubMed]
- Kose, E.O.; Aktaş, O.; Deniz, I.G.; Sarikürkçü, C. Chemical composition, antimicrobial and antioxidant activity of essential oil of endemic Ferula lycia boiss. J. Med. Plants Res. 2010, 4, 1698–1703. [Google Scholar]
- Sarikurkcu, C.; Locatelli, M.; Mocan, A.; Zengin, G.; Kirkan, B. Phenolic Profile and Bioactivities of Sideritis perfoliata L.: The Plant, Its Most Active Extract, and Its Broad Biological Properties. Front. Pharmacol. 2020, 10, 1642. [Google Scholar] [CrossRef] [PubMed]
- Sarikurkcu, C.; Ozer, M.S.; Calli, N.; Popović-Djordjević, J. Essential oil composition and antioxidant activity of endemic Marrubium parviflorum subsp. oligodon. Ind. Crops Prod. 2018, 119, 209–213. [Google Scholar] [CrossRef]
- Sarikurkcu, C.; Sabih Ozer, M.; Cakir, A.; Eskici, M.; Mete, E. GC/MS evaluation and in vitro antioxidant activity of essential oil and solvent extracts of an endemic plant used as folk remedy in Turkey: Phlomis bourgaei boiss. Evid. Based Complement. Altern. Med. 2013, 2013, 293080. [Google Scholar] [CrossRef]





| Compounds | Flowers | Leaves | Stems | Roots | Bracts |
|---|---|---|---|---|---|
| Verbascoside | 12,382 ± 134 c | 16,641 ± 144 a | 11,655 ± 129 d | 16,390 ± 171 a | 15,551 ± 4 b |
| Protocatechuic acid | 86.4 ± 0.1 b | 225 ± 5 a | 24.5 ± 0.1 c | 18.6 ± 0.1 c | 87.1 ± 0.2 b |
| Hesperidin | 158 ± 3 c | 210 ± 1 b | 31.5 ± 0.1 d | 9.27 ± 0.15 e | 264 ± 3 a |
| 3-Hydroxybenzoic acid | 327 ± 2 a | 209 ± 1 b | 23.6 ± 0.2 d | 8.77 ± 0.13 e | 156 ± 2 c |
| 4-Hydroxybenzoic acid | 325 ± 5 a | 208 ± 4 b | 21.8 ± 1.1 | 8.19 ± 0.14 | 152 ± 1 c |
| Luteolin 7-glucoside | 104 ± 2 c | 183 ± 2 a | 40.6 ± 1.2 d | 2.25 ± 0.13 e | 169 ± 1 b |
| Syringic acid | 74.9 ± 0.8 c | 94.4 ± 0.7 a | 84.4 ± 0.2 b | 55.9 ± 0.4 d | 26.7 ± 0.7 e |
| Hyperoside | 74.5 ± 2.2 a | 53.8 ± 0.7 b | 10.7 ± 0.1 c | 9.12 ± 0.09 c | 54.8 ± 1.1 b |
| Luteolin | 222 ± 5 a | 44.9 ± 0.2 c | 11.7 ± 0.2 d | 1.01 ± 0.06 e | 169 ± 1 b |
| p-Coumaric acid | 56.3 ± 0.8 a | 35.9 ± 0.2 b | 22.8 ± 0.5 d | 19.7 ± 0.5 e | 29.0 ± 0.5 c |
| Ferulic acid | 37.8 ± 0.7 a | 19.6 ± 0.6 b | 16.9 ± 0.2 c | 9.01 ± 0.03 e | 14.9 ± 0.1 d |
| Apigenin 7-glucoside | 42.7 ± 1.4 b | 18.8 ± 0.2 c | 7.75 ± 0.27 d | 2.53 ± 0.03 e | 72.3 ± 0.8 a |
| Chlorogenic acid | 53.2 ± 0.4 a | 17.0 ± 0.1 b | 13.3 ± 0.1 d | 16.0 ± 0.3 c | 14.2 ± 0.1 d |
| Caffeic acid | 33.1 ± 0.5 a | 12.0 ± 0.3 d | 13.7 ± 0.3 c | 15.7 ± 0.3 b | 16.7 ± 0.1 b |
| Apigenin | 97.2 ± 1.7 a | 12.0 ± 0.1 c | 7.06 ± 0.01 d | nd | 63.1 ± 0.8 b |
| Vanillin | 44.8 ± 0.5 a | 11.2 ± 0.1 c | 7.96 ± 0.08 d | 11.2 ± 0.1 c | 22.9 ± 0.2 b |
| Rosmarinic acid | 8.00 ± 0.45 b | 9.02 ± 0.12 a | 5.82 ± 0.02 c | 5.03 ± 0.13 c | 5.32 ± 0.04 c |
| Sinapic acid | 18.7 ± 0.1 a | 7.75 ± 0.35 b | 2.92 ± 0.10 d | 1.60 ± 0.06 e | 6.21 ± 0.01 c |
| Gallic acid | 5.74 ± 0.05 a | 5.10 ± 0.16 b | 4.36 ± 0.09 c | 5.91 ± 0.02 a | 5.34 ± 0.05 b |
| Quercetin | 10.5 ± 0.2 a | 4.41 ± 0.14 c | 3.97 ± 0.04 c | 2.78 ± 0.14 d | 5.99 ± 0.15 b |
| (−)-Epicatechin | nd | nd | nd | nd | nd |
| (+)-Catechin | nd | nd | nd | nd | nd |
| 2-Hydroxycinnamic acid | nd | nd | nd | nd | nd |
| 3,4-Dihydroxyphenylacetic acid | nd | nd | nd | nd | nd |
| Eriodictyol | nd | nd | nd | nd | nd |
| Kaempferol | nd | nd | nd | nd | nd |
| Pinoresinol | nd | nd | nd | nd | nd |
| Taxifolin | nd | nd | nd | nd | nd |
| Assays | Flowers | Leaves | Stems | Roots | Bracts | Trolox | EDTA |
|---|---|---|---|---|---|---|---|
| Phosphomolybdenum (EC50: mg/mL) | 1.08 ± 0.002 d | 0.94 ± 0.002 c | 1.34 ± 0.02 e | 0.72 ± 0.01 b | 0.89 ± 0.01 c | 0.45 ± 0.03 a | |
| CUPRAC reducing power (EC50: mg/mL) | 0.91 ± 0.001 d | 0.68 ± 0.10 c | 1.45 ± 0.01 e | 0.35 ± 0.01 b | 0.52 ± 0.01 c | 0.17 ± 0.01 a | |
| FRAP reducing power (EC50: mg/mL) | 0.55 ± 0.01 e | 0.40 ± 0.01 d | 0.82 ± 0.01 e | 0.21 ± 0.01 b | 0.35 ± 0.01 c | 0.049 ± 0.003 a | |
| DPPH radical (IC50: mg/mL) | 3.43 ± 0.02 d | 2.18 ± 0.09 c | 5.05 ± 0.60 e | 0.77 ± 0.002 ab | 1.75 ± 0.06 bc | 0.24 ± 0.02 a | |
| ABTS radical cation (IC50: mg/mL) | 1.62 ± 0.10 d | 1.39 ± 0.09 cd | 2.38 ± 0.03 e | 0.71 ± 0.01 b | 1.19 ± 0.03 c | 0.16 ± 0.03 a | |
| Ferrous ion chelating (IC50: mg/mL) | 2.44 ± 0.02 ab | 3.91 ± 0.01 b | 4.63 ± 0.24 b | 11.96 ± 0.85 c | 4.88 ± 0.98 b | 0.020 ± 0.001 a |
| Samples | AChE Inhibition (IC50: mg/mL) | BChE Inhibition (IC50: mg/mL) | Tyrosinase Inhibition (IC50: mg/mL) | α-Amylase Inhibition (IC50: mg/mL) | α-Glucosidase Inhibition (IC50: mg/mL) |
|---|---|---|---|---|---|
| Flowers | 1.05 ± 0.01 c | 1.14 ± 0.01 c | 1.15 ± 0.003 b | 3.90 ± 0.05 c | 1.04 ± 0.01 bc |
| Leaves | 1.05 ± 0.01 c | 1.16 ± 0.001 c | 1.15 ± 0.01 b | 3.46 ± 0.03 b | 1.06 ± 0.001 c |
| Stems | 1.00 ± 0.003 b | 1.06 ± 0.002 b | 1.18 ± 0.001 c | 5.67 ± 0.03 f | 1.00 ± 0.002 ab |
| Roots | 1.04 ± 0.005 c | 1.20 ± 0.02 d | 1.16 ± 0.003 b | 4.46 ± 0.01 e | 0.99 ± 0.01 ab |
| Bracts | 1.04 ± 0.01 c | 1.19 ± 0.01 d | 1.16 ± 0.003 b | 4.17 ± 0.02 d | 0.97 ± 0.001 a |
| Galanthamine | 0.0031 ± 0.0003 a | 0.0031 ± 0.0002 a | |||
| Kojic acid | 0.082 ± 0.002 a | ||||
| Acarbose | 0.93 ± 0.04 a | 1.12 ± 0.03 d |
| TAP | DPPH | ABTS | CUPRAC | FRAP | FICA | AChEIA | BChEIA | TIA | AAIA | AGIA | |
|---|---|---|---|---|---|---|---|---|---|---|---|
| DPPH radical | 0.944 | ||||||||||
| ABTS radical cation | 0.970 | 0.990 | |||||||||
| CUPRAC reducing power | 0.984 | 0.975 | 0.981 | ||||||||
| FRAP reducing power | 0.984 | 0.986 | 0.994 | 0.989 | |||||||
| Ferrous ion chelating | −0.618 | −0.740 | −0.671 | −0.695 | −0.697 | ||||||
| RACI | 0.996 | 0.933 | 0.966 | 0.975 | 0.975 | ||||||
| AChE inhibition | −0.594 | −0.326 | −0.431 | −0.481 | −0.456 | −0.177 | |||||
| BChE inhibition | −0.923 | −0.765 | −0.834 | −0.861 | −0.853 | 0.340 | 0.841 | ||||
| Tyrosinase inhibition | 0.413 | 0.176 | 0.275 | 0.313 | 0.278 | 0.415 | −0.921 | −0.655 | |||
| α-Amylase inhibition | 0.321 | 0.027 | 0.122 | 0.174 | 0.168 | 0.373 | −0.876 | −0.576 | 0.864 | ||
| α-Glucosidase inhibition | 0.265 | 0.419 | 0.369 | 0.387 | 0.349 | −0.677 | 0.349 | −0.069 | −0.518 | −0.690 | |
| Total flavonoid | 0.606 | 0.326 | 0.406 | 0.502 | 0.469 | −0.168 | −0.822 | −0.787 | 0.595 | 0.746 | −0.085 |
| Total phenolic | 0.990 | 0.979 | 0.993 | 0.992 | 0.997 | −0.647 | −0.506 | −0.877 | 0.344 | 0.211 | 0.322 |
| Verbascoside | 0.839 | 0.689 | 0.715 | 0.771 | 0.777 | −0.543 | −0.630 | −0.825 | 0.409 | 0.571 | −0.047 |
| Protocatechuic acid | −0.022 | −0.289 | −0.233 | −0.161 | −0.161 | 0.358 | −0.540 | −0.193 | 0.530 | 0.855 | −0.780 |
| Hesperidin | −0.085 | −0.402 | −0.308 | −0.209 | −0.254 | 0.453 | −0.628 | −0.245 | 0.548 | 0.745 | −0.423 |
| 3-Hydroxybenzoic acid | −0.239 | −0.486 | −0.377 | −0.360 | −0.379 | 0.873 | −0.612 | −0.113 | 0.740 | 0.722 | −0.670 |
| 4-Hydroxybenzoic acid | −0.238 | −0.483 | −0.374 | −0.358 | −0.377 | 0.875 | −0.613 | −0.113 | 0.746 | 0.724 | −0.679 |
| Luteolin 7-glucoside | −0.171 | −0.473 | −0.399 | −0.301 | −0.331 | 0.452 | −0.526 | −0.124 | 0.472 | 0.761 | −0.577 |
| Syringic acid | −0.529 | −0.505 | −0.532 | −0.577 | −0.521 | 0.464 | 0.262 | 0.534 | −0.040 | 0.171 | −0.796 |
| Hyperoside | −0.182 | −0.459 | −0.346 | −0.307 | −0.336 | 0.795 | −0.661 | −0.183 | 0.730 | 0.746 | −0.580 |
| Luteolin | −0.227 | −0.414 | −0.308 | −0.293 | −0.337 | 0.748 | −0.486 | −0.103 | 0.565 | 0.389 | −0.209 |
Disclaimer/Publisher’s Note: The statements, opinions and data contained in all publications are solely those of the individual author(s) and contributor(s) and not of MDPI and/or the editor(s). MDPI and/or the editor(s) disclaim responsibility for any injury to people or property resulting from any ideas, methods, instructions or products referred to in the content. |
© 2026 by the author. Licensee MDPI, Basel, Switzerland. This article is an open access article distributed under the terms and conditions of the Creative Commons Attribution (CC BY) license.
Share and Cite
Selvi, B. Phytochemical Composition and Bioactivity of Acanthus dioscoridis var. perringii: An Integrated Analysis of Antioxidant Activity, Enzyme Inhibition, and Phenolic–Bioactivity Correlations. Pharmaceuticals 2026, 19, 512. https://doi.org/10.3390/ph19030512
Selvi B. Phytochemical Composition and Bioactivity of Acanthus dioscoridis var. perringii: An Integrated Analysis of Antioxidant Activity, Enzyme Inhibition, and Phenolic–Bioactivity Correlations. Pharmaceuticals. 2026; 19(3):512. https://doi.org/10.3390/ph19030512
Chicago/Turabian StyleSelvi, Bedrettin. 2026. "Phytochemical Composition and Bioactivity of Acanthus dioscoridis var. perringii: An Integrated Analysis of Antioxidant Activity, Enzyme Inhibition, and Phenolic–Bioactivity Correlations" Pharmaceuticals 19, no. 3: 512. https://doi.org/10.3390/ph19030512
APA StyleSelvi, B. (2026). Phytochemical Composition and Bioactivity of Acanthus dioscoridis var. perringii: An Integrated Analysis of Antioxidant Activity, Enzyme Inhibition, and Phenolic–Bioactivity Correlations. Pharmaceuticals, 19(3), 512. https://doi.org/10.3390/ph19030512

