Sign in to use this feature.

Years

Between: -

Subjects

remove_circle_outline
remove_circle_outline
remove_circle_outline
remove_circle_outline
remove_circle_outline
remove_circle_outline

Journals

Article Types

Countries / Regions

Search Results (12)

Search Parameters:
Keywords = blink reflex test

Order results
Result details
Results per page
Select all
Export citation of selected articles as:
17 pages, 309 KB  
Review
Anti-GQ1b Antibody Syndrome: A Clinician-Oriented Perspective on Diagnostics, Therapy, and Atypical Phenotypes—With an Illustrative 16-Case Institutional Series
by Taro Bannai, Minako Yamada, Tomonari Seki, Yasushi Shiio and Tatsuya Yamasoba
J. Clin. Med. 2026, 15(2), 801; https://doi.org/10.3390/jcm15020801 - 19 Jan 2026
Viewed by 771
Abstract
Anti-GQ1b antibody syndrome (AGABS) unifies triad-defined Miller Fisher syndrome (MFS), Bickerstaff brainstem encephalitis (BBE), and the ophthalmoplegic variant of Guillain–Barré syndrome (GBS-O) under a post-infectious immune mechanism centered on IgG to disialosyl gangliosides. The spectrum also encompasses triad-minus phenotypes—acute ophthalmoparesis without ataxia, acute [...] Read more.
Anti-GQ1b antibody syndrome (AGABS) unifies triad-defined Miller Fisher syndrome (MFS), Bickerstaff brainstem encephalitis (BBE), and the ophthalmoplegic variant of Guillain–Barré syndrome (GBS-O) under a post-infectious immune mechanism centered on IgG to disialosyl gangliosides. The spectrum also encompasses triad-minus phenotypes—acute ophthalmoparesis without ataxia, acute vestibular syndrome, optic involvement, and acute sensory-ataxic neuropathy. A molecular-mimicry model with complement-mediated nodal/paranodal dysfunction explains severe early deficits despite bland limb nerve conduction studies (NCSs), the cranial/proprioceptive predilection, and generally favorable treatment responsiveness to immunotherapy. In practice, a serology-first strategy, complemented by targeted electrophysiology—blink and H-reflex testing, and, where feasible, paired SEP–ABR showing a literature-supported dissociation (normal ABR with impaired median-nerve cortical SEPs), which, in our series, was documented in one illustrative BBE case—and by structured neuro-otologic examination, mitigates the “normal-NCS trap” and enables timely treatment. Intravenous immunoglobulin (IVIg) is first-line; plasma exchange (PLEX) is an alternative in severe or IVIg-ineligible cases; and intravenous methylprednisolone (IVMP) may be added selectively for central/optic-weighted phenotypes without routine oral taper. We consolidate actionable diagnostic and therapeutic steps and examine them in an institutional series of 16 consecutive seropositive patients (2015–2025): all were anti-GQ1b-positive with frequent GT1a co-reactivity; most reported an antecedent infection—typically upper respiratory, less often gastrointestinal—within the two weeks before onset; limb NCSs were often nondiagnostic whereas reflex/evoked-potential studies were informative; two required intubation in addition to IVIg; outcomes were generally favorable with early immunotherapy. The practical message: order anti-GQ1b at first contact, pair targeted electrophysiology with neuro-otology, and treat early to exploit reversible nodal/paranodal dysfunction. Full article
(This article belongs to the Section Clinical Neurology)
12 pages, 3003 KB  
Article
Efficacy of Forward and Reverse Suturing Techniques in Enhancing Neural Regeneration and Motor Function Recovery Following Facial Nerve Axotomy
by Jae Min Lee, Yeon Ju Oh, Sung Soo Kim, Youn-Jung Kim and Seung Geun Yeo
J. Clin. Med. 2026, 15(1), 96; https://doi.org/10.3390/jcm15010096 - 23 Dec 2025
Viewed by 568
Abstract
Background/Objectives: Facial nerve injury from conditions such as Bell’s palsy, trauma, surgery, and infection leads to facial asymmetry and motor deficits. Axotomy models reproduce peripheral nerve disruption and consequent motor impairment. To compare the effects of forward versus reverse autologous nerve suturing [...] Read more.
Background/Objectives: Facial nerve injury from conditions such as Bell’s palsy, trauma, surgery, and infection leads to facial asymmetry and motor deficits. Axotomy models reproduce peripheral nerve disruption and consequent motor impairment. To compare the effects of forward versus reverse autologous nerve suturing on neural regeneration and motor recovery within the facial nucleus after axotomy. Methods: In rats subjected to facial nerve axotomy, motor recovery was assessed at 8 weeks using whisker movement and blink reflex tests. Immunohistochemistry quantified choline acetyltransferase (ChAT), sirtuin 1 (SIRT1), and Iba-1 as indices of cholinergic function, cellular stress/inflammation modulation, and microglial activation in the facial nucleus. Results: Axotomy significantly reduced whisker and blink scores compared with sham. Both forward and reverse suturing significantly improved these behavioral outcomes versus axotomy. Within the facial nucleus, axotomy decreased ChAT- and SIRT1-positive cells and increased Iba-1 expression, while both suturing techniques increased ChAT and SIRT1 and reduced Iba-1. These changes suggest enhanced cholinergic function, mitigation of stress/inflammatory responses, and attenuation of microglial activation following repair. Conclusions: Forward and reverse suturing were each associated with improved motor function and favorable molecular and cellular changes in the facial nucleus after facial nerve axotomy. These findings support the utility of surgical repair irrespective of graft orientation and highlight involvement of key pathways—cholinergic signaling, SIRT1-related regulation, and microglial activity—in nerve restoration. This work extends our previous study, which focused on peripheral nerve regeneration after forward and reverse suturing, by elucidating how graft orientation affects central facial nucleus responses. By integrating behavioral outcomes with ChAT, Iba-1, and SIRT1 expression, the present study provides novel insight into the central mechanisms underlying motor recovery after facial nerve repair and helps explain why comparable functional outcomes are achieved regardless of graft polarity. Full article
(This article belongs to the Section Otolaryngology)
Show Figures

Figure 1

13 pages, 906 KB  
Article
Expression Patterns of SMAD1–8 in the Peripheral Facial Nerve Following Compressive Nerve Injury or Axotomy
by Jae Min Lee, Dong Keon Yon, Sung Soo Kim and Seung Geun Yeo
Int. J. Mol. Sci. 2025, 26(5), 2291; https://doi.org/10.3390/ijms26052291 - 4 Mar 2025
Viewed by 1459
Abstract
Facial nerve injury can lead to significant functional impairment, emotional impacts, and difficulties in social and economic activities. Although peripheral nerves have the potential for recovery, incomplete regeneration can pose challenges. Suppressor of Mothers Against Decapentaplegic Homolog (SMAD) proteins are crucial in the [...] Read more.
Facial nerve injury can lead to significant functional impairment, emotional impacts, and difficulties in social and economic activities. Although peripheral nerves have the potential for recovery, incomplete regeneration can pose challenges. Suppressor of Mothers Against Decapentaplegic Homolog (SMAD) proteins are crucial in the nerve-regeneration process. The study aimed to investigate the changes in SMAD protein expression involved in peripheral nerve regeneration following facial nerve injury induced by compression or axotomy in a pre-clinical study conducted on Sprague Dawley rats. Facial nerve recovery was assessed at 1, 2, 3, 4, 8, and 12 weeks post-facial nerve compression and axotomy using behavioral tests, including whisker movement and eyelid blink-reflex tests. Additionally, the role of SMAD proteins in the nerve regeneration process was evaluated by analyzing the expression of SMAD1–8 proteins at 2 and 12 weeks post-injury. Behavioral tests revealed significant impairment in facial nerve function in both the Compression and Axotomy groups compared with the Sham group at early time points. Recovery was observed in the Compression group by 2 weeks, whereas the Axotomy group exhibited prolonged impairment through 12 weeks. SMAD protein analyses showed increased expression of SMAD2, SMAD7, and SMAD8 following compression injury, whereas axotomy led to more extensive increases in expression that included SMAD1, SMAD2, SMAD3, SMAD4, SMAD6, SMAD7, and SMAD8. These findings suggest that SMAD proteins play differential roles in nerve regeneration following facial nerve injuries caused by compression versus axotomy. The distinct expression patterns of SMAD proteins highlight their potential as therapeutic targets for enhancing nerve regeneration and functional recovery in peripheral nerve injuries. Full article
(This article belongs to the Special Issue Molecular Basis and Therapies in Neurological Disorders)
Show Figures

Figure 1

10 pages, 1828 KB  
Article
Effect of Forward and Reverse Suturing on Nerve Regeneration Following Facial Nerve Axotomy
by Jae Min Lee, Jong Woo Chung, Na Young Jeong, Junyang Jung, Sung Soo Kim, Su Jin Jeong and Seung Geun Yeo
Biomedicines 2024, 12(11), 2531; https://doi.org/10.3390/biomedicines12112531 - 5 Nov 2024
Cited by 6 | Viewed by 2958
Abstract
Background/Objectives: When the facial nerve is severed and a nerve graft is required, motor nerves are typically connected in the forward direction, while sensory nerves are connected in the reverse direction. However, there is limited research on the effects of reversing this connection, [...] Read more.
Background/Objectives: When the facial nerve is severed and a nerve graft is required, motor nerves are typically connected in the forward direction, while sensory nerves are connected in the reverse direction. However, there is limited research on the effects of reversing this connection, and no studies have been conducted using the same facial nerve. This study aimed to investigate the effects of forward and reverse suturing on nerve regeneration following facial nerve axotomy. Methods: The facial nerve trunk of male Sprague Dawley rats was incised to induce facial nerve injury, and autografts were sutured using both forward and reverse methods. Behavioral tests, including whisker reflex and eye blink tests, were conducted. Histological analyses, including toluidine blue staining and transmission electron microscopy (TEM), were performed to evaluate axon recovery. Results: Behavioral experiments showed signs of recovery at 3–4 weeks in both the forward and reverse suture groups, with no significant differences between the two methods (p < 0.01). Histological analysis showed partial recovery by 8 weeks in both groups. Toluidine blue staining indicated a reduction in the number of axons at 4 weeks, with partial recovery at 8 weeks (p < 0.001) in both groups. TEM analysis revealed that myelin fiber thickness was restored in both the forward and reverse suture groups, though it remained thinner compared to normal (p < 0.01). Conclusions: Our results suggest that the direction of nerve suturing (forward vs. reverse) does not significantly impact nerve regeneration or functional recovery. Both suturing methods demonstrated similar recovery effects, with no significant differences in microstructural regeneration. Future studies should investigate the molecular mechanisms underlying nerve regeneration and extend the observation period to provide a more comprehensive understanding of this process. Full article
(This article belongs to the Section Neurobiology and Clinical Neuroscience)
Show Figures

Figure 1

19 pages, 666 KB  
Review
Small Fiber Neuropathy in Burning Mouth Syndrome: A Systematic Review
by Maria Kouri, Daniela Adamo, Emmanouil Vardas, Maria Georgaki, Federica Canfora, Michele Davide Mignogna and Nikolaos Nikitakis
Int. J. Mol. Sci. 2024, 25(21), 11442; https://doi.org/10.3390/ijms252111442 - 24 Oct 2024
Cited by 15 | Viewed by 8229
Abstract
Burning mouth syndrome (BMS) is a chronic idiopathic orofacial pain disorder, characterized by persistent burning sensations and pain without clear pathological causes. Recent research suggests that small fiber neuropathy (SFN) may play a significant role in the neuropathic pain and sensory disturbances associated [...] Read more.
Burning mouth syndrome (BMS) is a chronic idiopathic orofacial pain disorder, characterized by persistent burning sensations and pain without clear pathological causes. Recent research suggests that small fiber neuropathy (SFN) may play a significant role in the neuropathic pain and sensory disturbances associated with BMS. Following PRISMA guidelines, this systematic review aims to evaluate and synthesize current evidence supporting SFN’s involvement in BMS. The protocol is registered in PROSPERO (CRD42024555839). The results show eight studies reported reductions in nerve fiber density in tongue biopsies (ranging from 30% to 60%), along with morphological changes indicative of small fiber damage. Additionally, an increase in TRPV1-positive, NGF-positive, and P2X3-positive fibers, overexpression of Nav1.7, and slight underexpression of Nav1.9 mRNA were observed in BMS patients. Quantitative Sensory Testing in seven studies revealed sensory abnormalities such as reduced cool detection and cold pain thresholds. Blink reflex and corneal confocal microscopy also indicated peripheral and central small fiber damage, along with increased artemin mRNA expression. The evidence strongly supports SFN as a key factor in the pathophysiology of BMS, particularly due to reductions in nerve fiber density and altered sensory thresholds. However, variability across studies highlights the need for larger, standardized research to establish causal relationships and guide therapeutic strategies. Full article
(This article belongs to the Special Issue Molecular Pathology and Molecular Pharmacology of Chronic Pain)
Show Figures

Figure 1

17 pages, 6121 KB  
Article
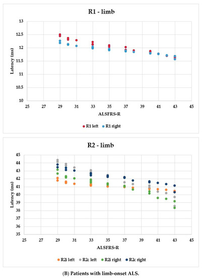
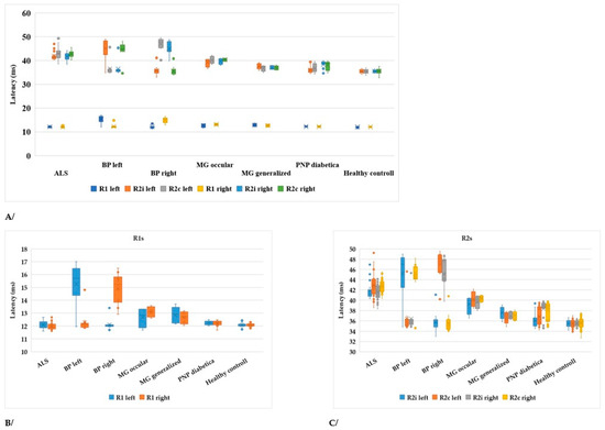
Blink Reflex Examination in Patients with Amyotrophic Lateral Sclerosis Compared to Diseases Affecting the Peripheral Nervous System and Healthy Controls
by Róbert Rostás, István Fekete, László Horváth and Klára Fekete
Brain Sci. 2023, 13(10), 1384; https://doi.org/10.3390/brainsci13101384 - 28 Sep 2023
Cited by 2 | Viewed by 3179
Abstract
Amyotrophic lateral sclerosis (ALS) is a fatal form of neuromuscular disease. The aim of this study was to assess changes in the blink reflex (BR) parameters as a valid and easy-to-use tool in ALS patients. We assessed the BR test in patients with [...] Read more.
Amyotrophic lateral sclerosis (ALS) is a fatal form of neuromuscular disease. The aim of this study was to assess changes in the blink reflex (BR) parameters as a valid and easy-to-use tool in ALS patients. We assessed the BR test in patients with a definitive diagnosis of ALS, healthy volunteers, and patients with diseases affecting the peripheral nervous system. The BR was studied in 29 patients who met the Awaji criteria. Latencies were compared with our healthy controls (N = 50) and other diseases of the peripheral nervous system (N = 61). The ALS Functional Rating Scale—Revised (ALSFRS-R) was used to evaluate functional status. Significantly prolonged R2i and R2c latencies were found in the ALS group compared with the healthy control group (p < 0.001). The latencies of R1, R2i, R2c were all increased in the bulbar subtype compared to the limb-onset subtype (p < 0.05). According to our results, BR examination might be a promising tool to monitor the course of the disease or serve as a prognostic biomarker in patients with ALS, but it should be assessed in further studies. The abnormalities detected through BR might help perform earlier interventions in ALS patients and might be useful in other diseases affecting the peripheral nervous system. Full article
(This article belongs to the Section Neurodegenerative Diseases)
Show Figures

Figure 1

11 pages, 514 KB  
Review
Evaluating Headache and Facial Pain in a Headache Diagnostic Laboratory: Experiences from the Danish Headache Center
by Henrik Winter Schytz and Jeppe Hvedstrup
Diagnostics 2023, 13(16), 2671; https://doi.org/10.3390/diagnostics13162671 - 14 Aug 2023
Cited by 1 | Viewed by 2059
Abstract
Background: Diagnostic tests are not routinely used for the diagnosis of primary headaches. It is possible that laboratory tests could be developed and implemented at tertiary headache centers to be an integrated part of the diagnosis and management of headache patients, and laboratory [...] Read more.
Background: Diagnostic tests are not routinely used for the diagnosis of primary headaches. It is possible that laboratory tests could be developed and implemented at tertiary headache centers to be an integrated part of the diagnosis and management of headache patients, and laboratory tests that can be used on-site at headache centers could help in evaluating patients with secondary headache disorders. Methods: In this narrative review, we present some of the studies that have been made so far at the Headache Diagnostic Laboratory at the Danish Headache Center that aim to investigate and phenotype primary headaches and investigate secondary headaches as well as improve management. Results: Semi-structured interviews and deep phenotyping, quantitative sensory testing, and provocation studies have been shown to be valuable in categorizing primary and secondary headache subtypes, possible pathophysiology, and defining needs for further research. In patients suspected of increased intracranial pressure, transorbital ultrasound with measurement of the optic sheath diameter may be useful in monitoring patients. The management of headache patients needs to be critically evaluated to optimize treatment continuously. Conclusion: A Headache Diagnostic Laboratory is very useful and should be an integrated part of headache care and management at tertiary headache centers. Full article
Show Figures

Figure 1

8 pages, 263 KB  
Article
Ocular Surface Changes in Treatment-Naive Thyroid Eye Disease
by Xulin Liao, Kenneth Ka Hei Lai, Fatema Mohamed Ali Abdulla Aljufairi, Wanxue Chen, Zhichao Hu, Hanson Yiu Man Wong, Ruofan Jia, Yingying Wei, Clement Chee Yung Tham, Chi Pui Pang and Kelvin Kam Lung Chong
J. Clin. Med. 2023, 12(9), 3066; https://doi.org/10.3390/jcm12093066 - 23 Apr 2023
Cited by 11 | Viewed by 3756
Abstract
Objective: To investigate the association of meibomian gland dysfunction (MGD) and ocular surface exposure with tear film instability in untreated thyroid eye disease (TED) patients. Methods: A cross-sectional study of TED patients from September 2020 to September 2022 was conducted. Ocular surface parameters [...] Read more.
Objective: To investigate the association of meibomian gland dysfunction (MGD) and ocular surface exposure with tear film instability in untreated thyroid eye disease (TED) patients. Methods: A cross-sectional study of TED patients from September 2020 to September 2022 was conducted. Ocular surface parameters included ocular surface disease index (OSDI), tear meniscus height (TMH), non-invasive tear break-up time (NITBUT), partial blinking rate, lipid layer thickness (LLT), meibomian gland dropout (meiboscore), Schirmer’s test, and corneal punctate epithelial erosions (PEE). Ocular surface exposure was assessed by the margin reflex distances of the upper and lower eyelid (MRD1 and MRD2), the amount of exophthalmos, lateral flare, and lagophthalmos. Results: In total, 152 eyes from 76 TED patients (64 females and 12 males, age 42.99 ± 12.28 years) and 93 eyes from 61 healthy controls (51 females and 10 males, age 43.52 ± 17.93 years) were examined. Compared with control eyes, TED eyes had higher OSDI, TMH, LLT, and PEE; shorter NITBUT; and worse meiboscore (all p < 0.05). They also had larger amounts of exophthalmos, longer MRD1, more lateral flare, and lagophthalmos. Multivariate analysis identified an association of the tear film instability with lagophthalmos (β = −1.13, 95%CI: −2.08, −0.18) and severe MGD in the lower eyelid (β = −5.01, 95%CI = −7.59, −2.43). Conclusions: Dry eye in TED is mainly manifested as evaporative dry eye disease. Severe lower eyelid MGD and worse lagophthalmos were significantly associated with tear film instability in treatment-naive TED patients. Full article
(This article belongs to the Special Issue Advances in Orbital, Oculoplastic and Lacrimal Surgery)
11 pages, 5292 KB  
Article
Nicotinamide Adenine Dinucleotide Phosphate Oxidase 2 Expression and Effects of Alpha Lipoic Acid on Recovery in a Rat Model of Facial Nerve Injury
by Myung Chul Yoo, In Yong Ryu, Jin Woo Choi, Jae Min Lee, Jae Yong Byun and Seung Geun Yeo
Biomedicines 2022, 10(2), 291; https://doi.org/10.3390/biomedicines10020291 - 27 Jan 2022
Cited by 11 | Viewed by 3074
Abstract
Background: NOX2 (nicotinamide adenine dinucleotide phosphate oxidase 2), which is upregulated by a variety of neurodegenerative factors, is neuroprotective and capable of reducing detrimental aspects of pathology following ischemic and traumatic brain injury, as well as in chronic neurodegenerative disorders. The purpose of [...] Read more.
Background: NOX2 (nicotinamide adenine dinucleotide phosphate oxidase 2), which is upregulated by a variety of neurodegenerative factors, is neuroprotective and capable of reducing detrimental aspects of pathology following ischemic and traumatic brain injury, as well as in chronic neurodegenerative disorders. The purpose of this study was to investigate NOX2 expression and the degree of functional recovery following different types of facial nerve injury and assess the effects of antioxidant intervention on nerve regeneration. Methods: A total of 40 mature (6-week-old) male Sprague-Dawley (SD) rats were used. After inducing facial injury (compression injury or cutting injury), we randomized rats into four groups: A, crushing injury only; B, crushing injury with alpha lipoic acid (ALA); C, axotomy only; and D, axotomy with ALA. Recovery from facial nerve injury was evaluated 4 and 14 days after injury by performing behavioral assessments (observational scale of vibrissae movement, modified scale of eye closing and blinking reflex) and measuring changes in NOX2 experimental/control ratio in the injured (left, experimental) facial nerve relative to that in the uninjured (right, control) facial nerve. Results: A comparison between groups according to the type of injury showed a higher NOX2 expression ratio in the axotomy group than in the crushing group (p < 0.001). Regardless of injury type, both groups that received an injection of ALA exhibited a trend toward a higher NOX2 expression ratio, although this difference reached statistical significance only in the axotomy group (p < 0.001). In behavioral assessments, overall behavioral test scores were significantly higher in the crushing injury group immediately after the injury compared with that in the axotomy group. Additionally, in behavioral tests conducted 4 days after the crushing injury, the group injected with ALA showed better results than the group without injection of ALA (p = 0.031). Conclusions: Our study showed that NOX2 expression trended higher with facial nerve injury, exhibiting a significant increase with cutting-type injury. Furthermore, intraperitoneally injection with ALA may be an efficient strategy for accelerating peripheral facial nerve recovery after a crushing injury. Full article
(This article belongs to the Special Issue Peripheral Nerve Stimulation)
Show Figures

Figure 1

12 pages, 2934 KB  
Article
Effects of Transcranial Ultrasound Stimulation on Trigeminal Blink Reflex Excitability
by Andrea Guerra, Edoardo Vicenzini, Ettore Cioffi, Donato Colella, Antonio Cannavacciuolo, Silvia Pozzi, Barbara Caccia, Giulia Paparella, Giulia Di Stefano, Alfredo Berardelli and Matteo Bologna
Brain Sci. 2021, 11(5), 645; https://doi.org/10.3390/brainsci11050645 - 15 May 2021
Cited by 15 | Viewed by 4507
Abstract
Recent evidence indicates that transcranial ultrasound stimulation (TUS) modulates sensorimotor cortex excitability. However, no study has assessed possible TUS effects on the excitability of deeper brain areas, such as the brainstem. In this study, we investigated whether TUS delivered on the substantia nigra, [...] Read more.
Recent evidence indicates that transcranial ultrasound stimulation (TUS) modulates sensorimotor cortex excitability. However, no study has assessed possible TUS effects on the excitability of deeper brain areas, such as the brainstem. In this study, we investigated whether TUS delivered on the substantia nigra, superior colliculus, and nucleus raphe magnus modulates the excitability of trigeminal blink reflex, a reliable neurophysiological technique to assess brainstem functions in humans. The recovery cycle of the trigeminal blink reflex (interstimulus intervals of 250 and 500 ms) was tested before (T0), and 3 (T1) and 30 min (T2) after TUS. The effects of substantia nigra-TUS, superior colliculus-TUS, nucleus raphe magnus-TUS and sham-TUS were assessed in separate and randomized sessions. In the superior colliculus-TUS session, the conditioned R2 area increased at T1 compared with T0, while T2 and T0 values did not differ. Results were independent of the interstimulus intervals tested and were not related to trigeminal blink reflex baseline (T0) excitability. Conversely, the conditioned R2 area was comparable at T0, T1, and T2 in the nucleus raphe magnus-TUS and substantia nigra-TUS sessions. Our findings demonstrate that the excitability of brainstem circuits, as evaluated by testing the recovery cycle of the trigeminal blink reflex, can be increased by TUS. This result may reflect the modulation of inhibitory interneurons within the superior colliculus. Full article
(This article belongs to the Section Systems Neuroscience)
Show Figures

Figure 1

9 pages, 548 KB  
Article
Reappraisal of the Prognostic Factors of Outcome and Recovery Time in Patients with Idiopathic Bell’s Palsy: A Retrospective Single-Center Analysis
by Chi-Hao Peng, Jiun-Liang Chen, Ming-Feng Liao, Jung-Lung Hsu, Hui-Ching Hsu and Long-Sun Ro
J. Pers. Med. 2021, 11(3), 171; https://doi.org/10.3390/jpm11030171 - 2 Mar 2021
Cited by 3 | Viewed by 3529
Abstract
Study Objectives: This retrospective study investigated prognostic factors and recovery time in patients with Bell’s palsy after different doses and durations of oral glucocorticoid treatments. Subjects and Methods: A total of 396 patients initially diagnosed with Bell’s palsy that had visited the Department [...] Read more.
Study Objectives: This retrospective study investigated prognostic factors and recovery time in patients with Bell’s palsy after different doses and durations of oral glucocorticoid treatments. Subjects and Methods: A total of 396 patients initially diagnosed with Bell’s palsy that had visited the Department of Neurology of Chang Gung Memorial Hospital, Taoyuan, a tertiary referral medical center in Taiwan, between January 2014 and December 2018 were included. Medical records, facial electroneurography (fENoG), and blink reflex (BR) tests were reviewed and analyzed. A favorable outcome was defined as patients who improved to grade ≤ II, and an unfavorable outcome was defined as patients who improved to grade ≥ III in 6 months according to the House–Brackmann (HB) grading system. Results: The rate of favorable outcomes was 89.4% (354 of 396 patients) at the 6-month follow-up. A favorable outcome (HB less than grade II) was associated with a delayed BR (odds ratio, OR, 5.38; 95% CI, 1.82 to 15.90) and fENoG values (the lesion side/the healthy side) over 33% (OR, 6.67; 95% CI, 3.02 to 14.71). The recovery time was significantly shorter for those with a delayed BR than for those with an absent BR and shorter for those with good fENoG values (>33%) than for those with poor values (≤33%). However, treatment without or with different doses and durations of oral glucocorticoid did not influence the final outcome or recovery time in this study. Conclusions: The fENoG and BR tests were significant and highly valuable examinations for predicting the final outcome. Moreover, age younger than 60 years, a delayed BR, and fENoG values > 33% were associated with shorter recovery times. Full article
Show Figures

Figure 1

15 pages, 5491 KB  
Article
EMG-Free Monitorization of the Acoustic Startle Reflex with a Mobile Phone: Implications of Sound Parameters with Posture Related Responses
by Christopher L. Gowen, Prashanna Khwaounjoo and Yusuf O. Cakmak
Sensors 2020, 20(21), 5996; https://doi.org/10.3390/s20215996 - 22 Oct 2020
Cited by 1 | Viewed by 6083
Abstract
(1) Background: Acute acoustic (sound) stimulus prompts a state of defensive motivation in which unconscious muscle responses are markedly enhanced in humans. The orbicularis oculi (OO) of the eye is an easily accessed muscle common for acoustic startle reaction/response/reflex (ASR) investigations and is [...] Read more.
(1) Background: Acute acoustic (sound) stimulus prompts a state of defensive motivation in which unconscious muscle responses are markedly enhanced in humans. The orbicularis oculi (OO) of the eye is an easily accessed muscle common for acoustic startle reaction/response/reflex (ASR) investigations and is the muscle of interest in this study. Although the ASR can provide insights about numerous clinical conditions, existing methodologies (Electromyogram, EMG) limit the usability of the method in real clinical conditions. (2) Objective: With EMG-free muscle recording in mind, our primary aim was to identify and investigate potential correlations in the responses of individual and cooperative OO muscles to various acoustic stimuli using a mobile and wire-free system. Our secondary aim was to investigate potential altered responses to high and also relatively low intensity acoustics at different frequencies in both sitting and standing positions through the use of biaural sound induction and video diagnostic techniques and software. (3) Methods: This study used a mobile-phone acoustic startle response monitoring system application to collect blink amplitude and velocity data on healthy males, aged 18–28 community cohorts during (n = 30) in both sitting and standing postures. The iPhone X application delivers specific sound parameters and detects blinking responses to acoustic stimulus (in millisecond resolution) to study the responses of the blinking reflex to acoustic sounds in standing and sitting positions by using multiple acoustic test sets of different frequencies and amplitudes introduced as acute sound stimuli (<0.5 s). The single acoustic battery of 15 pure-square wave sounds consisted of frequencies and amplitudes between 500, 1000, 2000, 3000, and 4000 Hz scales using 65, 90, and 105 dB (e.g., 3000 Hz_90 dB). (4) Results: Results show that there was a synchronization of amplitude and velocity between both eyes to all acoustic startles. Significant differences (p = 0.01) in blinking reaction time between sitting vs. standing at the high intensity (105 dB) 500 Hz acoustic test set was discovered. Interestingly, a highly significant difference (p < 0.001) in response times between test sets 500 Hz_105 dB and 4000 Hz_105 dB was identified. (5) Conclusions: To our knowledge, this is the first mobile phone-based acoustic battery used to detect and report significant ASR responses to specific frequencies and amplitudes of sound stimulus with corresponding sitting and standing conditions. The results from this experiment indicate the potential significance of using the specific frequency, amplitude, and postural conditions (as never before identified) which can open new horizons for ASR to be used for diagnosis and monitoring in numerous clinical and remote or isolated conditions. Full article
(This article belongs to the Special Issue Signal Processing Using Non-invasive Physiological Sensors)
Show Figures

Figure 1

Back to TopTop