Next Article in Journal
Scale-Up and Application of a Green Detergent Under Industrial Conditions to Remove Petroleum Derivatives: Comparison with Commercial Degreasers
Previous Article in Journal
Integrated Treatment and Valorization of Meat Processing Wastewater via Microalgae-Based Biomass Production
 
 
Font Type:
Arial Georgia Verdana
Font Size:
Aa Aa Aa
Line Spacing:
Column Width:
Background:
Article

Modified Zeolites as Alternative Adsorbents for PFAS Removal: A Comparative Study with Granular Activated Carbon

by
Bijan Pouryousefi Markhali
,
Adam Farahani
,
Matheus Campos Duarte
,
Pooja Kaur Chaggar
,
Kazem Javan
and
Mariam Darestani
*
Centre for Advance Manufacturing Technology, Urban Transformations Research Centre, School of Engineering, Design and Built Environment, Western Sydney University, Kingswood 2747, Australia
*
Author to whom correspondence should be addressed.
Clean Technol. 2026, 8(1), 21; https://doi.org/10.3390/cleantechnol8010021
Submission received: 18 December 2025 / Revised: 12 January 2026 / Accepted: 17 January 2026 / Published: 3 February 2026

Abstract

Per- and polyfluoroalkyl substances (PFASs) are persistent and mobile contaminants of global concern, and, while granular activated carbon (GAC) is widely used for their removal, it is limited by the high regeneration and disposal costs. This study investigates surface-modified clinoptilolite zeolites as low-cost and thermally regenerable alternatives to GAC for PFAS removal from water. Natural clinoptilolite was modified through acid washing, ion exchange with Fe3+ or La3+, grafting with aminosilane (APTES) or hydrophobic silane (DTMS), dual APTES + DTMS grafting, and graphene oxide coating. The adsorption performance was evaluated for perfluorooctanoic acid (PFOA, C8) and perfluorobutanoic acid (PFBA, C4) at 100 µg L−1 in single- and mixed-solute systems, with an additional high-concentration PFOA test (1 mg L−1). PFAS concentrations were quantified by liquid chromatography–tandem mass spectrometry (LC–MS/MS) using a SCIEX 7500 QTRAP system coupled to a Waters ACQUITY UPLC I-Class. Raw zeolite showed limited PFOA removal (4%), whereas dual-functionalized APTES + DTMS zeolites achieved up to 93% removal, comparable to GAC (97%) and superior to single-silane or metal-exchanged variants. At lower concentrations, modified zeolites effectively removed PFOA but showed limited PFBA removal (<25%), highlighting ongoing challenges for short-chain PFASs. Overall, the results demonstrate that dual-functionalized clinoptilolite zeolites represent a promising and scalable platform for PFAS remediation, particularly for mid- to long-chain compounds, provided that strategies for enhancing short-chain PFAS binding are further developed.

1. Introduction

Per- and polyfluoroalkyl substances (PFASs) are a broad class of synthetic, fluorinated organic compounds widely used in industrial and consumer products (e.g., firefighting foams, non-stick coatings, and textiles) due to their unique surfactant properties and extreme chemical stability [1,2]. PFAS molecules consist of a fully fluorinated carbon chain of varying lengths attached to a polar functional head (commonly a carboxylate or sulfonate group), imparting them with both a hydrophobic (fluorocarbon tail) and hydrophilic (polar head) character [3,4]. These compounds are often termed forever chemicals because of their resistance to environmental degradation and propensity to persist and accumulate in ecosystems and organisms [5,6]. The PFAS contamination of water resources has become a global concern, and exposure to certain PFASs is linked to adverse health effects (e.g., immune [7], developmental [8], and carcinogenic outcomes [9]). Regulatory agencies are rapidly tightening drinking water standards for legacy PFASs [10]; for example, the U.S. EPA’s health advisory for PFOA and Perfluorooctane Sulfonate (PFOS) was 70 ng/L (combined) in 2016 [11] and has since been lowered to near-zero in interim guidelines [12]. Many jurisdictions have listed long-chain PFASs as persistent organic pollutants, and there is increasing pressure to treat PFAS-contaminated water to trace levels [10]. This Figure 1 illustrates how PFASs released from consumer products, fire suppressants, and industrial activities lead to household and environmental exposures that ultimately impact multiple human organs and systems, including the immune, metabolic, liver, kidney, thyroid, and reproductive systems.
Among the available treatment methods, adsorption-based processes are considered the most practical for PFAS remediation in water due to their simplicity and cost-effectiveness [13,14]. Granular activated carbon (GAC) is the most established adsorbent and is widely implemented for PFAS removal at full scale [15]. GAC’s porous structure (particularly, its high surface area and hydrophobic domains) effectively sequesters long-chain PFASs like PFOA and PFOS via hydrophobic interactions and dispersion forces [16]. However, GAC has well-recognized limitations when it comes to short-chain PFASs (e.g., PFBA) and challenging water matrices. Short-chain PFASs exhibit significantly lower adsorption affinities on GAC [17]. For example, adsorption coefficients decrease by about 0.5–0.6 log units for each CF2 group lost [18], meaning PFBA (C4) sorbs an order of magnitude less than PFOA (C8) under similar conditions. In field applications, short-chain PFASs tend to break through GAC filters much earlier than long-chain analogues [19,20]. Moreover, natural organic matter (NOM) in water can foul GAC and competitively occupy adsorption sites, dramatically reducing GAC’s PFAS removal efficiency [21]. This necessitates frequent media replacement or regeneration, driving up operational costs. A major drawback of GAC is that it does not destroy PFASs but merely transfers them to the solid phase. Consequently, the spent GAC loaded with PFASs must be treated as a concentrated hazardous waste [22,23]. Additionally, the supply and cost of high-quality activated carbon are subject to market and supply chain factors [24,25,26]. These limitations motivate the search for alternative or supplementary adsorbents that can more efficiently and sustainably capture the broad spectrum of PFASs.
Ion exchange resins with quaternary ammonium functional groups have emerged as an alternative for PFAS removal, as they can strongly bind anionic PFASs, including short chains, via electrostatic attraction [27,28]. Ion exchange (IX) resins typically outperform GAC for short-chain PFAS uptake [15,29,30]; however, IX resins are substantially more expensive and require the regeneration or disposal of the spent resin, which can be challenging [27,31,32] (regeneration often uses aggressive chemical elution and produces a concentrated brine waste [33]). Other treatment technologies under exploration include high-pressure membrane separations (nanofiltration/reverse osmosis) [34,35,36], advanced oxidation/reduction processes [37,38], and novel electrochemical [39] or sonochemical [40] PFAS destruction methods. Nevertheless, these approaches can be cost-prohibitive for large flows or produce secondary waste streams. In practice, many full-scale systems currently rely on adsorption processes as a stop-gap to remove PFASs from water pending more permanent solutions [14].
Natural and engineered minerals are attractive as low-cost adsorbents for environmental remediation [41]. Zeolites, in particular, are microporous aluminosilicate minerals with a high surface area, cation-exchange capacity, and tunable surface chemistry [42]. Natural zeolites are crystalline aluminosilicate minerals with three-dimensional microporous frameworks formed by interconnected SiO4 and AlO4 tetrahedra. The substitution of Si4+ by Al3+ generates a permanent negative framework charge balanced by exchangeable alkali and alkaline-earth cations, giving zeolites a high cation-exchange capacity and molecular sieving properties [43]. The Si/Al ratio controls the surface polarity and adsorption behavior: low-Si/Al zeolites are highly hydrophilic and electrostatically repel anionic organic contaminants, whereas higher-Si/Al zeolites exhibit increased hydrophobicity and stability. Consequently, pristine zeolites show a poor affinity for PFASs, and targeted surface modification is required to tailor the surface charge and interfacial interactions for effective PFAS adsorption [44]. Pristine (hydrophilic) zeolites have shown a limited ability to adsorb PFASs because the polar, negatively charged framework preferentially holds water and repels PFAS anions. For example, natural clinoptilolite typically has sodium or calcium cations balancing its framework charge; in water, these cations hydrate and the surface is dominated by hydrophilic –OH and –O- sites [45], which do not interact favorably with PFASs. As a result, untreated zeolites or clays achieve little to no removal of PFASs like PFOA in adsorption tests. However, there is evidence that modifying the surface of these minerals can impart an “organophilic” character and make them effective PFAS sorbents [46,47]. Previous studies on clays and silica have shown that attaching long-chain organic cations or other hydrophobic functional groups can create dual-function adsorbents that engage PFAS via both hydrophobic tail interactions and electrostatic head attraction [48]. For instance, quaternary-ammonium modified clays (organoclays) have achieved a much higher PFAS uptake than the unmodified clay [49], and specialized swellable organically modified silica decorated with fluorophobic and cationic groups was reported to remove C4–C10 PFASs to >99% in water [50]. These findings underscore that, by tailoring the surface chemistry of a porous mineral, it is possible to strongly bind PFASs. Two key mechanisms are targeted: (1) electrostatic attraction to capture the anionic functional group (e.g., using positively charged sites), and (2) hydrophobic (or fluorophobic) interactions to capture the perfluorinated tail (e.g., via hydrophobic coatings or organo-silane grafts). An ideal adsorbent for diverse PFASs would combine both types of sites, since short-chain PFASs rely mostly on electrostatic binding (their tails are too short to drive the adsorption to hydrophobic surfaces), whereas long-chain PFASs are readily taken up by hydrophobic surfaces.
Granular modified zeolites offer a potentially low-cost, regenerable adsorbent for PFAS if effective surface modifications can be achieved. Natural clinoptilolite is abundant and inexpensive compared to activated carbon or synthetic resins, and it remains stable at high temperatures [51,52]. This latter property is important because it opens possibilities for thermal regeneration or PFAS destruction: a spent PFAS-loaded zeolite could potentially be heated to incineration temperatures to break down PFASs and then be reused, since the mineral framework will not combust or degrade at those temperatures. In contrast, activated carbon loses a portion of its mass and structure upon thermal regeneration and can only be reactivated a limited number of cycles before it must be replaced [53,54]. A thermally stable inorganic adsorbent that can be repeatedly regenerated (or even one that can be baked in a field setting to destroy PFASs and then redeployed) would greatly reduce the burden of spent media disposal. Additionally, modified zeolites could be used in tandem with carbon in a treatment train, for example, a layered filter where zeolite targets short-/mid-chain PFASs and downstream GAC polishes off the rest, optimizing overall media usage.
In this context, the present study investigates surface-modified natural zeolites as alternative adsorbents to GAC for PFAS removal. A suite of modified Australian clinoptilolite zeolites was developed using multiple functionalization strategies: ion exchange with cationic metals (lanthanum, iron) to introduce electrostatic sites; silane grafting with long alkyl chains (dodecyltrimethoxysilane, DTMS) to enhance hydrophobicity; grafting with amino-silane ((3-aminopropyl)triethoxysilane, APTES) to impart cationic amine functionality; the co-grafting of hydrophobic and amine silanes; and graphene oxide (GO) coating to potentially increase the surface area and enable π–π interactions. Two types of GACs (coal-based and coconut-based) are tested in parallel as benchmarks. The objectives of this work are to compare the PFAS adsorption performance of these modified zeolites against standard GAC, to understand how each modification influences removal of the short-chain (PFBA, C4), and long-chain (PFOA, C8) types to identify the most promising formulations for practical water treatment. The focus is placed specifically on PFAS carboxylates, rather than sulfonates, due to their greater resistance to adsorption by conventional adsorbents and the increasing concern surrounding short-chain variants (C4), which pose a significant treatment challenge. Batch experiments are conducted at two concentration scales: an initial high-concentration screening (1.0 mg/L PFAS) to gauge the adsorption capacity differences, and more environmentally relevant low concentrations (100 μg/L, or 100 ppb), including tests with single compounds and a mixture of (PFBA, C4), (PFOA, C8), and long-chain (PFTDA, C14) perfluorocarboxylates, to evaluate the effectiveness under realistic conditions. PFTDA was used to check the effect of the competition between long- and short-chain PFASs on the adsorption capacity of the adsorbents, but its own adsorption was not individually measured. Through the integration of detailed adsorption data and mechanistic analysis, the study illustrates how the dual functionalization of a low-cost zeolite can achieve a PFAS removal performance comparable to activated carbon for longer-chain compounds, while also addressing the remaining challenges associated with short-chain PFASs and proposing potential strategies to overcome them. The potential for thermal regeneration and the reuse of the zeolite adsorbents after PFAS capture is highlighted as a future direction, in line with the goal of developing sustainable PFAS treatment technology.

2. Materials and Methods

2.1. Materials and Chemicals

The target contaminants in this study were three perfluoroalkyl carboxylic acids representing a range of chain lengths: perfluorobutanoic acid (PFBA, C4HF7O2), perfluorooctanoic acid (PFOA, C8HF15O2), and perfluorotetradecanoic acid (PFTDA, C14HF27O2). All three were obtained as analytical-grade solids from Sigma-Aldrich (Bayswater, VIC, Australia) and were used without further purification. Stock solutions of each PFAS were prepared in Milli-Q deionized water.
Natural zeolite (clinoptilolite-rich tuff, 0.7–1.2 mm granule size) was supplied by Zeolite Australia (Toowoomba, QLD, Australia) and used as the base substrate for modification. The clinoptilolite-rich tuff is a natural aluminosilicate zeolite dominated by Si and Al, with minor amounts of Ca, Na, K, Mg, and trace Fe, as confirmed by Scanning Electron Microscopy coupled with Energy-Dispersive X-ray Spectroscopy (SEM–EDS) analysis. The Si/Al ratio falls within the typical range reported for natural clinoptilolite, reflecting a negatively charged framework balanced by exchangeable cations. Based on supplier information and literature data for Australian clinoptilolite, the material exhibits a Brunauer–Emmett–Teller (BET) surface area on the order of tens of m2 g−1, a total pore volume of approximately 0.1–0.3 cm3 g−1, and an average pore radius within the microporous to small mesoporous range. These characteristics are known to influence adsorption behavior through pore accessibility, surface hydrophilicity, and cation-exchange capacity. Prior to surface modifications, the zeolite was either used as normal-washed (NW) or given an acid-wash (AW) pretreatment. Acid washing was carried out by soaking the zeolite in dilute HCl (0.1–1 M) for several hours, then rinsing thoroughly with deionized water until neutral pH and drying at 105 °C. Two granular activated carbons were used as received (pre-washed with hot water by the supplier to remove fines): GAC1, a coconut-shell-based GAC, and GAC2, a coal-based GAC (both provided by PET International, (Sydney, NSW, Australia).The GACs were included as benchmark adsorbents. Additional chemicals for zeolite modification included lanthanum (III) chloride heptahydrate (LaCl3·7H2O, Sigma-Aldrich), ammonium iron (III) sulfate dodecahydrate ((NH4)2Fe(SO4)2·12H2O, Sigma-Aldrich), graphene oxide (GO) aqueous suspension (4 mg/mL, Sigma-Aldrich), and two silane coupling agents: APTES (3-aminopropyl triethoxysilane, 98%) and DTMS (dodecyltrimethoxysilane, 95%). All chemicals were used as received without further purification.

2.2. Zeolite Surface Modification Procedures

A variety of modified zeolite samples were prepared, targeting either increased electrostatic affinity for PFASs, increased hydrophobicity, or both. All modifications were performed on the 0.7–1.2 mm clinoptilolite granules. For samples designated “-AW”, the acid-washed zeolite was used as the starting material; “-NW” indicates normal-washed (unacidified) zeolite as the base. A summary of the sample codes is provided in Table 1.

2.2.1. Lanthanum-Coated Zeolite (AZ-La)

Strongly cationic sites were introduced on the zeolite via ion exchange with La3+ by mixing zeolite granules (either NW or AW) with an excess of LaCl3 solution and stirring for 24 h at room temperature. The ratio of solution to zeolite was chosen to target ~80% of the zeolite’s cation exchange capacity being filled by La. The slurry was then drained and the zeolite dried. Calcination was carried out in an electric furnace: temperature was carefully ramped (to avoid thermal shock) to 400 °C in 20 min and kept at this level for 2 h, then heated to 750 °C in 20 min and kept at this level for 1 h and 30 min to convert La into oxide/hydroxide forms on the surface. The resulting samples are denoted AZ-La-NW or AZ-La-AW (for normal- or acid-washed base, respectively).

2.2.2. Iron Treatment (AZ-Fe)

To introduce more cost-effective and environmentally friendly cationic sites on the zeolite, ion exchange was carried out using Fe3+. As a general method to prepare iron-coated zeolites, 12 g of dried zeolites (either NW or AW) were added to 40 mL of a 0.176 M of ammonium iron (III) sulphate dodecahydrate and maintained on reflux at 60 °C for 6 h. Then, the zeolites were filtered and dried in an oven overnight at 110 °C. The coating solution could be used for further coating batches without going through the heating process. The resulting samples are denoted AZ-Fe-NW or AZ-Fe-AW (for normal- or acid-washed base, respectively).

2.2.3. APTES Grafting (AZ-APTES)

To provide amino functional groups on the surface, zeolite was grafted with (3-aminopropyl) triethoxysilane. Zeolite was immersed in a mix of 5% v/v APTES, 5% v/v Milli-Q water, and 90% v/v Absolute ethanol. The suspension was mixed for 3–4 h. During this process, APTES molecules hydrolyze and covalently bond to surface silanol (≡Si–OH) groups. Then, the samples were washed with ethanol, followed by Milli-Q water, and dried. Two versions were prepared, AZ-APTES-NW and AZ-APTES-AW, corresponding to grafting on normal- vs. acid-washed zeolite. The acid-washed substrate generally yields a higher grafting density because it has more -OH groups and fewer extraneous cations to interfere. APTES grafting was intended to introduce amine groups that can protonate in water (forming -NH3+) and act as fixed cationic sites to attract PFAS anions.

2.2.4. DTMS Grafting (AZ-DTMS)

To increase hydrophobicity, zeolite was grafted with dodecyltrimethoxysilane (DTMS), which carries a long alkyl chain. The procedure was like APTES grafting: zeolite was immersed in a 5% v/v DTMS in 5% v/v Milli-Q water and 90% v/v Absolute ethanol. Two versions, AZ-DTMS-NW and AZ-DTMS-AW, were made. The DTMS attaches hydrophobic hydrocarbon chains onto the internal and external surface of zeolite pores, creating an organophilic surface environment. This was expected to enhance the adsorption of the fluorocarbon tails of PFASs by providing a less polar surface (somewhat analogous to carbon’s surface). However, DTMS provides no specific interaction for the PFAS head group, so, by itself, it was thought to mainly benefit longer-chain PFAS capture.

2.2.5. Combined APTES + DTMS Functionalization

Two strategies were explored to incorporate both amine and hydrophobic groups onto the same material to achieve synergistic effects. Co-grafting was conducted by simultaneously introducing APTES and DTMS in a single reaction step, with volume ratios of APTES:DTMS set at 1:1, 1:3, and 3:1 to adjust the relative densities of amine and alkyl functional groups. For example, in the 1:1 case, equal volumes of APTES and DTMS (each 2.5%) were combined. The co-grafted samples are denoted AZ-D: A (x:y) where D: A indicates DTMS:APTES ratio. These formulations were prepared using both NW and AW zeolite bases, resulting in samples such as AZ-D: A (1:1)-NW and AZ-D: A (1:3)-AW. In co-grafting, both silane types react simultaneously, potentially decorating each particle with a mixture of functionalities. For the physical mixture of individually grafted granules, separate batches of AZ-DTMS and AZ-APTES were first synthesized, followed by a simple 1:1 mass ratio blending of the two granule types. This yields a composite sample (denoted AZ-D + A-NW or AZ-D + A-AW) where half the grains are hydrophobic, and half are amine-functionalized. The idea was to see if a blend of functionalities (but separated on different grains) could mimic the performance of co-grafted samples or not.

2.2.6. Graphene Oxide Coating (AZ-GO)

Graphene oxide, with its high surface area and aromatic structure, was tested as a coating to potentially provide additional sorption sites (π–π interactions, and hydrophobic domains). However, GO is highly oxygenated and generally negatively charged, which, by itself, might not favor PFAS adsorption. Graphene oxide (GO) was affixed to the zeolite using APTES as a molecular linker; initially, AZ-APTES was synthesized to introduce surface –NH2 groups, followed by the addition of this material to an acidic aqueous GO suspension with stirring for 4 h. The composite was filtered and dried at 60 °C, yielding AZ-GO (on an APTES-modified NW base). Visually, the zeolite turned grey–black, indicating GO deposition. The GO coating was expected to increase the overall surface area and perhaps introduce some hydrophobic graphitic regions.

2.3. Batch Adsorption Experiments

All adsorption tests were carried out in batch mode. In each experiment, a measured mass of adsorbent was added to the PFAS solution, and the mixture was agitated at room temperature (~21 ± 2 °C) for 1.0 h. All tests were conducted with continuous mixing for 1 h; although true equilibrium might take longer, 1 h gives a snapshot of performance under a reasonable contact time.
For batch experiments, the following solutions were used: (1) a high concentration PFOA solution at 1.0 mg/L (1 ppm) PFOA, prepared by dissolving PFOA in Milli-Q water; (2) individual 100 μg/L (100 ppb) solutions of PFBA and PFOA; and (3) a PFAS mixture containing 100 ppb of each of the three compounds (total PFAS = 300 ppb). PFDTA was added to study the effect of competition of very long-chained PFASs in adsorption capacity of adsorbents in removal of PFBA and PFOA. These concentrations were chosen to simulate, respectively, a scenario with elevated PFASs (to probe adsorption capacity and screen materials) and a scenario reflecting contaminated groundwater or surface water in need of treatment (hundreds of ppt to low ppb range). All solutions were prepared in polypropylene or high-density polyethylene containers (to minimize PFAS adsorption to vessel walls) and were stored at fridge. No pH adjustment was made.
After 1 h, the suspensions were allowed to settle briefly (a few minutes) and then sampled. The water samples were filtered through 0.45 μm Polytetrafluoroethylene (PTFE) syringe filters to remove any particulates. The filtered samples were collected in polypropylene vials. Alongside each batch test, a blank control (PFAS solution with no adsorbent) was run to check for any PFAS loss to the container or filter.
Adsorbent dosages were selected to ensure measurable PFAS removal across all materials under batch conditions and to enable consistent comparison between modified zeolites and GAC. As with all batch studies, higher sorbent loadings may enhance apparent removal efficiencies, particularly for weakly adsorbing compounds. All batch adsorption experiments were conducted at a fixed contact time of 1 h to enable consistent comparison across the large number of adsorbents evaluated. This contact time was selected for comparative screening and does not necessarily represent adsorption equilibrium for all materials.

2.4. Analytical Method

PFAS concentrations in filtered samples were quantified by liquid chromatography–mass spectrometry (LC–MS/MS) at the Western Sydney University Mass Spectrometry Facility (Campbelltown, NSW, Australia) using a SCIEX 7500 QTRAP triple quadrupole mass spectrometer (SCIEX, Marlborough, MA, USA) coupled to a Waters ACQUITY UPLC I-Class system (Waters Corporation, Milford, MA, USA). Chromatographic separation was performed on a reversed-phase C18 column (Waters ACQUITY UPLC BEH C18, 2.1 × 50 mm, 1.7 μm, Waters Corporation, Milford, MA, USA). The mobile phases consisted of (A) 5 mM ammonium acetate in Milli-Q water and (B) methanol containing 5 mM ammonium acetate, operated under a gradient elution program. The flow rate was maintained at 0.3 mL min−1 and the column temperature at 40 °C. Detection was carried out in negative electrospray ionization (ESI) mode using multiple reaction monitoring (MRM). External calibration standards for each PFAS (ranging from low ng/L to μg/L) were used to ensure accurate quantification down to 1 ng/L levels. PFBA and PFOA concentrations were measured in each sample, and, for mixed-analyte samples, the instrument method was optimized to minimize signal suppression or inter-analyte interference. Validation with spiked and recovered samples indicated minimal matrix effects for these PFASs within the sample matrix. Data are reported as residual concentrations (μg/L) or as % removal. No attempt was made in this study to regenerate the spent adsorbents; each test used fresh adsorbent. The potential for regenerating or reusing these materials is also considered as part of the discussion.
Physicochemical characterization of the raw clinoptilolite-rich zeolite was conducted using X-ray Diffraction (XRD) and SEM–EDS to confirm mineralogy and elemental composition. Due to the large number of modified samples and the comparative scope of this study, advanced surface characterization techniques such as BET surface area analysis, FTIR spectroscopy, XPS, and zeta potential measurements were not performed.

3. Results

3.1. PFOA Removal at High Concentration (1 ppm Screening)

The initial high-concentration screening revealed stark differences in performance among the various adsorbents (Figure 2). Unmodified natural zeolite (AZ) was essentially ineffective, removing only 4% of PFOA (final 960 μg/L from 1000 μg/L start). In contrast, the GAC materials performed excellently for PFOA: the coconut-based GAC1 achieved 84% removal, and the coal-based GAC2 achieved 97% removal. The superior performance of GAC2 is consistent with the literature and is likely related to differences in the pore structure and surface chemistry [55]. Aside from the pore structure, the EDX analysis of our two GAC adsorbents (Figure 3) showed that the coal-based one contains Fe, which could affect the electrostatic interaction between PFASs and GAC. Nonetheless, these findings are another testament to the importance of the source of GAC for adsorption purposes. Given GAC2’s nearly complete removal of PFOA, it was used as the primary benchmark in subsequent tests. The adsorption results are therefore interpreted as relative performance under identical batch conditions rather than as equilibrium adsorption capacities.
Notably, in all cases involving zeolite, the acid-washed variants consistently outperformed the conventionally washed ones. This was expected, as acid washing not only alters the porosity of the zeolite but also enhances the surface conditions, making it more suitable for grafting organ silanes within the pores.
According to Figure 3, several modified zeolites approached or even equaled GAC’s performance in this 1 ppm PFOA test, underscoring the effectiveness of the surface functionalization strategies. Among the covalently grafted samples, the dual-functionalized (APTES + DTMS) zeolites were outstanding. The acid-washed zeolite co-grafted with APTES and DTMS in a 1:1 ratio (AZ-D: A (1:1)-AW) removed 93% of PFOA (final 70 μg/L). The 1:3 and 3:1 DTMS:APTES ratios on acid-washed zeolite achieved 90% and 78% removal, respectively. Even without acid pre-treatment, the co-grafted AZ-D: A (1:1)-NW removed 81%. These results show a clear synergy when hydrophobic and amine groups are combined on the same surface: neither modification alone was as effective. For comparison, the DTMS-only zeolite removed a mere 6% PFOA (on NW base), improved to 43% on the AW base. APTES-only removed 14% PFOA (NW), improved to 58% on AW. A mechanistic interpretation of this synergy is discussed in Section 3.4. Therefore, while acid washing boosted each single-silane’s performance (by allowing a higher silane loading and, perhaps, an increasing surface area), even the best single-silane (APTES-AW, 58%) was far below the co-silane (93%). This indicates that a single type of interaction was insufficient: a purely hydrophobic surface (DTMS-only) does not grab the anionic head of PFOA, and a purely amine-modified surface (APTES-only) offers electrostatic attraction but provides a limited hydrophobic domain to accommodate the fluorinated tail. On the dual-modified surfaces, a PFOA molecule can simultaneously engage with a positively charged amine (for its –COO- group) and with adjacent C12 chains (for its CF7 tail), resulting in a much stronger overall adsorption (a “bidentate” binding in a sense). This aligns with the design principle reported in other studies that dual functionality is key for short-to-mid-chain PFAS sorbents [56,57].
Interestingly, as shown in Figure 2, the physical mixture of APTES-modified and DTMS-modified zeolite grains (AZ-D + A) exhibited a significantly lower performance compared to the co-grafted counterpart. The 1:1 physical mixture on the NW base achieved only 35% PFOA removal (and 41% when using AW-modified components). This confirms that the cooperative binding requires the co-localization of functionalities on the same particle, not just the same system. In the mixed-grain system, a PFOA might interact with one particle’s hydrophobic surface or another’s amine site, but it cannot anchor strongly to either since the complementary interaction is missing on each particle and the PFAS may shuttle between particles without being firmly captured. This result underscores the advantage of the chemical bonding of multiple functional groups to the same adsorbent surface for PFAS capture.
The lanthanum- and iron-modified zeolites showed moderate success in the 1 ppm PFOA test. AZ-La-NW removed 58% of PFOA. La3+ sites are presumed to bind PFOA through electrostatic interactions or ligand exchange mechanisms, potentially forming inner-sphere La–carboxylate complexes, consistent with lanthanum’s known affinity for carboxylic and phosphoric functional groups [58,59,60]. The fact that 58% removal was achieved is promising (significantly better than raw 4%), but it also indicates many PFOA molecules remained unabsorbed, likely because, once the limited number of La sites were occupied, additional PFOA saw a mostly hydrophilic surface. AZ-Fe was less effective: AZ-Fe-NW removed only 15%, while AZ-Fe-AW reached 48%. The improvement with acid washing suggests a higher Fe loading or better distribution in AZ-Fe-AW as well as the introduction of a higher surface area, but even 48% removal indicates Fe provided a weaker adsorption enhancement than La.
The graphene-oxide-coated zeolite (AZ-GO) was largely ineffective, removing only 11% of PFOA. This result is telling: increasing the surface area with a high-surface-area material like GO does not help if the surface chemistry is not suited to PFASs. GO is highly oxidized and hydrophilic [61]: it likely introduced more negative charges (carboxylates on GO) and competed with the zeolite surface for PFASs. Literature reports have found GO alone is a poor sorbent for PFASs, but GO functionalized with cationic surfactants can be excellent [62,63]. In our case, without an added surfactant on GO, the GO layer was not beneficial. In fact, it could block some zeolite pores and slightly worsen performance relative to raw zeolite.
To summarize the 1 ppm screening, coal-based GAC2 was the top performer (~97% PFOA removal). The APTES + DTMS co-grafted zeolites (especially on the acid-washed base) closely followed, achieving 78–93% removal depending on the ratio. The middle-tier performers were La-exchanged zeolite (58%) and the best single-silanes (43–58% for DTMS-AW and APTES-AW). The poorest were raw zeolite (4%), GO-coated (11%), and DTMS-NW (6%). These results clearly indicate which modifications significantly enhance PFAS uptake. Based on these findings, candidate materials were narrowed for further investigation at low PFAS concentrations.

3.2. PFAS Removal at 100 μg/L—Single-Compound Tests

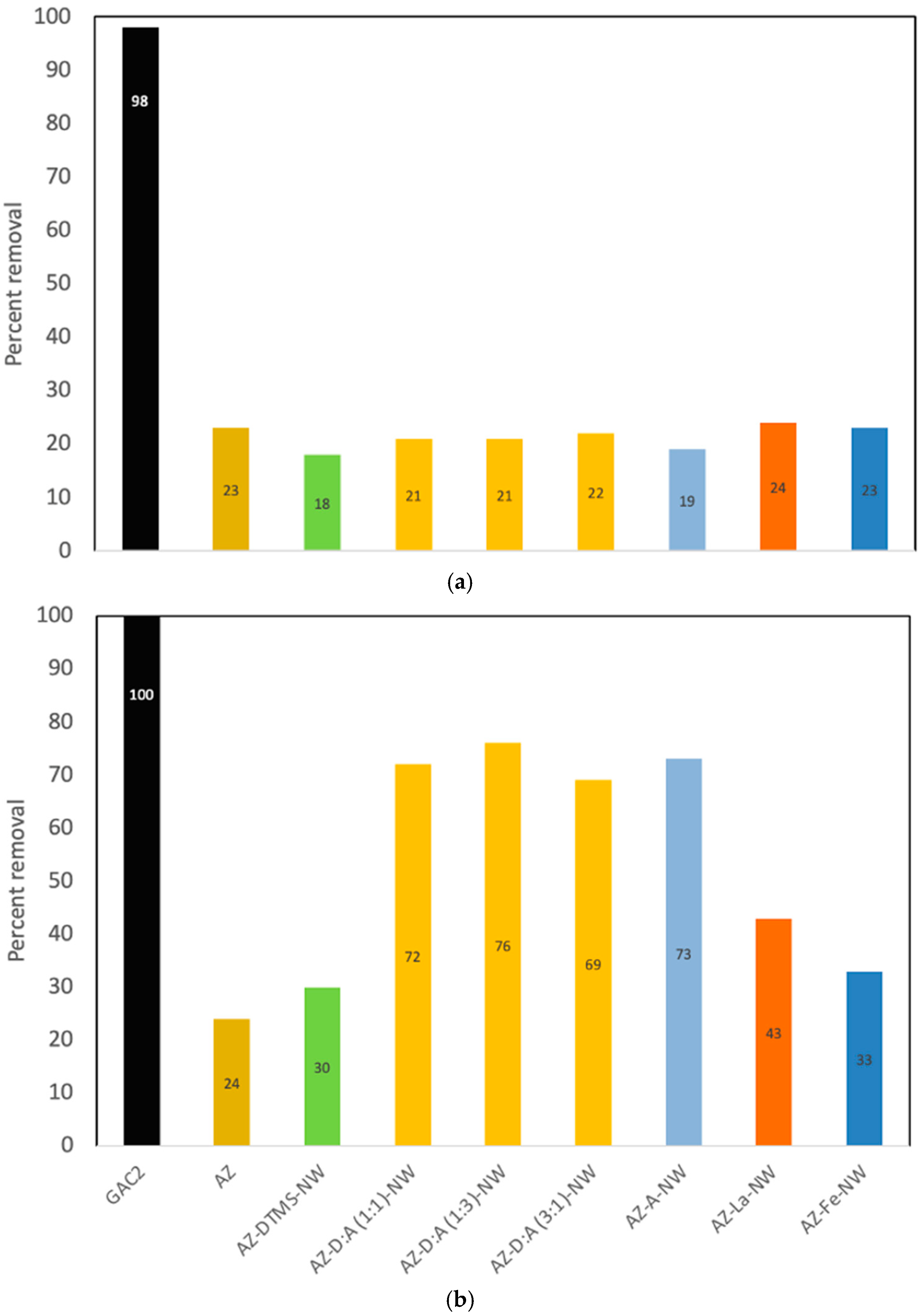
Adsorption performance was subsequently evaluated for each PFAS individually at an initial concentration of 100 μg/L. Nine adsorbent systems were tested in these single-solute experiments: (1) GAC2 (coal GAC, baseline carbon), (2) AZ (raw), (3) AZ-DTMS-NW, (4) AZ-D:A(1:1)-NW, (5) A-D:A(1:3)-NW, (6) AZ-D:A(3:1)-NW, (7) AZ-A-NW, (8) AZ-La-NW, and (9) AZ-Fe-NW. This selection covers the range from unmodified to various modifications; note that an NW base was selected for the modified zeolite samples in this phase due to practical considerations, as the acid-washing process would introduce additional preparation steps, increasing both cost and safety concerns. Each adsorbent was used in 100 ppb PFAS solutions for 1 h. This fixed 1 h contact time was applied as a standardized screening condition; therefore, the reported removals represent uptake at 1 h rather than confirmed equilibrium adsorption. Figure 4 presents the removal percentages for PFBA (C4) and PFOA (C8) by each selected adsorbent.
Several important trends are evident from Figure 3 (numerical values are also discussed below). PFBA proved the most difficult for the adsorbents to remove. PFBA proved the most difficult for the adsorbents to remove. It should be noted that PFBA removal efficiencies are influenced by the applied adsorbent dosage under batch conditions, and therefore reflect the relative uptake at fixed sorbent loading rather than the intrinsic adsorption affinity. PFBA proved the most difficult for the adsorbents to remove. Raw zeolite captured only 17% of PFBA. Neither Fe nor La modification made any meaningful difference: AZ-Fe removed 17%, AZ-La 20%, essentially within error of the raw zeolite’s performance. Organosilane-functionalized zeolites exhibited limited PFBA removal; for example, AZ-APTES-NW and AZ-D: A (x:y)-NW achieved removal efficiencies in the range of 17–22%. Essentially, no zeolite-based formulation in this study achieved more than 25% removal of PFBA at 100 ppb. By stark contrast, the activated carbon had a very high removal rate for PFBA under these batch conditions. GAC (coal) removed 98% of PFBA, reducing it from 100 μg/L to 2 μg/L. It should be noted that PFBA removal efficiencies are influenced by the applied adsorbent dosage under batch conditions, and therefore reflect the relative uptake at fixed sorbent loading rather than the intrinsic adsorption affinity.
For PFOA at 100 ppb, GAC again showed essentially complete removal. The raw zeolite removed only 22% of PFOA. Importantly, the modifications on zeolite made a bigger difference for PFOA than they did for PFBA. AZ-La-NW removed 44% of PFOA and AZ-Fe-NW about 36%. In separate tests (and in the PFAS mixture, discussed next), the APTES, DTMS, and dual-silane modified zeolites achieved 100% removal of PFOA at 100 ppb comparable to GAC. The fact that amine-silane modifications markedly increased the PFOA uptake on zeolite compared to the raw sample, whereas the PFBA uptake stayed low, reinforces the notion that adsorption is strongly chain-length-dependent under the tested conditions.

3.3. PFAS Removal from a Mixed Solution (Competitive Effects)

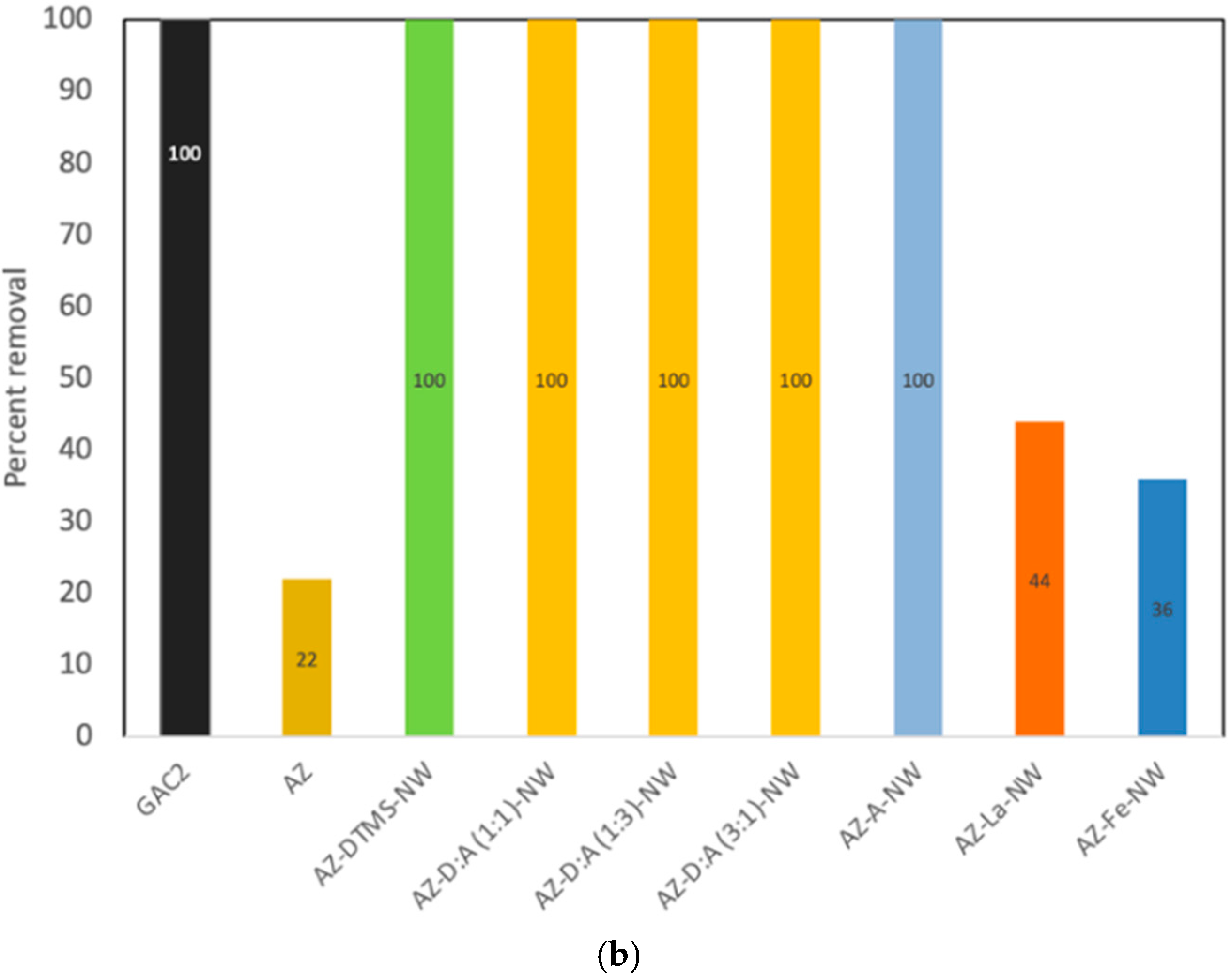
In real-world waters, PFASs do not exist in isolation; mixtures of various chain lengths are common [64]. To evaluate the competitive adsorption behavior, the adsorbents were tested in the presence of a mixture containing PFBA, PFOA, and PFTDA, each at 100 μg/L, resulting in a total PFAS concentration of 300 μg/L. The selected adsorbents for this mixture test were similar to the previous section, and the results are presented in Figure 5.
For PFBA in the mixture, the presence of the other PFAS did not significantly change its uptake on any of the zeolites. All the modified zeolites still showed very low PFBA removal: for example, AZ-Fe 23%, AZ-La 24%, AZ-DTMS 18%, AZ-APTES 19%, and AZ-DTMS + APTES mixtures 21–22%. These values are within a few percent of those observed in single-solute tests, with some slightly elevated results likely attributable to experimental variability or minor co-solute interactions. In other words, PFBA remained largely unabsorbed in the presence of PFOA and PFTDA; it was neither helped nor significantly hindered by them, because none of the zeolite-based materials had a strong affinity for PFBA to begin with. The GAC2 in the mixture still removed ~98% of PFBA (final ~1.6 μg/L), essentially the same as it did in the single-solute case, indicating the GAC’s capacity was not yet challenged by the added PFOA/PFTDA at these concentrations. Thus, at least in this short-term batch context, PFBA did not exhibit competitive displacement by the longer PFASs on GAC. In a continuous system, one would expect PFBA to break through earlier, but, in the batch with excess carbon, everything was captured. The take-home point is that none of the tested zeolite modifications provided a viable improvement for short-chain PFASs in the mixture, reinforcing that a fundamentally different functional group (e.g., strong quaternary ammonium, or specialized binding chemistry) would likely be needed to remove PFBA from water. The short-chain PFAS is likely too hydrophilic and molecularly compact to be effectively captured by the moderate amine and hydrophobic functional groups introduced.
For PFOA in the mixture, more discernible differences emerged among the adsorbents, but the trends mostly mirrored the single-solute results. GAC2 again removed 100% of PFOA in the mixture (no detectable PFOA remaining). Raw zeolite removed 24% of PFOA in the mixture, nearly identical to its single-solute performance (22%), indicating no significant change. The DTMS-only zeolite (AZ-DTMS-NW) achieved 30% removal, slightly higher than raw zeolite, suggesting a modest enhancement from the added hydrophobicity, but this represented a 70% decrease compared to its performance in the single-solute system. The APTES-only zeolite (AZ-APTES-NW) removed 73% of PFOA in the mixture, reflecting a 30% reduction from its single-solute value. A similar 30% drop in removal efficiency was observed for all co-grafted DTMS+APTES samples. All co-grafted samples showed a similar PFOA removal performance to the APTES-only sample, suggesting that the hydrophobic domains were primarily occupied by the longer-chain PFTDA. Consequently, electrostatic interactions, driven by the amine functionality, became the dominant mechanism for PFOA adsorption. The addition of hydrophobic chains from DTMS did not significantly enhance the PFOA uptake in the mixed system, likely because the amine-modified surface (with propyl chains from APTES) was already sufficient to accommodate PFOA at 100 ppb. Furthermore, PFTDA likely occupied the available hydrophobic sites due to its stronger affinity for such domains, while the amine sites, being unique to APTES, remained accessible for PFOA. As a result, amine-functionalized zeolites (APTES and APTES + DTMS) maintained high PFOA removal (70–75%) even in the presence of other PFAS, whereas samples lacking amine groups (raw, DTMS-only, and Fe- and La-modified) showed a significantly lower performance (24–43%). Notably, La- and Fe-zeolites removed 43% and 33% of PFOA, respectively, which closely matched their single-component values (44% and 36%), indicating minimal competitive suppression. These results highlight that the presence of amine groups, rather than additional hydrophobic chains, is the key factor in PFOA adsorption under mixed PFAS conditions.

3.4. Mechanistic Insights and Discussion of Adsorbent Performance

The experimental results above provide a basis to analyze the mechanisms by which each modification influences PFAS adsorption, and why certain adsorbents succeeded or failed for PFASs.
Raw clinoptilolite zeolite was virtually ineffective for PFBA and PFOA. This aligns with the surface chemistry of natural zeolite: the framework is aluminosilicate with exchangeable cations (Na+, Ca2+, etc.), which means the surface is polar, often negatively charged (from deprotonated silanol or Al-O− sites), and hydrophilic [65]. DTMS grafting increased hydrophobicity but provided limited improvement, indicating that hydrophobic modification alone is insufficient to strongly retain carboxylate PFASs under the tested conditions, particularly for short-chain PFBA. PFAS anions in water remain hydrated and are electrostatically repelled by the like-charged sites on zeolite. There are no organic/hydrophobic regions on the raw zeolite for the PFAS tail to stick to, except perhaps defect siloxane patches or internal pores that might fit part of a PFAS molecule [66]. GAC, in contrast, offers a highly hydrophobic, high-surface-area substrate to which PFASs, especially long ones, sorb strongly via London dispersion forces and hydrophobic partitioning [4]. GAC’s pores create deep potential wells for organic molecules [67]. However, GAC’s lack of polar or charged sites means short-chain PFASs (which remain hydrated and do not gain much from van der Waals interactions) are not strongly held [17]. Batch testing demonstrated that GAC can remove PFBA at sufficiently high doses; however, under flow conditions, PFBA is expected to exhibit an early breakthrough due to its weak adsorption affinity. Thus, raw zeolite requires a surface modification to be PFAS-active, whereas GAC is inherently active for longer PFASs but might need augmentation for short ones. Textural properties such as the BET surface area and pore size distribution were not measured in this study; therefore, adsorption trends are discussed qualitatively rather than correlated quantitatively with surface area or porosity.
APTES grafting was intended to introduce amine groups that could become protonated and act as anion-exchange sites for PFASs. On acid-washed zeolite, APTES made a significant difference: PFOA removal went from 4% to 58% at 1 ppm, and from 22% to 73–100% at 100 ppb (depending on conditions). This indicates that electrostatic attraction was indeed activated, and the –NH3+ groups can pull the PFOA anion out of the solution. At pH ~7, not all APTES groups are protonated (primary amine pK_a ~9–10, but, on a surface, it could be lower), so perhaps a fraction are in –NH3+ form [68]. Those that are protonated provide sites akin to weak anion-exchange resins. Additionally, even the unprotonated –NH2 can interact via an H-bond [69] or dipole with the PFAS head [70], and the propyl chain adds a little hydrophobic moiety. All these contribute to improved PFOA adsorption. The APTES-NW (no acid wash) was less effective (14% at 1 ppm PFOA), likely because fewer amines grafted. Yet, at 100 ppb, APTES-NW did reach 100% for PFOA, showing that, at low concentration, even a sparsely grafted amine surface can capture a lot of PFOA, possibly because of the PFOA concentrates on the few amine sites available. For PFBA, APTES gave only a minor uptick (raw 17% → APTES 20% at 100 ppb), meaning a weak base anion exchanger is not enough for PFBA in the presence of water. PFBA’s carboxylate might not bind strongly to a protonated primary amine (compared to a quaternary ammonium on a resin) and the short tail gives no hydrophobic assistance. Moreover, if many amines are neutral at pH 7, their benefit for PFBA is further limited. In summary, APTES provided a moderate anion-exchange functionality and slight hydrophobicity, which was quite effective for PFOA (C8) but still inadequate for PFBA (C4). This aligns with expectations: a stronger fixed cation (like a quaternary amine) might be needed to snag PFBA, whereas the weaker, pH-dependent APTES works for mid-chain ones but struggles for the shortest chain.
The co-grafted APTES + DTMS zeolites were among the top performers, achieving PFOA removal on par with GAC in some cases. At 1 ppm, AZ-D: A (1:1)-AW achieved 93% vs. GAC’s 97%, a remarkable result for a mineral adsorbent. This confirms the synergy of dual functionalization. PFOA can simultaneously interact with an –NH3+ and a hydrophobic chain on the same surface, greatly stabilizing its adsorption. The ratio experiments indicated that the balance of functionalities was best: the 1:1 ratio outperformed 3:1 or 1:3 on AW base. Excess amines (1:3, APTES-rich) may crowd the surface with polar groups and not enough hydrophobic domains for tails, while excess silane (3:1) may leave too few cationic sites to anchor the heads. The physical mixture (separate APTES and DTMS grains) underscored that co-location is necessary—as discussed, the mixture was much less effective (35% vs. 81% for co-grafted NW in 1 ppm test). At 1 ppm, clearly the DTMS was beneficial (APTES-AW 58% vs. APTES + DTMS-AW 93%). Likely, as the surface loading of PFOA increases, having long alkyl chains helps to accommodate and maybe even cooperatively organize a layer of PFASs (similar to hemi-micelle formation on cationic surfactant-coated surfaces [71]). Nevertheless, dual-grafted zeolite nearly matched GAC for PFOA, indicating that the right combination of functional groups can transform a cheap mineral into a PFAS adsorbent of comparable efficacy to activated carbon for long/mid-chain PFASs. As expected, even the dual-functional surface did not effectively address PFBA, reinforcing the necessity of incorporating a strong anion-exchange functionality. Nonetheless, for PFOA- and PFOS-type contaminants, the combination of hydrophobic and cationic sites proved highly effective.
These aim to utilize electrostatic binding via multivalent cations. The results for PFOA were moderate (La ~44% and Fe ~36% at 100 ppb) and negligible for PFBA—so what is happening at those La/Fe sites? Lanthanum, a hard Lewis acid, can form complexes with carboxylate groups; PFOA is likely to coordinate with La3+ at the surface, potentially in a bidentate manner involving both oxygen atoms of the carboxylate group [72]. This would explain the roughly two-times increase in PFOA uptake vs. raw: each La provides a high-affinity site, but, once those are filled, additional PFOA will not stick elsewhere. For PFBA, perhaps the interaction is too weak. The fact that, in the mixture, La-zeolite did not preferentially take PFBA over PFOA suggests La sites actually preferred PFOA. Fe-treated zeolite gave smaller improvements, probably because Iron forms nano-Fe(OH)3 on zeolite. Fe(OH)3 has a point of zero charge ~8, so, at pH ~7, it is near-neutral to slightly positive [73], with a weaker attraction than a trivalent cation like La3+. Therefore, Fe provided fewer effective sites. In any case, the La3+ exchange on zeolite showed that adding strong cationic sites can improve the PFAS uptake (especially for mid-chain ones), but, by itself, it is not enough to rival carbon or amine-functionalization. The La/Fe results indicate that a simple metal exchange facilitates moderate PFAS removal, likely via outer-sphere or inner-sphere interactions between PFAS molecules and metal sites; however, these sites function more as isolated “sticky spots” on an otherwise non-adsorptive surface.
The GO-coated zeolite result (11% PFOA removal) highlights that increasing the surface area alone is not a solution if the surface chemistry is wrong. GO has many hydrophilic oxygen groups; it essentially made the zeolite even more hydrophilic (and dark-colored). PFASs likely remained in water rather than adsorb into GO. In the composite, GO was attached via APTES without the addition of any supplementary hydrophobic cation, which likely explains its lack of effectiveness. If anything, GO might have covered up some of the APTES sites as well (though, presumably, APTES was mostly at the zeolite surface and GO layered on top). The lesson is high-surface-area carbons or graphene need proper functionalization to work for PFASs; simply making tiny particles or sheets will not adsorb PFAS if those surfaces behave like polar or charged entities that compete with water.

3.5. Implications for Practical Use and Regeneration

The promising results of the modified zeolites, especially the dual-silane ones, suggest that surface-modified natural zeolite can be an effective PFAS adsorbent under the tested batch conditions for longer-chain PFASs. This is significant given the low cost and wide availability of natural zeolites. If the modification process is scalable, one could produce large quantities of modified zeolite media for use in PFAS remediation. The use of silane reagents (APTES and DTMS) and organic solvents in laboratory-scale modifications introduces added cost and necessitates appropriate waste solvent management. For scaling up, alternative approaches such as aqueous-phase silane deposition, the utilization of more cost-effective silanes, or in situ polymerization on zeolite surfaces could be explored to improve economic and environmental feasibility. APTES/DTMS grafts are covalently bound, likely robust during use (minimal leaching of silanes is expected after proper curing).
One key advantage of inorganic media like zeolite is the ability to handle thermal regeneration. However, while the zeolite framework itself is thermally stable, organic functional groups such as silanes and amines are expected to degrade at temperatures well below those required for PFAS destruction; therefore, the practical regeneration of functionalized zeolites and the survival of surface functional groups were not demonstrated in this study. It should be noted that, while the mineral clinoptilolite framework is thermally stable, the organic surface functionalities introduced here (e.g., silane-derived alkyl chains and amine groups) are expected to degrade at temperatures substantially lower than those required for complete PFAS destruction. Therefore, the “thermal regeneration” of the functionalized adsorbents should be regarded as conceptual in the absence of experimental validation, and high-temperature treatment is more realistically positioned as an end-of-life destruction/disposal strategy and/or regeneration of the zeolite mineral support rather than preservation of the functionalized surface. Future work will evaluate regeneration pathways (thermal and/or chemical) to quantify PFAS desorption/destruction, adsorbent reusability, and the extent of functional-group stability or the need for re-functionalization after treatment. The spent GAC is often thermally reactivated, essentially baking off organics and restoring the pore structure, though PFASs require high temperatures to destroy (and can off-gas hazardous fluorinated compounds if not fully destroyed). The absence of kinetic analysis and adsorption isotherms limits the direct determination of equilibrium adsorption capacities and comparison with reported literature values. Future work will focus on detailed kinetic modelling and isotherm studies for selected optimized adsorbents to quantify the adsorption rates, capacities, and regeneration behavior under equilibrium conditions. Zeolite, being mineral, could potentially be regenerated by heating to high temperatures to desorb PFASs. In fact, zeolites can withstand >500 °C easily; PFASs will decompose at high temperatures (~300–600 °C for breaking C–F bonds, often requiring > 1000 °C for complete mineralization). If carried out in a controlled furnace (with off-gas treatment), one could incinerate PFAS-laden zeolite and reuse the zeolite since it will not burn. One major limitation is that functional groups such as silanes and amines are prone to thermal degradation or combustion during regeneration, thereby restoring the zeolite to its unmodified state. However, perhaps a moderate-temperature bake (e.g., 300 °C) could desorb PFASs (as they have relatively low boiling points or will degrade) without fully destroying the silane layer—this would require investigation. Alternatively, chemical regeneration could be attempted: for instance, flushing a column with a solvent like methanol or an alkaline solution might strip off PFASs into a smaller volume for disposal. Ion-exchange resins often use high-salt plus alcohol mixtures to regenerate PFASs, but it is tricky for long-chain PFASs. Given the lower cost of the modified zeolites, a single-use approach followed by the incineration of the spent media may also be a viable disposal strategy. Nevertheless, a reusable adsorbent is preferable if possible. The feasibility of regenerating PFAS-laden media is an ongoing challenge in the field; often, spent media are just incinerated in hazardous waste facilities. The thermal stability of zeolite at least gives it a better chance to be regenerated than polymeric resins (which cannot handle high heat) or even GAC (which lose mass when burned).

4. Conclusions

This work demonstrates that surface functionalization can transform natural clinoptilolite zeolite from an ineffective sorbent into a highly effective PFAS adsorbent for certain PFASs. The most successful approach was dual functionalization with APTES (amine silane) and DTMS (hydrophobic silane) on acid-washed zeolite, which yielded PFOA removal efficiencies more than 90% at 1 mg/L—on par with a high-performance activated carbon. This superior performance confirms a synergistic binding mechanism: the co-grafted amine groups provide strong electrostatic attraction for the PFAS head, while adjacent alkyl chains offer hydrophobic domains for the fluorinated tail, together enabling a much stronger adsorption than either functionality alone. Single-modification zeolites (only APTES or only DTMS) and metal-exchanged zeolites (La- or Fe-treated) showed only moderate improvements (typically 15–58% PFOA removal in 1 mg/L tests) and could not match the dual-silane’s effectiveness. Similarly, a graphene-oxide-coated zeolite did not significantly adsorb PFASs, likely due to GO’s intrinsic hydrophilicity. These findings underscore that dual surface functionality is key to adsorbing mid- to long-chain PFASs on inorganic substrates, validating the dual-tail + head interaction design principle for PFAS sorbents.
Despite the impressive performance of PFOA, the modified zeolites in this study exhibited little affinity for short-chain PFBA. Neither the introduction of cationic sites (La3+, Fe2+/Fe3+) nor the addition of moderate amine/hydrophobic groups was sufficient to capture PFBA, with removal efficiencies generally below 25% at 100 µg/L. In contrast, the GAC benchmark was able to uptake nearly all PFBA in batch tests (due to the high adsorbent dose and contact time), highlighting the short-chain adsorption gap. This outcome indicates that current modifications, while effective for longer PFASs, do not provide the necessary binding force for the highly water-soluble short-chain PFASs. Future research should explore stronger ionic functional groups or tailored binding chemistries (for example, quaternary ammonium functionalization or ion-exchange polymers on the zeolite) to enhance short-chain PFAS capture. Additionally, evaluating these modified zeolites in continuous flow systems and investigating regeneration methods will be important for practical deployment. The high thermal stability of the clinoptilolite base offers a unique opportunity for the thermal regeneration or even onsite incineration of the spent media to destroy the captured PFASs, potentially allowing the mineral to be re-functionalized and reused.

Author Contributions

Conceptualization, B.P.M. and M.D.; methodology, B.P.M. and M.D.; validation, B.P.M. and A.F.; formal analysis, B.P.M. and A.F.; investigation, B.P.M. and A.F.; resources, B.P.M. and A.F.; data curation, B.P.M. and A.F.; writing—original draft preparation, B.P.M.; writing—review and editing, A.F., M.C.D., P.K.C. and K.J.; visualization, B.P.M. and K.J.; supervision, M.D. All authors have read and agreed to the published version of the manuscript.

Funding

This research received no external funding.

Data Availability Statement

The original contributions presented in this study are included in the article. Further inquiries can be directed to the corresponding author.

Conflicts of Interest

The authors declare no conflicts of interest.

Abbreviations

The following abbreviations are used in this manuscript:
PFASPer- and Polyfluoroalkyl Substances
GACGranular Activated Carbon
PFOAPerfluorooctanoic Acid
PFBAPerfluorobutanoic Acid
PFTDAPerfluorotetradecanoic Acid
AZAustralian Zeolite (Clinoptilolite)
NWNormal-Washed
AWAcid-Washed
APTES(3-Aminopropyl) triethoxysilane
DTMSDodecyltrimethoxysilane
GOGraphene Oxide
IXIon Exchange
LC-MS/MSLiquid Chromatography–Tandem Mass Spectrometry
NOMNatural Organic Matter
EPAEnvironmental Protection Agency
GAC1Coconut-Based Granular Activated Carbon
GAC2Coal-Based Granular Activated Carbon

References

  1. Giesy, J.P.; Kannan, K. Global distribution of perfluorooctane sulfonate in wildlife. Environ. Sci. Technol. 2001, 35, 1339–1342. [Google Scholar] [CrossRef]
  2. Evich, M.G.; Davis, M.J.; McCord, J.P.; Acrey, B.; Awkerman, J.A.; Knappe, D.R.; Lindstrom, A.B.; Speth, T.F.; Tebes-Stevens, C.; Strynar, M.J. Per- and polyfluoroalkyl substances in the environment. Science 2022, 375, eabg9065. [Google Scholar] [CrossRef]
  3. Buck, R.C.; Franklin, J.; Berger, U.; Conder, J.M.; Cousins, I.T.; De Voogt, P.; Jensen, A.A.; Kannan, K.; Mabury, S.A.; van Leeuwen, S.P. Perfluoroalkyl and polyfluoroalkyl substances in the environment: Terminology, classification, and origins. Integr. Environ. Assess. Manag. 2011, 7, 513–541. [Google Scholar] [CrossRef] [PubMed]
  4. Leung, S.C.E.; Wanninayake, D.; Chen, D.; Nguyen, N.-T.; Li, Q. Physicochemical properties and interactions of perfluoroalkyl substances (PFAS)-Challenges and opportunities in sensing and remediation. Sci. Total Environ. 2023, 905, 166764. [Google Scholar] [CrossRef]
  5. Brunn, H.; Arnold, G.; Körner, W.; Rippen, G.; Steinhäuser, K.G.; Valentin, I. PFAS: Forever chemicals—Persistent, bioaccumulative and mobile. Reviewing the status and the need for their phase out and remediation of contaminated sites. Environ. Sci. Eur. 2023, 35, 1–50. [Google Scholar]
  6. Javan, K.; Darestani, M. Assessing environmental sustainability of a vital crop in a critical region: Investigating climate change impacts on agriculture using the SWAT model and HWA method. Heliyon 2024, 10, e25326. [Google Scholar] [CrossRef]
  7. Grandjean, P.; Budtz-Jørgensen, E. Immunotoxicity of perfluorinated alkylates: Calculation of benchmark doses based on serum concentrations in children. Environ. Health 2013, 12, 35. [Google Scholar]
  8. Post, G.B.; Cohn, P.D.; Cooper, K.R. Perfluorooctanoic acid (PFOA), an emerging drinking water contaminant: A critical review of recent literature. Environ. Res. 2012, 116, 93–117. [Google Scholar] [CrossRef] [PubMed]
  9. Steenland, K.; Zhao, L.; Winquist, A. A cohort incidence study of workers exposed to perfluorooctanoic acid (PFOA). Occup. Environ. Med. 2015, 72, 373–380. [Google Scholar] [CrossRef]
  10. Ibrahim, M.; Li, Y.; Danjaji, H.; Wang, Y. Per-and polyfluoroalkyl substances and global water resources: An in-depth review of existing regulatory frameworks worldwide. Int. J. Environ. Sci. Technol. 2025, 22, 8259–8280. [Google Scholar]
  11. USEPA. Drinking Water Health Advisories for PFOA and PFOS; United States Environmental Protection Agency: Washington, DC, USA, 2016. [Google Scholar]
  12. Takdastan, A.; Babaei, A.A.; Jorfi, S.; Ahmadi, M.; Tahmasebi Birgani, Y.; Jamshidi, B. Perfluorooctanoic acid (PFOA) and perfluorooctane sulfonate (PFOS) in water and edible fish species of Karun River, Ahvaz, Iran: Spatial distribution, human health, and ecological risk assessment. Int. J. Environ. Health Res. 2024, 34, 803–814. [Google Scholar] [CrossRef] [PubMed]
  13. Wanninayake, D.M. Comparison of currently available PFAS remediation technologies in water: A review. J. Environ. Manag. 2021, 283, 111977. [Google Scholar] [CrossRef]
  14. Lei, X.; Lian, Q.; Zhang, X.; Karsili, T.K.; Holmes, W.; Chen, Y.; Zappi, M.E.; Gang, D.D. A review of PFAS adsorption from aqueous solutions: Current approaches, engineering applications, challenges, and opportunities. Environ. Pollut. 2023, 321, 121138. [Google Scholar] [CrossRef]
  15. Murray, C.C.; Marshall, R.E.; Liu, C.J.; Vatankhah, H.; Bellona, C.L. PFAS treatment with granular activated carbon and ion exchange resin: Comparing chain length, empty bed contact time, and cost. J. Water Process Eng. 2021, 44, 102342. [Google Scholar]
  16. Park, M.; Wu, S.; Lopez, I.J.; Chang, J.Y.; Karanfil, T.; Snyder, S.A. Adsorption of perfluoroalkyl substances (PFAS) in groundwater by granular activated carbons: Roles of hydrophobicity of PFAS and carbon characteristics. Water Res. 2020, 170, 115364. [Google Scholar] [CrossRef]
  17. Riegel, M.; Haist-Gulde, B.; Sacher, F. Sorptive removal of short-chain perfluoroalkyl substances (PFAS) during drinking water treatment using activated carbon and anion exchanger. Environ. Sci. Eur. 2023, 35, 12. [Google Scholar] [CrossRef]
  18. Murray, C.C.; Vatankhah, H.; McDonough, C.A.; Nickerson, A.; Hedtke, T.T.; Cath, T.Y.; Higgins, C.P.; Bellona, C.L. Removal of per-and polyfluoroalkyl substances using super-fine powder activated carbon and ceramic membrane filtration. J. Hazard. Mater. 2019, 366, 160–168. [Google Scholar]
  19. Nakazawa, Y.; Kosaka, K.; Asami, M.; Matsui, Y. Maximum desorption of perfluoroalkyl substances adsorbed on granular activated carbon used in full-scale drinking water treatment plants. Water Res. 2024, 254, 121396. [Google Scholar] [CrossRef]
  20. Zhang, Y.; Thomas, A.; Apul, O.; Venkatesan, A.K. Coexisting ions and long-chain per-and polyfluoroalkyl substances (PFAS) inhibit the adsorption of short-chain PFAS by granular activated carbon. J. Hazard. Mater. 2023, 460, 132378. [Google Scholar]
  21. Chen, R.; Huang, X.; Li, G.; Yu, Y.; Shi, B. Performance of in-service granular activated carbon for perfluoroalkyl substances removal under changing water quality conditions. Sci. Total Environ. 2022, 848, 157723. [Google Scholar] [CrossRef] [PubMed]
  22. Gagliano, E.; Falciglia, P.P.; Zaker, Y.; Birben, N.C.; Karanfil, T.; Roccaro, P. State of the research on regeneration and reactivation techniques for per-and polyfluoroalkyl substances (PFAS)-laden granular activated carbons (GACs). Curr. Opin. Chem. Eng. 2023, 42, 100955. [Google Scholar] [CrossRef]
  23. Vakili, M.; Cagnetta, G.; Deng, S.; Wang, W.; Gholami, Z.; Gholami, F.; Dastyar, W.; Mojiri, A.; Blaney, L. Regeneration of exhausted adsorbents after PFAS adsorption: A critical review. J. Hazard. Mater. 2024, 471, 134429. [Google Scholar] [CrossRef]
  24. Mian, M.M.; Zhu, J.; Jiang, X.; Deng, S. Recent advances in activated carbon driven PFAS removal: Structure-adsorption relationship and new adsorption mechanisms. Front. Environ. Sci. Eng. 2025, 19, 78. [Google Scholar] [CrossRef]
  25. Chaggar, P.K.; Javan, K.; Duarte, M.C.; Darestani, M.; Markhali, B.P. Dynamic CO2 sequestration: From global emission challenges to sustainable capture through geopolymer technologies. Environ. Sci. Pollut. Res. 2025, 32, 26068–26087. [Google Scholar] [CrossRef] [PubMed]
  26. Chaggar, P.K.; Javan, K.; Duarte, M.C.; Markhali, B.P.; Darestani, M. Gasification for carbon neutrality: Advances in pre-combustion CO2 capture. Environ. Manag. 2026, 76, 64. [Google Scholar] [CrossRef] [PubMed]
  27. Ellis, A.C.; Boyer, T.H.; Fang, Y.; Liu, C.J.; Strathmann, T.J. Life cycle assessment and life cycle cost analysis of anion exchange and granular activated carbon systems for remediation of groundwater contaminated by per-and polyfluoroalkyl substances (PFASs). Water Res. 2023, 243, 120324. [Google Scholar] [CrossRef]
  28. Karbassiyazdi, E.; Kasula, M.; Modak, S.; Pala, J.; Kalantari, M.; Altaee, A.; Esfahani, M.R.; Razmjou, A. A juxtaposed review on adsorptive removal of PFAS by metal-organic frameworks (MOFs) with carbon-based materials, ion exchange resins, and polymer adsorbents. Chemosphere 2023, 311, 136933. [Google Scholar] [CrossRef]
  29. Chow, S.J.; Croll, H.C.; Ojeda, N.; Klamerus, J.; Capelle, R.; Oppenheimer, J.; Jacangelo, J.G.; Schwab, K.J.; Prasse, C. Comparative investigation of PFAS adsorption onto activated carbon and anion exchange resins during long-term operation of a pilot treatment plant. Water Res. 2022, 226, 119198. [Google Scholar] [CrossRef] [PubMed]
  30. Woodard, S.; Berry, J.; Newman, B. Ion exchange resin for PFAS removal and pilot test comparison to GAC. Remediat. J. 2017, 27, 19–27. [Google Scholar] [CrossRef]
  31. Zeidabadi, F.A.; Esfahani, E.B.; McBeath, S.T.; Mohseni, M. Managing PFAS exhausted Ion-exchange resins through effective regeneration/electrochemical process. Water Res. 2024, 255, 121529. [Google Scholar]
  32. Boyer, T.H.; Ellis, A.; Fang, Y.; Schaefer, C.E.; Higgins, C.P.; Strathmann, T.J. Life cycle environmental impacts of regeneration options for anion exchange resin remediation of PFAS impacted water. Water Res. 2021, 207, 117798. [Google Scholar] [CrossRef] [PubMed]
  33. Liu, Y.-L.; Sun, M. Ion exchange removal and resin regeneration to treat per-and polyfluoroalkyl ether acids and other emerging PFAS in drinking water. Water Res. 2021, 207, 117781. [Google Scholar] [CrossRef] [PubMed]
  34. Mastropietro, T.F.; Bruno, R.; Pardo, E.; Armentano, D. Reverse osmosis and nanofiltration membranes for highly efficient PFASs removal: Overview, challenges and future perspectives. Dalton Trans. 2021, 50, 5398–5410. [Google Scholar] [CrossRef]
  35. Liu, C.; Zhao, X.; Faria, A.F.; Quiñones, K.Y.D.; Zhang, C.; He, Q.; Ma, J.; Shen, Y.; Zhi, Y. Evaluating the efficiency of nanofiltration and reverse osmosis membrane processes for the removal of per-and polyfluoroalkyl substances from water: A critical review. Sep. Purif. Technol. 2022, 302, 122161. [Google Scholar] [CrossRef]
  36. Ma, Q.; Lei, Q.; Liu, F.; Song, Z.; Khusid, B.; Zhang, W. Evaluation of Commercial Nanofiltration and Reverse Osmosis Membrane Filtration to Remove Pfass: Effects of Transmembrane Pressures and Water Matrices. Water Environ Res. 2024, 96, e10983. [Google Scholar] [CrossRef]
  37. Cardoso, I.M.; Pinto da Silva, L.; Esteves da Silva, J.C. Nanomaterial-based advanced oxidation/reduction processes for the degradation of PFAS. Nanomaterials 2023, 13, 1668. [Google Scholar] [CrossRef] [PubMed]
  38. Ahmed, M.B.; Alam, M.M.; Zhou, J.L.; Xu, B.; Johir, M.A.H.; Karmakar, A.K.; Rahman, M.S.; Hossen, J.; Hasan, A.K.; Moni, M.A. Advanced treatment technologies efficacies and mechanism of per-and poly-fluoroalkyl substances removal from water. Process Saf. Environ. Prot. 2020, 136, 1–14. [Google Scholar] [CrossRef]
  39. Duinslaeger, N.; Radjenovic, J. Electrochemical degradation of per-and polyfluoroalkyl substances (PFAS) using low-cost graphene sponge electrodes. Water Res. 2022, 213, 118148. [Google Scholar] [CrossRef]
  40. Cao, H.; Zhang, W.; Wang, C.; Liang, Y. Sonochemical degradation of poly-and perfluoroalkyl substances–A review. Ultrason. Sonochem. 2020, 69, 105245. [Google Scholar] [CrossRef]
  41. Benettayeb, A.; Ahamadi, S.; Ghosh, S.; John, M.M.; Mitchel, C.R.; Haddou, B. Natural adsorbents for the removal of emerging pollutants and its adsorption mechanisms. In Sustainable Remediation Technologies for Emerging Pollutants in Aqueous Environment; Elsevier: Amsterdam, The Netherlands, 2024; pp. 63–78. [Google Scholar]
  42. Kordala, N.; Wyszkowski, M. Zeolite properties, methods of synthesis, and selected applications. Molecules 2024, 29, 1069. [Google Scholar] [CrossRef]
  43. Chaggar, P.K.; Markhali, B.P.; Darestani, M.; Javan, K.; Min, H.; Fanna, D.J.; Wuhrer, R. Evaluating Acid Penetration Effects on Geopolymer Integrity Using Microscopy and Microanalysis. Microsc. Microanal. 2025, 31, ozaf048.1002. [Google Scholar] [CrossRef]
  44. Senila, M.; Kovacs, E.; Senila, L. Silver-Exchanged Zeolites: Preparation and Applications—A Review. Materials 2025, 18, 4779. [Google Scholar] [CrossRef]
  45. Krysenko, D.; Demchenko, V.Y. Effect of the Composition of the Zeolite Framework of Natural Clinoptilolites on the Exchange of Cations Na+ On Ca2+. Theor. Exp. Chem. 2023, 59, 222–230. [Google Scholar] [CrossRef]
  46. Willett, A. The Versatility of Surface-Modified Clay Adsorbents for PFAS Treatment. In Proceedings of the 2022 Emerging Contaminants in the Environment Conference (ECEC22), Virtual, 27–28 April 2022. [Google Scholar]
  47. Khodabakhshloo, N.; Biswas, B. Adsorption of aqueous perfluorooctane sulfonate by raw and oleylamine-modified Iranian diatomite and zeolite: Material and application insight. Appl. Clay Sci. 2023, 244, 107101. [Google Scholar] [CrossRef]
  48. Mukhopadhyay, R.; Sarkar, B.; Palansooriya, K.N.; Dar, J.Y.; Bolan, N.S.; Parikh, S.J.; Sonne, C.; Ok, Y.S. Natural and engineered clays and clay minerals for the removal of poly-and perfluoroalkyl substances from water: State-of-the-art and future perspectives. Adv. Colloid Interface Sci. 2021, 297, 102537. [Google Scholar] [CrossRef]
  49. Yan, B.; Munoz, G.; Sauvé, S.; Liu, J. Molecular mechanisms of per-and polyfluoroalkyl substances on a modified clay: A combined experimental and molecular simulation study. Water Res. 2020, 184, 116166. [Google Scholar] [CrossRef]
  50. Stebel, E.K.; Pike, K.A.; Nguyen, H.; Hartmann, H.A.; Klonowski, M.J.; Lawrence, M.G.; Collins, R.M.; Hefner, C.E.; Edmiston, P.L. Absorption of short-chain to long-chain perfluoroalkyl substances using swellable organically modified silica. Environ. Sci. Water Res. Technol. 2019, 5, 1854–1866. [Google Scholar] [CrossRef]
  51. Mohammadzadeh Kakhki, R.; Zirjanizadeh, S.; Mohammadpoor, M. A review of clinoptilolite, its photocatalytic, chemical activity, structure and properties: In time of artificial intelligence. J. Mater. Sci. 2023, 58, 10555–10575. [Google Scholar] [CrossRef]
  52. Grifasi, N.; Ziantoni, B.; Fino, D.; Piumetti, M. Fundamental properties and sustainable applications of the natural zeolite clinoptilolite. Environ. Sci. Pollut. Res. 2024, 32, 27805–27840. [Google Scholar] [CrossRef] [PubMed]
  53. Ledesma, B.; Román, S.; Álvarez-Murillo, A.; Sabio, E.; González-García, C.M. Fundamental study on the thermal regeneration stages of exhausted activated carbons: Kinetics. J. Therm. Anal. Calorim. 2014, 115, 537–543. [Google Scholar] [CrossRef]
  54. Javan, K.; Darestani, M.; Ibrar, I.; Pignatta, G. Interrelated issues within the Water-Energy-Food nexus with a focus on environmental pollution for sustainable development: A review. Environ. Pollut. 2025, 368, 125706. [Google Scholar] [CrossRef] [PubMed]
  55. McNamara, J.D.; Franco, R.; Mimna, R.; Zappa, L. Comparison of activated carbons for removal of perfluorinated compounds from drinking water. J.-Am. Water Work. Assoc. 2018, 110, E2–E14. [Google Scholar] [CrossRef]
  56. He, Y.; Cheng, X.; Gunjal, S.J.; Zhang, C. Advancing PFAS sorbent design: Mechanisms, challenges, and perspectives. ACS Mater. Au 2023, 4, 108–114. [Google Scholar] [CrossRef]
  57. Lenka, S.P.; Kah, M.; Chen, J.L.-Y.; Tiban-Anrango, B.A.; Padhye, L.P. Adsorption mechanisms of short-chain and ultrashort-chain PFAS on anion exchange resins and activated carbon. Environ. Sci. Water Res. Technol. 2024, 10, 1280–1293. [Google Scholar] [CrossRef]
  58. Geneyton, A.; Foucaud, Y.; Filippov, L.; Menad, N.-E.; Renard, A.; Badawi, M. Synergistic adsorption of lanthanum ions and fatty acids for efficient rare-earth phosphate recovery: Surface analysis and ab initio molecular dynamics studies. Appl. Surf. Sci. 2020, 526, 146725. [Google Scholar] [CrossRef]
  59. Penchoff, D.A.; Peterson, C.C.; Wrancher, E.M.; Bosilca, G.; Harrison, R.J.; Valeev, E.F.; Benny, P.D. Evaluations of molecular modeling and machine learning for predictive capabilities in binding of lanthanum and actinium with carboxylic acids. J. Radioanal. Nucl. Chem. 2022, 331, 5469–5485. [Google Scholar] [CrossRef]
  60. Sthoer, A.; Adams, E.M.; Sengupta, S.; Corkery, R.W.; Allen, H.C.; Tyrode, E.C. La3+ and Y3+ interactions with the carboxylic acid moiety at the liquid/vapor interface: Identification of binding complexes, charge reversal, and detection limits. J. Colloid Interface Sci. 2022, 608, 2169–2180. [Google Scholar] [CrossRef] [PubMed]
  61. Sontakke, A.D.; Tiwari, S.; Purkait, M.K. A comprehensive review on graphene oxide-based nanocarriers: Synthesis, functionalization and biomedical applications. FlatChem 2023, 38, 100484. [Google Scholar] [CrossRef]
  62. Mahanty, B.; Saawarn, B.; Mahto, B.; Hussain, S.; Hait, S. Efficient removal of perfluorooctanoic acid from aqueous matrices using cationic surfactant functionalized graphene oxide nanocomposite: RSM and ANN modeling, and adsorption behaviour. J. Water Process Eng. 2024, 68, 106448. [Google Scholar] [CrossRef]
  63. Xu, D.; Ding, W.; Gong, X.; Tan, X.; Li, H.; Li, F.; Zhang, M.; Huang, Y.; Su, Y.; Cheng, H.-M. Graphene oxide with 1-nm-thick adlayer for efficient and near-instant removal of per-and polyfluoroalkyl substances. Natl. Sci. Rev. 2025, 12, nwaf092. [Google Scholar] [CrossRef] [PubMed]
  64. Roy, J.W.; Propp, V.; Hua, T.; Brown, S.; Brinovcar, C.; Smith, J.; De Silva, A. Per-and poly-fluoroalkyl substances (PFAS) contamination of surface waters by historic landfills via groundwater plumes: Ecosystem exposure and downstream mass loading. Environ. Sci. Process. Impacts 2025, 27, 1074–1087. [Google Scholar] [CrossRef]
  65. Ersoy, B.; Çelik, M.S. Electrokinetic properties of clinoptilolite with mono-and multivalent electrolytes. Microporous Mesoporous Mater. 2002, 55, 305–312. [Google Scholar] [CrossRef]
  66. Ponge, C.A.; Corbin, D.R.; Sabolay, C.M.; Shiflett, M.B. Designing zeolites for the removal of aqueous PFAS: A perspective. Ind. Chem. Mater. 2024, 2, 270–275. [Google Scholar] [CrossRef]
  67. Burkhardt, J.B.; Cadwallader, A.; Pressman, J.G.; Magnuson, M.L.; Williams, A.J.; Sinclair, G.; Speth, T.F. Polanyi adsorption potential theory for estimating PFAS treatment with granular activated carbon. J. Water Process Eng. 2023, 53, 103691. [Google Scholar] [CrossRef]
  68. Sayadi, S.; Brouillette, F. Silylation of phosphorylated cellulosic fibers with an aminosilane. Carbohydr. Polym. 2024, 343, 122500. [Google Scholar] [CrossRef]
  69. Dunmyer, M.; Welchert, J.; Bellido-Aguilar, D.A.; Brusseau, M.; Savagatrup, S.; Karanikola, V. Molecular scale adsorption behavior of per-and poly-fluoroalkyl substances (PFAS) on model surfaces. Chem. Eng. J. 2024, 497, 154286. [Google Scholar] [CrossRef]
  70. Welchert, J.; Dunmyer, M.; Carroll, L.; Martinez, I.; Lane, T.J.; Bellido-Aguilar, D.A.; Savagatrup, S.; Karanikola, V. Investigation into the adhesion properties of PFAS on model surfaces. RSC Appl. Interfaces 2024, 1, 1265–1275. [Google Scholar] [CrossRef]
  71. Gao, Y.; Du, J.; Gu, T. Hemimicelle formation of cationic surfactants at the silica gel–water interface. J. Chem. Soc. Faraday Trans. 1 Phys. Chem. Condens. Phases 1987, 83, 2671–2679. [Google Scholar] [CrossRef]
  72. Qu, Y.; Ke, Y.; Lu, S.; Fan, R.; Pan, G.; Li, J. Hydrothermal synthesis, structures and spectroscopy of 2D lanthanide coordination polymers built from helical chains: [Ln2(BDC)3(H2O)2]n (Ln=Sm, 1; Ln=Eu, 2; BDC=1,3-benzenedicarboxylate). J. Mol. Struct. 2005, 734, 7–13. [Google Scholar] [CrossRef]
  73. Huang, H.-H.; Twidwell, L.; Young, C. Point of Zero Charge (PZC) and Double Layer Adsorption–An Equilibrium Calculation Approach. In Proceedings of the Conference of Metallurgists (COM) & 35th Annual Hydrometallurgy Meeting, Calgary, AB, Canada, 21–24 August 2005. [Google Scholar]
Figure 1. PFAS sources, exposure pathways, and human health risks.
Figure 1. PFAS sources, exposure pathways, and human health risks.
Cleantechnol 08 00021 g001
Figure 2. Removal performance of GAC and zeolite-based adsorbents in high concentration solution of PFOA (1 ppm).
Figure 2. Removal performance of GAC and zeolite-based adsorbents in high concentration solution of PFOA (1 ppm).
Cleantechnol 08 00021 g002
Figure 3. EDX analysis: (a) GAC1 (coconut-based); and (b) GAC2 (coal-based) samples.
Figure 3. EDX analysis: (a) GAC1 (coconut-based); and (b) GAC2 (coal-based) samples.
Cleantechnol 08 00021 g003
Figure 4. Removal percentage by selected adsorbents: (a) PFBA; and (b) PFOA in single-solute solutions (100 ppb).
Figure 4. Removal percentage by selected adsorbents: (a) PFBA; and (b) PFOA in single-solute solutions (100 ppb).
Cleantechnol 08 00021 g004aCleantechnol 08 00021 g004b
Figure 5. Removal percentage by selected adsorbents for (a) PFBA and (b) PFOA in mixed solution of PFBA (100 ppb), PFOA (100 ppb), and PFTDA (100 ppb).
Figure 5. Removal percentage by selected adsorbents for (a) PFBA and (b) PFOA in mixed solution of PFBA (100 ppb), PFOA (100 ppb), and PFTDA (100 ppb).
Cleantechnol 08 00021 g005
Table 1. Adsorbent samples prepared and evaluated in this study.
Table 1. Adsorbent samples prepared and evaluated in this study.
Sample NameBase MaterialPretreatmentModification TypeMain Functional Feature
GAC1Coconut-based GACHot-water-washedNoneHigh surface area, hydrophobic
GAC2Coal-based GACHot-water-washedNoneHigh microporosity, hydrophobic
AZClinoptilolite zeoliteNormal-washed (NW)NoneHydrophilic, cation-exchange
AZ-DTMS-NWClinoptiloliteNWDTMS graftingHydrophobic alkyl surface
AZ-DTMS-AWClinoptiloliteAcid-washed (AW)DTMS graftingEnhanced hydrophobicity
AZ-A-NWClinoptiloliteNWAPTES graftingAmine (cationic) sites
AZ-A-AWClinoptiloliteAWAPTES graftingIncreased amine density
AZ-D:A (1:1)-NWClinoptiloliteNWCo-grafted APTES + DTMSBalanced hydrophobic + cationic
AZ-D:A (1:3)-NWClinoptiloliteNWCo-grafted APTES + DTMSAmine-dominant surface
AZ-D:A (3:1)-NWClinoptiloliteNWCo-grafted APTES + DTMSHydrophobic-dominant surface
AZ-D:A (1:1)-AWClinoptiloliteAWCo-grafted APTES + DTMSOptimized dual functionality
AZ-D:A (1:3)-AWClinoptiloliteAWCo-grafted APTES + DTMSHigh cationic density
AZ-D:A (3:1)-AWClinoptiloliteAWCo-grafted APTES + DTMSHigh hydrophobic density
AZ-D + A-NWClinoptiloliteNWPhysical mixtureSeparate hydrophobic + amine grains
AZ-D + A-AWClinoptiloliteAWPhysical mixtureSeparate functional grains
AZ-FE-NWClinoptiloliteNWFe impregnationElectrostatic metal sites
AZ-FE-AWClinoptiloliteAWFe impregnationEnhanced Fe loading
AZ-La-NWClinoptiloliteNWLa impregnationStrong cationic binding sites
AZ-GOClinoptiloliteNWGraphene oxide coatingIncreased surface area
Disclaimer/Publisher’s Note: The statements, opinions and data contained in all publications are solely those of the individual author(s) and contributor(s) and not of MDPI and/or the editor(s). MDPI and/or the editor(s) disclaim responsibility for any injury to people or property resulting from any ideas, methods, instructions or products referred to in the content.

Share and Cite

MDPI and ACS Style

Markhali, B.P.; Farahani, A.; Duarte, M.C.; Chaggar, P.K.; Javan, K.; Darestani, M. Modified Zeolites as Alternative Adsorbents for PFAS Removal: A Comparative Study with Granular Activated Carbon. Clean Technol. 2026, 8, 21. https://doi.org/10.3390/cleantechnol8010021

AMA Style

Markhali BP, Farahani A, Duarte MC, Chaggar PK, Javan K, Darestani M. Modified Zeolites as Alternative Adsorbents for PFAS Removal: A Comparative Study with Granular Activated Carbon. Clean Technologies. 2026; 8(1):21. https://doi.org/10.3390/cleantechnol8010021

Chicago/Turabian Style

Markhali, Bijan Pouryousefi, Adam Farahani, Matheus Campos Duarte, Pooja Kaur Chaggar, Kazem Javan, and Mariam Darestani. 2026. "Modified Zeolites as Alternative Adsorbents for PFAS Removal: A Comparative Study with Granular Activated Carbon" Clean Technologies 8, no. 1: 21. https://doi.org/10.3390/cleantechnol8010021

APA Style

Markhali, B. P., Farahani, A., Duarte, M. C., Chaggar, P. K., Javan, K., & Darestani, M. (2026). Modified Zeolites as Alternative Adsorbents for PFAS Removal: A Comparative Study with Granular Activated Carbon. Clean Technologies, 8(1), 21. https://doi.org/10.3390/cleantechnol8010021

Article Metrics

Back to TopTop