Sign in to use this feature.

Years

Between: -

Subjects

remove_circle_outline
remove_circle_outline
remove_circle_outline
remove_circle_outline
remove_circle_outline
remove_circle_outline
remove_circle_outline
remove_circle_outline
remove_circle_outline

Journals

remove_circle_outline
remove_circle_outline
remove_circle_outline
remove_circle_outline

Article Types

Countries / Regions

remove_circle_outline
remove_circle_outline
remove_circle_outline
remove_circle_outline

Search Results (283)

Search Parameters:
Keywords = boundary key points

Order results
Result details
Results per page
Select all
Export citation of selected articles as:
18 pages, 3434 KB  
Article
LSSCC-Net: Integrating Spatial-Feature Aggregation and Adaptive Attention for Large-Scale Point Cloud Semantic Segmentation
by Wenbo Wang, Xianghong Hua, Cheng Li, Pengju Tian, Yapeng Wang and Lechao Liu
Symmetry 2026, 18(1), 124; https://doi.org/10.3390/sym18010124 - 8 Jan 2026
Viewed by 82
Abstract
Point cloud semantic segmentation is a key technology for applications such as autonomous driving, robotics, and virtual reality. Current approaches are heavily reliant on local relative coordinates and simplistic attention mechanisms to aggregate neighborhood information. This often leads to an ineffective joint representation [...] Read more.
Point cloud semantic segmentation is a key technology for applications such as autonomous driving, robotics, and virtual reality. Current approaches are heavily reliant on local relative coordinates and simplistic attention mechanisms to aggregate neighborhood information. This often leads to an ineffective joint representation of geometric perturbations and feature variations, coupled with a lack of adaptive selection for salient features during context fusion. On this basis, we propose LSSCC-Net, a novel segmentation framework based on LACV-Net. First, the spatial-feature dynamic aggregation module is designed to fuse offset information by symmetric interaction between spatial positions and feature channels, thus supplementing local structural information. Second, a dual-dimensional attention mechanism (spatial and channel) is introduced to symmetrically deploy attention modules in both the encoder and decoder, prioritizing salient information extraction. Finally, Lovász-Softmax Loss is used as an auxiliary loss to optimize the training objective. The proposed method is evaluated on two public benchmark datasets. The mIoU on the Toronto3D and S3DIS datasets is 83.6% and 65.2%, respectively. Compared with the baseline LACV-Net, LSSCC-Net showed notable improvements in challenging categories: the IoU for “road mark” and “fence” on Toronto3D increased by 3.6% and 8.1%, respectively. These results indicate that LSSCC-Net more accurately characterizes complex boundaries and fine-grained structures, enhancing segmentation capabilities for small-scale targets and category boundaries. Full article
24 pages, 5669 KB  
Article
The Characterization of Curved Grain Boundary in Nickel-Based Superalloy Formed During Heat Treatment
by Yu Zhang, Jianguo Wang, Dong Liu, Junwei Huang, Minqing Wang, Haodong Rao, Jungang Nan and Yaqi Lai
Metals 2026, 16(1), 68; https://doi.org/10.3390/met16010068 - 7 Jan 2026
Viewed by 77
Abstract
This study proposes a novel framework for quantifying curved grain boundaries that overcomes key limitations of existing methods. Unlike Fourier-based approaches that require labor-intensive sequential analysis of individual boundaries and selectively represent only high-amplitude regions, or spline-based methods that demand complex parameter selection [...] Read more.
This study proposes a novel framework for quantifying curved grain boundaries that overcomes key limitations of existing methods. Unlike Fourier-based approaches that require labor-intensive sequential analysis of individual boundaries and selectively represent only high-amplitude regions, or spline-based methods that demand complex parameter selection for interpolation points, the proposed framework integrates curvature variance filtering with U-chord curvature calculation to enable automated, comprehensive, and noise-resistant characterization of grain boundary morphology. The curvature variance filtering adaptively determines smoothing parameters based on local curve properties, while the U-chord curvature method ensures rotational invariance and robustness against digitization errors. Four heat treatment processes were applied to GH4169 alloy, producing distinct grain boundary morphologies with mean curvature (MC) values ranging from 0.0625 to 0.1252. Controlled cooling alone (Process A) yielded predominantly straight boundaries (91.06% straight, 0.12% serrated), while re-dissolution treatment (Process D) produced the highest serration degree (58.81% straight, 3.53% serrated). The quantitative analysis reveals that dispersed δ-phase precipitation creates discrete pinning points, forming serrated boundaries with sharp curvature peaks, whereas dense, parallel δ-phase arrays at specific angles produce coordinated wavy undulations. This framework provides a reliable quantitative tool for optimizing heat treatment protocols to achieve target grain boundary configurations in nickel-based superalloys. Full article
Show Figures

Figure 1

33 pages, 2271 KB  
Review
Cross-Ecosystem Transmission of Pathogens from Crops to Natural Vegetation
by Marina Khusnitdinova, Valeriya Kostyukova, Gulnaz Nizamdinova, Alexandr Pozharskiy, Yerlan Kydyrbayev and Dilyara Gritsenko
Forests 2026, 17(1), 76; https://doi.org/10.3390/f17010076 - 7 Jan 2026
Viewed by 85
Abstract
Cross-ecosystem transmission of plant pathogens from crops to natural forests is increasingly recognized as a key factor in disease emergence and biodiversity loss. Agricultural systems serve as major sources of inoculum, with landscape interfaces—such as crop–forest edges, riparian zones, abandoned orchards, and nursery–wildland [...] Read more.
Cross-ecosystem transmission of plant pathogens from crops to natural forests is increasingly recognized as a key factor in disease emergence and biodiversity loss. Agricultural systems serve as major sources of inoculum, with landscape interfaces—such as crop–forest edges, riparian zones, abandoned orchards, and nursery–wildland transitions—acting as active epidemiological gateways. Biological vectors, abiotic dispersal, and human activities collectively enable pathogen movement across these boundaries. Host-range expansion, recombination, and hybridization allow pathogens to infect both cultivated and wild hosts, leading to generalist and recombinant lineages that survive across diverse habitats. In natural ecosystems, such introductions can alter community composition, decrease resilience, and intensify the impacts of climate-driven stress. Advances in molecular diagnostics, genomic surveillance, environmental DNA, and remote sensing–GIS (Geographic Information System) approaches now enable high-resolution detection of pathogen flow across landscapes. Incorporating these tools into interface-focused monitoring frameworks offers a pathway to earlier detection, better risk assessment, and more effective mitigation. A One Health, landscape-based approach that treats agro–wild interfaces as key control points is essential for reducing spillover risk and safeguarding both agricultural productivity and the health of natural forest ecosystems. Full article
(This article belongs to the Special Issue Reviews on Innovative Monitoring and Diagnostics for Forest Health)
Show Figures

Figure 1

27 pages, 11379 KB  
Article
Performance Analysis and Comparison of Two Deep Learning Methods for Direction-of-Arrival Estimation with Observed Data
by Shuo Liu, Wen Zhang, Junqiang Song, Jian Shi, Hongze Leng and Qiankun Yu
Electronics 2026, 15(2), 261; https://doi.org/10.3390/electronics15020261 - 7 Jan 2026
Viewed by 83
Abstract
Direction-of-arrival (DOA) estimation is fundamental in array signal processing, yet classical algorithms suffer from significant performance degradation under low signal-to-noise ratio (SNR) conditions and require computationally intensive eigenvalue decomposition. This study presents a systematic comparative analysis of two backbone networks, a convolutional neural [...] Read more.
Direction-of-arrival (DOA) estimation is fundamental in array signal processing, yet classical algorithms suffer from significant performance degradation under low signal-to-noise ratio (SNR) conditions and require computationally intensive eigenvalue decomposition. This study presents a systematic comparative analysis of two backbone networks, a convolutional neural network (CNN) and long short-term memory (LSTM) for DOA estimation, addressing two critical research gaps: the lack of a mechanistic understanding of architecture-dependent performance under varying conditions and insufficient validation using real measured data. Both networks are trained using cross-spectral density matrices (CSDMs) from simulated uniform linear array (ULA) signals. Under baseline conditions (1° classification interval), both CNN and LSTM methods reach an accuracy (ACC) above 98%, in which the error is ±1° for CNN and ±2° for LSTM, only existing in the end-fire direction. Key findings reveal that LSTM maintains above 90% accuracy down to −20 dB SNR, demonstrating superior noise robustness, whereas CNN exhibits better angular resolution. Four performance boundaries are identified: optimal performance is achieved at half-wavelength element spacing; SNR crossover occurs at −20 dB below which accuracy drops sharply; the snapshot threshold of 32 marks the transition from snapshot-deficient to snapshot-sufficient conditions; the array size of 8 is the turning point for the performance variation rate. Comparative analysis against traditional methods demonstrates that deep learning approaches achieve superior resolution ability, batch processing efficiency, and noise robustness. Critically, models trained exclusively on single-target simulated data successfully generalize to multi-target experimental data from the Shallow Water Array Performance (SWAP) program, recovering primary target trajectories without domain adaptation. These results provide concrete engineering guidelines for architecture selection and validate the sim-to-real generalization capability of CSDM-based deep learning approaches in underwater acoustic environments. Full article
Show Figures

Figure 1

24 pages, 3232 KB  
Article
YOLOv11n-DSU: A Study on Grading and Detection of Multiple Cucumber Diseases in Complex Field Backgrounds
by Xiuying Tang, Pei Wang, Zhongqing Sun, Zhenglin Liu, Yumei Tang, Jie Shi, Liying Ma and Yonghua Zhang
Agriculture 2026, 16(2), 140; https://doi.org/10.3390/agriculture16020140 - 6 Jan 2026
Viewed by 127
Abstract
Cucumber downy mildew, angular leaf spot, and powdery mildew represent three predominant fungal diseases that substantially compromise cucumber yield and quality. To address the challenges posed by the irregular morphology, prominent multi-scale characteristics, and ambiguous lesion boundaries of cucumber foliar diseases in complex [...] Read more.
Cucumber downy mildew, angular leaf spot, and powdery mildew represent three predominant fungal diseases that substantially compromise cucumber yield and quality. To address the challenges posed by the irregular morphology, prominent multi-scale characteristics, and ambiguous lesion boundaries of cucumber foliar diseases in complex field environments—which often lead to insufficient detection accuracy—along with the existing models’ difficulty in balancing high precision with lightweight deployment, this study presents YOLOv11n-DSU (a lightweight hierarchical detection model engineered using the YOLOv11n architecture). The proposed model integrates three key enhancements: deformable convolution (DEConv) for optimized feature extraction from irregular lesions, a spatial and channel-wise attention (SCSA) mechanism for adaptive feature refinement, and a Unified Intersection over Union (Unified-IoU) loss function to improve localization accuracy. Experimental evaluations demonstrate substantial performance gains, with mean Average Precision at 50% IoU threshold (mAP50) and mAP50–95 increasing by 7.9 and 10.9 percentage points, respectively, and precision and recall improving by 6.1 and 10.0 percentage points. Moreover, the computational complexity is markedly reduced to 5.8 Giga Floating Point Operations (GFLOPs). Successful deployment on an embedded platform confirms the model’s practical viability, exhibiting robust real-time inference capabilities and portability. This work provides an accurate and efficient solution for automated disease grading in field conditions, enabling real-time and precise severity classification, and offers significant potential for advancing precision plant protection and smart agricultural systems. Full article
(This article belongs to the Section Artificial Intelligence and Digital Agriculture)
Show Figures

Figure 1

28 pages, 5948 KB  
Article
Probability-Based Forwarding Scheme with Boundary Optimization for C-V2X Multi-Hop Communication
by Zhonghui Pei, Long Xie, Jingbin Lu, Liyuan Zheng and Huiheng Liu
Sensors 2026, 26(1), 350; https://doi.org/10.3390/s26010350 - 5 Jan 2026
Viewed by 189
Abstract
The Internet of Vehicles (IoV) can transmit the status information of vehicles and roads through single-hop or multi-hop broadcast communication, which is a key technology for building intelligent transportation systems and enhancing road safety. However, in dense traffic environments, broadcasting Emergency messages via [...] Read more.
The Internet of Vehicles (IoV) can transmit the status information of vehicles and roads through single-hop or multi-hop broadcast communication, which is a key technology for building intelligent transportation systems and enhancing road safety. However, in dense traffic environments, broadcasting Emergency messages via vehicles can easily trigger massive forwarding redundancy, leading to channel resource selection conflicts between vehicles and affecting the reliability of inter-vehicle communication. This paper analyzes the forwarding near the single-hop transmission radius boundary of the sending node in a probability-based inter-vehicle multi-hop forwarding scheme, pointing out the existence of the boundary forwarding redundancy problem. To address this problem, this paper proposes two probability-based schemes with boundary optimization: (1) By optimizing the forwarding probability distribution outside the transmission radius boundary of the sending node, the forwarding nodes outside the boundary can be effectively utilized while effectively reducing the forwarding redundancy they bring. (2) Additional forwarding backoff timers are allocated to nodes outside the transmission radius boundary of the sending node based on the distance to further reduce the forwarding redundancy outside the boundary. Experimental results show that, compared with the reference schemes without boundary forwarding probability optimization, the proposed schemes significantly reduce forwarding redundancy of Emergency messages while maintaining good single-hop and multi-hop transmission performance. When the reference transmission radius is 300 m and the vehicle density is 0.18 veh/m, compared with the probability-based forwarding scheme without boundary optimization, the proposed schemes (1) and (2) improve the single-hop packet delivery ratio by an average of about 5.41% and 11.83% and reduce the multi-hop forwarding ratio by about 18.07% and 36.07%, respectively. Full article
(This article belongs to the Special Issue Vehicle-to-Everything (V2X) Communication Networks 2024–2025)
Show Figures

Graphical abstract

23 pages, 41532 KB  
Article
CW-DETR: An Efficient Detection Transformer for Traffic Signs in Complex Weather
by Tianpeng Wang, Qiaoshuang Teng, Shangyu Sun, Weidong Song, Jinhe Zhang and Yuxuan Li
Sensors 2026, 26(1), 325; https://doi.org/10.3390/s26010325 - 4 Jan 2026
Viewed by 198
Abstract
Traffic sign detection under adverse weather conditions remains challenging due to severe feature degradation caused by rain, fog, and snow, which significantly impairs the performance of existing detection systems. This study presents the CW-DETR (Complex Weather Detection Transformer), an end-to-end detection framework designed [...] Read more.
Traffic sign detection under adverse weather conditions remains challenging due to severe feature degradation caused by rain, fog, and snow, which significantly impairs the performance of existing detection systems. This study presents the CW-DETR (Complex Weather Detection Transformer), an end-to-end detection framework designed to address weather-induced feature deterioration in real-time applications. Building upon the RT-DETR, our approach integrates four key innovations: a multipath feature enhancement network (FPFENet) for preserving fine-grained textures, a Multiscale Edge Enhancement Module (MEEM) for combating boundary degradation, an adaptive dual-stream bidirectional feature pyramid network (ADBF-FPN) for cross-scale feature compensation, and a multiscale convolutional gating module (MCGM) for suppressing semantic–spatial confusion. Extensive experiments on the CCTSDB2021 dataset demonstrate that the CW-DETR achieves 69.0% AP and 94.4% AP50, outperforming state-of-the-art real-time detectors by 2.3–5.7 percentage points while maintaining computational efficiency (56.8 GFLOPs). A cross-dataset evaluation on TT100K, the TSRD, CNTSSS, and real-world snow conditions (LNTU-TSD) confirms the robust generalization capabilities of the proposed model. These results establish CW-DETR as an effective solution for all-weather traffic sign detection in intelligent transportation systems. Full article
(This article belongs to the Section Remote Sensors)
Show Figures

Figure 1

22 pages, 46825 KB  
Article
Delineating the Distribution Outline of Populus euphratica in the Mainstream Area of the Tarim River Using Multi-Source Thematic Classification Data
by Hao Li, Jiawei Zou, Qinyu Zhao, Jiacong Hu, Suhong Liu, Qingdong Shi and Weiming Cheng
Remote Sens. 2026, 18(1), 157; https://doi.org/10.3390/rs18010157 - 3 Jan 2026
Viewed by 183
Abstract
Populus euphratica is a key constructive species in desert ecosystems and plays a vital role in maintaining their stability. However, effective automated methods for accurately delineating its distribution outlines are currently lacking. This study used the mainstream area of the Tarim River as [...] Read more.
Populus euphratica is a key constructive species in desert ecosystems and plays a vital role in maintaining their stability. However, effective automated methods for accurately delineating its distribution outlines are currently lacking. This study used the mainstream area of the Tarim River as a case study and proposed a technical solution for identifying the distribution outline of Populus euphratica using multi-source thematic classification data. First, cropland thematic data were used to optimize the accuracy of the Populus euphratica classification raster data. Discrete points were removed based on density to reduce their impact on boundary identification. Then, a hierarchical identification scheme was constructed using the alpha-shape algorithm to identify the boundaries of high- and low-density Populus euphratica distribution areas separately. Finally, the outlines of the Populus euphratica distribution polygons were smoothed, and the final distribution outline data were obtained after spatial merging. The results showed the following: (1) Applying a closing operation to the cropland thematic classification data to obtain the distribution range of shelterbelts effectively eliminated misclassified pixels. Using the kd-tree algorithm to remove sparse discrete points based on density, with a removal ratio of 5%, helped suppress the interference of outlier point sets on the Populus euphratica outline identification. (2) Constructing a hierarchical identification scheme based on differences in Populus euphratica density is critical for accurately delineating its distribution contours. Using the alpha-shape algorithm with parameters set to α = 0.02 and α = 0.006, the reconstructed geometries effectively covered both densely and sparsely distributed Populus euphratica areas. (3) In the morphological processing stage, a combination of three methods—Gaussian filtering, equidistant expansion, and gap filling—effectively ensured the accuracy of the Populus euphratica outline. Among the various smoothing algorithms, Gaussian filtering yielded the best results. The equidistant expansion method reduced the impact of elongated cavities, thereby contributing to boundary accuracy. This study enhances the automation of Populus euphratica vector data mapping and holds significant value for the scientific management and research of desert vegetation. Full article
(This article belongs to the Special Issue Vegetation Mapping through Multiscale Remote Sensing)
Show Figures

Figure 1

51 pages, 5351 KB  
Article
Isogeometric Transfinite Elements: A Unified B-Spline Framework for Arbitrary Node Layouts
by Christopher G. Provatidis
Axioms 2026, 15(1), 28; https://doi.org/10.3390/axioms15010028 - 29 Dec 2025
Viewed by 159
Abstract
This paper presents a unified framework for constructing partially unstructured B-spline transfinite finite elements with arbitrary nodal distributions. Three novel, distinct classes of elements are investigated and compared with older single Coons-patch elements. The first consists of classical transfinite elements reformulated using B-spline [...] Read more.
This paper presents a unified framework for constructing partially unstructured B-spline transfinite finite elements with arbitrary nodal distributions. Three novel, distinct classes of elements are investigated and compared with older single Coons-patch elements. The first consists of classical transfinite elements reformulated using B-spline basis functions. The second includes elements defined by arbitrary control point networks arranged in parallel layers along one direction. The third features arbitrarily placed boundary nodes combined with a tensor-product structure in the interior. For all three classes, novel macro-element formulations are introduced, enabling flexible and customizable nodal configurations while preserving the partition of unity property. The key innovation lies in reinterpreting the generalized coefficients as discrete samples of an underlying continuous univariate function, which is independently approximated at each station in the transfinite element. This perspective generalizes the classical transfinite interpolation by allowing both the blending functions and the univariate trial functions to be defined using non-cardinal bases such as Bernstein polynomials or B-splines, offering enhanced adaptability for complex geometries and nonuniform node layouts. Full article
Show Figures

Figure 1

12 pages, 7467 KB  
Article
Objective Liutex from Flow Data Measured in a Non-Inertial Frame
by Yifei Yu, Oscar Alvarez and Chaoqun Liu
Fluids 2026, 11(1), 4; https://doi.org/10.3390/fluids11010004 - 26 Dec 2025
Viewed by 148
Abstract
Objectivity is a fundamental requirement for vortex identification, ensuring that vortex structures observed remain invariant under changes in the reference frame. However, although most conventional vortex identification methods, including Liutex, are Galilean invariant, they are not objective. Since the accelerated motion of the [...] Read more.
Objectivity is a fundamental requirement for vortex identification, ensuring that vortex structures observed remain invariant under changes in the reference frame. However, although most conventional vortex identification methods, including Liutex, are Galilean invariant, they are not objective. Since the accelerated motion of the observer does not affect the velocity gradient tensor at an instant of time, the rotational motion is only considered for the non-inertial frame. This paper proposes a method to recover the angular velocity of a rotating observer directly from flow field data measured in the rotating frame. The approach exploits the observation that, in an inertial frame, zero-vorticity points tend to dominate the region with an almost identical nonzero vorticity in the observer’s non-inertial coordinate system. By identifying the most frequently occurring vorticity within the domain, the observer’s angular velocity can be uniquely determined, enabling reconstruction of the objective velocity gradient tensor and, consequently, the objective Liutex. The key issue is to find a reference point (RP). The RP should have zero vorticity in the inertial coordinate system, and then the RP has the same angular speed as the observer. The RP can be found by comparing the vorticity of all points in the computational domain and the RP will correspond to the vorticity vector with the highest percentage in the non-inertial coordinate system. The proposed method is validated using DNS data of the boundary layer transition over a flat plate with an artificially imposed angular velocity. The recovered angular velocity agrees closely with the true value within an acceptable margin of error. Furthermore, the objective Liutex reconstructed from the rotating frame data is visually indistinguishable from the original inertial frame Liutex. These results demonstrate that the method provides a simple and accurate way to restore objectivity for Liutex and other vortex identification techniques. The objective Liutex will be equal to the original Liutex in an inertial coordinate system when the observer does not have rotational motion. Full article
(This article belongs to the Section Turbulence)
Show Figures

Figure 1

31 pages, 10819 KB  
Article
Research on High-Precision Localization Method of Curved Surface Feature Points Based on RGB-D Data Fusion
by Enguo Wang, Rui Zou and Chengzhi Su
Sensors 2026, 26(1), 137; https://doi.org/10.3390/s26010137 - 25 Dec 2025
Viewed by 251
Abstract
Although RGB images contain rich details, they lack 3D depth information. Depth data, while providing spatial positioning, is often affected by noise and suffers from sparsity or missing data at key feature points, leading to low accuracy and high computational complexity in traditional [...] Read more.
Although RGB images contain rich details, they lack 3D depth information. Depth data, while providing spatial positioning, is often affected by noise and suffers from sparsity or missing data at key feature points, leading to low accuracy and high computational complexity in traditional visual localization. To address this, this paper proposes a high-precision, sub-pixel-level localization method for workpiece feature points based on RGB-D data fusion. The method specifically targets two types of localization objects: planar corner keypoints and sharp-corner keypoints. It employs the YOLOv10 model combined with a Background Misdetection Filtering Module (BMFM) to classify and identify feature points in RGB images. An improved Prewitt operator (using 5 × 5 convolution kernels in 8 directions) and sub-pixel refinement techniques are utilized to enhance 2D localization accuracy. The 2D feature boundaries are then mapped into 3D point cloud space based on camera extrinsic parameters. After coarse error detection in the point cloud and local quadric surface fitting, 3D localization is achieved by intersecting spatial rays with the fitted surfaces. Experimental results demonstrate that the proposed method achieves a mean absolute error (MAE) of 0.17 mm for localizing flat, free-form, and grooved components, with a maximum error of less than 0.22 mm, meeting the requirements of high-precision industrial applications such as precision manufacturing and quality inspection. Full article
(This article belongs to the Section Navigation and Positioning)
Show Figures

Figure 1

19 pages, 4753 KB  
Article
High-Accuracy Modeling and Mechanism Analysis of Temperature Field in Ballastless Track Under Multi-Boundary Conditions
by Ying Wang and Yuelei He
Appl. Sci. 2026, 16(1), 166; https://doi.org/10.3390/app16010166 - 23 Dec 2025
Viewed by 197
Abstract
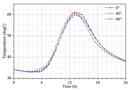
The non-uniform temperature distribution in ballastless track slabs under complex meteorological conditions can induce structural defects, threatening the safety of high-speed railways. Existing temperature field models often rely on idealized geometric and meteorological assumptions, thereby constraining a fine-grained and quantitative resolution of the [...] Read more.
The non-uniform temperature distribution in ballastless track slabs under complex meteorological conditions can induce structural defects, threatening the safety of high-speed railways. Existing temperature field models often rely on idealized geometric and meteorological assumptions, thereby constraining a fine-grained and quantitative resolution of the independent thermal effects governed by key boundary conditions. To address this, the current study proposes a temperature field analysis method integrating high-precision geometry and physical processes: the actual track geometry is reconstructed via 3D laser scanning point clouds, and a 3D transient heat conduction finite element model is developed by incorporating measured meteorological data and an astronomical model for dynamic solar radiation calculation. Results demonstrate close agreement between simulations and field measurements (MAPE < 5%, R2 > 0.92), validating the model’s accuracy. Further analysis reveals that the box girder substructure, due to the “air cavity heat accumulation effect,” causes greater temperature fluctuations at the slab bottom compared to the subgrade, increasing the maximum positive temperature gradient by approximately 9%. The track alignment significantly influences temperature distribution, with the east–west alignment (0°) exhibiting a peak surface temperature 1.30 °C higher than the north–south alignment (90°) and instantaneous temperature differences reaching up to 2.4 °C. This study delivers the first dedicated, quantitative analysis of the impact of track substructure and alignment on the temperature field of the slab, providing a theoretical basis for the differentiated design of ballastless tracks and the revision of temperature load standards. Full article
(This article belongs to the Section Civil Engineering)
Show Figures

Figure 1

19 pages, 836 KB  
Article
A Hybrid Walrus Optimization-Based Fourth-Order Method for Solving Non-Linear Problems
by Aanchal Chandel, Eulalia Martínez, Sonia Bhalla, Sattam Alharbi and Ramandeep Behl
Axioms 2026, 15(1), 6; https://doi.org/10.3390/axioms15010006 - 23 Dec 2025
Viewed by 160
Abstract
Non-linear systems of equations play a fundamental role in various engineering and data science models, where accurate solutions are essential for both theoretical research and practical applications. However, solving such systems is highly challenging due to their inherent non-linearity and computational complexity. This [...] Read more.
Non-linear systems of equations play a fundamental role in various engineering and data science models, where accurate solutions are essential for both theoretical research and practical applications. However, solving such systems is highly challenging due to their inherent non-linearity and computational complexity. This study proposes a novel hybrid iterative method with fourth-order convergence. The foundation of the proposed scheme combines the Walrus Optimization Algorithm and a fourth-order iterative technique. The objective of this hybrid approach is to enhance global search capability, reduce the likelihood of convergence to local optima, accelerate convergence, and improve solution accuracy in solving non-linear problems. The effectiveness of the proposed method is checked on standard benchmark problems and two real-world case studies, hydrocarbon combustion and electronic circuit design, and one non-linear boundary value problem. In addition, a comparative analysis is conducted with several well-established optimization algorithms, based on the optimal solution, average fitness value, and convergence rate. Furthermore, the proposed scheme effectively addresses key limitations of traditional iterative techniques, such as sensitivity to initial point selection, divergence issues, and premature convergence. These findings demonstrate that the proposed hybrid method is a robust and efficient approach for solving non-linear problems. Full article
(This article belongs to the Special Issue Advances in Classical and Applied Mathematics, 2nd Edition)
Show Figures

Figure 1

16 pages, 25396 KB  
Article
Assessment of Landscape Connectivity Loss and Identification of Restoration Priorities in Forest Fire-Affected Areas: A Case Study of North Gyeongsang Province, South Korea
by Chulhyun Choi, Seonmi Lee and Hyunjin Seo
Land 2025, 14(12), 2444; https://doi.org/10.3390/land14122444 - 18 Dec 2025
Viewed by 422
Abstract
The 2025 large-scale forest fire in North Gyeongsang Province (Gyeongbuk) caused habitat fragmentation and disrupted ecological networks. This study quantitatively assessed both structural and functional connectivity loss and derived scientifically grounded restoration priorities. Fire intensity was assessed using Sentinel-2-based dNBR, and connectivity changes [...] Read more.
The 2025 large-scale forest fire in North Gyeongsang Province (Gyeongbuk) caused habitat fragmentation and disrupted ecological networks. This study quantitatively assessed both structural and functional connectivity loss and derived scientifically grounded restoration priorities. Fire intensity was assessed using Sentinel-2-based dNBR, and connectivity changes before and after the fire were analyzed by integrating MSPA (Morphological Spatial Pattern Analysis) and Omniscape (circuit theory-based model). MSPA captured extreme fragmentation, showing an 84% reduction in core habitats and a 976% increase in isolated patches, but failed to reflect functional movement flows. Omniscape approximated this using circuit theory, quantifying a 60% loss in cumulative current flow within the fire boundary and confirming that structural disconnection led to functional connectivity collapse. The restoration priority assessment (53 patches), based on source–sink theory, identified 14 high-priority patches (66% of total area). These patches were characterized by their adjacency to undamaged external cores, which serve as potential population sources for post-restoration recolonization. Notably, the top-priority areas were identified as key connection points within the national ecological corridor where Juwangsan National Park, the Nakdong Ridge, and Grade 1 Ecological Natural Areas overlap. This study demonstrated that integrating MSPA with Omniscape can simultaneously quantify both morphological fragmentation and functional disconnection caused by forest fires. This framework suggests that restoration planning should consider connectivity with broader ecological networks, in addition to recovering lost habitat area. Full article
Show Figures

Figure 1

35 pages, 40296 KB  
Article
A Matheuristic Framework for Behavioral Segmentation and Mobility Analysis of AIS Trajectories Using Multiple Movement Features
by Fumi Wu, Yangming Liu, Ronghui Li and Stefan Voß
J. Mar. Sci. Eng. 2025, 13(12), 2393; https://doi.org/10.3390/jmse13122393 - 17 Dec 2025
Viewed by 347
Abstract
Accurate behavioral segmentation of vessel trajectories from Automatic Identification System (AIS) is essential for maritime safety and traffic management. Existing methods often rely on predefined thresholds or emphasize geometric criteria and offer limited behavioral interpretability for mobility analysis. This paper introduces an unsupervised [...] Read more.
Accurate behavioral segmentation of vessel trajectories from Automatic Identification System (AIS) is essential for maritime safety and traffic management. Existing methods often rely on predefined thresholds or emphasize geometric criteria and offer limited behavioral interpretability for mobility analysis. This paper introduces an unsupervised behavioral segmentation framework that integrates clustering with matheuristic optimization. Trajectories are cleaned with a forward sliding window, and three smoothed movement features, namely speed, acceleration, and turning rate, are computed for each point. Each feature is discretized by the Jenks Natural Breaks algorithm to extract key feature points and pointwise feature labels. Segment boundaries are near-optimally chosen from these key feature points using a Matheuristic Fixed Set Search (MFSS) that minimizes a Minimum Description Length (MDL) objective. This ensures behavioral consistency within each segment and clear separation between adjacent segments. Experiments on an AIS dataset from the Qiongzhou Strait, China, demonstrate that our proposed method yields more compact, distinctly differentiated segments than baseline methods, while preserving intra-segment behavioral continuity. These segments exhibit strong semantic coherence, making them well-suited for downstream tasks such as traffic risk assessment and route planning. Full article
(This article belongs to the Section Ocean Engineering)
Show Figures

Figure 1

Back to TopTop