Sign in to use this feature.

Years

Between: -

Subjects

remove_circle_outline
remove_circle_outline
remove_circle_outline
remove_circle_outline

Journals

Article Types

Countries / Regions

Search Results (10)

Search Parameters:
Keywords = bone obesity paradox

Order results
Result details
Results per page
Select all
Export citation of selected articles as:
14 pages, 666 KB  
Article
The Obesity Paradox Reconsidered: Evidence from a Multicenter Romanian Hemodialysis Cohort
by Alexandru Catalin Motofelea, Radu Pecingina, Nicu Olariu, Luciana Marc, Lazar Chisavu, Flaviu Bob, Adelina Mihaescu, Adrian Apostol, Oana Schiller, Nadica Motofelea and Adalbert Schiller
J. Clin. Med. 2026, 15(1), 357; https://doi.org/10.3390/jcm15010357 - 3 Jan 2026
Viewed by 197
Abstract
Background and Objectives: The obesity paradox in maintenance hemodialysis (MHD) patients (better survival of obese as compared to non-obese patients in MHD) remains controversial, with many published papers supporting the idea that higher BMI is protective. Data from Eastern Europe, in particular [...] Read more.
Background and Objectives: The obesity paradox in maintenance hemodialysis (MHD) patients (better survival of obese as compared to non-obese patients in MHD) remains controversial, with many published papers supporting the idea that higher BMI is protective. Data from Eastern Europe, in particular from the elderly population on hemodialysis, are limited. The aim of this study was to describe the distribution of body weight status and cardiometabolic comorbidities and to evaluate the association of BMI categories with all-cause mortality in a multi-center Romanian hemodialysis cohort. Materials and Methods: We conducted a retrospective cohort study of 679 patients with end-stage kidney disease (ESKD) undergoing maintenance haemodialysis in eight Romanian centers. All patients received thrice-weekly treatments (≥4 h/session) using high-flux dialysers. Baseline demographic, clinical, laboratory, and echocardiographic data were extracted from dialysis records. Survival across BMI groups was assessed using Kaplan–Meier curves and the log-rank test. Cox proportional hazards models were used to estimate hazard ratios (HRs) for all-cause mortality, with normal weight as the reference category. Multivariable models incorporated progressive adjustment for age, sex, dialysis vintage, diabetes, major cardiovascular comorbidities, and ESKD-related factors, including anemia parameters and CKD–mineral and bone disorder (CKD-MBD) markers. Results: A total of 679 haemodialysis patients were included (mean age 57.2 ± 12.9 years; 59.1% male); 52.7% were normal weight, 28.9% overweight, and 18.4% obese. During follow-up, 360 patients (53.0%) died, with similar crude mortality across BMI groups (normal weight 51.7%, overweight 55.1%, obese 53.6%; p > 0.05). In univariate Cox analyses, older age, obesity, hypoalbuminaemia, elevated CRP, hyperphosphataemia, peripheral and cerebrovascular disease, diabetes, low dialysis adequacy (eKt/V < 1.2), and lower ultrafiltration were associated with higher mortality, whereas preserved LVEF (≥50%) was protective. In multivariable analyses, independent predictors of mortality included older age (HR 1.042 per year, p < 0.001), obesity (HR 1.411, p = 0.045), elevated CRP (HR 1.781, p < 0.001), diabetes (HR 1.775, p < 0.001), inadequate dialysis dose (eKt/V < 1.2; HR 1.343, p = 0.029), and preserved LVEF remained protective (HR 0.665, p = 0.013). The Kaplan–Meier analysis showed significantly lower survival with increasing BMI: median survival was 7.56 years in normal-weight patients, 4.56 years in overweight patients, and 3.92 years in obese individuals (log-rank p < 0.05). Conclusions: In this Romanian cohort of multicenter hemodialysis patients, obesity as measured by BMI was associated with an increased incidence of all-cause mortality, while overweight did not confer a clear survival advantage over normal weight. These findings call into question the classic hemodialysis obesity paradox and support a more cautious interpretation of the increased BMI. Full article
(This article belongs to the Special Issue Chronic Kidney Disease: From Diagnosis to Treatment)
Show Figures

Figure 1

13 pages, 828 KB  
Article
Integrating Radiology and Metabolic Risk: DEXA-Based Characterization of Bone Health in Type 2 Diabetes
by Ali H. Alghamdi, Mansuor A. Alanazi, Salwa Bukhari, Reham A. Alsumaira, Razan H. Alenzi, Abeer S. Aljuhani, Saud S. Alharbi and Mohammed A. Alsheikh
Metabolites 2025, 15(12), 766; https://doi.org/10.3390/metabo15120766 - 25 Nov 2025
Viewed by 519
Abstract
Background/Objectives: Type 2 diabetes mellitus (T2DM) is increasingly recognized as a contributor to skeletal fragility despite patients often having a normal or even elevated bone mineral density (BMD), a phenomenon described as the “T2DM bone paradox.” This study aimed to use DEXA [...] Read more.
Background/Objectives: Type 2 diabetes mellitus (T2DM) is increasingly recognized as a contributor to skeletal fragility despite patients often having a normal or even elevated bone mineral density (BMD), a phenomenon described as the “T2DM bone paradox.” This study aimed to use DEXA screening to explore how metabolic and demographic factors, particularly body mass index (BMI), age, sex, and glycated hemoglobin (HbA1c), influence Bone Mineral Density (BMD) among Saudi adults, a population where diabetes and obesity are highly prevalent. Methods: A retrospective cross-sectional study was conducted among 89 adults (mean age 61.1 years; 82% female) who underwent dual-energy X-ray absorptiometry (DEXA) at King Fahad Specialist Hospital in Tabuk, Saudi Arabia. Bone mineral density was evaluated at the lumbar spine, femoral neck, and total hip. Correlation and multiple regression analyses were conducted to assess how age, sex, body mass index (BMI), and glycated hemoglobin (HbA1c) were related to BMD T-scores. Results: The prevalence of osteopenia and osteoporosis was 43.8% and 23.6%, respectively, with women and older adults showing the highest rates of low bone mass. Participants had a mean age of 61.1 ± 12.1 years, average BMI of 32 kg/m2, and mean HbA1c of 6.6 ± 1.8%. Females showed slightly lower T-scores at all skeletal sites compared with males (lumbar spine −1.81 vs. −1.55; femoral neck −1.15 vs. −0.76; total hip −0.62 vs. −0.12), indicating greater bone loss in women. BMI was consistently and positively associated with BMD across all skeletal sites (p < 0.05), whereas age and female sex were negative predictors at the femoral neck and hip. HbA1c showed a paradoxical positive relationship with BMD at weight-bearing sites, reflecting the complexity of metabolic effects on bone quality. The models explained up to 28% of the variance in BMD. Conclusions: Individuals with higher level BMI tended to have better bone mass, while older age and female sex were related to decreased BMD. The positive association between HbA1c and BMD supports the concept of the “diabetic bone paradox” and emphasizes the value of combining the evaluation of both metabolic and skeletal factors when assessing fracture risk in Middle Eastern populations. Full article
(This article belongs to the Section Endocrinology and Clinical Metabolic Research)
Show Figures

Figure 1

28 pages, 1393 KB  
Review
The “Burden” of Childhood Obesity on Bone Health: A Look at Prevention and Treatment
by Ilaria Farella, Mariangela Chiarito, Rossella Vitale, Gabriele D’Amato and Maria Felicia Faienza
Nutrients 2025, 17(3), 491; https://doi.org/10.3390/nu17030491 - 29 Jan 2025
Cited by 6 | Viewed by 6281
Abstract
Childhood obesity represents a multifaceted challenge to bone health, influenced by a combination of endocrine, metabolic, and mechanical factors. Excess body fat correlates with an increase in bone mineral density (BMD) yet paradoxically elevates fracture risk due to compromised bone quality and increased [...] Read more.
Childhood obesity represents a multifaceted challenge to bone health, influenced by a combination of endocrine, metabolic, and mechanical factors. Excess body fat correlates with an increase in bone mineral density (BMD) yet paradoxically elevates fracture risk due to compromised bone quality and increased mechanical loading on atypical sites. Additionally, subjects with syndromic obesity, as well as individuals with atypical nutritional patterns, including those with eating disorders, show bone fragility through unique genetic and hormonal dysregulations. Emerging evidence underscores the adverse effects of new pharmacological treatments for severe obesity on bone health. Novel drugs, such as glucagon-like peptide-1 (GLP-1) receptor agonists, and bariatric surgery demonstrate potential in achieving weight loss, though limited evidence is available regarding their short- and long-term impacts on skeletal health. This review provides a comprehensive analysis of the mechanisms underlying the impact of childhood obesity on bone health. It critically appraises evidence from in vitro studies, animal models, and clinical research in children with exogenous obesity, syndromic obesity, and eating disorders. It also explores the effects of emerging pharmacological and surgical treatments for severe obesity on skeletal integrity, highlights prevention strategies, and identifies research gaps. Full article
(This article belongs to the Section Nutrition and Obesity)
Show Figures

Figure 1

24 pages, 1434 KB  
Review
Lipocalin 2 in Obesity and Diabetes: Insights into Its Role in Energy Metabolism
by Erik Lindstrom, Jessica Deis, David A. Bernlohr and Xiaoli Chen
Endocrines 2025, 6(1), 4; https://doi.org/10.3390/endocrines6010004 - 14 Jan 2025
Cited by 2 | Viewed by 4561
Abstract
Background: Lipocalin 2 (LCN2), also known as neutrophil gelatinase-associated lipocalin, is a 25 kDa protein involved in immune defense, inflammation, and metabolism. Results: LCN2 is widely expressed across various tissues, including immune cells, bone, adipose tissue, liver, kidneys, lung, spleen, and epithelial cells, [...] Read more.
Background: Lipocalin 2 (LCN2), also known as neutrophil gelatinase-associated lipocalin, is a 25 kDa protein involved in immune defense, inflammation, and metabolism. Results: LCN2 is widely expressed across various tissues, including immune cells, bone, adipose tissue, liver, kidneys, lung, spleen, and epithelial cells, and exhibits sex- and fat depot-specific expression patterns. Structurally, LCN2 contains a hydrophobic lipid-binding pocket and glycosylation sites, enabling it to interact with diverse ligands and form dimers. In innate immunity, LCN2 plays a critical role by sequestering iron-laden siderophores, thereby restricting bacterial growth. Beyond its role in infection control, LCN2 is implicated in metabolic inflammation and diseases such as obesity and diabetes. Recent research has highlighted a pivotal role for LCN2 in mitochondrial phospholipid metabolism and mitochondrial function. In metabolic diseases and mitochondrial metabolism, LCN2 appears to display paradoxical effects. While some studies link it to improved insulin sensitivity, glucose regulation, and mitochondrial function, others associate it with insulin resistance, obesity, and mitochondrial dysfunction. These inconsistencies may arise from differences in experimental conditions and study populations. Conclusions: This review provides an up-to-date summary of LCN2’s multifaceted roles in obesity, diabetes, energy balance, and mitochondrial function, emphasizing its context-dependent effects. LCN2 appears to have dual roles, exerting both protective and detrimental outcomes depending on the physiological or pathological context, sex, cell types, and experimental conditions. Further research is necessary to unravel its complex functions and resolve conflicting findings, particularly in metabolic disorders. Full article
(This article belongs to the Section Obesity, Diabetes Mellitus and Metabolic Syndrome)
Show Figures

Figure 1

15 pages, 3081 KB  
Article
The Association between Obesity and Reduced Weight-Adjusted Bone Mineral Content in Older Adults: A New Paradigm That Contrasts with the Obesity Paradox
by Antonino De Lorenzo, Massimo Pellegrini, Paola Gualtieri, Leila Itani, Giulia Frank, Marwan El Ghoch and Laura Di Renzo
Nutrients 2024, 16(3), 352; https://doi.org/10.3390/nu16030352 - 25 Jan 2024
Cited by 7 | Viewed by 4526
Abstract
The relationship between body weight and bone mass in the elderly remains unclear, and whether obesity is a protective factor is still a matter of debate. For this reason, the aim of this study is to assess the association between body mass index [...] Read more.
The relationship between body weight and bone mass in the elderly remains unclear, and whether obesity is a protective factor is still a matter of debate. For this reason, the aim of this study is to assess the association between body mass index (BMI) and bone mineral content adjusted by body weight, expressed as a percentage (w-BMC%), and to test the validity of the obesity paradox in this context. A cohort of 1404 older adults was categorized according to the World Health Organization’s BMI cut-off points and completed a total and segmental body composition measurement by means of a dual X-ray absorptiometry scan. Individuals with obesity displayed a lower mean w-BMC% (3.06 ± 0.44%; 2.60 ± 0.37%) compared to those who were normal-weight (3.95 ± 0.54%; 3.38 ± 0.48%) and overweight (3.06 ± 0.44%; 3.04 ± 0.37%) in both genders. Linear regression analysis also showed a negative association between BMI and w-BMC% in males (β = −0.09; p < 0.001) and females (β = −0.06; p < 0.001). Finally, among individuals with obesity, and after adjusting for age, the linear regression models revealed a significant decrease of 0.75% and 0.28% in w-BMC% for every one-unit increase in the trunk fat/appendicular lean mass ratio in both males (β = −0.749; p < 0.0001) and females (β = −0.281; p < 0.001). In conclusion, we suggest a new paradigm regarding the impact of obesity on bone mass, in which the former does not appear to be a protective factor of the latter, especially in individuals with central obesity and low muscle mass. Full article
Show Figures

Figure 1

8 pages, 448 KB  
Opinion
Obesity and Bone Mineral Density Protection Paradox in Chronic Kidney Disease: Secreted Protein Acidic and Rich in Cysteine as a Piece of the Puzzle?
by Abdelaziz Ghanemi and Fabrice Mac-Way
Life 2023, 13(11), 2172; https://doi.org/10.3390/life13112172 - 6 Nov 2023
Cited by 4 | Viewed by 1994
Abstract
Obesity is a health condition that represents a risk factor for numerous diseases and complications. However, obesity might also have—to some extent—some “benefits” in certain situations. This includes potential bone protection in patients suffering from chronic kidney disease. In an attempt to explain [...] Read more.
Obesity is a health condition that represents a risk factor for numerous diseases and complications. However, obesity might also have—to some extent—some “benefits” in certain situations. This includes potential bone protection in patients suffering from chronic kidney disease. In an attempt to explain such a paradox, we highlight secreted protein acidic and rich in cysteine (SPARC) as a hypothetical mediator of this protection. Indeed, SPARC properties provide a logical rationale to describe such bone protection via its overexpression combined with its calcium-binding and collagen-binding properties. We believe that exploring such hypotheses could open new doors to elucidate unknown pathways towards developing a new generation of molecular therapies. Full article
(This article belongs to the Special Issue Altered Cellular Pathways in Human Health and Diseases)
Show Figures

Figure 1

17 pages, 1165 KB  
Article
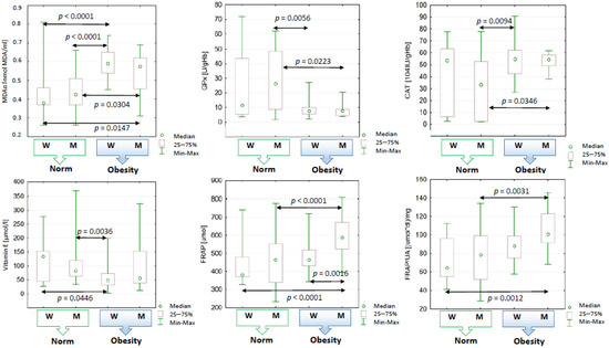
Lipid Peroxidation as a Possible Factor Affecting Bone Resorption in Obese Subjects—Preliminary Research
by Marcin Maciejewski, Joanna Siódmiak, Bartłomiej Borkowski, Matthias Lorkowski and Dorota M. Olszewska-Słonina
Int. J. Mol. Sci. 2023, 24(14), 11629; https://doi.org/10.3390/ijms241411629 - 19 Jul 2023
Cited by 3 | Viewed by 1925
Abstract
Oxidative stress, which promotes bone catabolism, also affects the quality of bone tissue. We aimed to assess the impact of metabolic disorders and oxidant–antioxidant imbalance associated with primary obesity on bone resorption and formation processes. Anthropometric parameters, metabolic variables, oxidative stress indicators (malondialdehyde, [...] Read more.
Oxidative stress, which promotes bone catabolism, also affects the quality of bone tissue. We aimed to assess the impact of metabolic disorders and oxidant–antioxidant imbalance associated with primary obesity on bone resorption and formation processes. Anthropometric parameters, metabolic variables, oxidative stress indicators (malondialdehyde, vitamins A and E, uric acid, superoxide dismutase, catalase, glutathione peroxidase, type 1 paraoxonase, iron-reducing plasma antioxidant power) and markers of bone turnover (type I procollagen N-terminal propeptide and the type I collagen C-terminal cross-linked telopeptide; P1NP and CTX) were assessed in 108 Polish participants. Under the influence of oxidative stress, both enzymatic and non-enzymatic defense mechanisms were stimulated in obese subjects, especially in women, who had increased lipid peroxidation and activity of catalase (particularly in first-degree obesity) and decreased vitamin E concentration. The process of lipid peroxidation, as well as the weakening of the bone formation, was strongly manifested in women at a BMI range of 35.0–39.9 kg/m2 but not at BMI > 40.0 kg/m2, but it had a comprehensive negative impact on bone turnover in obese men. Obesity and its degree of advancement significantly affected the decrease in the concentration of the marker of bone formation—P1NP—only in the plasma of women. Excessive body weight had no effect on the value of the bone resorption marker in plasma, regardless of gender. Our results confirm the existence of the “obesity paradox” in the aspect of bone tissue metabolism and suggest that a specific body weight threshold changed the molecular response of the tissue. Full article
(This article belongs to the Section Molecular Biology)
Show Figures

Graphical abstract

25 pages, 947 KB  
Review
Obesity and Bone: A Complex Relationship
by Giuseppe Rinonapoli, Valerio Pace, Carmelinda Ruggiero, Paolo Ceccarini, Michele Bisaccia, Luigi Meccariello and Auro Caraffa
Int. J. Mol. Sci. 2021, 22(24), 13662; https://doi.org/10.3390/ijms222413662 - 20 Dec 2021
Cited by 195 | Viewed by 19887
Abstract
There is a large literature on the relationship between obesity and bone. What we can conclude from this review is that the increase in body weight causes an increase in BMD, both for a mechanical effect and for the greater amount of estrogens [...] Read more.
There is a large literature on the relationship between obesity and bone. What we can conclude from this review is that the increase in body weight causes an increase in BMD, both for a mechanical effect and for the greater amount of estrogens present in the adipose tissue. Nevertheless, despite an apparent strengthening of the bone witnessed by the increased BMD, the risk of fracture is higher. The greater risk of fracture in the obese subject is due to various factors, which are carefully analyzed by the Authors. These factors can be divided into metabolic factors and increased risk of falls. Fractures have an atypical distribution in the obese, with a lower incidence of typical osteoporotic fractures, such as those of hip, spine and wrist, and an increase in fractures of the ankle, upper leg, and humerus. In children, the distribution is different, but it is not the same in obese and normal-weight children. Specifically, the fractures of the lower limb are much more frequent in obese children. Sarcopenic obesity plays an important role. The authors also review the available literature regarding the effects of high-fat diet, weight loss and bariatric surgery. Full article
(This article belongs to the Special Issue Bone Development and Growth)
Show Figures

Figure 1

8 pages, 250 KB  
Article
Trabecular Bone Score and Bone Mineral Density in Postmenopausal Women with Morbid Obesity—A Clinical Paradox
by Antresa Jose, Kripa Elizabeth Cherian, Munaf Babajan Nandyal, Stephen A. Jiwanmall, Dheeraj Kattula, Thomas V. Paul and Nitin Kapoor
Med. Sci. 2021, 9(4), 69; https://doi.org/10.3390/medsci9040069 - 9 Nov 2021
Cited by 14 | Viewed by 4319
Abstract
Obesity has long been considered to have a protective effect on bone, but specific complications in those with morbid obesity are known to have a detrimental impact on bone architecture. We aimed to study the bone microarchitecture (TBS—trabecular bone score) and bone mineral [...] Read more.
Obesity has long been considered to have a protective effect on bone, but specific complications in those with morbid obesity are known to have a detrimental impact on bone architecture. We aimed to study the bone microarchitecture (TBS—trabecular bone score) and bone mineral density (BMD) in postmenopausal women with morbid obesity compared to obese and non-obese age-matched women. Eighty-five consecutive postmenopausal women with morbid obesity (body mass index (BMI) ≥ 35 kg/m2) were enrolled and compared to age-matched obese (n = 80) and non-obese postmenopausal controls (n = 85). The BMD and TBS were assessed in all subjects using a Hologic-QDR 4500-W Discovery-A DXA scanner. The mean BMD (gm/cm2) at the femoral neck in women with morbid obesity was found to be significantly lower as compared to the age-matched postmenopausal obese controls (0.723 versus 0.762, p-value = 0.002). The BMD at the lumbar spine and hip showed similar trends but were not statistically significant. The bone microarchitecture was found to be significantly lower in those with morbid obesity (1.205) as compared to the other two groups (obesity 1.244; non-obese 1.228) (p < 0.013). Though obesity was associated with a better bone density and bone microarchitecture in postmenopausal women, a paradoxical lower value was seen in those with morbid obesity. Full article
(This article belongs to the Special Issue Contemporary Endocrinology)
12 pages, 969 KB  
Article
The “Fat but Fit” Paradigm and Bone Health in Young Adults: A Cluster Analysis
by Ana Torres-Costoso, Miriam Garrido-Miguel, Luis Gracia-Marco, Purificación López-Muñoz, Sara Reina-Gutiérrez, Sergio Núñez de Arenas-Arroyo and Vicente Martínez-Vizcaíno
Nutrients 2021, 13(2), 518; https://doi.org/10.3390/nu13020518 - 5 Feb 2021
Cited by 15 | Viewed by 6012
Abstract
The fat but fit paradox has suggested that obese individuals with good fitness levels have lower cardiometabolic risk compared to individuals with normal weight but lower fitness levels. This paradigm has not been explored in the context of bone health. The aim of [...] Read more.
The fat but fit paradox has suggested that obese individuals with good fitness levels have lower cardiometabolic risk compared to individuals with normal weight but lower fitness levels. This paradigm has not been explored in the context of bone health. The aim of this study was to test whether categories of fat but fit paradigm assessed by body fat percentage and handgrip strength holds up in young adults and to analyze the relationship between fat but fit categories and bone outcomes. Cluster cross-sectional analyses of data from 499 young adults aged 18 to 30 from Toledo and Cuenca, Spain were conducted. Body fat percentage, handgrip strength, bone mineral content (BMC), bone mineral density (BMD), and dietary nutrients such as, proteins, magnesium, calcium, phosphorus, potassium, and vitamin D were assessed. Cluster analysis of body fat percentage and handgrip z scores resulted in a classification of four clusters that could be interpreted according to Fat Unfit (FU), Unfat Unfit (UU), Fat Fit (FF) and Unfat Fit (UF) categories. ANCOVA models showed that young adults in clusters with higher handgrip strength levels (FF, UF) and with higher key bone nutrients levels (UF) had significantly higher total BMC values than their peers in the UU and FU cluster categories, after controlling for sex, age and height. This study provides two novel conclusions in relation to the fat but fit paradigm: first, it confirms the construct of the four clusters of body fat percentage and handgrip strength, and second, it reinforces the predictive validity of the fat but fit paradigm categories, indicating the positive effect, although it may not just be a causal relationship, of muscular strength and key bone nutrients on counteracting the negative effect of obesity on bone health. Full article
(This article belongs to the Special Issue Diet and Bone Health)
Show Figures

Graphical abstract

Back to TopTop