Sign in to use this feature.

Years

Between: -

Subjects

remove_circle_outline
remove_circle_outline
remove_circle_outline
remove_circle_outline
remove_circle_outline
remove_circle_outline
remove_circle_outline
remove_circle_outline
remove_circle_outline

Journals

remove_circle_outline
remove_circle_outline
remove_circle_outline
remove_circle_outline
remove_circle_outline
remove_circle_outline
remove_circle_outline
remove_circle_outline
remove_circle_outline
remove_circle_outline
remove_circle_outline
remove_circle_outline
remove_circle_outline
remove_circle_outline
remove_circle_outline
remove_circle_outline

Article Types

Countries / Regions

remove_circle_outline
remove_circle_outline
remove_circle_outline
remove_circle_outline

Search Results (605)

Search Parameters:
Keywords = black box effect

Order results
Result details
Results per page
Select all
Export citation of selected articles as:
23 pages, 4811 KB  
Article
Improving Transferability of Adversarial Attacks via Frequency-Consistent Regularization
by Tengfei Shi, Shihai Wang and Bin Liu
Appl. Sci. 2026, 16(8), 3748; https://doi.org/10.3390/app16083748 (registering DOI) - 11 Apr 2026
Abstract
Adversarial examples have revealed the vulnerability of deep neural networks, and their transferability makes black-box attacks particularly concerning. However, perturbations crafted on a surrogate model often do not remain sufficiently effective on unseen target models. In this paper, we revisit this issue from [...] Read more.
Adversarial examples have revealed the vulnerability of deep neural networks, and their transferability makes black-box attacks particularly concerning. However, perturbations crafted on a surrogate model often do not remain sufficiently effective on unseen target models. In this paper, we revisit this issue from a frequency-domain perspective and observe that perturbation optimization can become overly dependent on specific spectral patterns, which weakens cross-model transfer. To address this problem, we propose frequency-consistent regularization (FCR), a simple plug-in strategy that can be combined with existing iterative attacks. FCR introduces multiple low-frequency preserving views with randomly sampled frequency ranges at each iteration and optimizes perturbations across these varied views. In this way, the generated perturbations are less tied to a specific frequency configuration and show improved transferability. Experimental results show that FCR consistently improves the transfer performance of various iterative attacks. The improvement is observed not only in standard target models but also in adversarially trained models, where the gain is often more pronounced. Full article
Show Figures

Figure 1

25 pages, 3389 KB  
Article
Optimisation-Based Tuning of a Triple-Loop Vehicle Controller to Mimic Professional Driver Performance in a DiL Simulator
by Vincenzo Palermo, Marco Gabiccini, Eugeniu Grabovic, Massimo Guiggiani, Matteo Pergoli and Luca Bergianti
Vehicles 2026, 8(4), 87; https://doi.org/10.3390/vehicles8040087 - 10 Apr 2026
Abstract
This paper presents a simulation-based methodology for automated tuning of a triple-loop controller (steering, throttle, and braking) for a Dallara single-seater race car. The approach targets on-track driving at handling limits, where strong nonlinearities and coupled dynamics dominate, treating the vehicle as a [...] Read more.
This paper presents a simulation-based methodology for automated tuning of a triple-loop controller (steering, throttle, and braking) for a Dallara single-seater race car. The approach targets on-track driving at handling limits, where strong nonlinearities and coupled dynamics dominate, treating the vehicle as a black box. Five controller gains are optimized via derivative-free pattern search, using reference trajectories from a professional driver in a Driver-in-the-Loop (DiL) simulator. Human-likeness is promoted by penalty terms on state and control trajectories while maximizing distance over a fixed horizon as a proxy for lap-time reduction. The application uses a high-fidelity multibody vehicle model with realistic tire, suspension, and actuator dynamics in the DiL environment, rather than simplified single-track representations. Contributions are: (i) effective application of derivative-free optimization to complex, high-dimensional, black-box vehicle systems; and (ii) a systematic, reproducible procedure for automatic tuning of controller parameters with a predetermined architecture to reproduce a professional driver’s performance and embed human-likeness. Optimization required approximately 2.4 h. Results show that the optimized controller improves track coverage by 63.6 m (1.1% increase) compared to manual tuning while maintaining a realistic driving style, offering a more systematic and reliable solution than manual, trial-and-error calibration. Full article
(This article belongs to the Special Issue Advanced Control Strategies for Vehicle Dynamics and Aerodynamics)
18 pages, 2083 KB  
Article
GenAI-Enabled AI Teachers and Student Learning Engagement Across International Higher Education Contexts
by Anders Berglund, Pauldy C. J. Otermans and Dev Aditya
Educ. Sci. 2026, 16(4), 600; https://doi.org/10.3390/educsci16040600 - 9 Apr 2026
Abstract
Generative Artificial Intelligence (GenAI) is reshaping how students engage with learning both within and beyond traditional classroom settings. In a time when the development of transferable skills is essential for enabling students to thrive in varied and rapidly evolving environments, the potential of [...] Read more.
Generative Artificial Intelligence (GenAI) is reshaping how students engage with learning both within and beyond traditional classroom settings. In a time when the development of transferable skills is essential for enabling students to thrive in varied and rapidly evolving environments, the potential of GenAI to enhance learning engagement remains insufficiently understood. Despite rising interest in interactive, personalised learning companions that enable deep engagement and ongoing skills development, scholarly research remains limited. This gap constrains effective institutional use of GenAI, reinforces black-box thinking, and restricts understanding of meaningful student engagement and skills acquisition. This paper investigates how a GenAI-enabled AI teacher supports student learning engagement, focusing on behavioral engagement as evidenced by learner interaction and participation patterns across diverse international higher education institutions. Using a combination of quantitative engagement metrics and qualitative learner reflections, the study examines how GenAI supports personalised learning, sustained interaction, autonomy, and cognitive engagement among students with varying educational backgrounds. The findings demonstrate that GenAI-based teaching systems can promote meaningful learning engagement, enhance motivation, and strengthen the development of transferable and employability skills. The study contributes empirical evidence to current debates on GenAI integration, teacher practices, and student engagement, offering implications for curriculum design and institutional adoption of GenAI-enabled learning tools. Full article
Show Figures

Figure 1

56 pages, 3022 KB  
Review
From Mechanics to Machine Learning in Additive Manufacturing: A Review of Deformation, Fatigue, and Fracture
by Murat Demiral and Murat Otkur
Technologies 2026, 14(4), 218; https://doi.org/10.3390/technologies14040218 - 9 Apr 2026
Abstract
Additive manufacturing (AM) enables a level of design flexibility that is difficult to achieve with conventional techniques, yet it inherently yields materials marked by significant variability, anisotropy, and sensitivity to defects that challenge classical mechanics-of-materials assumptions. Process-driven microstructural heterogeneity, stochastic defect populations, and [...] Read more.
Additive manufacturing (AM) enables a level of design flexibility that is difficult to achieve with conventional techniques, yet it inherently yields materials marked by significant variability, anisotropy, and sensitivity to defects that challenge classical mechanics-of-materials assumptions. Process-driven microstructural heterogeneity, stochastic defect populations, and residual stresses strongly influence deformation, fatigue, and fracture behavior, often outweighing nominal material properties and constraining the predictive capability of traditional constitutive and fracture mechanics models. Machine learning (ML) has emerged as a powerful means of handling the complexity of AM data; however, many current approaches depend on black-box models that lack physical transparency, extrapolate poorly, and treat uncertainty inadequately. This review contends that ML should augment—rather than replace—mechanics-based modeling, and that dependable prediction of AM material behavior requires mechanics-informed ML frameworks. We critically analyze the central mechanics challenges in AM and evaluate established modeling strategies alongside emerging ML methods relevant to deformation, damage, fatigue, and fracture. Particular emphasis is given to physics-informed and hybrid ML approaches that explicitly incorporate anisotropy, defect sensitivity, residual stress effects, and uncertainty quantification within learning architectures. Recent progress in ML-assisted constitutive modeling, fatigue and fracture prediction, and digital twin development is synthesized, and the implications for qualification, certification, and structural deployment of AM components are discussed. Full article
(This article belongs to the Collection Review Papers Collection for Advanced Technologies)
Show Figures

Figure 1

20 pages, 7311 KB  
Article
Numerical Simulation Study on Region Tracking of Jet Formation and Armor-Piercing Process of Zirconium Alloy Shaped Charge Liner
by Yan Wang, Yifan Du, Xingwei Liu and Jinxu Liu
Technologies 2026, 14(4), 216; https://doi.org/10.3390/technologies14040216 - 8 Apr 2026
Viewed by 194
Abstract
Zr alloy-shaped charge liners (SCLs) offer broad application prospects due to their multiple post-penetration damage effects. However, research on these liners is still in its early stages. The mechanisms of jet formation and penetration for Zr alloys SCL remain unclear, and the specific [...] Read more.
Zr alloy-shaped charge liners (SCLs) offer broad application prospects due to their multiple post-penetration damage effects. However, research on these liners is still in its early stages. The mechanisms of jet formation and penetration for Zr alloys SCL remain unclear, and the specific contribution of different liner regions to the penetration process is not yet understood. This gap in knowledge has limited their structural design to a black-box correlation between global structural parameters and macroscopic penetration efficiency. To address this gap, a region-tracing Smoothed Particle Hydrodynamics (SPH) simulation was employed. Following a strategy of “wall thickness layering + axial segmentation,” the Zr alloy liner was partitioned into ten characteristic regions. This methodology facilitated the tracking of material transport from each region during jet formation and penetration into an AISI 1045 steel target. The contribution of each region to the penetration depth was then quantitatively assessed via post-processing. For the first time, the “critical region” contributing most to penetration depth was identified, and the influence of the liner’s cone angle and wall thickness on the contribution of each region was revealed. This study enhances the theoretical framework for understanding the damage effects of Zr alloy shaped charge liners. It not only advances the fundamental understanding of jet penetration mechanisms but also provides a theoretical basis for the refined design and performance optimization of these liners. Full article
Show Figures

Figure 1

28 pages, 7849 KB  
Article
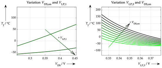
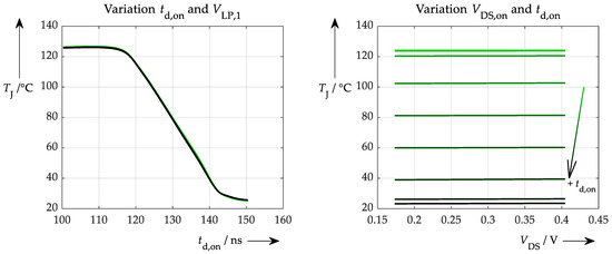
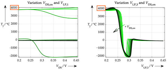
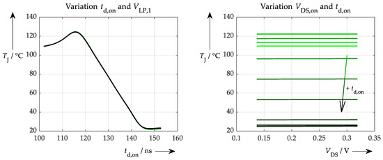
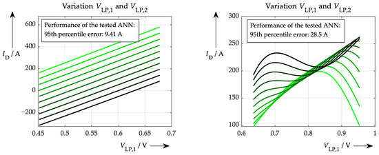
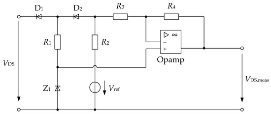
Module Parasitics-Based Current and Temperature Sensing Using Explainable Neural Networks
by Frank Lautner and Mark-M. Bakran
Sensors 2026, 26(7), 2235; https://doi.org/10.3390/s26072235 - 4 Apr 2026
Viewed by 304
Abstract
This paper examines the application of simple neural networks for current measurement and the determination of the junction temperature in power semiconductor modules. On the one hand, the focus was not on the use of conventional sensors such as current sensors or temperature [...] Read more.
This paper examines the application of simple neural networks for current measurement and the determination of the junction temperature in power semiconductor modules. On the one hand, the focus was not on the use of conventional sensors such as current sensors or temperature sensors, but rather on utilising parasitic components within the power semiconductor module, from which useful signals can be extracted. Namely, these are the voltage across parasitic inductances in a module, the semiconductor’s on-state voltage, and its turn-on delay time. Because these signals are often affected by other parameters, the desired information must be extracted, which was found to be an application case for artificial neural networks. On the other hand, the application of ANNs in the simplest and most effective way possible was presented. Furthermore, a method is introduced that takes a first step towards the interpretability of neural networks in a straightforward manner to overcome the main drawback for the user—the usual black-box structure of neural networks. Full article
(This article belongs to the Section Electronic Sensors)
Show Figures

Graphical abstract

24 pages, 4002 KB  
Article
A Causal XAI Diagnosis and Optimization Framework for Hot-Rolled Strip Shape Incorporating Hybrid Structure Learning
by Yuchun Wu, Pengju Xu, Dongyu Li and Zhimin Lv
Metals 2026, 16(4), 401; https://doi.org/10.3390/met16040401 - 3 Apr 2026
Viewed by 181
Abstract
Accurate shape control is paramount for ensuring the quality of hot-rolled strip products, which is significantly challenged by the high dimensionality, inherent nonlinearity, and strong coupling of process parameters. While machine learning (ML) methods have demonstrated superior predictive performance in product quality modeling, [...] Read more.
Accurate shape control is paramount for ensuring the quality of hot-rolled strip products, which is significantly challenged by the high dimensionality, inherent nonlinearity, and strong coupling of process parameters. While machine learning (ML) methods have demonstrated superior predictive performance in product quality modeling, the inherent “black-box” nature and lack of transparency severely undermine system reliability and hinder practical deployment. Existing explainable artificial intelligence (XAI) approaches predominantly rely on statistical correlations while overlooking the underlying causal mechanisms among coupled variables, which severely limits the validity of explanations. To address these limitations, a causal XAI diagnosis and optimization framework for hot-rolled strip shape is proposed. Initially, a hybrid causal structure learning module is established, which integrates domain knowledge with the NOTEARS-MLP algorithm to accurately reconstruct the causal topology and decode the complex coupling mechanisms among process parameters. Subsequently, a high-performance quality prediction module utilizing AutoML techniques is constructed to establish a robust predictive baseline. Furthermore, a causal XAI and quality optimization module is introduced, which incorporates causal constraints into standard Shapley additive explanation (SHAP) analysis for transparent diagnosis, and employs piecewise linear analysis (PLR) to generate sample-specific optimization strategies. Comprehensive experimental validation demonstrates that the prediction module significantly outperforms state-of-the-art ML approaches across multiple performance metrics. Additionally, comparative analysis reveals that the optimization strategy based on causal feature attribution exhibits 14.7% defect rate reduction over the associational baseline, which is effective, efficient and establishes a new benchmark for causal explainability in industrial process optimization applications. Full article
Show Figures

Figure 1

18 pages, 6357 KB  
Article
Enhanced Motion Prediction of a Semi-Submersible Platform Using Bayesian Neural Network and Field Monitoring Data
by Song Li and Jia-Wang Chen
AI. Eng. 2026, 1(1), 2; https://doi.org/10.3390/aieng1010002 - 3 Apr 2026
Viewed by 158
Abstract
The motion prediction of semi-submersible platforms is of significant importance for improving operational efficiency, ensuring platform safety, and providing early warning information for potential risks. Traditional prediction methods, such as those based on hydrodynamic simulations combined with Kalman filters, often face limitations due [...] Read more.
The motion prediction of semi-submersible platforms is of significant importance for improving operational efficiency, ensuring platform safety, and providing early warning information for potential risks. Traditional prediction methods, such as those based on hydrodynamic simulations combined with Kalman filters, often face limitations due to their reliance on precise hydrodynamic parameters, which are difficult to obtain in practice. More recently, data-driven approaches, particularly deep learning models like Long Short-Term Memory (LSTM) networks, have shown promise in predicting complex motions. However, these methods often treat the prediction process as a “black box,” leading to issues such as a lack of generalization ability, overfitting, and an inability to quantify the uncertainty of prediction results. To address these challenges, this paper proposes a novel motion prediction method for semi-submersible platforms based on a Bayesian neural network (BNN). The BNN incorporates Bayesian inference to effectively integrate prior knowledge and measured data, thereby quantifying uncertainties and improving prediction accuracy. The method is validated using field-measured motion data from a semi-submersible platform in the South China Sea. Compared with LSTM and feedforward neural network, the BNN demonstrates superior anti-noise performance and prediction accuracy, achieving an accuracy rate (R2) of up to 91.5%. Moreover, over 92% of the true values are captured within the 95% confidence interval of the prediction results. This study highlights the potential of BNNs for the real-time motion prediction of offshore platforms, providing valuable support for early warning systems and operational decision-making. Full article
Show Figures

Figure 1

23 pages, 1759 KB  
Review
Unraveling the “Black Box”: Challenges and Perspectives in Elucidating Catalytic Mechanisms of Metal–Biomass Carbon Hybrids for Persulfate Activation
by Jiahua Yu, Xiaoyang Chen, Lu Huang, Huangwei Chen and Hengcong Tao
Water 2026, 18(7), 838; https://doi.org/10.3390/w18070838 - 1 Apr 2026
Viewed by 379
Abstract
In recent years, Metal–Biomass Carbon (M–BC) hybrids have been widely studied as promising, cost-effective, and sustainable catalysts for persulfate activation in the degradation of emerging organic contaminants. M–BC systems offer advantages such as good performance and the sustainable use of biomass waste. Despite [...] Read more.
In recent years, Metal–Biomass Carbon (M–BC) hybrids have been widely studied as promising, cost-effective, and sustainable catalysts for persulfate activation in the degradation of emerging organic contaminants. M–BC systems offer advantages such as good performance and the sustainable use of biomass waste. Despite the considerable attention they have received, significant uncertainty remains regarding their precise catalytic mechanisms. A primary concern is the inherent complexity of biomass precursors, which frequently render the resulting catalytic structures ill-defined or akin to a “black box”. To address this challenge, this review critically evaluates the current state of mechanistic research, focusing on the debate between radical and non-radical pathways. In this paper, five fundamental challenges to clear mechanistic understanding are identified, including interference of inherent inorganic species, lack of precursors standardization and inherent heterogeneity, ambiguous overlapping active sites, methodological limitations in chemical quenching due to competitive adsorption, and conductivity-related constraints on non-radical pathways. Among these, the interference from inherent inorganic species is of primary concern, as the available evidence suggests it frequently confounds reported synergistic effects. Additionally, the future research directions for improving the experimental standardization and mechanistic understanding of M–BC catalysts are proposed. This review enriches the field by providing a clear path toward rigorous mechanistic understanding and the rational design of M–BC catalysts for water remediation. Full article
Show Figures

Figure 1

29 pages, 3941 KB  
Article
Explainable Deep Learning for Thoracic Radiographic Diagnosis: A COVID-19 Case Study Toward Clinically Meaningful Evaluation
by Divine Nicholas-Omoregbe, Olamilekan Shobayo, Obinna Okoyeigbo, Mansi Khurana and Reza Saatchi
Electronics 2026, 15(7), 1443; https://doi.org/10.3390/electronics15071443 - 30 Mar 2026
Viewed by 270
Abstract
COVID-19 still poses a global public health challenge, exerting pressure on radiology services. Chest X-ray (CXR) imaging is widely used for respiratory assessment due to its accessibility and cost-effectiveness. However, its interpretation is often challenging because of subtle radiographic features and inter-observer variability. [...] Read more.
COVID-19 still poses a global public health challenge, exerting pressure on radiology services. Chest X-ray (CXR) imaging is widely used for respiratory assessment due to its accessibility and cost-effectiveness. However, its interpretation is often challenging because of subtle radiographic features and inter-observer variability. Although recent deep learning (DL) approaches have shown strong performance in automated CXR classification, their black-box nature limits interpretability. This study proposes an explainable deep learning framework for COVID-19 detection from chest X-ray images. The framework incorporates anatomically guided preprocessing, including lung-region isolation, contrast-limited adaptive histogram equalization (CLAHE), bone suppression, and feature enhancement. A novel four-channel input representation was constructed by combining lung-isolated soft-tissue images with frequency-domain opacity maps, vessel enhancement maps, and texture-based features. Classification was performed using a modified Xception-based convolutional neural network, while Gradient-weighted Class Activation Mapping (Grad-CAM) was employed to provide visual explanations and enhance interpretability. The framework was evaluated on the publicly available COVID-19 Radiography Database, achieving an accuracy of 95.3%, an AUC of 0.983, and a Matthews Correlation Coefficient of approximately 0.83. Threshold optimisation improved sensitivity, reducing missed COVID-19 cases while maintaining high overall performance. Explainability analysis showed that model attention was primarily focused on clinically relevant lung regions. Full article
(This article belongs to the Special Issue Image Processing Based on Convolution Neural Network: 2nd Edition)
Show Figures

Figure 1

54 pages, 2144 KB  
Systematic Review
Demystifying Artificial Intelligence: A Systematic Review of Explainable Artificial Intelligence in Medical Imaging
by Muhammad Fayaz, Kim Hagsong, Sufyan Danish, L. Minh Dang, Abolghasem Sadeghi-Niaraki and Hyeonjoon Moon
Sensors 2026, 26(7), 2131; https://doi.org/10.3390/s26072131 - 30 Mar 2026
Viewed by 368
Abstract
This comprehensive literature review explores the latest advancements in explainable artificial intelligence (XAI) techniques within the field of medical imaging (MI). Over the past decade, machine learning (ML) and deep learning (DL) technologies have made significant strides in healthcare, enabling advancements in tasks [...] Read more.
This comprehensive literature review explores the latest advancements in explainable artificial intelligence (XAI) techniques within the field of medical imaging (MI). Over the past decade, machine learning (ML) and deep learning (DL) technologies have made significant strides in healthcare, enabling advancements in tasks such as disease diagnosis, medical image segmentation, and the detection of various medical conditions. However, despite these successes, the widespread adoption of AI-driven tools in clinical practice remains slow, primarily due to the “black-box” nature of many AI models. These models make decisions without transparent reasoning, which poses significant barriers in critical medical and legal environments, where accountability and trust are paramount. This review investigates various XAI methods, focusing on both intrinsic and post-hoc techniques, to evaluate their potential in addressing these challenges. The paper examines how XAI can enhance the transparency of healthcare algorithms, thereby fostering greater trust and confidence among clinicians, patients, and regulators. Key challenges faced by XAI in healthcare, such as limited interpretability, computational complexity, and the absence of standardized evaluation frameworks, are discussed in detail. Furthermore, this work highlights existing gaps in the literature, including the lack of detailed comparative analyses of specific XAI techniques, especially in terms of their mathematical foundations and applicability across diverse medical imaging contexts. In response to these gaps, the paper introduces a new set of standardized evaluation metrics aimed at assessing XAI performance across various medical imaging tasks, such as image segmentation, classification, and diagnosis. The review proposes actionable recommendations for enhancing the effectiveness of XAI in healthcare, with a focus on real-world clinical applications. Unlike previous studies that focus on broader overviews or limited subsets of methods, this work provides a comprehensive comparative analysis of over 18 XAI techniques, emphasizing their strengths, weaknesses, and practical implications. By offering a detailed understanding of how XAI methods can be integrated into clinical workflows, this paper aims to bridge the gap between cutting-edge AI technologies and their practical use in medical settings. Ultimately, the insights provided are valuable for researchers, clinicians, and industry professionals, encouraging the adoption and standardization of XAI practices in clinical environments, thus ensuring the successful integration of transparent, interpretable, and reliable AI systems into healthcare. Full article
Show Figures

Figure 1

23 pages, 2863 KB  
Article
Field Implementation of an Expert System for Energy Efficiency Improvement in Industrial Aluminum Electrolysis: A Rule-Based Explainable AI Approach
by Hang Zhang, Shengxiang Deng, Bo Liang, Guangji Li and Meili Cui
Processes 2026, 14(7), 1113; https://doi.org/10.3390/pr14071113 - 30 Mar 2026
Viewed by 346
Abstract
This study reports a field-validated expert system for 230 kA aluminum reduction cells at Chalco Guizhou Branch, achieving sustained energy savings of 137 kWh/t (annual comprehensive benefits of 333,714 CNY/cell) over six consecutive months. Addressing “black-box” AI limitations, the system employs hybrid knowledge [...] Read more.
This study reports a field-validated expert system for 230 kA aluminum reduction cells at Chalco Guizhou Branch, achieving sustained energy savings of 137 kWh/t (annual comprehensive benefits of 333,714 CNY/cell) over six consecutive months. Addressing “black-box” AI limitations, the system employs hybrid knowledge representation (production rules, frame-based structures, certainty factors) within an XAI framework. The four-layer architecture integrates OPC UA/Modbus TCP protocols for real-time data acquisition and interpretable diagnosis. Field trials demonstrated 94.2% diagnostic accuracy, significantly outperforming manual diagnosis (87.6%, p < 0.001) while achieving comparable performance to LSTM deep learning (93.8%, p = 0.42), with 15× faster inference speed (3.5 s vs. 52 s). Industrial implementation increased current efficiency by 0.7%, reduced DC power consumption by 137 kW·h/t, and decreased anode effect frequency by 32.5%. The system’s explicit reasoning capability provides transparent diagnostic explanations, bridging the gap between data-driven AI and domain expertise for trustworthy intelligent diagnostics in energy-intensive industrial processes. Full article
Show Figures

Figure 1

20 pages, 1938 KB  
Article
Interpretable Photoplethysmography Feature Engineering for Multi-Class Blood Pressure Staging
by Souhair Msokar, Roman Davydov and Vadim Davydov
Computers 2026, 15(4), 209; https://doi.org/10.3390/computers15040209 - 27 Mar 2026
Viewed by 284
Abstract
Hypertension is a leading global health risk and requires accurate and continuous monitoring for effective management. Although photoplethysmography (PPG) is a promising non-invasive modality for cuffless blood pressure (BP) assessment, many existing approaches (especially raw-signal deep learning) are vulnerable to data leakage, overfitting [...] Read more.
Hypertension is a leading global health risk and requires accurate and continuous monitoring for effective management. Although photoplethysmography (PPG) is a promising non-invasive modality for cuffless blood pressure (BP) assessment, many existing approaches (especially raw-signal deep learning) are vulnerable to data leakage, overfitting on small datasets, limited interpretability, and poor performance on minority BP stages. To address these limitations, we propose a robust and physiologically grounded framework for multi-class BP stage classification based on interpretable PPG features. Our approach centers on a comprehensive multi-domain feature engineering pipeline that extracts 124 PPG features, including demographic, morphological, functional decomposition, spectral, nonlinear dynamics, and clinical composite indices. We apply rigorous preprocessing and feature selection prior to model training. We validate the framework on two datasets: PPG-BP dataset (657 segments, 4 classes) for benchmarking and PulseDB (283,773 segments, 3 classes) to assess scalability. We evaluate the proposed framework using a segment-level train/test split, appropriate for assessing intra-subject BP tracking after initial personalization. For the PulseDB dataset, this follows the protocol established by the dataset creators, while for the PPG-BP dataset, it enables direct comparison with prior work given practical dataset constraints. On PPG-BP, LightGBM trained on the selected features achieved macro-F1 = 0.78 and accuracy = 0.74, outperforming comparable deep-learning models. On the PulseDB, a custom Residual MLP achieved accuracy = 0.81 and macro-F1 = 0.79, supporting generalization at scale. These results show that the proposed feature-based approach can outperform complex end-to-end deep-learning models on small datasets while providing improved interpretability. This work establishes a reliable and transparent pathway toward clinically viable continuous BP staging, moving beyond black-box models toward physiologically grounded decision support. Ablation analysis reveals that engineered features provide most of the predictive power (F1 = 0.911), while raw PPG features alone achieve modest performance (F1 = 0.384). For the minority hypertension stage 2 (HT-2) class, a bootstrap 95% confidence interval of [0.762, 1.000] is reported, reflecting uncertainty due to limited sample size. Full article
Show Figures

Graphical abstract

20 pages, 1454 KB  
Article
Momentum-Based Adversarial Attacks and Multi-Level Denoising Defenses in Deep Learning-Based Wind Power Forecasting
by Yangming Min, Congmei Jiang, Kang Yang, Xiankui Wen and Kexin Chen
Sensors 2026, 26(7), 2073; https://doi.org/10.3390/s26072073 - 26 Mar 2026
Viewed by 441
Abstract
Deep learning (DL) techniques have significantly advanced wind power forecasting by enhancing accuracy. However, these DL models are vulnerable to adversarial attacks, which can lead to severely inaccurate forecasts. Existing studies in wind power forecasting have rarely addressed the stealthiness and effectiveness of [...] Read more.
Deep learning (DL) techniques have significantly advanced wind power forecasting by enhancing accuracy. However, these DL models are vulnerable to adversarial attacks, which can lead to severely inaccurate forecasts. Existing studies in wind power forecasting have rarely addressed the stealthiness and effectiveness of adversarial attacks simultaneously, nor have they investigated defense strategies against multiple perturbation strengths or in black-box scenarios. To this end, we propose an attack algorithm for wind power forecasting, i.e., the momentum iterative fast gradient sign method (MI-FGSM). This algorithm generates adversarial samples by incorporating momentum into the iterative process and adding perturbations to the input samples along the gradient direction. To defend against such attacks under varying perturbation strengths, a defense model called multi-level iterative denoising autoencoder (MLI-DAE) is proposed. MLI-DAE is trained using adversarial samples with multiple perturbation levels to effectively restore attacked inputs to their clean forms. Experimental results under both white-box and black-box scenarios demonstrate that MI-FGSM induces significantly larger forecast errors with smaller perturbation magnitudes compared to FGSM. Furthermore, our proposed MLI-DAE effectively defends against multi-level perturbations without compromising the original forecast accuracy. Full article
(This article belongs to the Section Internet of Things)
Show Figures

Figure 1

17 pages, 980 KB  
Article
Intelligent Agents for Sustainable Maritime Logistics: Architectures, Applications, and the Path to Robust Autonomy
by Marko Rosić, Dean Sumić and Lada Maleš
Sustainability 2026, 18(7), 3231; https://doi.org/10.3390/su18073231 - 26 Mar 2026
Viewed by 259
Abstract
The maritime industry is under increased challenges of balancing operational effectiveness and environmental responsibility. This study examines the application of intelligent agents as a technology that can align these two goals in the triple-bottom-line model that involves social responsibility, environmental footprint, and economic [...] Read more.
The maritime industry is under increased challenges of balancing operational effectiveness and environmental responsibility. This study examines the application of intelligent agents as a technology that can align these two goals in the triple-bottom-line model that involves social responsibility, environmental footprint, and economic sustainability. An agent architecture taxonomy is outlined and adapted to the maritime industry, distinguishing between reactive, deliberative, hybrid, and multi-agent systems (MAS). The application of these architectures is analysed throughout the maritime domain. In the ship-centric environment, the analysis highlights the role of agents in autonomous navigation, energy-efficient meteorological routing, and predictive maintenance. The analysis in the port and supply-chain domain demonstrates a shift towards decentralized asset orchestration and logistic coordination rather than centralized control. The paper outlines certain barriers to widespread adoption, namely the reality gap of simulation-based training and the lack of transparency in deep-learning models (“black box” problem). The paper concludes by outlining a future research agenda proposing a use of explainable artificial intelligence (XAI), high-fidelity simulation-to-real transfer, and communication protocol standardization to continue the trend of developing strong autonomous capabilities in sustainable maritime logistics. Full article
(This article belongs to the Special Issue Sustainable Management of Shipping, Ports and Logistics)
Show Figures

Figure 1

Back to TopTop