Sign in to use this feature.

Years

Between: -

Subjects

remove_circle_outline
remove_circle_outline
remove_circle_outline
remove_circle_outline
remove_circle_outline
remove_circle_outline
remove_circle_outline
remove_circle_outline
remove_circle_outline

Journals

remove_circle_outline
remove_circle_outline
remove_circle_outline
remove_circle_outline

Article Types

Countries / Regions

remove_circle_outline
remove_circle_outline
remove_circle_outline
remove_circle_outline
remove_circle_outline

Search Results (169)

Search Parameters:
Keywords = boxplot

Order results
Result details
Results per page
Select all
Export citation of selected articles as:
49 pages, 13968 KB  
Article
Application of Machine Learning Methods for Predicting the Factor of Safety in Rock Slopes
by Miguel Trinidad and Moe Momayez
Geotechnics 2026, 6(1), 15; https://doi.org/10.3390/geotechnics6010015 - 3 Feb 2026
Abstract
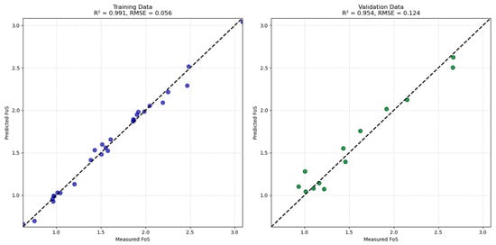
Factor of Safety (FOS) is a significant index to measure the stability condition of a rock slope in mining or civil engineering. In this paper, we evaluate and compare four different machine learning models, Gaussian Process Regressor (GPR), Support Vector Regressor (SVR), Random [...] Read more.
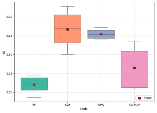
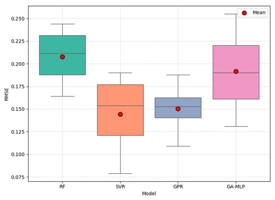
Factor of Safety (FOS) is a significant index to measure the stability condition of a rock slope in mining or civil engineering. In this paper, we evaluate and compare four different machine learning models, Gaussian Process Regressor (GPR), Support Vector Regressor (SVR), Random Forest (RF), and a hybrid genetic algorithm–multi-layer perceptron (GA-MLP), using two separate real-world datasets. The two separate datasets used in this study are from a previously conducted study on highway excavation with rock cutting in China, and another one in a mining site in Peru, with five geotechnical properties used as inputs, including slope height, slope angle, unit weight, cohesion, and friction angle. The two separate datasets were separated into training, validation, and testing datasets. The testing dataset of the models is unseen data used to assess model performance in an unbiased manner. The result shows that the SVR had the highest prediction accuracy, followed by GPR for the mining dataset, and GPR had the highest performance among all the models for the highway excavation dataset. From the boxplot, we can see that SVR, while having the highest predictive accuracy, has a larger variance in prediction compared to GPR for the mining dataset. Full article
Show Figures

Figure 1

20 pages, 10359 KB  
Article
Spatial and Temporal Variation of Vegetation NPP in a Typical Area of China Based on the CASA Model
by Kuankuan Cui, Fei Yang, Qiulin Dong, Zehui Wang, Tianmeng Du and Zhe Wang
Land 2026, 15(2), 237; https://doi.org/10.3390/land15020237 - 30 Jan 2026
Viewed by 102
Abstract
To host the 2022 Winter Olympics, Beijing and Zhangjiakou implemented extensive ecological restoration projects, improving the ecological quality of the region. However, detailed evidence of long-term spatiotemporal dynamics in vegetation productivity remains limited. This study employed the Carnegie–Ames–Stanford Approach (CASA) to estimate the [...] Read more.
To host the 2022 Winter Olympics, Beijing and Zhangjiakou implemented extensive ecological restoration projects, improving the ecological quality of the region. However, detailed evidence of long-term spatiotemporal dynamics in vegetation productivity remains limited. This study employed the Carnegie–Ames–Stanford Approach (CASA) to estimate the vegetation Net Primary Productivity (NPP) in the Beijing–Zhangjiakou region from 2004 to 2023, utilizing 250 m monthly NDVI data. The 30 m resolution China Land Cover Dataset (CLCD) was incorporated to mask non-vegetated pixels and refine the vegetation mask, reducing mixed-pixel effects. Spatiotemporal variations, seasonal change-point detection, interannual stability, and trend persistence were analyzed across administrative regions and land cover types. Results indicate pronounced spatial heterogeneity in NPP, with persistently high values in forest-dominated western and northern Beijing and northeastern Zhangjiakou, and lower values concentrated in Beijing’s built-up and cropland-dominated southeastern plain. Pixel-level boxplots suggest stronger intra-regional variability in Beijing than in Zhangjiakou. Across landcover types, forests generally maintain the highest NPP, while grasslands are relatively lower. Boxplots further show that shrubs exhibit the highest variability, with all types showing right-skewed distributions. Annual mean NPP increased significantly for the entire region, Beijing, and Zhangjiakou, with interannual increase rates of 3.57, 1.56, and 4.53 gC·m−2·yr−2, respectively; the lowest values occurred in 2007 and the highest in 2022. Trend maps and category statistics consistently suggest that positive trends dominate most of the region and expanded slightly during 2014–2023. BEAST analysis suggests a stable seasonal NPP cycle with no significant seasonal change points. CV-based assessment indicates generally high to extremely high stability, whereas low-stability zones are mainly associated with urban expansion areas, surrounding croplands, and parts of Zhangjiakou grasslands. Hurst results suggest that persistently increasing trends cover more than 90% of the study area, while persistently decreasing trends account for about 5.25% and are primarily linked to Beijing’s expansion zones. Full article
Show Figures

Figure 1

32 pages, 29670 KB  
Article
Slip-Surface Depth Inversion and Influencing Factor Analysis Based on the Integration of InSAR and GeoDetector: A Case Study of Typical Creep Landslide Groups in Li County
by Yue Shen, Xianmin Wang, Xiaoyu Yi, Li Cao and Haixiang Guo
Remote Sens. 2026, 18(2), 377; https://doi.org/10.3390/rs18020377 - 22 Jan 2026
Viewed by 117
Abstract
Creeping landslides constitute the predominant form of long-term, slow-moving geohazards in high mountain gorge regions. Under the combined influence of gravity and external triggering factors, these landslides undergo persistent deformation, posing continuous threats to major transportation corridors, hydropower infrastructures, and nearby settlements. Li [...] Read more.
Creeping landslides constitute the predominant form of long-term, slow-moving geohazards in high mountain gorge regions. Under the combined influence of gravity and external triggering factors, these landslides undergo persistent deformation, posing continuous threats to major transportation corridors, hydropower infrastructures, and nearby settlements. Li County is located within the active tectonic belt along the eastern margin of the Tibetan Plateau, characterized by highly variable topography, intensely fractured rock masses, and dense development of creeping landslides. The slip surfaces are typically deeply buried and concealed. Consequently, conventional drilling and profile-based investigations, limited by high costs, sparse sampling points, and poor spatial continuity, are insufficient for identifying the deep-seated structures of such landslides. To address this challenge, this study applies Small Baseline Subset Interferometric Synthetic Aperture Radar (SBAS-InSAR) to obtain ascending and descending deformation rate fields for 2022–2024, revealing pronounced spatial heterogeneity and persistent activity across three types of landslides. Based on the principle of mass conservation, the sliding-surface depths of eight typical landslides were inverted, revealing pronounced heterogeneity. The maximum sliding-surface depths range from 32 to 98 m and show strong agreement with borehole and profile data (R2 > 0.92; RMSE ±4.96–±16.56 m), confirming the reliability of the inversion method. The GeoDetector model was used to quantitatively evaluate the dominant factors controlling landslide depth. Elevation was identified as the primary control factor, while slope aspect exhibited significant influence in several landslides. All factor combinations showed either “bi-factor enhancement” or “nonlinear enhancement”, indicating that slip-surface depth is governed by synergistic interactions among multiple factors. Boxplot-based statistical analyses further revealed three typical patterns of slip-surface variation with elevation and slope, based on which the landslides were classified into rotational, push-type translational, and traction-type translational categories. By integrating statistical patterns with mechanical models, the study achieves a transition from “form” to “state”, enabling inference of the internal mechanical conditions and evolutionary stages from the observed surface morphology. The results of this study provide an effective technical approach for deep structural detection, identification of controlling factors, and stability evaluation of creeping landslides in high mountain gorge environments. Full article
Show Figures

Graphical abstract

15 pages, 1900 KB  
Article
Exploratory Analysis of Coagulation and Fibrinolysis Trajectories After IL-6 Antagonist Therapy in COVID-19: A Case Series
by Emőke Henrietta Kovács, Máté Rottler, Zoltán Ruszkai, Csanád Geréd, Tamás Kiss, Margit Csata, Barbara Réger, Rita Jakabfi-Csepregi, István Papp, Caner Turan, Péter Hegyi, János Fazakas, Zsolt Molnár and Krisztián Tánczos
Biomedicines 2026, 14(1), 254; https://doi.org/10.3390/biomedicines14010254 - 22 Jan 2026
Viewed by 254
Abstract
Background/Objectives: Severe COVID-19 is marked by IL-6-driven inflammation, endothelial injury, and dysregulated coagulation. Although IL-6 antagonists improve clinical outcomes, their effects on the temporal evolution of coagulation and fibrinolysis remain insufficiently defined. This study characterizes inflammatory, endothelial, coagulation, and fibrinolytic trajectories following [...] Read more.
Background/Objectives: Severe COVID-19 is marked by IL-6-driven inflammation, endothelial injury, and dysregulated coagulation. Although IL-6 antagonists improve clinical outcomes, their effects on the temporal evolution of coagulation and fibrinolysis remain insufficiently defined. This study characterizes inflammatory, endothelial, coagulation, and fibrinolytic trajectories following IL-6 receptor blockade in critically ill COVID-19 patients. Methods: In this prospective, exploratory multicenter case series (ClinicalTrials.gov NCT05218369), 15 ICU patients with PCR- or antigen-confirmed COVID-19 received tocilizumab per protocol. Serial sampling at five timepoints (T0–T4) included routine laboratories, comprehensive viscoelastic hemostatic assays (ClotPro®), and ELISA-based endothelial and fibrinolytic biomarkers. Analyses were primarily descriptive, emphasizing temporal patterns through boxplots; paired Wilcoxon tests with FDR correction contextualized within-patient changes. Results: Patients exhibited marked inflammation, hyperfibrinogenemia, endothelial activation, and delayed fibrinolysis at baseline. IL-6 blockade induced rapid suppression of CRP and PCT, progressive declines in fibrinogen, and modest platelet increases. In contrast, vWF antigen and activity further increased, indicating persistent endothelial dysfunction. Viscoelastic testing showed preserved thrombin generation and sustained high clot firmness, while biochemical markers (rising PAI-1, modest PAP increase, and progressively increasing D-dimer) and VHA indices suggested ongoing antifibrinolytic activity despite resolution of systemic inflammation. Conclusions: IL-6 antagonism was associated with rapid attenuation of systemic inflammation but was not accompanied by normalization of endothelial activation or fibrinolytic resistance. The observed hemostatic profile was consistent with attenuation of inflammation-associated coagulation features, while endothelial and prothrombotic alterations appeared to persist during follow-up, warranting further investigation in larger controlled studies. Full article
Show Figures

Figure 1

24 pages, 3406 KB  
Article
Reliability Assessment of the Infrastructure Leakage Index for a Single DMA Using High-Resolution AMI Water Meter Data
by Ewelina Kilian-Błażejewska, Wojciech Koral and Bożena Gil
Water 2026, 18(2), 198; https://doi.org/10.3390/w18020198 - 12 Jan 2026
Viewed by 236
Abstract
This study presents an analysis of the Infrastructure Leakage Index (ILI) variability for two District Metered Areas (DMAs) in the Silesian Region (Poland), based on 2024 data. The objective of the study was to evaluate whether high-frequency AMI data can be used to [...] Read more.
This study presents an analysis of the Infrastructure Leakage Index (ILI) variability for two District Metered Areas (DMAs) in the Silesian Region (Poland), based on 2024 data. The objective of the study was to evaluate whether high-frequency AMI data can be used to reliably identify and remove distorted measurement periods, thereby improving the credibility of the annual ILI value for each individual DMA. ILIT values were calculated for daily, weekly, and monthly intervals using synchronized hourly data from an Advanced Metering Infrastructure (AMI) system and water network monitoring platforms. A key methodological advantage was the use of fully synchronous inflow–outflow–consumption data, enabling diagnostic reconstruction of hourly water balances and validation of the representativeness of data segments used for ILIT estimation. The study applied statistical measures of variability (standard deviation, variance, coefficient of variation) and graphical methods (histograms, boxplots) to evaluate ILIT behavior across time resolutions. Rather than comparing leakage performance between DMAs—which is performed exclusively using normalized indicators such as ILI—the analysis examined how hourly diagnostic information explains short-term distortions in the ILI and how filtering such periods affects the stability of the annual value for each DMAs. The results confirm that ILIT interpretation is highly dependent on temporal resolution. Daily data is more responsive to anomalies and operational events, while monthly data provides more stable values suitable for benchmarking. The findings demonstrate that daily and hourly data should be used diagnostically to detect non-representative periods, whereas monthly aggregation provides the most robust basis for reporting and inter-DMA comparison. Overall, the study proposes a practical procedure for ILI validation using AMI data and demonstrates its application on two real DMAs. Full article
(This article belongs to the Section Urban Water Management)
Show Figures

Figure 1

51 pages, 6351 KB  
Article
Benchmarking PHP–MySQL Communication: A Comparative Study of MySQLi and PDO Under Varying Query Complexity
by Nebojša Andrijević, Zoran Lovreković, Hadžib Salkić, Đorđe Šarčević and Jasmina Perišić
Electronics 2026, 15(1), 21; https://doi.org/10.3390/electronics15010021 - 20 Dec 2025
Cited by 1 | Viewed by 743
Abstract
Efficient interaction between PHP (Hypertext Preprocessor) applications and MySQL databases is essential for the performance of modern web systems. This study systematically compares the two most widely used PHP APIs for working with MySQL databases—MySQLi (MySQL Improved extension) and PDO (PHP Data Objects)—under [...] Read more.
Efficient interaction between PHP (Hypertext Preprocessor) applications and MySQL databases is essential for the performance of modern web systems. This study systematically compares the two most widely used PHP APIs for working with MySQL databases—MySQLi (MySQL Improved extension) and PDO (PHP Data Objects)—under identical experimental conditions. The analysis covers execution time, memory consumption, and the stability and variability of results across different types of SQL (Structured Query Language) queries (simple queries, complex JOIN, GROUP BY/HAVING). A specialized benchmarking tool was developed to collect detailed metrics over several hundred repetitions and to enable graphical and statistical evaluation. Across the full benchmark suite, MySQLi exhibits the lowest mean wall-clock execution time on average (≈15% overall). However, under higher query complexity and in certain connection-handling regimes, PDO prepared statement modes provide competitive latency with improved predictability. These results should be interpreted as context-aware rankings for the tested single-host environment and workload design, and as a reusable benchmarking framework intended for replication under alternative deployment models. Statistical analysis (Kruskal–Wallis and Mann–Whitney tests) confirms significant differences between the methods, while Box-plots and histograms visualize deviations and the presence of outliers. Unlike earlier studies, this work provides a controlled and replicable benchmarking environment that tests both MySQLi and PDO across multiple API modes and isolates the impact of native versus emulated prepared statements. It also evaluates performance under complex-query workloads that reflect typical reporting and analytics patterns on the ClassicModels schema. To our knowledge, no previous study has analyzed these factors jointly or provided a reusable tool enabling transparent comparison across PHP–MySQL access layers. The findings provide empirical evidence and practical guidelines for choosing the optimal API depending on the application scenario, as well as a tool that can be applied for further testing in various web environments. Full article
(This article belongs to the Section Computer Science & Engineering)
Show Figures

Figure 1

20 pages, 1470 KB  
Article
Osmolytes vs. Anabolic Reserves: Contrasting Gonadal Metabolomes in Two Sympatric Mediterranean Sea Urchins
by Estela Carbonell-Garzón, Ricardo Ibanco-Cañete, Pablo Sanchez-Jerez and Frutos C. Marhuenda Egea
Metabolites 2025, 15(12), 787; https://doi.org/10.3390/metabo15120787 - 10 Dec 2025
Viewed by 444
Abstract
Background an Objectives: The Mediterranean sea urchins Paracentrotus lividus and Arbacia lixula co-occur on shallow rocky reefs but display contrasting ecological and physiological traits. We compared their gonadal metabolomes to identify species-specific metabolic strategies. Methods: High-resolution magic angle spinning nuclear magnetic resonance (HR-MAS [...] Read more.
Background an Objectives: The Mediterranean sea urchins Paracentrotus lividus and Arbacia lixula co-occur on shallow rocky reefs but display contrasting ecological and physiological traits. We compared their gonadal metabolomes to identify species-specific metabolic strategies. Methods: High-resolution magic angle spinning nuclear magnetic resonance (HR-MAS NMR) spectroscopy to intact gonadal tissues, combining multivariate chemometric modelling with targeted integration, boxplot-based univariate analysis and pathway analysis. Results:A. lixula showed an osmolyte- and redox-oriented phenotype with elevated betaine, taurine, sarcosine, trimethylamine (TMA), trimethylamine N-oxide (TMAO), carnitine, creatine, malonate, methylmalonate, uridine and xanthine. In contrast, P. lividus exhibited an amino-acid-enriched anabolic profile dominated by lysine, glycine and glutamine, together with higher levels of formaldehyde, methanol and 3-carboxypropyl-trimethylammonium. Pathway analysis indicated that A. lixula metabolites mapped onto glycine/serine–threonine metabolism and the folate-linked one-carbon pool, whereas P. lividus metabolites were enriched in glyoxylate/dicarboxylate, nitrogen and amino-acid pathways. These contrasting osmolyte–C1 versus nitrogen–amino-acid strategies are compatible with species-specific host–microbiota metabolic interactions inferred from published microbiome data. Conclusions: Overall, our results support a framework in which A. lixula adopts a resilience-oriented osmolyte strategy and P. lividus an efficiency-oriented anabolic strategy, highlighting HR-MAS NMR metabolomics as a powerful approach to investigate adaptive biochemical diversity in marine invertebrates. Full article
(This article belongs to the Collection Advances in Metabolomics)
Show Figures

Figure 1

25 pages, 2296 KB  
Article
A Novel Softsign Fractional-Order Controller Optimized by an Intelligent Nature-Inspired Algorithm for Magnetic Levitation Control
by Davut Izci, Serdar Ekinci, Mohd Zaidi Mohd Tumari and Mohd Ashraf Ahmad
Fractal Fract. 2025, 9(12), 801; https://doi.org/10.3390/fractalfract9120801 - 7 Dec 2025
Viewed by 602
Abstract
This study presents a novel softsign-function-based fractional-order proportional–integral–derivative (softsign-FOPID) controller optimized using the fungal growth optimizer (FGO) for the stabilization and precise position control of an unstable magnetic ball suspension system. The proposed controller introduces a smooth nonlinear softsign function into the conventional [...] Read more.
This study presents a novel softsign-function-based fractional-order proportional–integral–derivative (softsign-FOPID) controller optimized using the fungal growth optimizer (FGO) for the stabilization and precise position control of an unstable magnetic ball suspension system. The proposed controller introduces a smooth nonlinear softsign function into the conventional FOPID structure to limit abrupt control actions and improve transient smoothness while preserving the flexibility of fractional dynamics. The FGO, a recently developed bio-inspired metaheuristic, is employed to tune the seven controller parameters by minimizing a composite objective function that simultaneously penalizes overshoot and tracking error. This optimization ensures balanced transient and steady-state performance with enhanced convergence reliability. The performance of the proposed approach was extensively benchmarked against four modern metaheuristic algorithms (greater cane rat algorithm, catch fish optimization algorithm, RIME algorithm and artificial hummingbird algorithm) under identical conditions. Statistical analyses, including boxplot comparisons and the nonparametric Wilcoxon rank-sum test, demonstrated that the FGO consistently achieved the lowest objective function value with superior convergence stability and significantly better (p < 0.05) performance across multiple independent runs. In time-domain evaluations, the FGO-tuned softsign-FOPID exhibited the fastest rise time (0.0089 s), shortest settling time (0.0163 s), lowest overshoot (4.13%), and negligible steady-state error (0.0015%), surpassing the best-reported controllers in the literature, including the sine cosine algorithm-tuned PID, logarithmic spiral opposition-based learning augmented hunger games search algorithm-tuned FOPID, and manta ray foraging optimization-tuned real PIDD2. Robustness assessments under fluctuating reference trajectories, actuator saturation, sensor noise, external disturbances, and parametric uncertainties (±10% variation in resistance and inductance) further confirmed the controller’s adaptability and stability under practical non-idealities. The smooth nonlinearity of the softsign function effectively prevented control signal saturation, while the fractional-order dynamics enhanced disturbance rejection and memory-based adaptability. Overall, the proposed FGO-optimized softsign-FOPID controller establishes a new benchmark in nonlinear magnetic levitation control by integrating smooth nonlinear mapping, fractional calculus, and adaptive metaheuristic optimization. Full article
(This article belongs to the Section Engineering)
Show Figures

Figure 1

18 pages, 3548 KB  
Article
Spatial and Environmental Drivers of Summer Growth Variability and Adaptive Mechanisms of Euphausia crystallorophias in the Amundsen Sea and Its Adjacent Regions
by Jialiang Yang, Lingzhi Li, Shuai Li, Guoqing Zhao, Xin Rao, Shuai Chen, Hewei Liu, Fengyuan Shen, Hongliang Huang and Ziyi Wang
Animals 2025, 15(22), 3345; https://doi.org/10.3390/ani15223345 - 20 Nov 2025
Viewed by 384
Abstract
Ice krill (Euphausia crystallorophias) play a key role in the Antarctic coastal ecosystem, yet its spatial growth variability remains poorly understood. This study examined 5298 krill individuals from 52 stations across the Amundsen Sea, transitional waters, and the Ross Sea, collected [...] Read more.
Ice krill (Euphausia crystallorophias) play a key role in the Antarctic coastal ecosystem, yet its spatial growth variability remains poorly understood. This study examined 5298 krill individuals from 52 stations across the Amundsen Sea, transitional waters, and the Ross Sea, collected between 2020 and 2024. Length–weight relationships (LWR) were constructed to derive the condition factor a and the allometric growth exponent b, followed by regional comparisons and environmental response analyses using boxplots, redundancy analysis (RDA), and generalized additive models (GAM). Boxplots revealed that a was significantly higher in the Amundsen Sea and transitional zone than in the Ross Sea, while b was highest and most variable in the Amundsen Sea. RDA indicated that a was primarily associated with depth, latitude, mean temperature, and mean salinity, whereas b was influenced by sea surface temperature, chlorophyll-a, sea ice concentration, and longitude. GAM further showed nonlinear responses of a to mean temperature, mean salinity, and depth, with peaks near −0.5 °C, 34.2 PSU, and 3500 m, respectively. These results suggest that krill in deep, cold, and less-productive transitional zone allocate more energy to body condition (high value a), while those in warmer, moderately productive regions like the Amundsen Sea invest more in structural growth (high value b). This study provides new insights into the environmentally driven growth strategies of ice krill and contributes to understanding its ecological adaptability under changing climatic and oceanographic conditions. Full article
Show Figures

Figure 1

29 pages, 6004 KB  
Article
A Short-Term Wind Power Forecasting Approach Based on Model Configuration Optimization via Prequential-Cross Cooperative Validation Estimation
by Liang Jia, Gang Wang and Xinyu Pang
Sustainability 2025, 17(22), 9929; https://doi.org/10.3390/su17229929 - 7 Nov 2025
Viewed by 476
Abstract
Efficient utilization of sustainable energy is imperative for supporting the globally escalating electricity demand. Because the unstable wind energy makes the wind power access challenging for power systems, the wind power forecasting becomes the critical part of the power dispatch. In this paper, [...] Read more.
Efficient utilization of sustainable energy is imperative for supporting the globally escalating electricity demand. Because the unstable wind energy makes the wind power access challenging for power systems, the wind power forecasting becomes the critical part of the power dispatch. In this paper, a short-term wind power forecasting approach based on model configuration optimization via prequential-cross cooperative validation estimation (PCCVE) is proposed. It enables the hybrid ANN including the convolutional neural network, bidirectional long short-term memory network, and multi-head attention mechanism (CNN-BiLSTM-MHA) to better construct the wind speed–power mapping relationship for improving forecasting performance. Firstly, the box-plot local detection–correction combining the spatial–temporal optimal-weighted fuzzy clustering and the sliding window connected box-plot is proposed to reasonably detect and correct local outlier wind speed points. It prevents CNN-BiLSTM-MHA from being interfered with local outlier wind speed points. Secondly, PCCVE based on the prequential-validation estimation and cross-validation estimation is proposed to more accurately give the estimated error of CNN-BiLSTM-MHA, thus better assisting the optimization of the values of CNN-BiLSTM-MHA’s hyperparameters. It enables CNN-BiLSTM-MHA to efficiently construct the wind speed–power mapping relationship. By comparing different approaches on the actual wind farm dataset, the effectiveness and advantages of the proposed approach are demonstrated. Full article
Show Figures

Figure 1

29 pages, 4176 KB  
Article
Distinct Pollution Profiles and Spatio-Temporal Dynamics in Adjacent Ramsar Lakes (Algeria): An Integrated Assessment and High-Resolution Mapping for Targeted Conservation
by Ines Houhamdi, Leila Bouaguel, Laid Bouchaala, Nedjoud Grara, Mouslim Bara, Agnieszka Szparaga and Moussa Houhamdi
Processes 2025, 13(11), 3466; https://doi.org/10.3390/pr13113466 - 28 Oct 2025
Viewed by 1025
Abstract
This study provides the first integrated spatio-temporal assessment of water quality in Lakes Tonga and Oubeira, two adjacent Ramsar-designated wetlands within El Kala National Park (Algeria). The objective was to identify major pollution sources and inform targeted conservation strategies. Physico-chemical, microbiological, and heavy [...] Read more.
This study provides the first integrated spatio-temporal assessment of water quality in Lakes Tonga and Oubeira, two adjacent Ramsar-designated wetlands within El Kala National Park (Algeria). The objective was to identify major pollution sources and inform targeted conservation strategies. Physico-chemical, microbiological, and heavy metal analyses were performed on water samples collected monthly over one year (September 2022–August 2023) from two sites per lake. Applying robust statistical analyses (ANOVA, Kruskal–Wallis, PCA, boxplots) and high-resolution spatial mapping, we revealed significant spatio-temporal heterogeneity and distinct pollution profiles between the two lakes. Specifically, Lake Tonga exhibited higher concentrations of organic and bacterial pollutants, likely linked to agricultural runoff and domestic discharge, while Lake Oubeira was characterized by elevated heavy metal concentrations and higher mineralization. The calculated Water Quality Index (WQI) classified the water quality of both lakes predominantly as “Moderate”, with punctual “Poor” quality episodes. Numerous parameters consistently exceeded water quality standards, indicating substantial ecological and health risks. Spatial distribution maps clearly pinpointed pollution hotspots, guiding lake-specific management measures. These findings underscore the urgent need for differentiated, targeted management interventions and an integrated, multidisciplinary approach for the effective conservation of these valuable wetland ecosystems. Full article
Show Figures

Figure 1

24 pages, 16892 KB  
Article
Assessing Impacts of Anthropogenic Modification on Surface Soil Moisture Dynamics: A Case Study over Southwest China
by Chunying Shen, Changrui Qin, Zheng Lu, Dehui Ning, Zhenxiang Zang, Honglei Tang, Feng Pan, Guaimei Cheng, Jimin Hu and Shasha Meng
Hydrology 2025, 12(11), 275; https://doi.org/10.3390/hydrology12110275 - 22 Oct 2025
Viewed by 784
Abstract
Anthropogenic activities are profoundly altering the terrestrial water cycle, yet a comprehensive understanding of their impact on surface soil moisture (SSM) at regional scales remains limited. This study investigates the spatiotemporal dynamics of SSM and its relationship with anthropogenic modification (OAM) across Southwest [...] Read more.
Anthropogenic activities are profoundly altering the terrestrial water cycle, yet a comprehensive understanding of their impact on surface soil moisture (SSM) at regional scales remains limited. This study investigates the spatiotemporal dynamics of SSM and its relationship with anthropogenic modification (OAM) across Southwest China from 2000 to 2017. We employed multi-year geospatial and statistical analyses, including kernel density estimation and boxplots, to examine the impacts of human activities on regional soil moisture patterns. The results revealed that SSM exhibited a slight long-term declining trend (Sen’s slope = −0.0009 m3/m3/year) but showed a notable recovery after 2011, while overall anthropogenic modification (OAM) intensified until 2010 before declining sharply by 2015. A statistically significant and systematic relationship was observed, with increasing OAM intensity corresponding to higher median SSM and reduced spatial variability, indicating a homogenizing effect of human activities. Critically, the impacts of detailed anthropogenic stressors were highly divergent: agricultural modification correlated with elevated SSM, whereas transportation infrastructure and energy-related activities exhibited a suppressive effect. These findings highlight the necessity of integrating high-resolution SSM and anthropogenic data into land-use planning and implementing stressor-specific management strategies, such as improving irrigation efficiency and developing infrastructure designs that minimize SSM suppression, to achieve sustainable water resource management in rapidly developing regions. Full article
(This article belongs to the Section Soil and Hydrology)
Show Figures

Figure 1

15 pages, 4896 KB  
Article
Typhoon-Driven Shifts in Dissolved Organic Carbon Across Mangrove Ecosystems of Varying Restoration Age
by Youwei Lin, Shengjie Han, Ruina Liu, Yunfeng Shi, Xiaoya Zhang, Zongbo Peng, Zhen Ni and Mingzhong Liu
Forests 2025, 16(10), 1599; https://doi.org/10.3390/f16101599 - 17 Oct 2025
Viewed by 460
Abstract
Mangrove ecosystems are vital to coastal carbon cycling, yet their response to extreme climatic events remains underexplored. This study assesses dissolved organic carbon (DOC) dynamics across four ecosystem types—primary mangrove, restored (5-year and 8-year), and bare land—during three typhoons (Maliksi, Yagi, and Trami) [...] Read more.
Mangrove ecosystems are vital to coastal carbon cycling, yet their response to extreme climatic events remains underexplored. This study assesses dissolved organic carbon (DOC) dynamics across four ecosystem types—primary mangrove, restored (5-year and 8-year), and bare land—during three typhoons (Maliksi, Yagi, and Trami) that occurred in 2024. DOC concentrations (mol m−2 s−1) were measured across pre-, during-, and post-event phases and analyzed using boxplots, heatmaps, and ANOVA. Results show that primary mangroves maintained stable DOC levels, indicating strong biogeochemical resilience. Restored plots exhibited phase-dependent DOC variability, with older restoration age linked to improved carbon retention. Bare land showed consistently high DOC release, especially post-event, reflecting vulnerability to hydrological stress. DOC peaks occurred after typhoons, suggesting delayed carbon mobilization via microbial turnover and detrital input. These findings highlight the role of restoration age and vegetation cover in stabilizing coastal carbon under intensifying climatic extremes. Full article
(This article belongs to the Section Forest Ecology and Management)
Show Figures

Figure 1

47 pages, 24562 KB  
Article
An Improved Whale Migration Optimization Algorithm for Cooperative UAV 3D Path Planning
by Zhanwei Liu, Shichao Li and Hong Xu
Biomimetics 2025, 10(10), 655; https://doi.org/10.3390/biomimetics10100655 - 1 Oct 2025
Cited by 1 | Viewed by 758
Abstract
This study proposes an Improved Whale Migration Algorithm (IWMA) to overcome the shortcomings of the original Whale Migration Algorithm, which suffers from premature convergence and insufficient local exploitation in high-dimensional multimodal optimization. IWMA introduces three enhancements: circle chaotic initialization to improve population diversity, [...] Read more.
This study proposes an Improved Whale Migration Algorithm (IWMA) to overcome the shortcomings of the original Whale Migration Algorithm, which suffers from premature convergence and insufficient local exploitation in high-dimensional multimodal optimization. IWMA introduces three enhancements: circle chaotic initialization to improve population diversity, a three-layer cooperative search framework to achieve a stronger balance between exploration and exploitation, and a dynamic adaptive mechanism with t-distribution re-exploration to reinforce both global escaping and local refinement. On the CEC2017 benchmark suite, IWMA demonstrates clear superiority over seven representative algorithms, delivering the best results on 27 out of 29 functions by best, 25 by mean, and 23 by standard deviation in 30 dimensions, and on 25, 18, and 18 functions, respectively, in 50 dimensions. Compared with other migration-based optimizers, its average rank improves by more than 30 percent, while runtime analysis shows only a small additional overhead of 7 to 12 percent. These outcomes, supported by convergence curves, boxplots, radar charts, and Wilcoxon tests, confirm the effectiveness of the proposed improvements. In six multi-UAV path planning scenarios, IWMA reduces the average cost by 14.5 percent compared with WMA and achieves up to 32.1 percent reduction in the most complex case. Overall, its average cost decreases by 27.4 percent across seven competitors, with a 23.6 percent improvement in the best solutions. These results demonstrate that the proposed modifications are effective, enabling IWMA to transfer its performance gains from benchmark tests to practical multi-UAV cooperative mission planning, where it consistently produces safer and smoother trajectories under complex constraints. Full article
(This article belongs to the Section Biological Optimisation and Management)
Show Figures

Figure 1

18 pages, 7428 KB  
Article
The Impact of the Cooling System on the Thermal Management of an Electric Bus Battery
by Piotr Miś, Katarzyna Miś and Aleksandra Waszczuk-Młyńska
Appl. Sci. 2025, 15(17), 9776; https://doi.org/10.3390/app15179776 - 5 Sep 2025
Viewed by 1053
Abstract
This paper presents a thermal study of a lithium-ion traction battery with different cooling configurations during simulated city driving and high-power charging. Four liquid cooling configurations—single or triple plates with straight or U-shaped tubes—were evaluated using finite element models in the Q-Bat Toolbox [...] Read more.
This paper presents a thermal study of a lithium-ion traction battery with different cooling configurations during simulated city driving and high-power charging. Four liquid cooling configurations—single or triple plates with straight or U-shaped tubes—were evaluated using finite element models in the Q-Bat Toolbox for MATLAB. Simulations were conducted using the Worldwide Harmonized Light Vehicles Test Cycle (WLTC) and a high-current charging profile based on the CHAdeMO standard (up to 400 A). The results indicate that while cooling is not strictly necessary under typical driving conditions, it significantly improves thermal stability and reduces peak temperatures. The best configuration reduced peak cell temperatures by 1.96% during driving and by 16% during fast charging. The cooling system also minimized temperature gradients within the battery, reducing the risk of degradation. Box-plot analysis confirmed that an efficient cooling system stabilizes the temperature distribution and smooths out extreme values. The results highlight the importance of thermal management for extending battery life and ensuring safe operation, particularly during fast charging conditions. Full article
(This article belongs to the Section Transportation and Future Mobility)
Show Figures

Figure 1

Back to TopTop