Due to scheduled maintenance work on our servers, there may be short service disruptions on this website between 11:00 and 12:00 CEST on March 28th.
Sign in to use this feature.

Years

Between: -

Subjects

remove_circle_outline
remove_circle_outline
remove_circle_outline
remove_circle_outline
remove_circle_outline
remove_circle_outline
remove_circle_outline
remove_circle_outline
remove_circle_outline

Journals

remove_circle_outline
remove_circle_outline
remove_circle_outline
remove_circle_outline
remove_circle_outline
remove_circle_outline

Article Types

Countries / Regions

remove_circle_outline
remove_circle_outline
remove_circle_outline
remove_circle_outline
remove_circle_outline

Search Results (815)

Search Parameters:
Keywords = biogeochemical processes

Order results
Result details
Results per page
Select all
Export citation of selected articles as:
17 pages, 1577 KB  
Article
Biogeochemical Processes Including Oxygen Dynamics in a Deep Lake During the Spring Thermal Bar: A Numerical Experiment
by Bair Tsydenov, Andrey Bart, Dmitriy Degi, Nikita Trunov and Vladislava Churuksaeva
Environments 2026, 13(4), 178; https://doi.org/10.3390/environments13040178 - 24 Mar 2026
Viewed by 57
Abstract
Biogeochemical processes, including the oxygen cycle, were investigated in Lake Baikal during the spring thermal bar using a coupled numerical model that takes into account the intraday variability of atmospheric parameters and contains the following variables: nitrate, ammonium, phosphate, oxygen, chlorophyll a, phytoplankton, [...] Read more.
Biogeochemical processes, including the oxygen cycle, were investigated in Lake Baikal during the spring thermal bar using a coupled numerical model that takes into account the intraday variability of atmospheric parameters and contains the following variables: nitrate, ammonium, phosphate, oxygen, chlorophyll a, phytoplankton, zooplankton, and small and large detritus. Nitrification, photosynthesis, remineralization, and respiration processes describe the biochemical dynamics of oxygen in the model. As a study area, the deep-water cross-section of Lake Baikal, Boldakov River–Maloye More Strait, was considered using meteorological data for June 2024 at the lake surface. Numerical results show that the thermal bar can contribute to the transport of dissolved oxygen and phyto- and zooplankton to the deeper layers of the lake. Full article
Show Figures

Figure 1

38 pages, 12189 KB  
Article
Insights into Elemental Migration-Enrichment Patterns and Microbial Communities in Tea Rhizosphere Soils Under Contrasting Lithological Backgrounds
by Ruyan Li, He Chang, Ping Pan, Lili Zhao, Yinxian Song, Yunhua Hou, Haowei Bian, Jiayi Gan, Shuai Li, Jibang Chen, Mengli Xie, Kun Long, Wei Zhang and Weikang Yang
Minerals 2026, 16(3), 333; https://doi.org/10.3390/min16030333 - 21 Mar 2026
Viewed by 236
Abstract
Elemental migration and enrichment are important processes influencing tea plant growth and the assembly of rhizosphere bacterial communities within the rock–soil–plant continuum. This study explores how soil parent materials (granite, quartz schist, and sericite schist) are potentially associated with these processes and their [...] Read more.
Elemental migration and enrichment are important processes influencing tea plant growth and the assembly of rhizosphere bacterial communities within the rock–soil–plant continuum. This study explores how soil parent materials (granite, quartz schist, and sericite schist) are potentially associated with these processes and their observed associations with the elemental composition of tea leaves. Exploratory statistical analyses revealed distinct, lithology-specific biogeochemical patterns that serve as a foundation for hypothesis generation. In granite soils, chlorite correlated with the mobility of Cr, Pb, Cu, Ni, Mg, and Na, coinciding with shifts in the relative abundances of Verrucomicrobia, Armatimonadetes, and Chloroflexi. In quartz schist, kaolinite exhibited notable correlations with the dynamics of Pb, Cr, Ni, Zn, and As, which were statistically linked to Planctomycetes, Proteobacteria, and Acidobacteria. Complex mineral–microbe interactions were observed in sericite schist soils, where clay minerals (e.g., chlorite, illite) were closely associated with the migration of multiple elements (Pb, K, Ca, Cd, As, Al, Fe, Zn), paralleling structural variations in communities of Actinobacteria, Planctomycetes, Chloroflexi, and Proteobacteria. Potassium (K), calcium (Ca), and manganese (Mn) showed bioaccumulation tendencies in tea leaves across all lithologies, with an enrichment capacity order of Ca > K > Mn > Mg > Na > Al. Exploratory Classification and Regression Tree (CART) analysis suggested that the migration of K, Ca, Cu, Zn, and Hg corresponded most closely with their soil concentrations. Manganese (Mn) exhibited a mineral-associated trend, with kaolinite content as a potential correlate, while cadmium (Cd) migration was statistically linked to the relative abundance of Armatimonadetes. These findings highlight potential candidate relationships between mineralogy, microbes, and elemental mobility rather than confirming causal mechanisms, emphasizing the need for further validation in larger or experimental datasets. Full article
(This article belongs to the Section Environmental Mineralogy and Biogeochemistry)
Show Figures

Figure 1

15 pages, 640 KB  
Article
Bioturbation by the Ghost Shrimp Lepidophthalmus louisianensis Increases Petroleum Hydrocarbon Degradation for Coastal Sediments in Mildly Oiled Mesocosms
by Nihar R. Deb Adhikary, Paul L. Klerks and Andrei Y. Chistoserdov
Microorganisms 2026, 14(3), 695; https://doi.org/10.3390/microorganisms14030695 - 19 Mar 2026
Viewed by 186
Abstract
Bioturbating animals move around large amounts of sediment, changing its physicochemical properties and biogeochemical processes. The present study assessed the role of the ghost shrimp Lepidophthalmus louisianensis, a major coastal bioturbator in the Northern Gulf of Mexico, in the fate of crude [...] Read more.
Bioturbating animals move around large amounts of sediment, changing its physicochemical properties and biogeochemical processes. The present study assessed the role of the ghost shrimp Lepidophthalmus louisianensis, a major coastal bioturbator in the Northern Gulf of Mexico, in the fate of crude oil after the 2010 Deepwater Horizon blowout. Experiments were conducted in greenhouse mesocosms, with or without ghost shrimp and with or without added oil, reflecting mild surface or subsurface oiling in a beach environment. To evaluate the hydrocarbon-degradation potential of the sediment microbial community, a respirometric radiotracer assay was conducted with 14C naphthalene as a model polycyclic aromatic hydrocarbon (PAH) compound. Oil augmentation led to a substantial increase in the PAH degradation potential of mesocosm sediments, which was further enhanced by the presence of the bioturbator. However, bioturbation alone, without previous oil exposure, did not enhance naphthalene degradation. 16S rRNA gene analyses showed that there were no significant changes in the microbial community composition associated with either bioturbation, oil augmentation, or both. This study demonstrated bioturbation- and oil-exposure-related enhancement in hydrocarbon degradation in mildly oiled sediment, and indicated that this may be due to an increased expression of PAH degrading activities in the preexisting community of hydrocarbon-degrading bacteria rather than resulting from a shift in the microbial community composition. Full article
(This article belongs to the Section Environmental Microbiology)
Show Figures

Graphical abstract

15 pages, 2799 KB  
Review
Prospects for the Use of MICP Technology in the Remediation of Saline–Alkaline Soil Heavy Metal Pollution
by Haiyang Guo, Na Wang, Quan Ma, Junshen Wang and Xiaopeng Gao
Microorganisms 2026, 14(3), 681; https://doi.org/10.3390/microorganisms14030681 - 18 Mar 2026
Viewed by 194
Abstract
Soil salinization and heavy metal pollution represent significant global challenges to farmland sustainability and food security. Globally, over 800 million hectares of land are affected by salinity, with approximately 17% of cultivated land exhibiting concentrations of at least one heavy metal exceeding established [...] Read more.
Soil salinization and heavy metal pollution represent significant global challenges to farmland sustainability and food security. Globally, over 800 million hectares of land are affected by salinity, with approximately 17% of cultivated land exhibiting concentrations of at least one heavy metal exceeding established agricultural safety thresholds. Microbially Induced Calcium Carbonate Precipitation (MICP) is an innovative biogeochemical process that harnesses microbial metabolic activities to facilitate soil mineralization. The core mechanism involves ureolytic microorganisms hydrolyzing urea to produce carbonate ions (CO32−). These ions subsequently react with environmental calcium ions (Ca2+) to form insoluble calcium carbonate (CaCO3) precipitates. This review synthesizes recent research progress on the application of MICP technology for the remediation of heavy metal pollution. It elucidates the mechanistic pathways by which MICP immobilizes heavy metal ions and critically evaluates its potential application for ameliorating heavy metal contamination specifically within saline–alkaline soils. Key challenges impeding the broader practical deployment of MICP are analyzed, particularly concerning salt-alkali stress tolerance and the management of ammonia emissions during urea hydrolysis. Emerging strategies, such as the synergistic integration of MICP with biochar amendments, offer promising solutions. Biochar can provide a protective microenvironment for microbial consortia and potentially mitigate ammonia volatilization, thereby enhancing the overall efficacy and feasibility of this remediation approach for contaminated saline–alkaline lands. Full article
(This article belongs to the Section Environmental Microbiology)
Show Figures

Figure 1

18 pages, 1406 KB  
Article
Iron Pools, Microbial Communities, and Greenhouse Gas Production in Subaqueous Ecosystems: Implications for Biogeochemical Cycling
by Roberta Pastorelli, Alessandra Lagomarsino, Chiara Ferronato, Arturo Fabiani, Sara Del Duca, Stefano Mocali, Livia Vittori Antisari and Gilmo Vianello
Soil Syst. 2026, 10(3), 43; https://doi.org/10.3390/soilsystems10030043 - 17 Mar 2026
Viewed by 244
Abstract
In permanently submerged coastal wetlands, interactions between biogeochemical processes and microbial communities strongly influence greenhouse gas (GHG) fluxes. To improve our understanding of how redox-driven processes shape GHG dynamics in these ecosystems, we investigated the relationships among iron (Fe) pools, microbial dynamics, and [...] Read more.
In permanently submerged coastal wetlands, interactions between biogeochemical processes and microbial communities strongly influence greenhouse gas (GHG) fluxes. To improve our understanding of how redox-driven processes shape GHG dynamics in these ecosystems, we investigated the relationships among iron (Fe) pools, microbial dynamics, and the potential GHG production in subaqueous soils from an interdunal wetland in San Vitale Park (Italy), permanently submerged and affected by seasonal oscillations of the saline water table. Two subaqueous soil columns (WAS-2 and WAS-4), collected from similar settings, were analyzed. Surface layers of WAS-4 showed higher salinity and carbonate content, whereas WAS-2 was characterized by overall higher Fe concentrations. Distinct vertical distributions of organic matter and sulfur (S) were shown along depth. Laboratory incubations revealed that nitrous oxide (N2O) production was up to ten times higher in WAS-2 than in WAS-4, with peaks in the top 13–14 cm, consistent with more active nitrification-denitrification in surface layers. Methane (CH4) and carbon dioxide (CO2) fluxes decreased with depth, reflecting reduced availability of labile carbon. Methanomicrobiales dominated CH4-producing layers, indicating hydrogenotrophic methanogenesis, while amoA-carrying Nitrosomonadales and Thaumarchaeota, occurred in shallow, organic-rich layers where ammonia supported nitrification and denitrification. Denitrifiers mainly belonged to α- and β-Proteobacteria, consistent with their direct contribution to N2O peaks. Spearman’s correlations showed N2O positively correlated to sulfur and labile carbon (C), supporting denitrification under moderately reducing conditions. CH4 and CO2 positively correlated with organic C (Corg), total nitrogen (TN), and reactive Fe forms, reflecting redox-mediated microbial respiration and methanogenesis. Trace elements (B, Cr, Cu, Ni) acted as micronutrients or inhibitors depending on concentration. Canonical correspondence analysis indicated depth-structured links among gas fluxes, soil chemistry (Corg, TN, S/C, CaCO3, P), and microbial distributions: surface layers, rich in labile C and nutrients, supported active bacteria and archaea involved in decomposition, nitrification, and denitrification, whereas deeper layers hosted oligotrophic archaea adapted to inorganic substrates. Overall, Fe pools appeared to be associated with soil processes relevant to GHG dynamics, although the extent of their regulatory role remains uncertain due to potential alterations of redox-sensitive Fe fractions during sample handling. These results contribute to broader efforts to predict GHG emissions in submerged wetland soils by linking redox stratification, inorganic chemistry, and microbial functional groups. Full article
(This article belongs to the Special Issue Microbial Community Structure and Function in Soils)
Show Figures

Figure 1

21 pages, 3597 KB  
Article
Responses of Microbial Community Structure and Carbon, Nitrogen, and Sulfur Metabolic Potential in the Chishui River to Disturbances from the Characteristic Baijiu Industry
by Lan Zhang, Song Liu, Pinhua Xia, Hui Wang, Bi Chen, Chun Qing and Xianfei Huang
Water 2026, 18(6), 688; https://doi.org/10.3390/w18060688 - 15 Mar 2026
Viewed by 239
Abstract
Microbial community structure and its carbon, nitrogen, and sulfur metabolic potentials are playing crucial roles in biogeochemical cycles within river ecosystems. However, in karst terrain regions, the impact of the distinctive baijiu industry on these ecosystems remains incompletely understood. This study integrates hydrogeochemical [...] Read more.
Microbial community structure and its carbon, nitrogen, and sulfur metabolic potentials are playing crucial roles in biogeochemical cycles within river ecosystems. However, in karst terrain regions, the impact of the distinctive baijiu industry on these ecosystems remains incompletely understood. This study integrates hydrogeochemical and metagenomic techniques to elucidate how microbial communities and their metabolic potentials respond to the baijiu industry. The results indicate that microbial community richness was higher in the downstream section than in the upstream and core zones. Microbial network modularity decreased from 0.832 upstream to 0.439 downstream, indicating reduced network stability. The migration rate decreased from upstream to downstream, suggesting that species diffusion limitation was gradually enhanced. The NST index gradually decreased from upstream to downstream, reflecting a weakening of random processes and strengthening of deterministic processes within the community. We found significant enrichment of genes associated with dissimilatory nitrate reduction, sulfur oxidation, carbon fixation, and methanogenesis in the core zone, whereas the abundance of denitrification genes decreased. Environmental factor analysis revealed that pH, DO, and elevation are the key hydrochemical parameters driving changes in microbial community structure and metabolic functions. This study reveals the potential impact mechanisms of the baijiu industry on karst river ecosystems from the perspectives of microbial community ecology and metabolic functions, providing a scientific basis for watershed ecological conservation and sustainable management. Full article
(This article belongs to the Section Ecohydrology)
Show Figures

Figure 1

28 pages, 2244 KB  
Review
Micro-Scale Microbial Dynamics at the Soil–Water Interface: Biofilm Architecture, Non-Linear Response, and Emerging Methodological Frontiers
by Arnab Majumdar, Debojyoti Moulick, Archita Dey, Debadrita Das, Swetanjana Ghosh, Sharmistha Majumder, Urvashi Lama and Tarit Roychowdhury
Water 2026, 18(6), 658; https://doi.org/10.3390/w18060658 - 11 Mar 2026
Viewed by 758
Abstract
The soil–water interface (SWI) represents a critical biogeochemical hotspot where steep physicochemical gradients across millimetre-to micrometre-scales create diverse ecological niches controlling nutrient cycling, carbon stabilisation, and contaminant transformation. This review synthesises emerging understanding of micro-scale microbial dynamics, biofilm architecture, and functional processes shaping [...] Read more.
The soil–water interface (SWI) represents a critical biogeochemical hotspot where steep physicochemical gradients across millimetre-to micrometre-scales create diverse ecological niches controlling nutrient cycling, carbon stabilisation, and contaminant transformation. This review synthesises emerging understanding of micro-scale microbial dynamics, biofilm architecture, and functional processes shaping SWI ecosystems. We examine redox stratification driving microbial community assembly, biofilm-mediated nutrient trapping and soil aggregate stabilisation, and dynamic drivers including hydrological fluctuations, viral lysis, and differential transport at gas–water versus solid–water interfaces. Advanced methodologies, microsensor profiling, cryo-sectioning, spatially resolved metatranscriptomics, and non-destructive imaging, now enable unprecedented resolution of SWI microhabitat chemistry and microbial organisation. Horizontal gene transfer within interface biofilms accelerates adaptive responses to environmental stressors. Integration of micro-scale observations into ecosystem-level models remains challenging but essential for predicting soil carbon sequestration, contaminant fate, and microbial resilience under climate change. Strategic SWI management through biofilm engineering and controlled redox manipulation offers novel pathways for sustainable agriculture and bioremediation, though it requires careful balance of multiple ecosystem functions. Full article
Show Figures

Figure 1

13 pages, 3642 KB  
Article
Lacustrine Phosphorite in Late Cretaceous Nenjiang Formation of Songliao Basin and the Paleoenvironment Significance
by Jing Liu, Kunning Cui, Zhongye Shi, Jing Zhao, Dangpeng Xi and Xiaoqiao Wan
Minerals 2026, 16(3), 292; https://doi.org/10.3390/min16030292 - 10 Mar 2026
Viewed by 280
Abstract
Phosphorus is crucial for reconstructing long-term feedback mechanisms between climate, the environment and ecology, as well as for assessing global biogeochemical changes. This study documents two thin yet laterally continuous phosphorite beds from the lower Nenjiang Formation (Late Cretaceous) of the Songliao Basin [...] Read more.
Phosphorus is crucial for reconstructing long-term feedback mechanisms between climate, the environment and ecology, as well as for assessing global biogeochemical changes. This study documents two thin yet laterally continuous phosphorite beds from the lower Nenjiang Formation (Late Cretaceous) of the Songliao Basin in NE China and evaluates their mineralogical characteristics and paleoenvironmental significance. The phosphorite beds occur in sharp contact with adjacent black shale and contain well-preserved Ostracoda and conchostracan fossils, providing biological constraints on the depositional conditions. Bulk rock compositions indicate elevated P2O5 contents, ranging from approximately 20 to 30 wt%. Mineralogical analyses reveal that the dominant phosphate mineral is carbonate-fluorapatite (CFA), accompanied by minor quartz, hydromica, goethite and pyrrhotite. Integrated fossil, sedimentological, and geochemical evidence suggests that CFA precipitated in a deep, stratified, eutrophic lacustrine environment. Enhanced productivity, biological enrichment and microbial decomposition of organic matter likely promoted phosphorus enrichment in bottom waters, facilitating CFA precipitation at or near the sediment-water interface during deposition and early diagenesis. Variations in physicochemical conditions, including pH and Ca2+ concentrations, may have further influenced mineral precipitation and subsequent diagenetic processes. These findings contribute to our understanding of phosphorus precipitation mechanisms in lacustrine basins and provide new constraints on the Late Cretaceous paleoenvironment of the Songliao Basin. Full article
(This article belongs to the Special Issue Formation and Characteristics of Sediment-Hosted Ore Deposits)
Show Figures

Figure 1

25 pages, 4266 KB  
Review
Mechanisms, Processes, and Climate Change Responses of Carbon Cycling in Chinese Subtropical Forest Ecosystems
by Jie Yang, Yirui Xu, Yitian Chai, Xuekun Cheng, Huawei Wu, Jiaxi He, Yixin Wu, Zhiwei Chen, Zelong Ni and Yongjun Shi
Forests 2026, 17(3), 330; https://doi.org/10.3390/f17030330 - 6 Mar 2026
Viewed by 225
Abstract
Subtropical forest ecosystems, especially evergreen broad-leaved forests in the East Asian monsoon region, are a crucial component of the global terrestrial carbon cycle and make a key contribution to the “missing carbon sequestration” in the Northern Hemisphere. This review systematically integrates recent research [...] Read more.
Subtropical forest ecosystems, especially evergreen broad-leaved forests in the East Asian monsoon region, are a crucial component of the global terrestrial carbon cycle and make a key contribution to the “missing carbon sequestration” in the Northern Hemisphere. This review systematically integrates recent research progress on the carbon pool patterns, aboveground-subsurface biogeochemical processes, and global change responses of subtropical forests, summarizing the potential mechanisms of their sustainable carbon sequestration capacity and identifying current cognitive bottlenecks. Studies have shown that subtropical mature forests have carbon sequestration potential that exceeds traditional theoretical expectations, but there are still significant shortcomings in terms of carbon stability in deep soil (>1 m), quantitative constraints on rhizosphere activating effects, and assessment of ecosystem resilience under extreme climate events. Furthermore, the nonlinear interactions between factors such as climate warming, precipitation changes, and nitrogen deposition may trigger a critical turning point in carbon sink functions, and the water-carbon-geological coupling processes in special habitats such as karst and mangrove forests are often underestimated. We further propose that future research should focus on developing coupled models of “plant–soil–microbe hydrology”, combining molecular and isotopic techniques to elucidate microbial carbon pump mechanisms and strengthening long-term in situ experiments under combined extreme events to provide scientific support for subtropical forest carbon sink management and prediction. Full article
Show Figures

Figure 1

16 pages, 2593 KB  
Article
Using Hydrochemistry, Multi-Isotope, and MixSIAR Model to Analyze Nitrate Sources of Groundwater: A Case Study of the Yongning River Banks
by Zhaofei Yang, Yuesuo Yang, Yujuan Wen, Cuiping Gao, Changhong Zheng, Xueyan Teng and Yuhan La
Hydrology 2026, 13(3), 84; https://doi.org/10.3390/hydrology13030084 - 4 Mar 2026
Viewed by 292
Abstract
Groundwater nitrate (NO3) pollution, caused by anthropogenic activities, poses a global threat to water security. The mixing of multiple nitrate pollution sources and the associated biogeochemical reactions may create a complex chemical background, which renders traditional hydrochemical methods and single [...] Read more.
Groundwater nitrate (NO3) pollution, caused by anthropogenic activities, poses a global threat to water security. The mixing of multiple nitrate pollution sources and the associated biogeochemical reactions may create a complex chemical background, which renders traditional hydrochemical methods and single δ15N isotope analysis approaches limited in accurately identifying pollution sources and quantifying their contribution ratios. Accordingly, we adopted an integrated framework incorporating hydrochemistry, isotopes, and the MixSIAR model. Within this framework, results from different components mutually validate each other, helping to achieve more accurate source identification and contribution quantification. Results revealed severe nitrate contamination with striking spatial heterogeneity: concentrations were significantly higher in the eastern region (9.3–1890.7 mg·L−1, Mean: 472.8 mg·L−1) than in the western region (8.5–204.1 mg·L−1, Mean: 52.0 mg·L−1). Hydrochemical and δ18O-NO3 evidence identified nitrification as the dominant nitrogen transformation process. Critically, the MixSIAR model quantified drastically different source contributions between the two regions. In the eastern industrial zone, industrial wastewater was the predominant source (61.3%), followed by manure and sewage (18.5%). In contrast, in the western agricultural area, natural and agricultural sources dominated, with soil nitrogen contributing 43.9% and chemical fertilizer 31.7%. The findings pinpoint specific pollution drivers for each region, offering a robust scientific basis for formulating differentiated and effective nitrate pollution control strategies. Full article
Show Figures

Graphical abstract

22 pages, 3783 KB  
Article
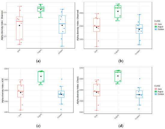
Seasonal Dynamics of Sediment Microbial Communities in Glacial Lakes
by Boyanka Angelova, Silvena Boteva, Ivan Traykov, Martin Tsvetkov and Anelia Kenarova
Water 2026, 18(5), 592; https://doi.org/10.3390/w18050592 - 28 Feb 2026
Viewed by 292
Abstract
High-altitude lakes are sensitive sentinels of climate change, and yet the microbial processes driving biogeochemical cycles under warming remain poorly understood. Seasonal dynamics of sediment microbial communities in four glacial lakes within the cirques of the Seven Rila Lakes (Rila Mountains, Bulgaria) were [...] Read more.
High-altitude lakes are sensitive sentinels of climate change, and yet the microbial processes driving biogeochemical cycles under warming remain poorly understood. Seasonal dynamics of sediment microbial communities in four glacial lakes within the cirques of the Seven Rila Lakes (Rila Mountains, Bulgaria) were investigated during June, August, and October 2024. Environmental monitoring showed pronounced seasonal variability with summer peaks in temperature, dissolved organic carbon and nitrogen, and increased inputs of labile organic matter. Multivariate analyses revealed strong seasonal structuring of microbial assemblages, with the largest shifts occurring between the early ice-free season and summer. Archaeal communities were dominated by Halobacteriota over time, whereas lake warming corresponded to a shift from early-season dominance of Actinomycetota and Bacillota to the summer prevalence of Pseudomonadota and Cyanobacteriota, as well as a proliferation of minor phyla Gemmatimonadota. At the genus level, summer enrichment of archaeal methanogen Methanosaeta and bacterial genera Paucibacter, Ca. Accumulibacter, Methylibium, Crenothrix, and Pseudanabaena was observed. Canonical correspondence analysis identified temperature and nutrient availability as the primary drivers of microbial community restructuring. Our results provide empirical evidence that warming and associated changes in organic matter inputs drive shifts in sediment microbial communities, with direct implications for carbon cycling and methane production. Additionally, the results highlight the sensitivity of high-altitude lakes to global warming and emphasize the critical role of microbial communities in modulating ecosystem responses to climate change. Full article
(This article belongs to the Special Issue Microbial Diversity in Freshwater Ecosystems)
Show Figures

Figure 1

15 pages, 2127 KB  
Article
Spatial Variation and Seasonal Dynamics of Leaf Stoichiometry in Vascular Epiphytes
by Tao Hu, Yanyu Ai, Yumei Yan, Tingting Zhang, Yi Jin, Zuobing Liang, Xin Xiong and Wenyao Liu
Forests 2026, 17(3), 306; https://doi.org/10.3390/f17030306 - 27 Feb 2026
Viewed by 246
Abstract
Understanding spatial and seasonal variations in leaf stoichiometry is essential for understanding plant nutrient-use strategies and their implications for ecosystem biogeochemical cycling. Although broad-scale stoichiometric patterns have been well documented for terrestrial plants, comparable evidence for vascular epiphytes remains limited. Here, we examined [...] Read more.
Understanding spatial and seasonal variations in leaf stoichiometry is essential for understanding plant nutrient-use strategies and their implications for ecosystem biogeochemical cycling. Although broad-scale stoichiometric patterns have been well documented for terrestrial plants, comparable evidence for vascular epiphytes remains limited. Here, we examined spatial and seasonal variation in leaf stoichiometry of vascular epiphytes by integrating field data from subtropical and tropical forests in southwestern China with a global literature synthesis. At the global scale, leaf nitrogen and phosphorus concentrations (LNC and LPC) of vascular epiphytes were significantly related to climate variables, whereas no clear latitudinal pattern was detected for leaf N:P ratios. At the regional scale, vascular epiphytes in the subtropical montane moist forest exhibited higher LNC and LPC and lower C:N and C:P ratios than those in the tropical seasonal rainforest. At the local scale, LPC of epiphytes was positively correlated with host LPC, whereas LNC showed a weak but statistically significant association with N availability in canopy soils. Seasonally, evergreen epiphytes exhibited higher leaf nutrient concentrations during the rainy season, and deciduous species showed significantly higher stem N, P, and K concentrations during the dry season, indicating contrasting seasonal nutrient-use strategies. Our results demonstrate that leaf stoichiometry of vascular epiphytes is jointly shaped by climate, canopy-level nutrient dynamics, and seasonal regulation, and differs fundamentally from patterns commonly observed in terrestrial plants. These findings highlight the importance of considering canopy-specific processes and fine-scale species turnover when assessing large-scale stoichiometric patterns and forest nutrient cycling. Full article
(This article belongs to the Section Forest Ecophysiology and Biology)
Show Figures

Figure 1

18 pages, 3032 KB  
Article
Physicochemical Controls on Depth-Dependent Nutrient Mobility in the Intertidal Flat of a Coastal Lagoon
by Abdoulkader Moussa Siddo and Katsuaki Komai
Environments 2026, 13(2), 117; https://doi.org/10.3390/environments13020117 - 18 Feb 2026
Viewed by 659
Abstract
In this study, we investigated how porewater salinity, temperature, ionic strength, and nutrient behavior vary with depth in the intertidal flats of Lake Komuke, a coastal lagoon in northern Japan. A central feature of this work is the use of nutrient activity and [...] Read more.
In this study, we investigated how porewater salinity, temperature, ionic strength, and nutrient behavior vary with depth in the intertidal flats of Lake Komuke, a coastal lagoon in northern Japan. A central feature of this work is the use of nutrient activity and activity coefficients—thermodynamic parameters that more directly represent ion mobility—rather than concentrations alone. Statistical analyses showed that salinity exhibited clear depth-dependent variation and was the primary factor associated with changes in nutrient behavior, whereas temperature showed minimal variation and no detectable effect. Physicochemical modeling using the Pitzer approach demonstrated that increases in salinity and ionic strength with depth led to reductions in the activity coefficients of NO3, NH4+, and PO43, with PO43 showing the greatest sensitivity due to its trivalent charge. Nutrient activities displayed contrasting vertical patterns: NO3 and NH4+ tended to increase with depth, whereas PO43 exhibited a peak at −20 cm followed by lower values at deeper, more saline layers. These results indicate that subsurface nutrient mobility in coastal tidal flats is shaped primarily by ionic strength-driven non-ideal behavior and associated geochemical gradients. The findings provide baseline information for understanding nutrient dynamics in brackish sediments and support the improved assessment of subsurface biogeochemical processes in intertidal ecosystems. Full article
Show Figures

Graphical abstract

12 pages, 2093 KB  
Article
Direct Laser-Induced Breakdown Spectroscopy Analysis of Estuarine Suspended Particulate Matter Collected on Filters
by Carlos Renato Menegatti, Mariany Sousa Cavalcante, Ricardo Schneider, Gustavo Pontes, Giorgio S. Senesi and Gustavo Nicolodelli
Molecules 2026, 31(4), 647; https://doi.org/10.3390/molecules31040647 - 13 Feb 2026
Viewed by 421
Abstract
Estuaries are dynamic environments that influence the transport of metals and nutrients from land to sea, with suspended particulate matter (SPM) serving as a key vehicle for them. Laser-Induced Breakdown Spectroscopy (LIBS) offers a rapid, versatile, and non-destructive approach for multi-element analysis of [...] Read more.
Estuaries are dynamic environments that influence the transport of metals and nutrients from land to sea, with suspended particulate matter (SPM) serving as a key vehicle for them. Laser-Induced Breakdown Spectroscopy (LIBS) offers a rapid, versatile, and non-destructive approach for multi-element analysis of SPM, allowing their direct measurement on collected filters without complex sample preparation. In this study, LIBS was applied to evaluate the spatio-temporal variability of major and trace elements (Si, Fe, Al, Ti, Na, Li, K, Rb, Ca, and Mg) along the Pacoti River estuary, Brazil, during rainy and dry seasons. Elemental patterns generally reflected the salinity gradient and tidal dynamics, highlighting element-specific behaviors with most elements showing inverse correlations with salinity, while Ca and Mg displayed positive correlations. These findings confirm the potential of LIBS as a powerful tool for environmental monitoring, providing rapid, high-throughput characterization of SPM and enabling an improved understanding of biogeochemical processes in estuarine systems. Full article
Show Figures

Figure 1

8 pages, 216 KB  
Editorial
Editorial: Hydrodynamics and Water Quality of Rivers and Lakes
by Gabriela Elena Dumitran, Liana Ioana Vuta, Elisabeta Cristina Timis and Minxue He
Hydrology 2026, 13(2), 70; https://doi.org/10.3390/hydrology13020070 - 12 Feb 2026
Viewed by 477
Abstract
The hydrodynamics and water quality of rivers and lakes are governed by complex interactions among flow, mixing, stratification, sediment transport, and biogeochemical processes (Ji, 2017) [...] Full article
(This article belongs to the Special Issue Hydrodynamics and Water Quality of Rivers and Lakes)
Back to TopTop