Sign in to use this feature.

Years

Between: -

Subjects

remove_circle_outline
remove_circle_outline
remove_circle_outline
remove_circle_outline
remove_circle_outline
remove_circle_outline
remove_circle_outline
remove_circle_outline
remove_circle_outline

Journals

remove_circle_outline
remove_circle_outline
remove_circle_outline
remove_circle_outline
remove_circle_outline
remove_circle_outline
remove_circle_outline
remove_circle_outline
remove_circle_outline
remove_circle_outline
remove_circle_outline
remove_circle_outline
remove_circle_outline
remove_circle_outline
remove_circle_outline
remove_circle_outline
remove_circle_outline
remove_circle_outline
remove_circle_outline
remove_circle_outline
remove_circle_outline
remove_circle_outline
remove_circle_outline
remove_circle_outline
remove_circle_outline

Article Types

Countries / Regions

remove_circle_outline
remove_circle_outline
remove_circle_outline
remove_circle_outline
remove_circle_outline

Search Results (3,503)

Search Parameters:
Keywords = carbon chain

Order results
Result details
Results per page
Select all
Export citation of selected articles as:
19 pages, 4117 KB  
Article
Supercritical CO2 Pipeline Leakage Localization Detection Based on the Negative Pressure Wave Method and Cross-Correlation Analysis
by Bing Chen, Hongji Feng, Chunli Tang, Wenjiao Qi, Hongliang Xiao, Xiangzeng Wang, Jian Bi and Adefarati Oloruntoba
Processes 2026, 14(3), 536; https://doi.org/10.3390/pr14030536 (registering DOI) - 3 Feb 2026
Abstract
Supercritical CO2 pipeline transportation is a critical component of the carbon capture, utilization and storage (CCUS) industry chain, where long distance operation introduces inherent risks of accidental leakage. During the leakage process of supercritical CO2 pipelines, throttling pressure reduction and the [...] Read more.
Supercritical CO2 pipeline transportation is a critical component of the carbon capture, utilization and storage (CCUS) industry chain, where long distance operation introduces inherent risks of accidental leakage. During the leakage process of supercritical CO2 pipelines, throttling pressure reduction and the Joule–Thomson effect generate distinct negative pressure wave characteristics. The magnitude of the leakage directly impacts localization effectiveness, particularly under small leakage conditions where negative pressure wave signals are less pronounced, so the leakage is difficult to effectively detect. To solve this problem, the mutual correlation function model for pipeline leakage was developed by using the mutual correlation analysis method, and it was verified by the dense-phase CO2 leakage data from Trondheim University of Technology. Based on the TGNET software, the actual pipeline model of the Yanchang oilfield is established, and the captured leakage signal is imported into MATLAB for differential pressure conversion, using the verified cross-correlation function model of the differential pressure signal to calculate the time difference between the arrival of the negative pressure wave at the two ends of the pipeline. Finally, the actual leakage location was determined. The simulation results indicate that the leakage detection method based on mutual correlation analysis of negative pressure wave signals exhibits varying localization performance under different leakage rates. By enhancing negative pressure wave characteristics and utilizing mutual correlation analysis, this method effectively addresses the challenges of indistinct negative pressure wave features and difficult localization during small leakage conditions. When leakage exceeds 5%, the relative error is controlled within ±5.40%, meeting the preliminary localization requirements for rapid identification and regional determination in engineering applications. Through the application of actual engineering cases, it is shown that this method has high accuracy in pipeline leakage detection. These findings provide theoretical and methodological support for supercritical CO2 pipeline leakage detection in the CCUS projects currently under construction. Full article
Show Figures

Figure 1

23 pages, 6630 KB  
Review
Review of the Cumulative Ecological Effects of Utility-Scale Photovoltaic Power Generation
by Bo Yuan, Yuan Li, Jiachao Li, Mengjing Guo, Miaojie Li and Shuguang Xie
Solar 2026, 6(1), 9; https://doi.org/10.3390/solar6010009 - 3 Feb 2026
Abstract
CPVG (Utility-scale photovoltaic generation) is expanding rapidly worldwide, yet its cumulative ecological effects remain insufficiently quantified. This review synthesizes current evidence to clarify how CPVG influences ecosystems through linked mechanisms of energy redistribution, biogeochemical cycling disturbance, and ecological responses. CPVG alters surface radiation [...] Read more.
CPVG (Utility-scale photovoltaic generation) is expanding rapidly worldwide, yet its cumulative ecological effects remain insufficiently quantified. This review synthesizes current evidence to clarify how CPVG influences ecosystems through linked mechanisms of energy redistribution, biogeochemical cycling disturbance, and ecological responses. CPVG alters surface radiation balance, modifies microclimate, and disrupts carbon–nitrogen–water fluxes, thereby driving vegetation shifts, soil degradation, and biodiversity decline. These impacts accumulate across temporal scales—from short-term construction disturbances to long-term operational feedbacks—and propagate spatially from local to regional and watershed levels. Ecological outcomes differ substantially among deserts, grasslands, and agroecosystems due to contrasting resilience and limiting factors. Based on these mechanisms, we propose a multi-scale cumulative impact assessment framework integrating indicator development, multi-source monitoring, coupled modelling, and ecological risk tiering. A full-chain mitigation pathway is further outlined, emphasizing optimized siting, disturbance reduction, adaptive management, and targeted restoration. This study provides a systematic foundation for evaluating and regulating CPVG’s cumulative ecological impacts, supporting more sustainable solar deployment. Full article
(This article belongs to the Topic Advances in Solar Technologies, 2nd Edition)
Show Figures

Figure 1

40 pages, 8954 KB  
Review
A Review on the Preparation, Properties, and Mechanism of Lignin-Modified Asphalt and Mixtures
by Yu Luo, Guangning Ge, Yikang Yang, Xiaoyi Ban, Xuechun Wang, Zengping Zhang and Bo Bai
Sustainability 2026, 18(3), 1536; https://doi.org/10.3390/su18031536 - 3 Feb 2026
Abstract
Lignin, an abundant and renewable biopolymer, holds significant potential for asphalt modification owing to its unique aromatic structure and reactive functional groups. This review summarizes the main lignin preparation routes and key physicochemical attributes and assesses its applicability for enhancing asphalt performance. The [...] Read more.
Lignin, an abundant and renewable biopolymer, holds significant potential for asphalt modification owing to its unique aromatic structure and reactive functional groups. This review summarizes the main lignin preparation routes and key physicochemical attributes and assesses its applicability for enhancing asphalt performance. The physical incorporation of lignin strengthens the asphalt matrix, improving its viscoelastic properties and resistance to oxidative degradation. These enhancements are mainly attributed to the cross-linking effect of lignin’s polymer chains and the antioxidant capacity of its phenolic hydroxyl groups, which act as free-radical scavengers. At the mixture level, lignin-modified asphalt (LMA) exhibits improved aggregate bonding, leading to enhanced dynamic stability, fatigue resistance, and moisture resilience. Nevertheless, excessive lignin content can have a negative impact on low-temperature ductility and fatigue resistance at intermediate temperatures. This necessitates careful dosage optimization or composite modification with softeners or flexible fibers. Mechanistically, lignin disperses within the asphalt, where its polar groups adsorb onto lighter components to boost high-temperature performance, while its strong interaction with asphaltenes alleviates water-induced damage. Furthermore, life cycle assessment (LCA) studies indicate that lignin integration can substantially reduce or even offset greenhouse gas emissions through bio-based carbon storage. However, the magnitude of the benefit is highly sensitive to lignin production routes, allocation rules, and recycling scenarios. Although the laboratory research results are encouraging, there is a lack of large-scale road tests on LMA. There is also a lack of systematic research on the specific mechanism of how it interacts with asphalt components and changes the asphalt structure at the molecular level. In the future, long-term service-road engineering tests can be designed and implemented to verify the comprehensive performance of LMA under different climates and traffic grades. By using molecular dynamics simulation technology, a complex molecular model containing the four major components of asphalt and lignin can be constructed to study their interaction mechanism at the microscopic level. Full article
Show Figures

Figure 1

20 pages, 2248 KB  
Review
Solar-Driven CO2 Conversion: A Review of Long-Chain Products
by Dinh Khang Vo and Nhat Truong Nguyen
Catalysts 2026, 16(2), 155; https://doi.org/10.3390/catal16020155 - 3 Feb 2026
Abstract
The solar-driven conversion of CO2 into long-chain (C3+) products offers a sustainable pathway to mitigate climate change, produce carbon-neutral fuels and value-added chemicals. Over the past few decades, significant advances have been achieved in CO2 photoreduction; however, most systems [...] Read more.
The solar-driven conversion of CO2 into long-chain (C3+) products offers a sustainable pathway to mitigate climate change, produce carbon-neutral fuels and value-added chemicals. Over the past few decades, significant advances have been achieved in CO2 photoreduction; however, most systems still favor C1 products (CO, CH4) or C2 intermediates. However, the synthesis of C3+ products poses a formidable challenge due to the complex multi-electron transfer steps required for C–C bond formation. This review provides a concise overview of recent progress in solar-driven photocatalytic and photothermal CO2 reduction, with a specific focus on the formation of C3+ products. The fundamental principles are discussed, including the critical role of C–C coupling mechanisms and the stepwise reaction pathways for C3+ products. It highlights how the extended carbon chain length significantly increases the complexity and reduces selectivity, with the suppression of side reactions being a primary research objective. Key catalytic strategies, such as the use of copper-based materials, are examined for their unique ability to facilitate these demanding transformations. Finally, the major challenges are outlined, and a future outlook for this field is provided, with an emphasis on the need for advanced catalyst design and in situ characterization to unlock the potential of solar fuels. Full article
Show Figures

Figure 1

30 pages, 6538 KB  
Article
Combined Use of FTIR and Atomic Emission Spectroscopies for Wet-Sieved Fractions of Kastanozem Soils
by Olga B. Rogova, Dmitry S. Volkov and Mikhail A. Proskurnin
Soil Syst. 2026, 10(2), 25; https://doi.org/10.3390/soilsystems10020025 - 3 Feb 2026
Abstract
FTIR spectroscopy, attenuated total reflection (ATR), and diffuse reflectance (DRIFT) modalities, along with ICP–AES spectroscopy and correlation analysis, including two-dimensional correlation spectroscopy (2DCOS), were used for the detailed analysis of Kastanozem (chestnut) soils. Microaggregates (20–200 μm) and macroaggregates (200–1000 μm) of characteristic horizons [...] Read more.
FTIR spectroscopy, attenuated total reflection (ATR), and diffuse reflectance (DRIFT) modalities, along with ICP–AES spectroscopy and correlation analysis, including two-dimensional correlation spectroscopy (2DCOS), were used for the detailed analysis of Kastanozem (chestnut) soils. Microaggregates (20–200 μm) and macroaggregates (200–1000 μm) of characteristic horizons of uncultivated (fallow) and cultivated (arable land) chestnut soils of the same origin were physically fractionated by wet sieving. The combination of these molecular and atomic spectroscopy techniques in combination with correlation analysis was able to find direct correlations between matrix-forming anions and soil organic matter (SOM) of Kastanozems. Humic substances were separated from the corresponding soil samples to reveal SOM contributions more explicitly. Microaggregates of the size fractions of 20–40 μm and 40–60 μm bore the most comprehensive information for both techniques used. Most significant differences between land-use Kastanozem samples were observed in topsoil horizons (arable P versus light-colored humic AJ horizon), and for the next pair of horizons along the profile xerometamorphic BMK horizon to structural metamorphic BM horizon. These differences included carbonate matrix and SOM amounts and composition. Topsoil arable land showed significantly smaller amounts of total organic carbon and a decrease in the share of long-chain hydrocarbons compared to fallow, which has a more distinctive character compared to similar land-use samples of Chernozem. An increase in carbonate contents with soil depth was found for both land-use samples, while the amounts and composition of the silicate matrix remained largely unchanged within the depth profile. The heterospectral 2DCOS comparison of FTIR (between horizons and land-use samples), ICP–AES (between land-use samples), and FTIR–AES (for the same sample) showed the possibility of a more reliable attribution of FTIR absorption bands and revealed the differences in the macro- and micro-aggregate elemental and SOM composition of Kastanozems. Full article
Show Figures

Figure 1

20 pages, 878 KB  
Review
Green Hydrogen in Sustainable Agri-Food Systems: A Review of Applications in Agriculture and the Food Industry
by Ferruccio Giametta, Ruggero Angelico, Gianluca Tanucci, Pasquale Catalano and Biagio Bianchi
Sci 2026, 8(2), 30; https://doi.org/10.3390/sci8020030 - 3 Feb 2026
Abstract
The agri-food sector is a major contributor to global greenhouse gas emissions while facing increasing demand for food production driven by population growth. Transitioning towards sustainable and low-carbon agricultural systems is therefore critical. Green hydrogen, produced from renewable energy sources, holds significant promise [...] Read more.
The agri-food sector is a major contributor to global greenhouse gas emissions while facing increasing demand for food production driven by population growth. Transitioning towards sustainable and low-carbon agricultural systems is therefore critical. Green hydrogen, produced from renewable energy sources, holds significant promise as a clean energy carrier and chemical feedstock to decarbonize multiple stages of the agri-food supply chain. This systematic review is based on a structured analysis of peer-reviewed literature retrieved from Web of Science, Scopus, and Google Scholar, covering over 120 academic publications published between 2010 and 2025. This review provides a comprehensive overview of hydrogen’s current and prospective applications across agriculture and the food industry, highlighting opportunities to reduce fossil fuel dependence and greenhouse gas emissions. In agriculture, hydrogen-powered machinery, hydrogen-rich water treatments for crop enhancement, and the use of green hydrogen for sustainable fertilizer production are explored. Innovative waste-to-hydrogen strategies contribute to circular resource utilization within farming systems. In the food industry, hydrogen supports fat hydrogenation and modified atmosphere packaging to extend product shelf life and serves as a sustainable energy source for processing operations. The analysis indicates that near-term opportunities for green hydrogen deployment are concentrated in fertilizer production, food processing, and controlled-environment agriculture, while broader adoption in agricultural machinery remains constrained by cost, storage, and infrastructure limitations. Challenges such as scalability, economic viability, and infrastructure development are also discussed. Future research should prioritize field-scale demonstrations, technology-specific life-cycle and techno-economic assessments, and policy frameworks adapted to decentralized and rural agri-food contexts. The integration of hydrogen technologies offers a promising pathway to achieve carbon-neutral, resilient, and efficient agri-food systems that align with global sustainability goals and climate commitments. Full article
Show Figures

Figure 1

22 pages, 1738 KB  
Article
Modified Zeolites as Alternative Adsorbents for PFAS Removal: A Comparative Study with Granular Activated Carbon
by Bijan Pouryousefi Markhali, Adam Farahani, Matheus Campos Duarte, Pooja Kaur Chaggar, Kazem Javan and Mariam Darestani
Clean Technol. 2026, 8(1), 21; https://doi.org/10.3390/cleantechnol8010021 - 3 Feb 2026
Abstract
Per- and polyfluoroalkyl substances (PFASs) are persistent and mobile contaminants of global concern, and, while granular activated carbon (GAC) is widely used for their removal, it is limited by the high regeneration and disposal costs. This study investigates surface-modified clinoptilolite zeolites as low-cost [...] Read more.
Per- and polyfluoroalkyl substances (PFASs) are persistent and mobile contaminants of global concern, and, while granular activated carbon (GAC) is widely used for their removal, it is limited by the high regeneration and disposal costs. This study investigates surface-modified clinoptilolite zeolites as low-cost and thermally regenerable alternatives to GAC for PFAS removal from water. Natural clinoptilolite was modified through acid washing, ion exchange with Fe3+ or La3+, grafting with aminosilane (APTES) or hydrophobic silane (DTMS), dual APTES + DTMS grafting, and graphene oxide coating. The adsorption performance was evaluated for perfluorooctanoic acid (PFOA, C8) and perfluorobutanoic acid (PFBA, C4) at 100 µg L−1 in single- and mixed-solute systems, with an additional high-concentration PFOA test (1 mg L−1). PFAS concentrations were quantified by liquid chromatography–tandem mass spectrometry (LC–MS/MS) using a SCIEX 7500 QTRAP system coupled to a Waters ACQUITY UPLC I-Class. Raw zeolite showed limited PFOA removal (4%), whereas dual-functionalized APTES + DTMS zeolites achieved up to 93% removal, comparable to GAC (97%) and superior to single-silane or metal-exchanged variants. At lower concentrations, modified zeolites effectively removed PFOA but showed limited PFBA removal (<25%), highlighting ongoing challenges for short-chain PFASs. Overall, the results demonstrate that dual-functionalized clinoptilolite zeolites represent a promising and scalable platform for PFAS remediation, particularly for mid- to long-chain compounds, provided that strategies for enhancing short-chain PFAS binding are further developed. Full article
Show Figures

Figure 1

56 pages, 2761 KB  
Article
Evolutionary Analysis of Multi-Agent Interactions in the Digital Green Transformation of the Building Materials Industry
by Yonghong Ma and Zihui Wei
Systems 2026, 14(2), 161; https://doi.org/10.3390/systems14020161 - 2 Feb 2026
Abstract
Driven by the “dual carbon” goal and the strategy for cultivating new productive forces, China’s economy is undergoing a crucial transformation from high-speed growth to high-quality development. As a typical high-energy consumption and high-emission sector, the green and low-carbon transformation of the building [...] Read more.
Driven by the “dual carbon” goal and the strategy for cultivating new productive forces, China’s economy is undergoing a crucial transformation from high-speed growth to high-quality development. As a typical high-energy consumption and high-emission sector, the green and low-carbon transformation of the building materials industry directly affects the optimization of the national energy structure and the realization of ecological goals. However, traditional building material enterprises generally face practical challenges such as low resource utilization efficiency, insufficient digitalization and greening integration of the industrial chain, and weak green innovation momentum. The transformation actions of a single entity are difficult to break through systemic bottlenecks, and it is urgently necessary to establish a dynamic evolution mechanism involving multiple entities in collaboration. This paper aims to explore the evolutionary rules and stability of digital green (DG) transformation strategies of building materials enterprises (BMEs) under multi-agent interactions involving government, universities, and consumers. Centering on BMEs, a four-party evolutionary game model among the government, enterprises, universities, and consumers is constructed, and the evolutionary processes of strategic behaviors are characterized through replicator dynamic equations. Using MATLAB R2022 (Version number: 9.13.0.2049777) bnumerical simulations, this study investigates how key parameters, such as government subsidies, penalty intensity, and consumers’ green preferences, affect the transformation pathways of enterprises. The results reveal that the DG transformation behavior of BMEs is significantly influenced by governmental policy incentives and universities’ knowledge innovation. Stronger subsidies and penalties enhance enterprises’ willingness to adopt proactive DG strategies, while consumers’ green preferences further accelerate transformation through market mechanisms. Among multiple strategic combinations, active DG transformation emerges as the main evolutionarily stable strategy. This study provides a systematic multi-agent collaborative analysis framework for the transformation of BME DG, revealing the mechanisms by which policies, knowledge, and market demands influence enterprise decisions. Thus, it offers theoretical and decision-making references for the green and low-carbon transformation of the building materials industry. Full article
21 pages, 741 KB  
Article
Governing Collaborative Technological Innovation for Net-Zero Transition in Micro-Jurisdictions: Evidence from Macao’s New Qualitative Productivity Framework
by Bowen Chen, Xiaoyu Wei, Shenghua Lou, Hongfeng Zhang, Iek Hang Ngan and Kei Un Wong
Sustainability 2026, 18(3), 1509; https://doi.org/10.3390/su18031509 - 2 Feb 2026
Abstract
Against the backdrop of China’s dual-carbon goals and the global push toward net-zero emissions, Macao faces not only an innovation deficit but also the urgent need to reconfigure its economic structure toward green and low-carbon development. This study investigates collaborative innovation mechanisms within [...] Read more.
Against the backdrop of China’s dual-carbon goals and the global push toward net-zero emissions, Macao faces not only an innovation deficit but also the urgent need to reconfigure its economic structure toward green and low-carbon development. This study investigates collaborative innovation mechanisms within Macao’s technological ecosystem through the lens of new qualitative productivity, a paradigm emphasizing structural optimization and systemic innovation capacity. As a micro-jurisdiction within the Guangdong–Hong Kong–Macao Greater Bay Area (GBA), Macao faces challenges due to its tourism-dependent economy and spatial constraints. Employing a qualitative methodology grounded in collaborative governance theory, the research combines theoretical framework construction with empirical case studies of technology enterprises, notably Enterprise B, to analyze stakeholder interactions, resource integration, and institutional dynamics. This study examines how collaborative technological innovation governance in a micro-jurisdiction can underpin net-zero and green supply chain transitions by mobilizing cross-border resources and institutional synergies. Key findings reveal a polycentric governance model involving government, enterprises, academic institutions, and civil society organizations. This model leverages cross-border synergies, platformization, and adaptive recalibration to overcome structural limitations. Results highlight tripartite drivers—policy incentives, market forces, and corporate strategies—that enhance innovation throughput. Despite advancements in institutional coordination, challenges persist, including low enterprise absorption of government funding, talent attrition, and fragmented academic–industrial linkages. The study proposes strategic recalibrations, such as refining policy architectures, strengthening industry–academia–research symbiosis, and optimizing transnational collaboration through Macao’s Lusophone networks. The findings provide governance insights for micro-jurisdictions seeking to align new qualitative productivity with decarbonization, renewable energy integration, and participation in regional green supply chains. Full article
Show Figures

Figure 1

18 pages, 1570 KB  
Article
The Use of Bioadditives as Plasticizers in Recycled Polyethylene Materials
by Kalina Joanna Kaczmarek, Justyna Miedzianowska-Masłowska and Marcin Masłowski
Materials 2026, 19(3), 570; https://doi.org/10.3390/ma19030570 - 2 Feb 2026
Abstract
The growing emphasis on sustainable material design has intensified interest in bio-based additives as environmentally friendly alternatives to conventional synthetic modifiers. This study evaluates the effects of four natural compounds—cetyl alcohol, thymol, lanolin, and lecithin—on the thermal, rheological, mechanical, surface, and aging properties [...] Read more.
The growing emphasis on sustainable material design has intensified interest in bio-based additives as environmentally friendly alternatives to conventional synthetic modifiers. This study evaluates the effects of four natural compounds—cetyl alcohol, thymol, lanolin, and lecithin—on the thermal, rheological, mechanical, surface, and aging properties of regranulated low-density polyethylene (RLDPE). Post-consumer polyethylene waste was used as the polymer matrix, while biochar served as a sustainable reinforcing filler replacing carbon black. Differential scanning calorimetry, melt flow index measurements, rheological behavior, surface energy analysis, mechanical testing and thermo-oxidative aging assessments were conducted to assess structure–property relationships. Biochar increased stiffness, hardness, and impact resistance but reduced ductility and melt flow due to restricted chain mobility. The addition of natural compounds partially compensated for these effects by improving melt flow, modifying crystallization behavior, and enhancing resistance to thermo-oxidative degradation without severely diminishing mechanical performance. Cetyl alcohol promoted the highest crystallinity and flexural properties, lanolin exhibited the strongest plasticizing effect and improved post-aging ductility, while lecithin and thymol produced intermediate changes, with lecithin significantly increasing surface energy. These results indicate that selected natural additives can act as effective ecological plasticizers or processing aids in biochar-filled recycled polyethylene composites. Full article
Show Figures

Figure 1

23 pages, 3299 KB  
Systematic Review
Utilization of Oil Palm Residual Biomass Within the Framework of Industrial Symbiosis: A Systematic Review of the Economic Sectors Involved in Its Valorization
by Dalidys Rendón-Camargo, Efrain Boom-Cárcamo, Lina Buelvas-Gutiérrez and Ana Maya-Gonzalez
Biomass 2026, 6(1), 10; https://doi.org/10.3390/biomass6010010 - 2 Feb 2026
Abstract
This study analyzes the valorization of oil palm biomass residues within the framework of industrial symbiosis (IS), emphasizing their role in circular economy strategies and sustainable industrial development. Through a systematic literature review and snowball sampling, 156 articles indexed in Scopus and Web [...] Read more.
This study analyzes the valorization of oil palm biomass residues within the framework of industrial symbiosis (IS), emphasizing their role in circular economy strategies and sustainable industrial development. Through a systematic literature review and snowball sampling, 156 articles indexed in Scopus and Web of Science were examined, classifying evidence by country, type of residue, derived products, economic sector (ISIC Rev. 4), and technological approach. The results show a strong geographical concentration of IS experiences in Asia, particularly Malaysia, Indonesia, and Thailand, where residues such as empty fruit bunches (EFB), palm kernel shells (PKS), oil palm mesocarp fibers, palm oil mill effluent (POME), and oil palm trunks (OPT) are integrated into processes for bioenergy, biochemicals, composite materials, construction products, biochar, and bioplastics. In contrast, applications in Latin America and Africa remain incipient, with high potential but limited industrial implementation due to infrastructural and regulatory gaps. Technological trends point toward thermo-chemical and biological conversion routes (pyrolysis, gasification, hydrothermal carbonization, anaerobic digestion), development of advanced materials and catalysts, and the emergence of integrated biorefinery models supported by computational optimization tools. The analysis highlights that palm biomass residues, far from being an environmental liability, constitute strategic resources for low-carbon value chains. However, scaling IS initiatives requires clear public policies, economic incentives, and stronger coordination between industry, government, and academia. The study provides a structured overview of current knowledge, identifies research gaps, and outlines future directions for leveraging oil palm residues as a key input for sustainable IS. Full article
(This article belongs to the Topic The Utilization of Non-Grain Biomass Resources)
Show Figures

Figure 1

41 pages, 1666 KB  
Review
Harnessing Nanomaterials for Water Decontamination: Insights into Environmental Impact, Sustainable Applications, and the Emerging Role of Polymeric Nanostructures
by Tony Hadibarata, Risky Ayu Kristanti, Adelina-Gabriela Niculescu, Dana-Ionela Tudorache (Trifa), Alexandra Cătălina Bîrcă and Alexandru Mihai Grumezescu
Polymers 2026, 18(3), 393; https://doi.org/10.3390/polym18030393 - 2 Feb 2026
Abstract
Nanomaterials provide novel solutions for water treatment because of their unique properties and functions, such as a large surface area, increased reactivity, and interaction with contaminants at the nanoscale. These useful features make nanomaterials highly effective in addressing water-related issues, especially in the [...] Read more.
Nanomaterials provide novel solutions for water treatment because of their unique properties and functions, such as a large surface area, increased reactivity, and interaction with contaminants at the nanoscale. These useful features make nanomaterials highly effective in addressing water-related issues, especially in the remediation of aquatic environments from heavy metals, organic pollutants, and microplastics. However, there are increasing concerns about their persistence in the environment and the possible risks to ecosystems and human health, due to their tendency to bioaccumulate and enter food chains. While some nanomaterials have proven toxic even at low concentrations, most effects that these materials may have on aquatic organisms, plants, and animals remain largely unexplored. Most sources report that polymeric nanomaterials are also the least toxic and most environmentally compatible, particularly when biodegradability forms one of the design parameters. Polymeric nanoparticles can be considered a safer alternative to metal- and carbon-based nanomaterials. However, they can not be used without any risk at all. The long-term environmental accumulation of nanoplastics and their potential chronic ecological impacts have received greater attention recently. This paper reviews major research on the toxicity and environmental behavior of nanomaterials, with a special focus on their long-term ecological effects, for which substantial knowledge exists, yet highlights gaps in existing knowledge and future directions for responsible application in water treatment contexts. Full article
Show Figures

Figure 1

18 pages, 6762 KB  
Article
Investigation of the Effect of Alkyl Chain Length on the Size and Distribution of Thiol-Stabilized Silver Nanoparticles for Proton Exchange Membrane Fuel Cell Applications
by Md Farabi Rahman, Haoyan Fang, Aniket Raut, Aaron Sloutski and Miriam Rafailovich
Membranes 2026, 16(2), 58; https://doi.org/10.3390/membranes16020058 - 2 Feb 2026
Abstract
This article reports on how the length of the alkyl chain influences the morphological properties of thiol-stabilized silver nanoparticles (Ag NPs) and their subsequent effects on the performance and durability of proton exchange membrane fuel cells (PEMFCs). We synthesized thiol-stabilized Ag NPs by [...] Read more.
This article reports on how the length of the alkyl chain influences the morphological properties of thiol-stabilized silver nanoparticles (Ag NPs) and their subsequent effects on the performance and durability of proton exchange membrane fuel cells (PEMFCs). We synthesized thiol-stabilized Ag NPs by varying the alkyl chain length: 1-hexane thiol (C6), 1-octanethiol (C8), 1-decanethiol (C10), 1-dodecanethiol (C12), and 1-tetradecanethiol (C14), which we achieved using the two–phase Brust–Schiffrin method. X-ray Diffraction (XRD) patterns confirm the formation of crystalline Ag NPs. A morphological study conducted using a Transmission Electron Microscope (TEM) demonstrated that smaller alkyl chain length thiols (C6, C8, and C10) tend to coalesce, while C12 shows better uniformity with no agglomeration. C14 produces larger nanoparticles. A distinct pressure-area isotherm was observed when Ag NPs were spread at the water/air interface of a Langmuir–Blodgett (LB) trough. After obtaining the monolayer formation pressure range, we coated the Nafion 117 membrane of a polymer electrolyte membrane fuel cell with these nanoparticles to form monolayers of different Ag NPs (C6, C8, C12, C14) at various surface pressures (2 mN/m, 6 mN/m and 10 mN/m). Maximum power output enhancement was observed for C12, while other nanoparticles (C6, C8, C10, C14) did not exhibit noticeable power enhancement for PEMFCs. C12 Ag NPs deposited at surface pressure 6 mN/m give maximum power density increase (26.5%) at the fuel cell test station. In addition, we examined the carbon monoxide (CO) resistance test by mixing 0.1% CO with hydrogen (H2), and C12 Ag NPs showed the highest resistance to CO poisoning. However, no enhancement in power or CO tolerance was observed when C12 Ag NPs were coated by spray coating. These outcomes showcase that alkyl chain length plays a critical role in controlling the size and distribution of thiol-stabilized nanoparticles, which eventually has a direct impact on the performance and CO resistance of PEMFCs when applied to polymer electrolyte (Nafion 117). In addition, surface pressure during monolayer formation controls the distribution of Ag NPs (the distance between nanoparticles at the membrane interface), which is necessary to achieve catalytic activity for power improvement and to prevent platinum (Pt) poisoning by CO oxidation at ambient conditions. Full article
(This article belongs to the Special Issue Advanced Membrane Design for Hydrogen Technologies)
Show Figures

Graphical abstract

68 pages, 2064 KB  
Article
Dual-Leverage Effects of Embeddedness and Emission Costs on ESCO Financing: Engineering-Driven Design and Dynamic Decision-Making in Low-Carbon Supply Chains
by Liurui Deng, Lingling Jiang and Shunli Gan
Mathematics 2026, 14(3), 522; https://doi.org/10.3390/math14030522 - 1 Feb 2026
Viewed by 54
Abstract
Against the backdrop of carbon quota trading policies and Energy Performance Contracting (EPC), Energy Service Companies (ESCOs) engage in supply chain emission reduction via embedded low-carbon services. However, the impact mechanism of their financing mode selection on emission reduction efficiency and economic benefits [...] Read more.
Against the backdrop of carbon quota trading policies and Energy Performance Contracting (EPC), Energy Service Companies (ESCOs) engage in supply chain emission reduction via embedded low-carbon services. However, the impact mechanism of their financing mode selection on emission reduction efficiency and economic benefits has not been fully revealed, and there is a lack of support from a systematic theoretical and engineering design framework. Therefore, this study innovatively constructs a multi-agent Stackelberg game model with bank financing, green bond financing, and internal factoring financing. We incorporate the embedding degree, emission reduction cost coefficient, and financing mode selection into a unified analysis framework. The research findings are as follows: (1) There is a significant positive linear relationship between supply chain profit and the embedding degree. In contrast, the profit of ESCOs shows an inverted “U-shaped” change trend. Moreover, there is a sustainable cooperation threshold for each of the three financing modes. (2) Green bond financing can significantly increase the overall emission reduction rate of the industrial supply chain in high-embedding-degree scenarios. However, due to emission reduction investment cost pressure, ESCOs tend to choose bank financing. (3) The dynamic change of the emission reduction investment cost coefficient will trigger a reversal effect on the financing preferences of the supply chain and ESCOs. This study unveils the internal mechanism of multi-party decision-making in the low-carbon industrial supply chain and is supported by cross-country institutional evidence and comparative case-based analysis, providing a scientific basis and engineering design guidance for optimizing ESCO financing strategies, crafting incentive contracts, and enhancing government subsidy policies. Full article
(This article belongs to the Special Issue Modeling and Optimization in Supply Chain Management)
24 pages, 2252 KB  
Review
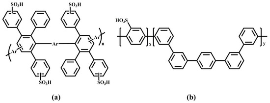
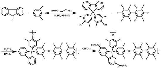
Structural Design and Performance Optimization of Proton Exchange Membranes for Water Electrolysis: A Review
by Yi Chen, Hongyang Ma and Benjamin S. Hsiao
Membranes 2026, 16(2), 54; https://doi.org/10.3390/membranes16020054 - 31 Jan 2026
Viewed by 189
Abstract
The trade-off between the ionic conductivity and the stability of the proton exchange membrane (PEM) is a major concern in the development of PEM water electrolysis (PEMWE). This review focuses on the design and fabrication of homogeneous and composite PEMs for water electrolysis [...] Read more.
The trade-off between the ionic conductivity and the stability of the proton exchange membrane (PEM) is a major concern in the development of PEM water electrolysis (PEMWE). This review focuses on the design and fabrication of homogeneous and composite PEMs for water electrolysis and establishes the structure–performance relationships between the membrane chemical/physical structures and their efficiency metrics—specifically, proton conductivity, hydrogen permeability, and chemical and mechanical stability. A special focus is placed on the fundamental connection between the microstructure and performance of membrane materials. At the molecular level, we systematically illustrate the design principles for main chains, side chains, and sulfonate groups, covering both fluorinated PEMs (encompassing perfluorinated and partially fluorinated membranes) and non-fluorinated PEMs (including aromatic polymers with heteroatom backbones and all-carbon backbones). At the macroscopic level, the review provides an in-depth exploration of two primary modification strategies: creating composites with organic polymers and with inorganic nanofillers. In summary, this review elucidates how these composite approaches leverage material synergies to improve the membrane’s mechanical integrity, proton conduction efficiency, and chemical resistance and offers a theoretical framework for the rational design of next-generation, high-performance PEMs to advance the commercialization of PEMWE technology. Full article
Show Figures

Graphical abstract

Back to TopTop