Structural Design and Performance Optimization of Proton Exchange Membranes for Water Electrolysis: A Review
Abstract
1. Introduction
2. Performance Metrics
3. Polymer Molecular Structure Design
3.1. Fluorine-Containing Polymers
3.1.1. Perfluorinated Fluorinated Polymers
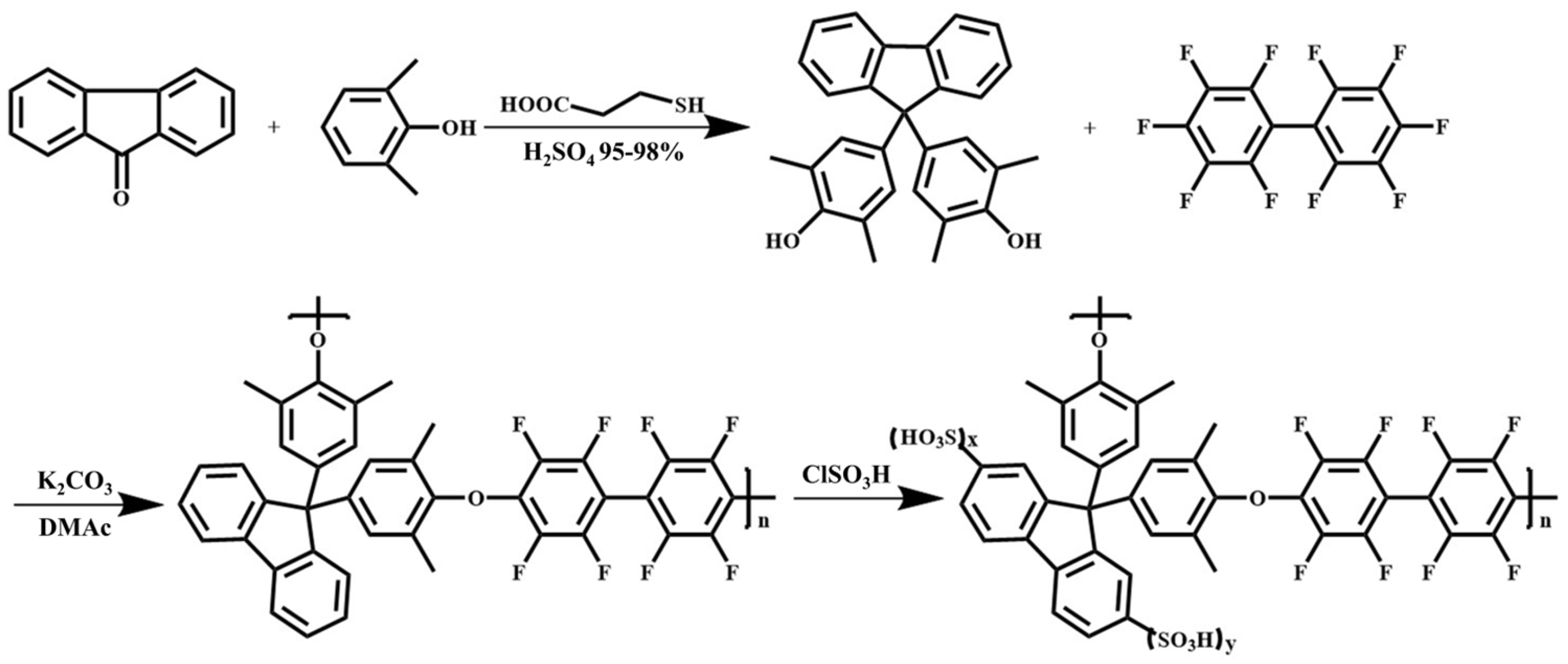
3.1.2. Partially Fluorinated Polymers
3.2. Non-Fluorine Polymers
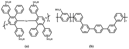
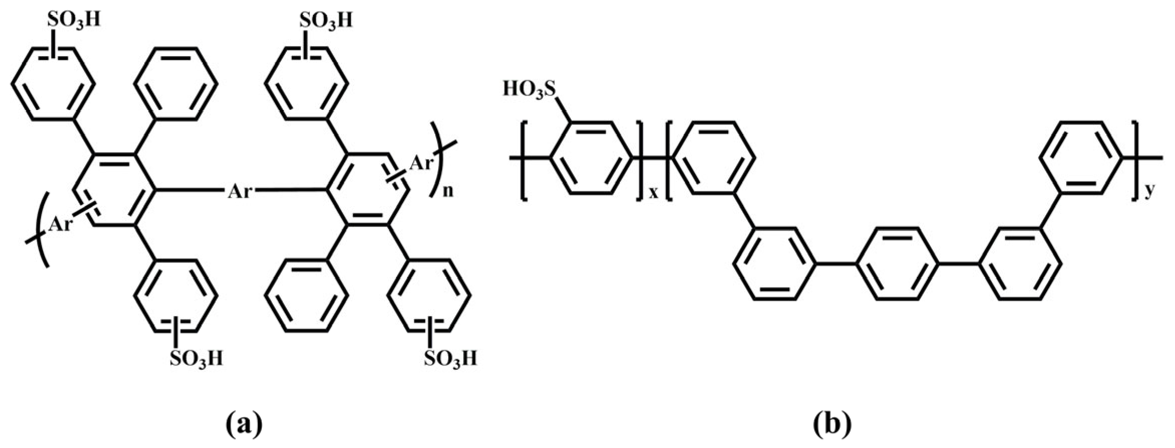
3.2.1. Heteroatom-Containing Polymers
3.2.2. All-Carbon Backbone Polymers
4. PEM Structure Design
4.1. Homogeneous PEM
4.2. Composite PEM
4.2.1. Polymer Blends
4.2.2. Nanofillers
5. Conclusions and Outlook
Author Contributions
Funding
Data Availability Statement
Conflicts of Interest
References
- Qureshi, F.; Asif, M.; Khan, A.; Husain, A.; Aldawsari, H.; Yusuf, M.; Verma, S.K.; Khan, M.Y. Sustainable energy prospects: Advancements in green hydrogen production through proton exchange membrane water electrolysis. Int. J. Hydrogen Energy 2025, 141, 954–978. [Google Scholar] [CrossRef]
- Shaya, N.; Glöser-Chahoud, S. A Review of Life Cycle Assessment (LCA) Studies for Hydrogen Production Technologies through Water Electrolysis: Recent Advances. Energies 2024, 17, 3968. [Google Scholar] [CrossRef]
- Hammi, Z.; Labjar, N.; Lotfi, E.M.; El Hajjaji, S. Production of Green Hydrogen Employing Proton Exchange Membrane Water Electrolyzer: Characterization of Electrolyte Membrane. A Critical Review. J. Membr. Sci. Res. 2023, 9. [Google Scholar] [CrossRef]
- Vedrtnam, A.; Kalauni, K.; Pahwa, R. A review of water electrolysis technologies with insights into optimization and numerical simulations. Int. J. Hydrogen Energy 2025, 140, 694–727. [Google Scholar] [CrossRef]
- Tuluhong, A.; Chang, Q.; Xie, L.; Xu, Z.; Song, T. Current Status of Green Hydrogen Production Technology: A Review. Sustainability 2024, 16, 9070. [Google Scholar] [CrossRef]
- Sun, H.; Xu, X.; Kim, H.; Jung, W.; Zhou, W.; Shao, Z. Electrochemical Water Splitting: Bridging the Gaps Between Fundamental Research and Industrial Applications. Energy Environ. Mater. 2023, 6, e12441. [Google Scholar] [CrossRef]
- Marefatjouikilevaee, H.; Auger, F.; Olivier, J.-C. Static and Dynamic Electrical Models of Proton Exchange Membrane Electrolysers: A Comprehensive Review. Energies 2023, 16, 6503. [Google Scholar] [CrossRef]
- Sebbahi, S.; Assila, A.; Alaoui Belghiti, A.; Laasri, S.; Kaya, S.; Hlil, E.K.; Rachidi, S.; Hajjaji, A. A comprehensive review of recent advances in alkaline water electrolysis for hydrogen production. Int. J. Hydrogen Energy 2024, 82, 583–599. [Google Scholar] [CrossRef]
- Iyer, S.; Kaur, G.; Haque, N.; Giddey, S. Review of experimental and modelling investigations for solid oxide electrolysis technology. Int. J. Hydrogen Energy 2024, 72, 537–558. [Google Scholar] [CrossRef]
- Vincent, I.; Bessarabov, D. Low cost hydrogen production by anion exchange membrane electrolysis: A review. Renew. Sustain. Energy Rev. 2018, 81, 1690–1704. [Google Scholar] [CrossRef]
- Tao, H.B.; Liu, H.; Lao, K.; Pan, Y.; Tao, Y.; Wen, L.; Zheng, N. The gap between academic research on proton exchange membrane water electrolysers and industrial demands. Nat. Nanotechnol. 2024, 19, 1074–1076. [Google Scholar] [CrossRef] [PubMed]
- Wang, T.; Cao, X.; Jiao, L. PEM water electrolysis for hydrogen production: Fundamentals, advances, and prospects. Carbon Neutrality 2022, 1, 21. [Google Scholar] [CrossRef]
- Makhsoos, A.; Kandidayeni, M.; Pollet, B.G.; Boulon, L. A perspective on increasing the efficiency of proton exchange membrane water electrolyzers—A review. Int. J. Hydrogen Energy 2023, 48, 15341–15370. [Google Scholar] [CrossRef]
- Chen, Y.; Liu, C.; Xu, J.; Xia, C.; Wang, P.; Xia, B.Y.; Yan, Y.; Wang, X. Key Components and Design Strategy for a Proton Exchange Membrane Water Electrolyzer. Small Struct. 2022, 4, 2200130. [Google Scholar] [CrossRef]
- Zhang, K.; Liang, X.; Wang, L.; Sun, K.; Wang, Y.; Xie, Z.; Wu, Q.; Bai, X.; Hamdy, M.S.; Chen, H.; et al. Status and perspectives of key materials for PEM electrolyzer. Nano Res. Energy 2022, 1, e9120032. [Google Scholar] [CrossRef]
- Song, P.; Zhang, Y.; Zhang, X.; Liu, J.; Wu, L.; Fisher, A.C.; An, Q.-F. Recent progress on the development of non-fluorinated proton exchange membrane-A review. Green Energy Environ. 2025, 10, 1863–1880. [Google Scholar] [CrossRef]
- Liu, R.-T.; Xu, Z.-L.; Li, F.-M.; Chen, F.-Y.; Yu, J.-Y.; Yan, Y.; Chen, Y.; Xia, B.Y. Recent advances in proton exchange membrane water electrolysis. Chem. Soc. Rev. 2023, 52, 5652–5683. [Google Scholar] [CrossRef]
- Perović, K.; Morović, S.; Jukić, A.; Košutić, K. Alternative to Conventional Solutions in the Development of Membranes and Hydrogen Evolution Electrocatalysts for Application in Proton Exchange Membrane Water Electrolysis: A Review. Materials 2023, 16, 6319. [Google Scholar] [CrossRef]
- Zhou, H.; Chen, W.; Meng, K.; Deng, Q.; Zhang, N.; Chen, B. A review on proton exchange membrane water electrolyzer: Advances in heat and mass transport. Renew. Sustain. Energy Rev. 2025, 223, 116015. [Google Scholar] [CrossRef]
- Yodwong, B.; Guilbert, D.; Phattanasak, M.; Kaewmanee, W.; Hinaje, M.; Vitale, G. Proton Exchange Membrane Electrolyzer Modeling for Power Electronics Control: A Short Review. C 2020, 6, 29. [Google Scholar] [CrossRef]
- Wang, X.; Mardle, P.; Adamski, M.; Chen, B.; Holdcroft, S. Proton Exchange Membrane Water Electrolysis Incorporating Sulfo-Phenylated Polyphenylene Catalyst Coated Membranes. J. Electrochem. Soc. 2023, 170, 024502. [Google Scholar] [CrossRef]
- Shirvanian, P.; van Berkel, F. Novel components in Proton Exchange Membrane (PEM) Water Electrolyzers (PEMWE): Status, challenges and future needs. A mini review. Electrochem. Commun. 2020, 114, 106704. [Google Scholar] [CrossRef]
- Elwan, H.A.; Mamlouk, M.; Scott, K. A review of proton exchange membranes based on protic ionic liquid/polymer blends for polymer electrolyte membrane fuel cells. J. Power Sources 2021, 484, 229197. [Google Scholar] [CrossRef]
- Xu, Z.; Wang, J.; Lin, Z.; He, D.; Yu, Y.; Wang, Q.; Wang, M.; Liao, J.; Ruan, H.; Shen, J. Sulfonated poly(aryl ether) proton exchange membrane with excellent dimensional stability for hydrogen production by water electrolysis. J. Membr. Sci. 2025, 713, 123396. [Google Scholar] [CrossRef]
- Peckham, T.J.; Holdcroft, S. Structure-Morphology-Property Relationships of Non-Perfluorinated Proton-Conducting Membranes. Adv. Mater. 2010, 22, 4667–4690. [Google Scholar] [CrossRef]
- Eikerling, M.; Kornyshev, A.A.; Kuznetsov, A.M.; Ulstrup, J.; Walbran, S. Mechanisms of Proton Conductance in Polymer Electrolyte Membranes. J. Phys. Chem. B 2001, 105, 3646–3662. [Google Scholar] [CrossRef]
- Paddison, S.J. Proton Conduction Mechanisms at Low Degrees of Hydration in Sulfonic Acid–Based Polymer Electrolyte Membranes. Annu. Rev. Mater. Res. 2003, 33, 289–319. [Google Scholar] [CrossRef]
- Kumar, M.; Venkatnathan, A. Mechanism of Proton Transport in Ionic-Liquid-Doped Perfluorosulfonic Acid Membranes. J. Phys. Chem. B 2013, 117, 14449–14456. [Google Scholar] [CrossRef]
- Trinke, P.; Bensmann, B.; Hanke-Rauschenbach, R. Current density effect on hydrogen permeation in PEM water electrolyzers. Int. J. Hydrogen Energy 2017, 42, 14355–14366. [Google Scholar] [CrossRef]
- Cha, J.; Lee, W.; Baek, J. Penetration of Hydrogen into Polymer Electrolyte Membrane for Fuel Cells by Quantum and Molecular Dynamics Simulations. Polymers 2021, 13, 947. [Google Scholar] [CrossRef]
- Takeuchi, K.; Kuo, A.-T.; Hirai, T.; Miyajima, T.; Urata, S.; Terazono, S.; Okazaki, S.; Shinoda, W. Hydrogen Permeation in Hydrated Perfluorosulfonic Acid Polymer Membranes: Effect of Polymer Crystallinity and Equivalent Weight. J. Phys. Chem. C 2019, 123, 20628–20638. [Google Scholar] [CrossRef]
- Guan, P.; Jiang, M.; Li, W.; Zhang, W.; Zhang, L.; Long, K.; Yuan, D.; Ma, T.; Wang, D.; Liu, H.K.; et al. Strategies for Lowering Hydrogen Permeation in Membranes for Proton Exchange Membrane Water Electrolyzers and Fuel Cells. Adv. Mater. 2025, in press. [Google Scholar] [CrossRef] [PubMed]
- Zhou, C.; Guerra, M.A.; Qiu, Z.-M.; Zawodzinski, T.A.; Schiraldi, D.A. Chemical Durability Studies of Perfluorinated Sulfonic Acid Polymers and Model Compounds under Mimic Fuel Cell Conditions. Macromolecules 2007, 40, 8695–8707. [Google Scholar] [CrossRef]
- Rodgers, M.P.; Bonville, L.J.; Mukundan, R.; Borup, R.L.; Ahluwalia, R.; Beattie, P.; Brooker, R.P.; Mohajeri, N.; Kunz, H.R.; Slattery, D.K.; et al. Fuel Cell Perfluorinated Sulfonic Acid Membrane Degradation Correlating Accelerated and Lifetime Testing. ECS Meet. Abstr. 2013, MA2013-02, 1270. [Google Scholar] [CrossRef]
- Liao, J.H.; Li, Q.F.; Rudbeck, H.C.; Jensen, J.O.; Chromik, A.; Bjerrum, N.J.; Kerres, J.; Xing, W. Oxidative Degradation of Polybenzimidazole Membranes as Electrolytes for High Temperature Proton Exchange Membrane Fuel Cells. Fuel Cells 2011, 11, 745–755. [Google Scholar] [CrossRef]
- Teixeira, F.C.; Teixeira, A.P.S.; Rangel, C.M. Chemical stability of new nafion membranes doped with bisphosphonic acids under Fenton oxidative conditions. Int. J. Hydrogen Energy 2023, 48, 37489–37499. [Google Scholar] [CrossRef]
- Ghosh, A.; Sharma, T.; Pandey, J. Review on proton conducting membrane for PEM water electrolyser: A sustainable approach for green hydrogen production. J. Electroanal. Chem. 2025, 993, 119286. [Google Scholar] [CrossRef]
- Zeynali, M.E.; Mohammadi, F.; Rabiee, A. Investigation of solvent–solute interactions and film properties of perfluorinated sulfonic acid (PFSA) ionomers. Iran. Polym. J. 2016, 25, 589–596. [Google Scholar] [CrossRef]
- Primachenko, O.N.; Marinenko, E.A.; Odinokov, A.S.; Kononova, S.V.; Kulvelis, Y.V.; Lebedev, V.T. State of the art and prospects in the development of proton-conducting perfluorinated membranes with short side chains: A review. Polym. Adv. Technol. 2020, 32, 1386–1408. [Google Scholar] [CrossRef]
- Maiti, T.K.; Singh, J.; Dixit, P.; Majhi, J.; Bhushan, S.; Bandyopadhyay, A.; Chattopadhyay, S. Advances in perfluorosulfonic acid-based proton exchange membranes for fuel cell applications: A review. Chem. Eng. J. Adv. 2022, 12, 100372. [Google Scholar] [CrossRef]
- Kusoglu, A.; Weber, A.Z. New Insights into Perfluorinated Sulfonic-Acid Ionomers. Chem. Rev. 2017, 117, 987–1104. [Google Scholar] [CrossRef] [PubMed]
- Zatoń, M.; Rozière, J.; Jones, D.J. Current understanding of chemical degradation mechanisms of perfluorosulfonic acid membranes and their mitigation strategies: A review. Sustain. Energy Fuels 2017, 1, 409–438. [Google Scholar] [CrossRef]
- He, H.; Song, S.; Zhai, L.; Li, Z.; Wang, S.; Zuo, P.; Zhu, Y.; Li, H. Supramolecular Modifying Nafion with Fluoroalkyl-Functionalized Polyoxometalate Nanoclusters for High-Selective Proton Conduction. Angew. Chem. 2024, 136, e202409006. [Google Scholar] [CrossRef]
- Zhang, D.; Song, Z.; Miao, L.; Lv, Y.; Gan, L.; Liu, M. In situ Nafion-nanofilm oriented (002) Zn electrodeposition for long-term zinc-ion batteries. Chem. Sci. 2024, 15, 4322–4330. [Google Scholar] [CrossRef]
- Skulimowska, A.; Dupont, M.; Zaton, M.; Sunde, S.; Merlo, L.; Jones, D.J.; Rozière, J. Proton exchange membrane water electrolysis with short-side-chain Aquivion® membrane and IrO2 anode catalyst. Int. J. Hydrogen Energy 2014, 39, 6307–6316. [Google Scholar] [CrossRef]
- Siracusano, S.; Baglio, V.; Stassi, A.; Merlo, L.; Moukheiber, E.; Arico, A.S. Performance analysis of short-side-chain Aquivion® perfluorosulfonic acid polymer for proton exchange membrane water electrolysis. J. Membr. Sci. 2014, 466, 1–7. [Google Scholar] [CrossRef]
- Yan, X.; Xu, Z.; Yuan, S.; Han, A.; Shen, Y.; Cheng, X.; Liang, Y.; Shen, S.; Zhang, J. Structural and transport properties of ultrathin perfluorosulfonic acid ionomer film in proton exchange membrane fuel cell catalyst layer: A review. J. Power Sources 2022, 536, 231523. [Google Scholar] [CrossRef]
- Li, T.; Shen, J.; Chen, G.; Guo, S.; Xie, G. Performance Comparison of Proton Exchange Membrane Fuel Cells with Nafion and Aquivion Perfluorosulfonic Acids with Different Equivalent Weights as the Electrode Binders. ACS Omega 2020, 5, 17628–17636. [Google Scholar] [CrossRef]
- Wu, X.; Scott, K.; Puthiyapura, V. Polymer electrolyte membrane water electrolyser with Aquivion® short side chain perfluorosulfonic acid ionomer binder in catalyst layers. Int. J. Hydrogen Energy 2012, 37, 13243–13248. [Google Scholar] [CrossRef]
- Brandell, J.K.A.A.J.O.T.D. Molecular Dynamics Modeling of Proton Transport in Nafion and Hyflon Nanostructures. J. Phys. Chem. B 2010, 114, 6056–6064. [Google Scholar] [CrossRef]
- Rodgers, M.P.; Pearman, B.P.; Mohajeri, N.; Bonville, L.J.; Slattery, D.K. Effect of perfluorosulfonic acid membrane equivalent weight on degradation under accelerated stress conditions. Electrochim. Acta 2013, 100, 180–187. [Google Scholar] [CrossRef]
- Li, Y.; Jiang, R.; Gittleman, C. Effects of melt flow index and equivalent weight on the dimensional stability and mechanical behavior of perfluorosulfonic acid ionomer membranes. J. Power Sources 2020, 478, 228734. [Google Scholar] [CrossRef]
- Kusoglu, A.; Shi, S.; Dudenas, P.; Weber, A.Z. Impact of Equivalent Weight and Side-Chain on Structure/Functionality of PFSA Ionomers and Thin Films. ECS Meet. Abstr. 2016, MA2016-02, 2763. [Google Scholar] [CrossRef]
- Maier, M.; Abbas, D.; Mitrovic, J.; Marth, A.; Thiele, S.; Böhm, T. Performance and Degradation Analysis of Low and High Equivalent Weight Short Side Chain PFSA Membranes in PEMFCs. ACS Appl. Energy Mater. 2024, 7, 10637–10649. [Google Scholar] [CrossRef]
- Gebhardt, R.; Wrubel, J.A.; Bartuska, S.; Vander Woude, M.; Wright, B.; Bender, G.; Park, A. Advancements in Thin, Reinforced Proton Exchange Membranes for Water Electrolysis. ECS Meet. Abstr. 2023, MA2023-01, 1999. [Google Scholar] [CrossRef]
- Kassa, T.S.; Yessuf, A.M.; Mohideen, M.M.; Mihiretu, A.M.; Ramakrishna, S.; Liu, Y. Modification, Degradation, and Mitigation of Perfluorosulfonic Acid Proton Exchange Membranes for Fuel Cells: A Review. ACS Appl. Mater. Interfaces 2025, 17, 45271–45301. [Google Scholar] [CrossRef]
- Gebert, M.; Höhlein, B.; Stolten, D. Benchmark Cost Analysis of Main PEFC-Ionomer Membrane Solutions. J. Fuel Cell Sci. Technol. 2004, 1, 56–60. [Google Scholar] [CrossRef]
- Mariani, M.; Basso Peressut, A.; Latorrata, S.; Balzarotti, R.; Sansotera, M.; Dotelli, G. The Role of Fluorinated Polymers in the Water Management of Proton Exchange Membrane Fuel Cells: A Review. Energies 2021, 14, 8387. [Google Scholar] [CrossRef]
- Lv, S.; Li, X.; Lu, M.; Lu, T.; Lv, W.; Liu, W.; Dong, X.; Liu, Z.; Yang, B. Recent advances in non-perfluorinated sulfonic acid proton exchange membranes in the energy field. J. Mater. Chem. A 2024, 12, 9345–9370. [Google Scholar] [CrossRef]
- Long, Z.; Miyake, J.; Miyatake, K. Partially Fluorinated Polyphenylene Ionomers as Proton Exchange Membranes for Fuel Cells: Effect of Pendant Multi-Sulfophenylene Groups. ACS Appl. Energy Mater. 2019, 2, 7527–7534. [Google Scholar] [CrossRef]
- Chang, Y.; Lee, Y.-B.; Bae, C. Partially Fluorinated Sulfonated Poly(ether amide) Fuel Cell Membranes: Influence of Chemical Structure on Membrane Properties. Polymers 2011, 3, 222–235. [Google Scholar] [CrossRef]
- Wang, L.; Zhu, G.M.; Li, J.Q.; Gao, C.M. Synthesis and characterization of partially fluorinated poly(fluorenyl ether ketone)s with different degrees of sulfonation as proton exchange membranes. Polym. Bull. 2010, 66, 925–937. [Google Scholar] [CrossRef]
- Hoshikawa, N.; Shinohara, A.; Hosokawa, Y.; Hasegawa, N.; Kawasumi, M. Synthesis and Properties of Fluorocarbon–Hydrocarbon Hybrid Block Copolymers with Perfluorosulfonimide Acid. ACS Omega 2020, 5, 27766–27773. [Google Scholar] [CrossRef]
- Miyake, J.; Kusakabe, M.; Tsutsumida, A.; Miyatake, K. Remarkable Reinforcement Effect in Sulfonated Aromatic Polymers as Fuel Cell Membrane. ACS Appl. Energy Mater. 2018, 1, 1233–1238. [Google Scholar] [CrossRef]
- Higashihara, T.; Matsumoto, K.; Ueda, M. Sulfonated aromatic hydrocarbon polymers as proton exchange membranes for fuel cells. Polymer 2009, 50, 5341–5357. [Google Scholar] [CrossRef]
- Mohamad Nor, N.A.; Mohamed, M.A.; Jaafar, J. Modified sulfonated polyphenylsulfone proton exchange membrane with enhanced fuel cell performance: A review. J. Ind. Eng. Chem. 2022, 116, 32–59. [Google Scholar] [CrossRef]
- Peighambardoust, S.J.; Rowshanzamir, S.; Amjadi, M. Review of the proton exchange membranes for fuel cell applications. Int. J. Hydrogen Energy 2010, 35, 9349–9384. [Google Scholar] [CrossRef]
- Nguyen, H.; Klose, C.; Metzler, L.; Vierrath, S.; Breitwieser, M. Fully Hydrocarbon Membrane Electrode Assemblies for Proton Exchange Membrane Fuel Cells and Electrolyzers: An Engineering Perspective. Adv. Energy Mater. 2022, 12, 2103559. [Google Scholar] [CrossRef]
- Gomaa, M.M.; Requena-Leal, I.; Elsharkawy, M.R.M.; Rodrigo, M.A.; Lobato, J. Eco-friendly non-fluorinated membranes for renewable energy storage. Int. J. Hydrogen Energy 2024, 90, 328–341. [Google Scholar] [CrossRef]
- García-Salaberri, P.A. Proton exchange membranes for polymer electrolyte fuel cells: An analysis of perfluorosulfonic acid and aromatic hydrocarbon ionomers. Sustain. Mater. Technol. 2023, 38, e00727. [Google Scholar] [CrossRef]
- Afzal, J.; Wang, H. A review on sulfonated organic polymer based composite membranes for PEM water electrolyzers. Int. J. Hydrogen Energy 2025, 123, 100–117. [Google Scholar] [CrossRef]
- Miyake, J.; Miyatake, K. Fluorine-free sulfonated aromatic polymers as proton exchange membranes. Polym. J. 2017, 49, 487–495. [Google Scholar] [CrossRef]
- Huang, J.; Long, Z.; Chen, C.; Xu, K.; Qian, B.; Ren, Y.; Ding, T.; Fang, X. Ether-free Sulfonated Polyarylene-Based Proton Exchange Membranes by Superacid-catalyzed Friedel-Crafts Reaction. Acta Polym. Sin. 2024, 55, 1730–1741. [Google Scholar] [CrossRef]
- Liang, D.; Wu, Q.; Shi, D.; Zhang, Y.; Li, H.; Chen, K. Novel Side-Chain Type Sulfonated Poly(phenylquinoxaline) Proton Exchange Membranes for Direct Methanol Fuel Cells. Membranes 2022, 12, 952. [Google Scholar] [CrossRef]
- Ko, E.J.; Lee, E.; Lee, J.Y.; Yu, D.M.; Yoon, S.J.; Oh, K.-H.; Hong, Y.T.; So, S. Multi-Block Copolymer Membranes Consisting of Sulfonated Poly(p-phenylene) and Naphthalene Containing Poly(arylene Ether Ketone) for Proton Exchange Membrane Water Electrolysis. Polymers 2023, 15, 1748. [Google Scholar] [CrossRef]
- Park, J.E.; Kim, J.; Han, J.; Kim, K.; Park, S.; Kim, S.; Park, H.S.; Cho, Y.-H.; Lee, J.-C.; Sung, Y.-E. High-performance proton-exchange membrane water electrolysis using a sulfonated poly(arylene ether sulfone) membrane and ionomer. J. Membr. Sci. 2021, 620, 118871. [Google Scholar] [CrossRef]
- Dai, J.; Zhang, Y.; Wang, G.; Zhuang, Y. Structural architectures of polymer proton exchange membranes suitable for high-temperature fuel cell applications. Sci. China Mater. 2021, 65, 273–297. [Google Scholar] [CrossRef]
- Li, S. Molecular Simulation of Phosphoric Acid-Doped Polybenzimidazoles as High- Temperature Proton Exchange Membranes. Ph.D. Thesis, University of Cincinnati, Cincinnati, OH, USA, 2011. [Google Scholar]
- Wan, L.; Xu, Z.; Wang, P.; Lin, Y.; Wang, B. H2SO4-doped polybenzimidazole membranes for hydrogen production with acid-alkaline amphoteric water electrolysis. J. Membr. Sci. 2021, 618, 118642. [Google Scholar] [CrossRef]
- Seng, L.K.; Masdar, M.S.; Shyuan, L.K. Ionic Liquid in Phosphoric Acid-Doped Polybenzimidazole (PA-PBI) as Electrolyte Membranes for PEM Fuel Cells: A Review. Membranes 2021, 11, 728. [Google Scholar] [CrossRef]
- Huang, Z.; Zhu, D.; Benicewicz, B.C.; Zhu, T.; Liang, J.; Zhu, T.; Zhang, L.; Liu, M.; Gao, C.; Huang, F.; et al. Anisotropic Polybenzimidazole Ion-Solvating Membranes Composed of Aligned Nano-Sheets for Efficient Acid-Alkaline Amphoteric Water Electrolysis. Adv. Energy Mater. 2023, 14, 2303481. [Google Scholar] [CrossRef]
- Díaz-Abad, S.; Rodrigo, M.A.; Lobato, J. First approaches for hydrogen production by the depolarized electrolysis of SO2 using phosphoric acid doped polybenzimidazole membranes. Int. J. Hydrogen Energy 2021, 46, 29763–29773. [Google Scholar] [CrossRef]
- Li, T.; Chai, S.; Liu, B.; Zhao, C.; Li, H. All-carbon backbone aromatic polymers for proton exchange membranes. J. Polym. Sci. 2023, 61, 2796–2814. [Google Scholar] [CrossRef]
- Cetina-Mancilla, E.; Olvera, L.I.; Balmaseda, J.; Forster, M.; Ruiz-Treviño, F.A.; Cárdenas, J.; Vivaldo-Lima, E.; Zolotukhin, M.G. Well-defined, linear, wholly aromatic polymers with controlled content and position of pyridine moieties in macromolecules from one-pot, room temperature, metal-free step-polymerizations. Polym. Chem. 2020, 11, 6194–6205. [Google Scholar] [CrossRef]
- Esmaeili, N.; Gray, E.M.; Webb, C.J. Non-Fluorinated Polymer Composite Proton Exchange Membranes for Fuel Cell Applications–A Review. ChemPhysChem 2019, 20, 2016–2053. [Google Scholar] [CrossRef]
- Britton, B.; Baker, A.M.; Rojas-Carbonell, S. (Invited) Mechanical Properties in the Design of Hydrocarbon Catalyst Layers for Electrolyzer, Fuel Cell, and Other Electrochemical Applications with Pemion® and Aemion®. ECS Meet. Abstr. 2025, MA2025-01, 759. [Google Scholar] [CrossRef]
- Britton, B. A New Archetype: Opportunities of Pemion® Fully Hydrocarbon Ionomer and Composite Membranes in Proton-Exchange Membrane Fuel Cell Applications. ECS Meet. Abstr. 2024, MA2024-02, 2931. [Google Scholar] [CrossRef]
- Mirfarsi, S.H.; Kumar, A.; Jeong, J.; Adamski, M.; McDermid, S.; Britton, B.; Kjeang, E. Thermo-Mechanical Stability of Hydrocarbon-Based Pemion® Proton Exchange Membranes. ECS Meet. Abstr. 2023, MA2023-02, 1903. [Google Scholar] [CrossRef]
- Mirfarsi, S.H.; Kumar, A.; Jeong, J.; Brown, E.; Adamski, M.; Jones, S.; McDermid, S.; Britton, B.; Kjeang, E. Mechanical durability of reinforced sulfo-phenylated polyphenylene-based proton exchange membranes: Impacts of ion exchange capacity and reinforcement thickness. J. Power Sources 2025, 630, 236137. [Google Scholar] [CrossRef]
- Egemole, F.O.; Biancolli, A.L.G.; Holdcroft, S. Water electrolysis using fluorine-free, reinforced sulfo-phenylated polyphenylene membranes. Electrochim. Acta 2024, 508, 145259. [Google Scholar] [CrossRef]
- Mirfarsi, S.H.; Kumar, A.; Jeong, J.; Adamski, M.; McDermid, S.; Britton, B.; Kjeang, E. High-temperature stability of hydrocarbon-based Pemion® proton exchange membranes: A thermo-mechanical stability study. Int. J. Hydrogen Energy 2024, 50, 1507–1522. [Google Scholar] [CrossRef]
- Safronova, E.Y.; Lysova, A.A.; Voropaeva, D.Y.; Yaroslavtsev, A.B. Approaches to the Modification of Perfluorosulfonic Acid Membranes. Membranes 2023, 13, 721. [Google Scholar] [CrossRef] [PubMed]
- Abouricha, S.; Aziam, H.; Noukrati, H.; Sel, O.; Saadoune, I.; Lahcini, M.; Youcef, H.B. Biopolymers-Based Proton Exchange Membranes for Fuel Cell Applications: A Comprehensive Review. ChemElectroChem 2024, 11, e202300648. [Google Scholar] [CrossRef]
- Miyake, J.; Watanabe, T.; Shintani, H.; Sugawara, Y.; Uchida, M.; Miyatake, K. Reinforced Polyphenylene Ionomer Membranes Exhibiting High Fuel Cell Performance and Mechanical Durability. ACS Mater. Au 2021, 1, 81–88. [Google Scholar] [CrossRef] [PubMed]
- Park, S.-G.; Chae, K.-J.; Lee, M. A sulfonated poly(arylene ether sulfone)/polyimide nanofiber composite proton exchange membrane for microbial electrolysis cell application under the coexistence of diverse competitive cations and protons. J. Membr. Sci. 2017, 540, 165–173. [Google Scholar] [CrossRef]
- Namdar, H.; Crespi, E.; Laidani, N.; Gamba, G.; Testi, M. Fabrication of Sulfonated Poly Ether Ether Ketone Membranes Reinforced with PEEK Meshes: Mos2 Sputtering to Enhance Functional Properties for PEM Water Electrolysis Application. J. Appl. Polym. Sci. 2025, 142, e57236. [Google Scholar] [CrossRef]
- Noh, Y.S.; Jeong, H.Y.; Kim, T.-H.; Choi, J.; Lee, J.Y.; So, S.; Yu, D.M. Sulfonated poly(p-phenylene)-based ionomer/PTFE composite membrane with enhanced performance and durability for energy conversion devices. J. Power Sources 2023, 580, 233422. [Google Scholar] [CrossRef]
- Gagliardi, G.G.; Ibrahim, A.; Borello, D.; El-Kharouf, A. Composite Polymers Development and Application for Polymer Electrolyte Membrane Technologies—A Review. Molecules 2020, 25, 1712. [Google Scholar] [CrossRef]
- Ahmad, S.; Nawaz, T.; Ali, A.; Orhan, M.F.; Samreen, A.; Kannan, A.M. An overview of proton exchange membranes for fuel cells: Materials and manufacturing. Int. J. Hydrogen Energy 2022, 47, 19086–19131. [Google Scholar] [CrossRef]
- Sun, X.W.; Simonsen, S.C.; Norby, T.; Chatzitakis, A. Composite Membranes for High Temperature PEM Fuel Cells and Electrolysers: A Critical Review. Membranes 2019, 9, 83. [Google Scholar] [CrossRef]
- Bakangura, E.; Wu, L.; Ge, L.; Yang, Z.; Xu, T. Mixed matrix proton exchange membranes for fuel cells: State of the art and perspectives. Prog. Polym. Sci. 2016, 57, 103–152. [Google Scholar] [CrossRef]
- Narreddula, M.; Balaji, R.; Ramya, K.; Dhathathreyan, K.S.; Rajalakshmi, N.; Ramachandraiah, A. Electrochemical methanol reformation (ECMR) using low-cost sulfonated PVDF/ZrP membrane for hydrogen production. J. Solid State Electrochem. 2018, 22, 2757–2765. [Google Scholar] [CrossRef]
- Li, T.; Song, X.; Zhang, Y.; Liang, W.; Jiao, C.; Zhang, L.; Jiang, H. Tailoring long-range ordered nanochannels in Nafion intercalated GO membrane for improved proton conduction. J. Membr. Sci. 2025, 724, 123946. [Google Scholar] [CrossRef]
- Xu, G.; Du, X.; Ding, W.; Ma, S.; Zhang, L.; Li, J.; Huang, J.; Song, J.; Liang, D. Nano-Pd loaded composite membrane for reduced hydrogen crossover in proton exchange membrane water electrolysis via recasting method. Renew. Energy 2024, 235, 121285. [Google Scholar] [CrossRef]
- Xie, X.; Song, J.; Fan, X.; Zhao, W.; Liu, K.; Zhao, Y.; Zhou, L.; Xiao, Y.; Li, S.; Wang, H.; et al. Ultra-Efficient Hydrogen Crossover Suppression Achieved by Precise Pt Hybridization in Thin Nafion Membranes for Water Electrolyzer. Adv. Funct. Mater. 2025, 35, 2504467. [Google Scholar] [CrossRef]
- Park, G.Y.; Noh, Y.S.; Jeong, H.Y.; Yoon, S.J.; Oh, K.-H.; So, S.; Kim, J.; Choi, J.; Yu, D.M. Hydrocarbon ionomer/polytetrafluoroethylene composite membranes containing radical scavengers for robust proton exchange membrane water electrolysis. Eur. Polym. J. 2025, 234, 114024. [Google Scholar] [CrossRef]
- Min, K.; Al Munsur, A.Z.; Paek, S.Y.; Jeon, S.; Lee, S.Y.; Kim, T.-H. Development of High-Performance Polymer Electrolyte Membranes through the Application of Quantum Dot Coatings to Nafion Membranes. ACS Appl. Mater. Interfaces 2023, 15, 15616–15624. [Google Scholar] [CrossRef]















| Classification | Materials | Advantages | Disadvantages |
|---|---|---|---|
| PFSA | Nafion® | 1. Stability: PTFE resists strong acids/high oxidation potentials. 2. Proton conductivity: >0.1 S/cm at 80 °C (continuous channels from phase separation). 3. Commercial maturity: Stable process, compatible with existing PEMWE. | 1. High cost: Perfluorinated monomers are hard to synthesize; Nafion®-type is expensive. 2. Limited high-temperature performance: Dehydration >100 °C→sharp conductivity drop. 3. High H2 permeability: Nafion® 212 (115 barrer). 4. Dimensional stability: High swelling at high humidity (affects membrane–electrode contact). |
| Partially fluorinated polymers | SPAF series, SPA series, PFEK | 1. Cost–environmental balance: Reduced F content, lower cost vs. perfluorinated membranes, less F pollution. 2. Excellent gas barrier: SPAF-BM < Nafion® in H2 permeation current density. 3. High structural tunability: Optimize conductivity/stability via sulfonation degree/fluoro chain length. | 1. Inferior chemical stability: Lower F content→weaker radical resistance vs. perfluorinated membranes. 2. Complex synthesis: Low reactivity of some fluorinated monomers (e.g., SPA series fluorinated dicarboxylic acids)→low molecular weight. 3. Limited large-scale use: Lab-scale studies dominate; no industrial validation data. |
| Heteroatom-containing polymers | SPPNBP series, SPAES series, PBI | 1. Ultra-low cost: 1/5–1/10 of perfluorinated membranes. 2. High conductivity: SPAES50 (330.1 mS/cm at 90 °C) > Nafion®. 3. High selectivity: SPPNBP-5 (3.6× vs. Nafion® 212)→less gas crossover. 4. PBI high-T resistance: 100–200 °C, suitable for high-T PEMWE. | 1. Poor chemical stability: Backbone with O/S heteroatoms→susceptible to ·OH/OOH attack. 2. High swelling: Excessive water uptake from a high sulfonation degree impairs structural integrity. 3. PBI needs acid doping: Relies on phosphoric/sulfuric acid for conductivity; acid leakage causes performance decay and electrode corrosion. |
| All-carbon backbone polymers | Pemion® | 1. Stability breakthrough: Fully carbon aromatic backbone→better radical resistance vs. heteroatom-containing non-fluorinated membranes. 2. High-T mechanical excellence: Rigid framework inhibits thermal deformation > traditional reinforced PFSA membranes. 3. High conductivity + low permeability: IEC 2.56–2.85 mmol/g; H2 permeability < Nafion®. 4. Eco-friendly and low cost: No F pollution, cheap raw materials, lower cost than perfluorinated membranes. | 1. High water absorption risk: High IEC causes excessive water uptake. 2. Scalability technology to be improved: Current preparation is mainly lab-scale; lacks stability data for large-scale production. 3. Catalyst compatibility needs optimization: Low surface polarity of some all-carbon membranes may affect the membrane–catalyst layer interface contact. |
| Composite PEM | SPP-QP-PE, SPAES/PIN, GO/Nafion®, F-SP50-Ce | 1. Synergistic optimization:
3. Controllable cost: Low-cost substrates (PTFE/PE) or small fillers (GO/CeO2)→avoid high costs associated with perfluorinated membranes. | 1. Poor interfacial compatibility: Organic-inorganic phase separation→defects (nanofiller aggregation→lower conductivity). 2. Complex preparation: Multilayer composites (SPP/PTFE five-layer) and precise doping (Pt nanoparticle embedding)→high-precision equipment required. 3. Unverified long-term stability: Weak interfacial adhesion (e.g., CQD-cNafion®)→interlayer delamination during long-term operation. |
Disclaimer/Publisher’s Note: The statements, opinions and data contained in all publications are solely those of the individual author(s) and contributor(s) and not of MDPI and/or the editor(s). MDPI and/or the editor(s) disclaim responsibility for any injury to people or property resulting from any ideas, methods, instructions or products referred to in the content. |
© 2026 by the authors. Licensee MDPI, Basel, Switzerland. This article is an open access article distributed under the terms and conditions of the Creative Commons Attribution (CC BY) license.
Share and Cite
Chen, Y.; Ma, H.; Hsiao, B.S. Structural Design and Performance Optimization of Proton Exchange Membranes for Water Electrolysis: A Review. Membranes 2026, 16, 54. https://doi.org/10.3390/membranes16020054
Chen Y, Ma H, Hsiao BS. Structural Design and Performance Optimization of Proton Exchange Membranes for Water Electrolysis: A Review. Membranes. 2026; 16(2):54. https://doi.org/10.3390/membranes16020054
Chicago/Turabian StyleChen, Yi, Hongyang Ma, and Benjamin S. Hsiao. 2026. "Structural Design and Performance Optimization of Proton Exchange Membranes for Water Electrolysis: A Review" Membranes 16, no. 2: 54. https://doi.org/10.3390/membranes16020054
APA StyleChen, Y., Ma, H., & Hsiao, B. S. (2026). Structural Design and Performance Optimization of Proton Exchange Membranes for Water Electrolysis: A Review. Membranes, 16(2), 54. https://doi.org/10.3390/membranes16020054

