Sign in to use this feature.

Years

Between: -

Subjects

remove_circle_outline
remove_circle_outline
remove_circle_outline
remove_circle_outline
remove_circle_outline

Journals

Article Types

Countries / Regions

Search Results (21)

Search Parameters:
Keywords = ceftolozane/tazobactam (C/T)

Order results
Result details
Results per page
Select all
Export citation of selected articles as:
15 pages, 433 KB  
Article
In Vitro Activity of Novel β-Lactam/β-Lactamase Inhibitors Against Carbapenem-Resistant Pseudomonas aeruginosa and Enterobacterales in Korea
by Seulgi Moon, Jongyoun Yi, Mee Kyung Ko, Yong Ki Sim and Kye-Hyung Kim
Antibiotics 2025, 14(7), 649; https://doi.org/10.3390/antibiotics14070649 - 26 Jun 2025
Viewed by 778
Abstract
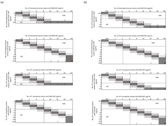
Background/Objectives: Carbapenem-resistant Enterobacterales (CRE) and carbapenem-resistant Pseudomonas aeruginosa (CRPA) are challenging multidrug-resistant pathogens. This study evaluated the in vitro susceptibility of CRE and CRPA blood isolates from Korea to novel β-lactam/β-lactamase inhibitor combinations: ceftolozane/tazobactam (C/T), ceftazidime/avibactam (CZA), imipenem/cilastatin/relebactam (IMR), and meropenem/vaborbactam (MEV). Methods: [...] Read more.
Background/Objectives: Carbapenem-resistant Enterobacterales (CRE) and carbapenem-resistant Pseudomonas aeruginosa (CRPA) are challenging multidrug-resistant pathogens. This study evaluated the in vitro susceptibility of CRE and CRPA blood isolates from Korea to novel β-lactam/β-lactamase inhibitor combinations: ceftolozane/tazobactam (C/T), ceftazidime/avibactam (CZA), imipenem/cilastatin/relebactam (IMR), and meropenem/vaborbactam (MEV). Methods: Blood isolates of CRE (n = 55) and CRPA (n = 65) collected between September 2017 and September 2022 in a Korean tertiary hospital were included. Carbapenemase production was determined using phenotypic and molecular methods. In vitro susceptibility to C/T, CZA, IMR, and MEV was determined primarily by broth microdilution using current CLSI/EUCAST breakpoints. Clinical characteristics and in-hospital mortality were retrospectively reviewed. Results: Among non-carbapenemase-producing (non-CP) CRPA isolates (n = 47), susceptibility rates were 83.0% to C/T and 70.2% to CZA. For KPC-producing CRE isolates (n = 28), susceptibility rates were high to CZA (92.9%), IMR (82.1%), and MEV (96.4%). However, non-CP CRE isolates (n = 22) showed low susceptibility to C/T (18.2%) but high susceptibility to CZA (100%), IMR (81.8%), and MEV (95.5%). CRE infections were associated with higher rates of hematologic malignancy, immunosuppression, and in-hospital mortality (63.6% vs. 18.5% for CRPA, p < 0.001). Conclusions: The susceptibility of CRE and CRPA to novel β-lactam/β-lactamase inhibitors varies significantly by species and carbapenemase production. CZA, IMR, and MEV showed promising activity against KPC-producing CRE. These findings can inform empirical therapy and stewardship efforts in Korea. Full article
Show Figures

Graphical abstract

9 pages, 231 KB  
Article
Clinical Outcomes of Ceftazidime–Avibactam versus Ceftolozane–Tazobactam in Managing Pseudomonal Infections in Patients Undergoing Renal Replacement Therapy
by Wasim S. El Nekidy, Mooza Al Ali, Emna Abidi, Rania El Lababidi, Diaa Alrahmany, Islam M. Ghazi, Mohamad Mooty, Fadi Hijazi, Muriel Ghosn and Jihad Mallat
Antibiotics 2024, 13(8), 699; https://doi.org/10.3390/antibiotics13080699 - 26 Jul 2024
Cited by 1 | Viewed by 1880
Abstract
The optimal doses of ceftazidime–avibactam (CZA) and ceftolozane–tazobactam (C/T) for treating multidrug-resistant (MDR) Pseudomonas aeruginosa (PSA) in patients utilizing renal replacement therapy (RRT) are not well established. Hence, the objective of this study is to evaluate the clinical outcomes associated with the suggested [...] Read more.
The optimal doses of ceftazidime–avibactam (CZA) and ceftolozane–tazobactam (C/T) for treating multidrug-resistant (MDR) Pseudomonas aeruginosa (PSA) in patients utilizing renal replacement therapy (RRT) are not well established. Hence, the objective of this study is to evaluate the clinical outcomes associated with the suggested doses of CZA and C/T in patients with PSA infection utilizing RRT. Methods: This is a retrospective study conducted at our hospital between September 2018 and March 2022. Clinical cure was the primary endpoint, while microbiologic cure, 30-day recurrence, and 30-day mortality were the secondary endpoints. Results: In total, 45 subjects met the inclusion criteria, with 25 receiving CZA and 20 receiving C/T. The median age was 69 (52–81) and 69 (61.5–83) years, respectively, while the median weight was 70 (55.5–81.5) and 66 (57–79) kg, respectively. Clinical cure was achieved in 12 (48%) subjects in the CZA group and 12 (60%) in the C/T group (p = 0.432). Of the 36 subjects who had repeated cultures, a microbiologic cure was achieved in 14/23 (60%) subjects and 10/13 (76.9%) subjects (p = 0.273). Thirty-day recurrence was reported in 3 (12%) cases in the CZA group and 6 (30%) in the C/T group (p = 0.082). The 30-day mortality was 13 (52%) subjects in the CZA group and 10 (50%) in the C/T group (p = 0.894). The median maintenance dose of CZA was 1.88 (0.94–3.75) g and 2.25 (1.5–2.25) g for C/T. Multivariate logistic regression analysis indicated that both drugs did not differ significantly in clinical cure. Bloodstream infection (BSI) (OR = 25, 95% CI: 1.63–411.7, p = 0.021) was the only independent factor associated with clinical cure in this population. Conclusions: Our findings indicated that C/T and CZA did not significantly differ in achieving clinical cure in patients with MDR PSA infections undergoing RRT. Larger clinical trials are needed to confirm our findings. Full article
13 pages, 1328 KB  
Article
Physicochemical Compatibility of Ceftolozane-Tazobactam with Parenteral Nutrition
by Jan Thomas De Pourcq, Adria Riera, Laura Gras, Noe Garin, Maria Antònia Busquets, Joana Cardenete, Daniel Cardona and Pau Riera
Pharmaceuticals 2024, 17(7), 896; https://doi.org/10.3390/ph17070896 - 5 Jul 2024
Cited by 1 | Viewed by 1887
Abstract
Ceftolozane-tazobactam (CT) is used for the treatment of complicated infections and for multidrug-resistant strains of Pseudomonas aeruginosa and extended-spectrum beta-lactamase-producing enterobacteria. In certain cases, simultaneous administration of CT and parenteral nutrition (PN) may be required, but compatibility of Y-site co-administration is unknown. The [...] Read more.
Ceftolozane-tazobactam (CT) is used for the treatment of complicated infections and for multidrug-resistant strains of Pseudomonas aeruginosa and extended-spectrum beta-lactamase-producing enterobacteria. In certain cases, simultaneous administration of CT and parenteral nutrition (PN) may be required, but compatibility of Y-site co-administration is unknown. The aim of this study was to analyse the physicochemical compatibility of CT Y-site administered with PN. We evaluated a protocolized PN approach for critical patients in our center. We studied both bolus infusion (2 g ceftolozane/1 g tazobactam in 1 h) and continuous infusion (CI) (6 g ceftolozane/3 g tazobactam) strategies. Samples were visually observed against light, microscopically inspected, and pH was analysed using a pH meter. The mean lipid droplet diameter (MDD) was determined via dynamic light scattering. CT concentration was quantified using HPLC–HRMS. No alterations were observed through visual or microscopic inspection. Changes in pH were ≤0.2, and changes in osmolarity were less than 5%. MDD remained below 500 nm (284.5 ± 2.1 for bolus CT and 286.8 ± 7.5 for CI CT). CT concentrations at t = 0 h and t = 24 h remained within prespecified parameters in both infusion strategies. CT is physiochemically compatible with PN during simulated Y-site administration at the tested concentration and infusion rates. Full article
Show Figures

Figure 1

14 pages, 1809 KB  
Article
In Vitro Activity of New β-Lactamase Inhibitor Combinations against blaNDM, blaKPC, and ESBL-Producing Enterobacteriales Uropathogens
by Lubna Razaq, Fakhur Uddin, Shahzad Ali, Shah Muhammad Abbasi, Muhammad Sohail, Nabila E. Yousif, Hala M. Abo-Dief and Zeinhom M. El-Bahy
Antibiotics 2023, 12(10), 1481; https://doi.org/10.3390/antibiotics12101481 - 25 Sep 2023
Cited by 4 | Viewed by 2708
Abstract
Antibiotic resistance in uropathogens has increased substantially and severely affected treatment of urinary tract infections (UTIs). Lately, some new formulations, including meropenem/vaborbactam (MEV), ceftazidime/avibactam (CZA), and ceftolozane/tazobactam (C/T) have been introduced to treat infections caused by drug-resistant pathogens. This study was designed to [...] Read more.
Antibiotic resistance in uropathogens has increased substantially and severely affected treatment of urinary tract infections (UTIs). Lately, some new formulations, including meropenem/vaborbactam (MEV), ceftazidime/avibactam (CZA), and ceftolozane/tazobactam (C/T) have been introduced to treat infections caused by drug-resistant pathogens. This study was designed to screen Enterobacteriales isolates from UTI patients and to assess their antimicrobial resistance pattern, particularly against the mentioned (new) antibiotics. Phenotypic screening of extended-spectrum β-lactamase (ESBL) and carbapenem resistance was followed by inhibitor-based assays to detect K. pneumoniae carbapenemase (KPC), metallo-β-lactamase (MBL), and class D oxacillinases (OXA). Among 289 Enterobacteriales, E. coli (66.4%) was the most predominant pathogen, followed by K. pneumoniae (13.8%) and P. mirabilis (8.3%). The isolates showed higher resistance to penicillins and cephalosporins (70–87%) than to non-β-lactam antimicrobials (33.2–41.5%). NDM production was a common feature among carbapenem-resistant (CR) isolates, followed by KPC and OXA. ESBL producers were susceptible to the tested new antibiotics, but NDM-positive isolates appeared resistant to these combinations. KPC-producers showed resistance to only C/T. ESBLs and carbapenemase encoding genes were located on plasmids and most of the genes were successfully transferred to recipient cells. This study revealed that MEV and CZA had significant activity against ESBL and KPC producers. Full article
Show Figures

Figure 1

11 pages, 1292 KB  
Article
Real-Life Experience of Continuously Infused Ceftolozane/Tazobactam in Patients with Bronchiectasis and Multidrug-Resistant Pseudomonas aeruginosa Infection in the Outpatient Setting
by Francesco Venuti, Alberto Gaviraghi, Amedeo De Nicolò, Giacomo Stroffolini, Bianca Maria Longo, Alessia Di Vincenzo, Fabio Antonino Ranzani, Matilde Quaranta, Francesca Romano, Eleonora Catellani, Carlotta Marchiaro, Giacoma Cinnirella, Antonio D’Avolio, Stefano Bonora and Andrea Calcagno
Antibiotics 2023, 12(7), 1214; https://doi.org/10.3390/antibiotics12071214 - 21 Jul 2023
Cited by 4 | Viewed by 2752
Abstract
(1) Background: Ceftolozane/tazobactam (C/T) is a novel β-lactam/β-lactamase inhibitor with excellent activity against the multidrug-resistant (MDR) P. aeruginosa. Continuous infusion (CI) dosing allows the optimization of pharmacokinetic and pharmacodynamic (PK/PD) properties of β-lactam antibiotics and may support patients’ treatment as outpatients. (2) [...] Read more.
(1) Background: Ceftolozane/tazobactam (C/T) is a novel β-lactam/β-lactamase inhibitor with excellent activity against the multidrug-resistant (MDR) P. aeruginosa. Continuous infusion (CI) dosing allows the optimization of pharmacokinetic and pharmacodynamic (PK/PD) properties of β-lactam antibiotics and may support patients’ treatment as outpatients. (2) Methods: Adult patients receiving their entire course of C/T as a CI in the outpatient setting were retrospectively included in the study. The primary outcome evaluated was clinical resolution. The secondary outcomes evaluated were PK/PD target attainment (ƒT > 4 × MIC) and microbiologic clearance at the end of treatment. Therapeutic drug monitoring to assess C/T concentration was performed. (3) Results: Three patients were enrolled in the study and received 9 g of C/T in CI every 24 h. One patient received an additional course of antimicrobial therapy due to disease exacerbation six months after initial treatment, accounting for four evaluated treatments. The primary outcome was achieved in 3/4 treatments and the secondary outcome was achieved in 4/4 and 3/3, respectively. In all patients, free ceftolozane concentrations were >10 times higher than the EUCAST breakpoint (4 mg/L). (4) Conclusions: Elastomeric infusion of C/T delivered in CI can be an effective and convenient way to treat acute diseases caused by MDR-P. aeruginosa, avoid hospital admission, and contribute to infection control strategies. Despite the small number of enrolled patients, clinical and microbiological results support this strategy. Full article
Show Figures

Figure 1

17 pages, 321 KB  
Article
In Vitro Activity of Ceftolozane-Tazobactam against Escherichia coli, Klebsiella pneumoniae and Pseudomonas aeruginosa Obtained from Blood Cultures from Sentinel Public Hospitals in South Africa
by Olga Perovic, Ashika Singh-Moodley and Michelle Lowe
Antibiotics 2023, 12(3), 453; https://doi.org/10.3390/antibiotics12030453 - 24 Feb 2023
Cited by 10 | Viewed by 3015
Abstract
Multidrug-resistant (MDR) Gram-negative bacteria are responsible for the majority of healthcare-associated infections and pose a serious threat as they complicate and prolong clinical care. A novel cephalosporin-β-lactamase-inhibitor combination, ceftolozane-tazobactam (C/T) was introduced in 2014, which improved the treatment of MDR pathogens. This study [...] Read more.
Multidrug-resistant (MDR) Gram-negative bacteria are responsible for the majority of healthcare-associated infections and pose a serious threat as they complicate and prolong clinical care. A novel cephalosporin-β-lactamase-inhibitor combination, ceftolozane-tazobactam (C/T) was introduced in 2014, which improved the treatment of MDR pathogens. This study aimed to evaluate the activity of C/T against Escherichia coli (n = 100), Klebsiella pneumoniae (n = 100), and Pseudomonas aeruginosa (n = 100) blood culture isolates in South Africa (SA). Isolates were sequentially selected (2010 to 2020) from the Group for Enteric, Respiratory, and Meningeal Diseases Surveillance (GERMS) programme in SA. Organism identification was performed using the matrix-assisted laser desorption/ionisation-time of flight mass spectrometry (MALDI-TOF MS) instrument (Microflex, Bruker Daltonics, Bremen, Germany), and antibiotic susceptibility was performed using the Sensititre instrument (Trek Diagnostic Systems, East Grinstead, UK). C/T resistance was reported in 16 E. coli, 28 K. pneumoniae and 13 P. aeruginosa isolates. Fifty percent of the C/T resistant isolates were subjected to whole-genome sequencing (WGS). According to the whole genome multilocus sequence typing (MLST) analysis, the E. coli isolates (n = 8) belonged to sequence type (ST)10, ST131, ST405, and ST410, the K. pneumoniae isolates (n = 14) belonged to ST1, ST37, ST73, ST101, ST231, ST307, ST336 and ST6065 (novel ST), and the P. aeruginosa isolates (n = 7) belonged to ST111, ST233, ST273, and ST815. The WGS data also showed that all the E. coli isolates harboured aminoglycoside (aph (3′′)-Ib, aph (6)-Id), macrolide (mdfA, mphA), and sulphonamide (sul2) antibiotic resistance genes, all the K. pneumoniae isolates harboured β-lactam (blaCTX-M-15), and sulphonamide (sul2) antibiotic resistance genes, and all the P. aeruginosa isolates harboured aminoglycoside (aph (3′)-IIb), β-lactam (PAO), fosfomycin (fosA), phenicol (catB7), quinolone (crpP), and disinfectant (qacE) antibiotic resistance genes. It is evident that E. coli, K. pneumoniae and P. aeruginosa can adapt pre-existing resistance mechanisms to resist newer β-lactam molecules and inhibitors, since these isolates were not exposed to ceftolozane-tazobactam previously. Full article
12 pages, 1791 KB  
Article
Phenotypic Characterization and Prevalence of Carbapenemase-Producing Pseudomonas aeruginosa Isolates in Six Health Facilities in Cameroon
by Cecile Ingrid Djuikoue, Paule Dana Djouela Djoulako, Hélène Valérie Same Njanjo, Christiane Possi Kiyang, Feline Leina Djantou Biankeu, Celianthe Guegang, Andrea Sheisley Didi Tchouotou, Rodrigue Kamga Wouambo, Benjamin D. Thumamo Pokam, Teke Apalata and Katy Jeannot
BioMed 2023, 3(1), 77-88; https://doi.org/10.3390/biomed3010006 - 12 Jan 2023
Cited by 9 | Viewed by 4198
Abstract
Pseudomonas aeruginosa is a Gram-negative opportunistic pathogen with a great ability to adapt to stress, in particular, to the selective pressure of antibiotics in the hospital environment. This pathogen constitutes a real public health concern, especially in low- and middle-income countries. In Cameroon, [...] Read more.
Pseudomonas aeruginosa is a Gram-negative opportunistic pathogen with a great ability to adapt to stress, in particular, to the selective pressure of antibiotics in the hospital environment. This pathogen constitutes a real public health concern, especially in low- and middle-income countries. In Cameroon, little is known about the drug resistance patterns of Pseudomonas aeruginosa. This study sought to determine the prevalence of Pseudomonas aeruginosa strains producing carbapenemases in six health facilities in the center, littoral, and west regions of Cameroon. An analytical cross-sectional study was conducted over a four-month period from July to October 2021. All Pseudomonas aeruginosa or suspected strains isolated from pathological products at the bacteriology laboratory of different health facilities were systematically collected and underwent a re-identification. After growing on cetrimide agar and successfully subculturing on nutrient agar, an oxidase test was performed on pure colonies, followed by biochemical identification (API 20NE system) of the bacterial suspension (0.5McFarland standard). Drug susceptibility testing for the detection of extended-spectrum beta-lactamases of overproduced inducible cephalosporinases and carbapenemases was performed according to adequate standard procedures. Of the 468 isolates collected, 347 (74.14%) were confirmed Pseudomonas aeruginosa after re-identification, of which 34.49% (120/347) produced inducible cephalosporinases (CAZR and C/TS) and 32.26% (112/347) extended-spectrum beta-lactamases. The prevalence of carbapenemase-producing P. aeruginosa (IMPR and C/TR) was 25.07% (87/347), with 17.24% (15/87) class A and 82.76% (72/87) class B. A high rate of resistance to penicillin (piperacillin: 70.58% and ticarcillin: 60.24%) was observed. We also noted a 34.49% resistance to ceftazidime, 30.22% to imipenem against 37.02% to meropenem, and 25.1% to ceftolozane/tazobactam (C/T). These strains also exhibited 79.57% resistance to quinolones and about 26% to aminoglycoside families. Multivariate analysis revealed that carbapenemase-producing Pseudomonas aeruginosa-related infections were significantly associated with hospitalization (p = 0.04), maternity (p = 0.03), surgery (p = 0.04), and intensive care wards (p = 0.04). This study highlighted a high burden of resistant strains of carbapenemase-producing Pseudomonas aeruginosa. Surveillance should be intensified to prevent the dissemination and spread of these strains. Full article
Show Figures

Figure 1

10 pages, 1278 KB  
Article
Ceftolozane/Tazobactam In-Vitro Activity against Clinical Isolates from Complicated Intra-Abdominal Infection Patients in Three Indonesian Referral Hospitals
by Anis Karuniawati, Merry Ambarwulan, Selvi Nafisa Shahab, Yefta Moenadjat, Toar J. M. Lalisang, Neneng Dewi Kurniati, Kuntaman, Vicky Sumarki Budipramana, Tomy Lesmana, Iva Puspitasari, Erik Prabowo, Dwi Putranti Chitra Sasmitasari, Dian Oktavianti Putri and Amrilmaen Badawi
Antibiotics 2023, 12(1), 52; https://doi.org/10.3390/antibiotics12010052 - 28 Dec 2022
Cited by 2 | Viewed by 2901
Abstract
Complicated intra-abdominal infections (cIAIs) lead to high morbidity and mortality, especially if poorly managed. However, Indonesia’s microbial pattern and susceptibility data are limited, especially for new antibiotics. Ceftolozane/tazobactam (C/T) is reported to be a new potent antibiotic against various pathogens. Thus, we aim [...] Read more.
Complicated intra-abdominal infections (cIAIs) lead to high morbidity and mortality, especially if poorly managed. However, Indonesia’s microbial pattern and susceptibility data are limited, especially for new antibiotics. Ceftolozane/tazobactam (C/T) is reported to be a new potent antibiotic against various pathogens. Thus, we aim to investigate C/T in vitro activity against clinical isolates from cIAI patients. This prospective cross-sectional study was conducted in three major referral hospitals in Indonesia, including Dr. Cipto Mangunkusumo Hospital (Jakarta), Dr. Kariadi Hospital (Semarang), and Dr. Soetomo Hospital (Surabaya), enrolling those diagnosed with cIAIs. Blood specimens were collected before or after at least 72 h of the last antibiotic administration. Meanwhile, tissue biopsy/aspirate specimens were collected intraoperatively. These specimens were cultured, followed by a susceptibility test for specific pathogens. The minimum inhibitory concentration (MIC) of isolates was determined according to CLSI M100. Two-hundred-and-eighty-four patients were enrolled from 2019–2021. Blood culture was dominated by Gram-positive bacteria (GPB, n = 25, 52.1%), whereas abdominal tissue culture was dominated by Gram-negative bacteria (GNB, n = 268, 79.5%). The three most common organisms were GNB, including E. coli, K. pneumoniae, and P. aeruginosa. C/T was susceptible in 96.7%, 70.2%, and 94.1% of the E. coli, K. pneumoniae, and P. aeruginosa isolates, respectively. In addition, C/T also remained active against ESBL Enterobacterales and carbapenem-non-susceptible P. aeruginosa. Overall, C/T demonstrates a high potency against GNB isolates and can be considered an agent for carbapenem-sparing strategy for cIAI patients as the susceptibility is proven. Full article
Show Figures

Figure 1

11 pages, 1036 KB  
Article
Comparative In Vitro Activity of Ceftolozane/Tazobactam against Clinical Isolates of Pseudomonas aeruginosa and Enterobacterales from Five Latin American Countries
by Juan Carlos García-Betancur, Elsa De La Cadena, María F. Mojica, Cristhian Hernández-Gómez, Adriana Correa, Marcela A. Radice, Paulo Castañeda-Méndez, Diego A. Jaime-Villalon, Ana C. Gales, José M. Munita and María Virginia Villegas
Antibiotics 2022, 11(8), 1101; https://doi.org/10.3390/antibiotics11081101 - 13 Aug 2022
Cited by 7 | Viewed by 3768
Abstract
Background: Ceftolozane/tazobactam (C/T) is a combination of an antipseudomonal oxyiminoaminothiazolyl cephalosporin with potent in vitro activity against Pseudomonas aeruginosa and tazobactam, a known β-lactamase inhibitor. The aim of this study was to evaluate the activity of C/T against clinical isolates of P. aeruginosa [...] Read more.
Background: Ceftolozane/tazobactam (C/T) is a combination of an antipseudomonal oxyiminoaminothiazolyl cephalosporin with potent in vitro activity against Pseudomonas aeruginosa and tazobactam, a known β-lactamase inhibitor. The aim of this study was to evaluate the activity of C/T against clinical isolates of P. aeruginosa and Enterobacterales collected from five Latin American countries between 2016 and 2017, before its clinical use in Latin America, and to compare it with the activity of other available broad-spectrum antimicrobial agents. Methods: a total of 2760 clinical isolates (508 P. aeruginosa and 2252 Enterobacterales) were consecutively collected from 20 hospitals and susceptibility to C/T and comparator agents was tested and interpreted following the current guidelines. Results: according to the CLSI breakpoints, 68.1% (346/508) of P. aeruginosa and 83.9% (1889/2252) of Enterobacterales isolates were susceptible to C/T. Overall, C/T demonstrated higher in vitro activity than currently available cephalosporins, piperacillin/tazobactam and carbapenems when tested against P. aeruginosa, and its performance in vitro was comparable to fosfomycin. When tested against Enterobacterales, it showed higher activity than cephalosporins and piperacillin/tazobactam, and similar activity to ertapenem. Conclusions: these results show that C/T is an active β-lactam agent against clinical isolates of P. aeruginosa and Enterobacterales. Full article
(This article belongs to the Special Issue Antimicrobial Resistance and Healthcare Associated Infections)
Show Figures

Figure 1

11 pages, 4611 KB  
Case Report
Off-Label Use of Ceftolozane/Tazobactam for the Successful Treatment of Healthcare-Associated Meningitis Caused by Extensively Drug-Resistant Pseudomonas aeruginosa in a Polytraumatized Patient—A Case Report
by Simon Dubler, Thorsten Brenner, Stefan Zimmermann, Theresa Mokry, Anka Röhr, Daniel C. Richter, Alexandra Heininger and Markus A. Weigand
Reports 2022, 5(3), 33; https://doi.org/10.3390/reports5030033 - 12 Aug 2022
Cited by 1 | Viewed by 3020
Abstract
Background: Hospital-acquired infections with extensively drug-resistant (XDR) Pseudomonas aeruginosa (PA) have become a worrisome concern because of unfavorable outcomes and limited antimicrobial treatment options. Studies with new antimicrobial substances against XDR-PA show very promising results in different infection types, but the data for [...] Read more.
Background: Hospital-acquired infections with extensively drug-resistant (XDR) Pseudomonas aeruginosa (PA) have become a worrisome concern because of unfavorable outcomes and limited antimicrobial treatment options. Studies with new antimicrobial substances against XDR-PA show very promising results in different infection types, but the data for central nervous system (CNS) infections are scarce. Case presentation: Here, we report the case of a young patient with healthcare-associated meningitis caused by XDR-PA following severe craniocerebral injury. An off-label use of high-dose ceftolozane/tazobactam (C/T) monotherapy was administered for 10 days in parallel with source-controlling measures. Clinical and microbial recovery could be accomplished promptly. Conclusion: In patients with hospital-acquired CNS infections due to XDR-PA, C/T might be a new, safe and effective alternative with fewer adverse effects compared to older polymyxin- or aminoglycoside-based regimens. Full article
Show Figures

Figure 1

11 pages, 531 KB  
Article
Susceptibility of Meropenem-Resistant and/or Carbapenemase-Producing Clinical Isolates of Enterobacterales (Enterobacteriaceae) and Pseudomonas aeruginosa to Ceftazidime-Avibactam and Ceftolozane-Tazobactam as Assessed by In Vitro Testing Methods
by Venere Cortazzo, Brunella Posteraro, Giulia Menchinelli, Flora Marzia Liotti, Tiziana D’Inzeo, Barbara Fiori, Francesco Luzzaro, Maurizio Sanguinetti and Teresa Spanu
Antibiotics 2022, 11(8), 1023; https://doi.org/10.3390/antibiotics11081023 - 29 Jul 2022
Cited by 3 | Viewed by 2400
Abstract
This study aimed to assess the comparability of in vitro susceptibility testing methods to ceftazidime-avibactam (CZA) and ceftolozane-tazobactam (C/T). Meropenem-resistant and/or carbapenemase-producing clinical isolates of Enterobacterales (Enterobacteriaceae) and Pseudomonas aeruginosa were tested by both bioMérieux ETEST and VITEK-2 AST-N397 card and [...] Read more.
This study aimed to assess the comparability of in vitro susceptibility testing methods to ceftazidime-avibactam (CZA) and ceftolozane-tazobactam (C/T). Meropenem-resistant and/or carbapenemase-producing clinical isolates of Enterobacterales (Enterobacteriaceae) and Pseudomonas aeruginosa were tested by both bioMérieux ETEST and VITEK-2 AST-N397 card and compared with a Micronaut AST-system broth microdilution (BMD) method. CZA and C/T MICs were interpreted using EUCAST breakpoints. Of the 153 Enterobacteriaceae isolates, 55.6% and 0.0% (VITEK 2) and 56.9% and 0.0% (ETEST and BMD) were susceptible to CZA and C/T, respectively. Of 52 P. aeruginosa isolates, 50.0% and 40.4% (VITEK 2, ETEST, and BMD) were susceptible to CZA and C/T, respectively. The essential agreement (EA) was 96.1% (197/205; VITEK 2 versus BMD) and 95.6% (196/205; ETEST versus BMD) for CZA testing, whereas EA was 98.0% (201/205; VITEK 2 versus BMD) and 96.6% (198/205; ETEST versus BMD) for C/T testing. The categorical agreement (CA) was 98.0% (201/205; VITEK 2 versus BMD) and 100% (ETEST versus BMD) for CZA testing, whereas CA was 100% (VITEK 2 versus BMD) and 100% (ETEST versus BMD) for C/T testing. Categorical errors regarded four Enterobacteriaceae isolates. VITEK 2 and ETEST yielded equivalent CZA and C/T susceptibility testing results, compared to the BMD method, in such a clinical context. Full article
Show Figures

Figure 1

9 pages, 264 KB  
Article
Comparative Evaluation of Vitek 2 and Etest versus Broth Microdilution for Ceftazidime/Avibactam and Ceftolozane/Tazobactam Susceptibility Testing of Enterobacterales and Pseudomonas aeruginosa
by Arhodoula Papadomanolaki, Maria Siopi, Polyxeni Karakosta, Sophia Vourli and Spyros Pournaras
Antibiotics 2022, 11(7), 865; https://doi.org/10.3390/antibiotics11070865 - 27 Jun 2022
Cited by 8 | Viewed by 2763
Abstract
Ceftazidime/avibactam (CZA) and ceftolozane/tazobactam (C/T) are novel antibiotics with activity against multidrug-resistant Gram-negative pathogens. Nevertheless, resistance to both agents has been reported emphasizing the need for accurate and widely accessible susceptibility testing. In the present study, Vitek 2 and Etest CAZ and C/T [...] Read more.
Ceftazidime/avibactam (CZA) and ceftolozane/tazobactam (C/T) are novel antibiotics with activity against multidrug-resistant Gram-negative pathogens. Nevertheless, resistance to both agents has been reported emphasizing the need for accurate and widely accessible susceptibility testing. In the present study, Vitek 2 and Etest CAZ and C/T MIC results for 100 non-repetitive clinical isolates (83 Enterobacterales and 17 P. aeruginosa, whereof 69 challenge isolates) were compared to the standard broth microdilution (BMD) method. EUCAST breakpoints were used for assessing the categorical (CA) and essential (EA) agreement between the methods along with the corresponding error rates. The Vitek 2 performance was comparable to that of BMD for testing both antimicrobial agents exceeding the ISO requirements (CA 98–99%, EA 96–100%, major errors (MEs) 0–1%, very major error (VMEs) 1%). Likewise, the Etest provided accurate results for CZA and C/T testing against Enterobacterales and P. aeruginosa, respectively (CA 100%, EA 97–100%, MEs 0%, VMEs 0%). On the contrary, EA of 85% and 6% VME rate were found for CZA Etest and P. aeruginosa. Overall, Vitek 2 measurements of CZA and C/T susceptibility correlated closely with the reference BMD, indicating that it can represent a suitable alternative to BMD for susceptibility testing of Enterobacterales and P. aeruginosa. The Etest did not fulfill the ISO performance criteria of EA and VME for CZA and P. aeruginosa. Further studies are needed to assess whether the Etest allows a reliable assessment of CZA and C/T EUCAST MICs. Full article
(This article belongs to the Section Antibiotics Use and Antimicrobial Stewardship)
11 pages, 916 KB  
Article
In Vitro Activity of Ceftolozane-Tazobactam and Other Antibiotics against Pseudomonas aeruginosa Infection-Isolates from an Academic Medical Center in Thailand
by Woraphot Tantisiriwat, Jirawat Buppanharun, Chatchai Ekpanyaskul, Kwanchai Onruang, Thitiya Yungyuen, Pattarachai Kiratisin and Somchai Santiwatanakul
Antibiotics 2022, 11(6), 732; https://doi.org/10.3390/antibiotics11060732 - 30 May 2022
Cited by 6 | Viewed by 2737
Abstract
(1) Background: Resistant Pseudomonas aeruginosa (PA) infections have limited treatment options. Data on the activity of ceftolozane-tazobactam (C-T) against PA in Thailand are limited. Objectives: The objective of this study was to identify the in vitro activity of C-T against general and resistant [...] Read more.
(1) Background: Resistant Pseudomonas aeruginosa (PA) infections have limited treatment options. Data on the activity of ceftolozane-tazobactam (C-T) against PA in Thailand are limited. Objectives: The objective of this study was to identify the in vitro activity of C-T against general and resistant PA isolates from patients with real clinical infections from the HRH Princess Maha Chakri Sirindhorn Medical Center (MSMC) compared to other antibiotics and to study the resistant molecular patterns of those PA strains which were resistant to C-T. (2) Materials and Methods: This was an in vitro susceptibility study of 100 PA isolates plus an additional seven resistant PA isolates collected from MSMC patients. All PA isolates were tested with susceptibility broth (Sensititre™) and C-T minimal inhibitory concentration (MIC) test strips (Liofilchem, Roseto degli, Abruzzi, Italy). The C-T-resistant PA isolates were analyzed for six β-lactamase genes (blaCTX-M, blaNDM, blaIMP, blaVIM, blaOXA-23 and blaOXA-48) and the mcr-1 gene. (3) Results: A total of 100 PA isolates were collected between January 2020 and January 2021 and between February 2021 and September 2021 for the additional 7 resistant isolates. There were 18 resistant PA isolates (6 MDR, 11 XDR and 1 pan-drug resistant isolate). The overall susceptibility of the initial 100 PA isolates and the 18 resistant PA isolates was 94% and 44.5%, respectively, for C-T. The C-T susceptibility rates for isolates non-susceptible to ceftazidime, piperacillin-tazobactam, carbapenems and antipseudomonal β-lactams were 65.5%, 69.7%, 50% and 44.5%, respectively. Among the 10 isolates which were resistant to C-T, there were only 3 isolates found to have the resistant gene, which included 1 for blaIMP, 1 for blaVIM and 1 for blaNDM. (4) Conclusions: Although C-T was the best susceptibility antibiotic overall for PA isolates and MDR PA isolates at the MSMC, most of the XDR PA isolates and the PDR PA isolate were not susceptible to C-T. The mechanisms for C-T resistance involved multiple factors including the presence of blaIMP, blaVIM and blaNDM. Full article
Show Figures

Figure 1

12 pages, 289 KB  
Article
Optimizing Doses of Ceftolozane/Tazobactam as Monotherapy or in Combination with Amikacin to Treat Carbapenem-Resistant Pseudomonas aeruginosa
by Worapong Nasomsong, Parnrada Nulsopapon, Dhitiwat Changpradub, Supanun Pungcharoenkijkul, Patomroek Hanyanunt, Tassanawan Chatreewattanakul and Wichai Santimaleeworagun
Antibiotics 2022, 11(4), 517; https://doi.org/10.3390/antibiotics11040517 - 13 Apr 2022
Cited by 6 | Viewed by 3420
Abstract
Carbapenem-resistant Pseudomonas aeruginosa (CRPA) is a hospital-acquired pathogen with a high mortality rate and limited treatment options. We investigated the activity of ceftolozane/tazobactam (C/T) and its synergistic effects with amikacin to extend the range of optimal therapeutic choices with appropriate doses. The E-test [...] Read more.
Carbapenem-resistant Pseudomonas aeruginosa (CRPA) is a hospital-acquired pathogen with a high mortality rate and limited treatment options. We investigated the activity of ceftolozane/tazobactam (C/T) and its synergistic effects with amikacin to extend the range of optimal therapeutic choices with appropriate doses. The E-test method is used to determine in vitro activity. The optimal dosing regimens to achieve a probability of target attainment (PTA) and a cumulative fraction of response (CFR) of ≥90% were simulated using the Monte Carlo method. Of the 66 CRPA isolates, the rate of susceptibility to C/T was 86.36%, with an MIC50 and an MIC90 of 0.75 and 24 µg/mL, respectively. Synergistic and additive effects between C/T and amikacin were observed in 24 (40%) and 18 (30%) of 60 CRPA isolates, respectively. The extended infusion of C/T regimens achieved a ≥90% PTA of 75% and a 100% fT > MIC at C/T MICs of 4 and 2 µg/mL, respectively. Only the combination of either a short or prolonged C/T infusion with a loading dose of amikacin of 20–25 mg/kg, followed by 15–20 mg/kg/day amikacin dosage, achieved ≥90% CFR. The C/T infusion, combined with currently recommended amikacin dose regimens, should be considered to manage CRPA infections. Full article
(This article belongs to the Special Issue Clinical Pharmacology and Pharmacy of Antimicrobial Agents)
7 pages, 248 KB  
Article
Clostridioides difficile Infection Rates after Ceftolozane–Tazobactam and Ceftazidime–Avibactam Treatment Compared to Carbapenem Treatment: A Retrospective Single-Center Study
by Nagisa Godefroy, Helga Junot, Laurence Drieux-Rouzet, Cyril Méloni, Charles-Edouard Luyt, Jérôme Robert and Alexandre Bleibtreu
Hygiene 2021, 1(3), 99-105; https://doi.org/10.3390/hygiene1030009 - 11 Oct 2021
Cited by 1 | Viewed by 3522
Abstract
Introduction: Ceftolozane–tazobactam (CT) and ceftazidime–avibactam (CZA) are new beta-lactam/beta-lactamase inhibitors (BL/IBL) and antibiotics. There are few data regarding their impact on Clostridioides difficile infections (CDI). The objective of our study was, therefore, to determine and compare the number of CDI occurring after treatment [...] Read more.
Introduction: Ceftolozane–tazobactam (CT) and ceftazidime–avibactam (CZA) are new beta-lactam/beta-lactamase inhibitors (BL/IBL) and antibiotics. There are few data regarding their impact on Clostridioides difficile infections (CDI). The objective of our study was, therefore, to determine and compare the number of CDI occurring after treatment with CT or CZA and carbapenem (CBP). Methods: All patients who received at least one dose of CT or CZA in our hospital between 1 January 2018 and 31 December 2019 were included. We compared, during the same period, the number of CDI after CT or CZA treatment and CBPs by using a chi-square test of Fischer’s exact test when required. p value < 0.05 was considered as significant. Results: Among the 53 patients receiving CZA and 42 patients receiving CT, two and one, respectively, developed a CDI within 90 days. Of the three (3%) patients who developed a CDI, one died 15 days after his second CDI (36 days after initiation of CZA). Of the 2291 patients receiving CBP, 37 (1.6%) developed a CDI within 90 days. There was no significant difference between the number of CDI occurring after CBP and CT or CZA treatment. CT or CZA use is not associated with an increased rate of CDI compared to CBP. Full article
(This article belongs to the Section Infectious Disease Epidemiology, Prevention and Control)
Back to TopTop