Sign in to use this feature.

Years

Between: -

Subjects

remove_circle_outline
remove_circle_outline
remove_circle_outline
remove_circle_outline
remove_circle_outline
remove_circle_outline
remove_circle_outline

Journals

Article Types

Countries / Regions

remove_circle_outline
remove_circle_outline
remove_circle_outline
remove_circle_outline
remove_circle_outline

Search Results (331)

Search Parameters:
Keywords = biceps femoris muscle

Order results
Result details
Results per page
Select all
Export citation of selected articles as:
23 pages, 4388 KB  
Article
Neuromuscular and Kinematic Strategies During Step-Up and Down-Forwards Task in Individuals with Knee Osteoarthritis
by Denise-Teodora Nistor, Maggie Brown and Mohammad Al-Amri
J. Clin. Med. 2026, 15(3), 1278; https://doi.org/10.3390/jcm15031278 - 5 Feb 2026
Abstract
Background/Objectives: Knee osteoarthritis (KOA) is associated with pain, functional decline, and altered biomechanics. The Step-Up and Down-Forwards (StUD-F) task provides an ecologically relevant assessment of challenging movements. This study investigated neuromuscular activation and lower-limb kinematics of leading and trailing-limbs during the StUD-F in [...] Read more.
Background/Objectives: Knee osteoarthritis (KOA) is associated with pain, functional decline, and altered biomechanics. The Step-Up and Down-Forwards (StUD-F) task provides an ecologically relevant assessment of challenging movements. This study investigated neuromuscular activation and lower-limb kinematics of leading and trailing-limbs during the StUD-F in individuals with KOA. Methods: Forty participants with KOA (65.3 ± 7.68 years; 21M/19F; BMI 28.9 ± 4.52 kg/m2) completed a 25 cm box StUD-F task. Surface electromyograph recorded bilateral activation of the vastus medialis (VM), vastus lateralis (VL), bicep femoris (BF), and semitendinosus (ST). Triplanar hip, knee, and ankle joint angles were estimated using inertial measurement units. StUD-F events (initial stance; step contact; ascent completion; descent preparation; step-down touchdown; and descent completion) were identified using custom algorithms. Pain was assessed using visual analogue scales and the Knee Injury and Osteoarthritis Outcome Score (KOOS). Limb differences were analysed for leading or trailing roles using paired samples t-tests or non-parametric equivalents; waveforms were visually inspected. Results: Distinct neuromuscular and kinematic asymmetries were observed when affected and contralateral limbs were compared within each role (leading/trailing). During step-up, the affected leading limb demonstrated higher quadriceps activation at initial stance (VM: p = 0.035; VL: p = 0.027) and reduced trailing-limb activation at step contact (VM: p = 0.015; VL: p = 0.018), with sagittal-plane ankle differences (p = 0.004). During step-down, when the affected limb initiated ascent, trailing limb activation was higher at descent completion (VL: p < 0.001; VM: p = 0.003; BF: p = 0.009), with coronal-plane hip deviations (p < 0.001). When the contralateral limb-initiated ascent, trailing-limb muscles activation differences (VM: p < 0.001; VL: p = 0.015; BF: p = 0.007) and ankle/coronal-plane asymmetries (p ≤ 0.049) persisted. Conclusions: The StUD-F task elicits altered strategies in KOA, including elevated quadriceps–hamstring co-activation and altered sagittal/coronal alignment, and habitual limb choice across ascent and descent. These adaptations may enhance stability and joint protection but could increase medial compartment loading. The findings support rehabilitation focused on dynamic control, alignment, and shock absorption. Full article
(This article belongs to the Topic New Advances in Musculoskeletal Disorders, 2nd Edition)
Show Figures

Figure 1

19 pages, 6412 KB  
Article
Sex-Specific Fatigue and Muscle Activation Responses During Single-Leg Side-Hop and Pelvic Stability Assessments Among Active Young Adults
by Emilija Stojanović, Oliver Faude, Alexander Ferrauti, Dragan Radovanović, Aaron T. Scanlan and Ralf Roth
Sports 2026, 14(2), 56; https://doi.org/10.3390/sports14020056 - 3 Feb 2026
Abstract
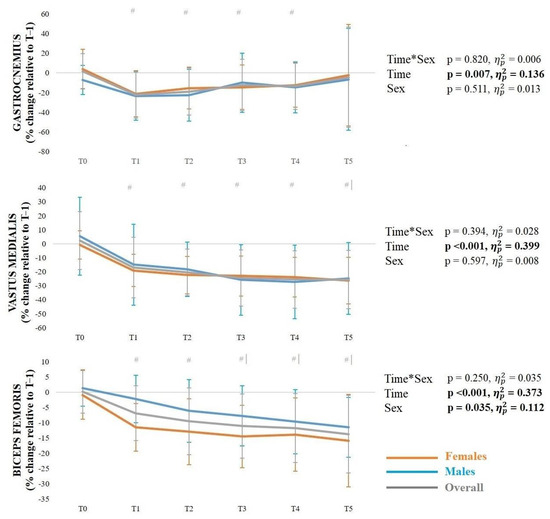
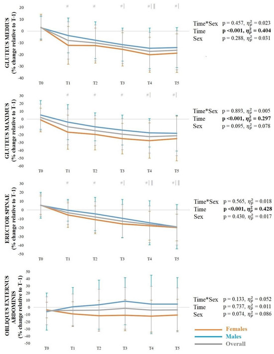
This study examined fatigue- (within-group) and sex-related (between-group) differences in physical performance and muscle activation during physical assessments. Physically active college students (20 males, 20 females) completed side-hop and pelvic stability tests after a warm-up (T-1) and mobilization exercises (T0) and then following [...] Read more.
This study examined fatigue- (within-group) and sex-related (between-group) differences in physical performance and muscle activation during physical assessments. Physically active college students (20 males, 20 females) completed side-hop and pelvic stability tests after a warm-up (T-1) and mobilization exercises (T0) and then following each with five 8 min runs at 70% of individualized peak velocity as the fatiguing protocol (T1–T5). No significant within-group performance differences were observed across tests (T0–T5). However, males completed more hops (p < 0.001) and had shorter ground contacts (p < 0.05) than females in the side-hop test with no significant sex-based stability differences. Electromyography data revealed reduced activation (p < 0.05) in various muscles (gastrocnemius, vastus medialis, biceps femoris, gluteus medius, gluteus maximus, erector spinae, obliquus abdominis) under fatigue (various timepoints between T1–T5) compared to baseline (T-1) across tests. Males displayed greater relative reductions in activation (p < 0.01) from pre-activation to ground contact in the gastrocnemius and biceps femoris during the side-hop test. Females exhibited reduced vastus medialis (p = 0.02) activation during the side-hop test and reduced biceps femoris (p = 0.04) activation during the pelvic stability test than males. Physical performance remained stable under fatigue, with sex-specific muscle recruitment strategies appearing as possible compensatory mechanisms. Full article
Show Figures

Figure 1

13 pages, 277 KB  
Article
Rearing Housing System as a Determinant of Chicken Muscle Morphology and Technological Meat Properties
by Jakub Vorel, Ondřej Krunt, Darina Chodová, Lucie Kruntová, Adriana Hofmanová and Lukáš Zita
Poultry 2026, 5(1), 10; https://doi.org/10.3390/poultry5010010 - 2 Feb 2026
Viewed by 91
Abstract
This study evaluated the effect of rearing conditions with outdoor access on carcass traits, technological meat quality, and muscle fibre morphology in broiler chickens. Hubbard JA757 broilers were reared until 81 days of age under either control or experimental conditions. Both groups were [...] Read more.
This study evaluated the effect of rearing conditions with outdoor access on carcass traits, technological meat quality, and muscle fibre morphology in broiler chickens. Hubbard JA757 broilers were reared until 81 days of age under either control or experimental conditions. Both groups were housed indoors under identical management until day 35; thereafter, the experimental group had access to an outdoor paddock, while the control group remained indoors. At 81 days of age, birds were slaughtered, carcass composition was recorded, and breast (pectoralis major) and thigh (biceps femoris) muscles were analyzed for pH, colour, cooking loss, and shear force. Muscle fibre characteristics were assessed histochemically. Control birds showed higher slaughter and chilled carcass weights, whereas experimentally reared birds exhibited higher carcass yield, lower breast proportion, higher thigh proportion, and reduced abdominal fat. Experimental rearing was associated with higher L* values, higher shear force, and lower cooking loss in both muscles. In the pectoralis major, fibre density was higher in controls, while fibre diameter was higher in the experimental group. In the biceps femoris, the experimental group showed a higher proportion of oxidative βR fibres and larger fibre cross-sectional areas. These results demonstrate that the rearing system influences carcass composition, technological meat properties, and muscle fibre characteristics, leading to distinct phenotypic and technological differences between the groups. Full article
17 pages, 642 KB  
Article
Short-Term Biceps Muscle Wasting Assessed by Serial Ultrasound as a Predictor of Survival Duration in Terminally Ill Cancer Patients: A Retrospective Cohort Study
by İrem Kıraç Utku, Nezahat Müge Çatıkkaş, Deniz Sevindik Günay, Ayfer Durak, Burcu Gülbağcı and Umut Safer
Medicina 2026, 62(2), 292; https://doi.org/10.3390/medicina62020292 - 1 Feb 2026
Viewed by 101
Abstract
Background and Objectives: Rapid physiological decline in terminal cancer is frequently accompanied by accelerated skeletal muscle loss. Although bedside ultrasonography (US) is practical and feasible in palliative care settings, the prognostic relevance of short-term muscle change remains unclear. This study aimed to evaluate [...] Read more.
Background and Objectives: Rapid physiological decline in terminal cancer is frequently accompanied by accelerated skeletal muscle loss. Although bedside ultrasonography (US) is practical and feasible in palliative care settings, the prognostic relevance of short-term muscle change remains unclear. This study aimed to evaluate whether the rate of muscle loss over a 10-day period, assessed by serial ultrasound, is associated with survival duration in terminally ill cancer patients. Materials and Methods: This single-center retrospective cohort study included 87 inpatients with end-stage cancer who underwent bedside ultrasound measurements of the biceps brachii (BB) and rectus femoris (RF). Baseline US was performed within the first three days of admission, followed by a repeat assessment 10 days after baseline (day-10 follow-up ultrasound). Muscle thickness (MT) measurements were normalized by height squared (m2), and 10-day changes were calculated as delta (Δ) indices, defined as baseline minus day-10 values. Because the exposure of interest (Δ) can only be determined after completion of the day-10 assessment, survival timing analyses were anchored to this prespecified landmark. Survival duration was defined as the number of days from the day-10 follow-up ultrasound to death among patients who died within one year. Associations between muscle changes and survival duration were evaluated using correlation analyses and multivariable linear regression adjusted for age, sex, body mass index, Eastern Cooperative Oncology Group (ECOG) performance status, and nutritional risk. The primary analyses focused on survival timing among decedents. Results: Significant muscle loss was observed over the 10-day interval between baseline and 10 days after baseline. Among the 58 patients who died within one year, greater short-term biceps muscle loss, reflected by higher Δ BB muscle thickness index (Δ BB MT-I), was moderately associated with shorter survival duration (r = −0.437, p = 0.0006). In multivariable linear regression analysis, Δ BB MT-I remained independently associated with survival duration (β = −701.19; 95% CI: −1102 to −301; p = 0.0006), whereas RF muscle changes and baseline clinical variables were not statistically significant. Conclusions: Short-term biceps muscle loss assessed by serial ultrasound, as reflected by Δ BB MT-I, is associated with shorter survival duration in terminally ill cancer patients. These findings suggest that dynamic muscle changes, rather than single-time-point measurements, may provide clinically meaningful insight into short-term survival timing. Serial bedside muscle ultrasound may serve as a low-burden adjunct for prognostic communication in palliative care, although prospective time-to-event studies are required for validation. Full article
(This article belongs to the Section Oncology)
Show Figures

Figure 1

10 pages, 1029 KB  
Article
The Acute Physiological Effects of Multiple Muscle Stimulation
by Rishabh Rege, Kristin M. Mendez, Riya Patel, Sydnie Keane and Kevin K. McCully
Muscles 2026, 5(1), 10; https://doi.org/10.3390/muscles5010010 - 30 Jan 2026
Viewed by 97
Abstract
Neuromuscular electrical stimulation (NMES) has been shown to provide health benefits similar to those of exercise. The aim of this study was to quantify the acute physiological effects of multiple muscle stimulation on the whole body and individual muscles. Nine healthy young adults [...] Read more.
Neuromuscular electrical stimulation (NMES) has been shown to provide health benefits similar to those of exercise. The aim of this study was to quantify the acute physiological effects of multiple muscle stimulation on the whole body and individual muscles. Nine healthy young adults were tested. NMES of eight muscle groups was performed with NMES stimulators. The vastus lateralis, biceps femoris, medial gastrocnemius, and tibialis anterior muscles of both legs were stimulated for ten minutes with twitch stimulations at the highest comfortable stimulation current. Whole-body metabolism was measured using a metabolic cart. A finger pulse oximeter and a tri-axial accelerometer were used to measure heart rate and muscle fatigue, respectively. Muscle metabolism (mVO2) was measured using near-infrared spectroscopy (NIRS) during short periods of ischemia. Femoral artery blood flow was measured using Doppler ultrasound. Whole-body VO2 and heart rate increased moderately by 36% and 22%, respectively, after 10 min of NMES. NMES increased mVO2 by 12-fold higher than resting on average, with the gastrocnemius having the smallest increase and the vastus lateralis having the greatest increase. Peak diastolic blood flow velocity was significantly reduced by 50% after 10 min of NMES. Simultaneous lower-body NMES moderately improved whole-body metabolism, muscle metabolism, and blood flow, increasing our understanding of the beneficial effects of NMES. Full article
Show Figures

Figure 1

16 pages, 582 KB  
Article
Soft Tissue Stiffness and Functional Knee Outcomes in Female Handball Players Following a Knee Injury: A Cross-Sectional Study
by Joanna Mencel, Alicja Noculak and Tomasz Sipko
J. Clin. Med. 2026, 15(2), 891; https://doi.org/10.3390/jcm15020891 - 22 Jan 2026
Viewed by 102
Abstract
Background/Objectives: The aim of our study was to evaluate the transverse stiffness of selected soft tissues in the knee joint region on the previously injured and uninjured sides of female handball players and non-athlete women, in the lying and standing positions, and [...] Read more.
Background/Objectives: The aim of our study was to evaluate the transverse stiffness of selected soft tissues in the knee joint region on the previously injured and uninjured sides of female handball players and non-athlete women, in the lying and standing positions, and to investigate the relationship between stiffness, age, sporting practice, and clinical assessments of the knees. Methods: A total of 25 young female handball players (the SPORT group) and 27 healthy non-athletic individuals (the CONTROL group) were examined. The MyotonPRO device was used to measure the stiffness of the patellar tendon (PT), rectus femoris (RF), and biceps femoris (BF) muscles on both sides and in both positions. The function of the knee joints was clinically assessed using the Knee Outcome Survey—Sports Activities Scale and the Lysholm Knee Scoring Scale. Results: ANOVA indicated a significant effect of group (p < 0.003) on the PT’s stiffness, and a significant effect of position (p < 0.0001) on the PT, RF, and BF muscle stiffness. The SPORT group demonstrated significantly higher PT transverse stiffness when lying down (p < 0.01), but not when sitting up (p > 0.05), compared to the CONTROL group. Significant negative correlations were found between PT stiffness and both clinical scales in the SPORT group (rho from −0.39 to −0.71, p < 0.05). Conclusions: In female handball players, only the patellar tendon transverse stiffness was higher than in the control group. While this higher stiffness could indicate an adaptive rebuilding process, it was negatively correlated with the clinical assessment of joint function, meaning poorer knee joint function. Full article
(This article belongs to the Section Sports Medicine)
Show Figures

Figure 1

18 pages, 1105 KB  
Article
Effects of NMES Combined with Water-Based Resistance Training on Muscle Coordination in Freestyle Kick Movement
by Yaohao Guo, Tingyan Gao and Jun Liu
Sensors 2026, 26(2), 673; https://doi.org/10.3390/s26020673 - 20 Jan 2026
Viewed by 207
Abstract
Background: This study aimed to explore the effects of neuromuscular electrical stimulation (NMES) combined with water-based resistance training on muscle activation and coordination during freestyle kicking. Methods: Thirty National Level male freestyle swimmers were randomly assigned to an experimental group (NMES + water-based [...] Read more.
Background: This study aimed to explore the effects of neuromuscular electrical stimulation (NMES) combined with water-based resistance training on muscle activation and coordination during freestyle kicking. Methods: Thirty National Level male freestyle swimmers were randomly assigned to an experimental group (NMES + water-based training) or a control group (water-based training only) for a 12-week intervention. The experimental group received NMES pretreatment before each session. Underwater surface electromyography (sEMG) synchronized with high-speed video was used to collect muscle activation data and corresponding kinematic information during the freestyle kick. The sEMG signals were then processed using time-domain analysis, including integrated electromyography (iEMG), which reflects the cumulative electrical activity of muscles, and root mean square amplitude (RMS), which indicates the intensity of muscle activation. Non-negative matrix factorization (NMF) was further applied to extract and characterize muscle synergy patterns. Results: The experimental group showed significantly higher iEMG and RMS values in key muscles during both kicking phases. Within the core propulsion synergy, muscle weighting of vastus medialis and biceps femoris increased significantly, while activation duration of the postural adjustment synergy was shortened. The number of synergies showed no significant difference. Conclusions: NMES combined with water-based resistance training enhances muscle activation and optimizes neuromuscular coordination strategies, offering a novel approach to improving sport-specific performance. Full article
Show Figures

Figure 1

18 pages, 1030 KB  
Article
Effects of NMES Combined with Resistance Training Using Underwater Surface EMG Sensors on Neuromuscular Activation of Breaststroke Technique in Breaststroke Athletes: Analysis of Non-Negative Matrix Muscle Synergy
by Yaohao Guo, Tingyan Gao and Bin Kong
Sensors 2026, 26(2), 671; https://doi.org/10.3390/s26020671 - 20 Jan 2026
Viewed by 272
Abstract
Background: Neuromuscular electrical stimulation (NMES) is an effective exogenous neuromuscular activation method widely used in sports training and rehabilitation. However, existing research primarily focuses on land-based sports or single-joint movements, with limited in-depth exploration of its intervention effects and underlying neuromuscular control mechanisms [...] Read more.
Background: Neuromuscular electrical stimulation (NMES) is an effective exogenous neuromuscular activation method widely used in sports training and rehabilitation. However, existing research primarily focuses on land-based sports or single-joint movements, with limited in-depth exploration of its intervention effects and underlying neuromuscular control mechanisms for complex, multi-joint coordinated aquatic activities like breaststroke swimming. This study aimed to investigate the effects of NMES combined with traditional resistance training on neuromuscular function during sport-specific technical movements in breaststroke athletes. Methods: A randomized controlled trial was conducted with 30 national-level or above breaststroke athletes assigned to either an experimental group (NMES combined with traditional squat resistance training) or a control group (traditional squat resistance training only) for an 8-week intervention. A specialized fully waterproof wireless electromyography (EMG) sensor system (Mini Wave Infinity Waterproof) was used to synchronously collect surface EMG signals from 10 lower limb and trunk muscles during actual swimming, combined with high-speed video for movement phase segmentation. Changes in lower limb explosive power were assessed using a force plate. Non-negative matrix factorization (NMF) muscle synergy analysis was employed to compare changes in muscle activation levels (iEMG, RMS) and synergy patterns (spatial structure, temporal activation coefficients) across different phases of the breaststroke kick before and after the intervention. Results: Compared to the control group, the experimental group demonstrated significantly greater improvements in single-leg jump height (Δ = 0.06 m vs. 0.03 m) and double-leg jump height (Δ = 0.07 m vs. 0.03 m). Time-domain EMG analysis revealed that the experimental group showed more significant increases in iEMG values for the adductor longus, adductor magnus, and gastrocnemius lateralis during the leg-retraction and leg-flipping phases (p < 0.05). During the pedal-clamp phase, the experimental group exhibited significantly reduced activation of the tibialis anterior alongside enhanced activation of the gastrocnemius. Muscle synergy analysis indicated that post-intervention, the experimental group showed a significant increase in the weighting of the vastus medialis and biceps femoris within synergy module 4 (SYN4, related to propulsion and posture) (p < 0.05), a significant increase in rectus abdominis weighting within synergy module 3 (SYN3, p = 0.033), and a significant shortening of the activation duration of synergy module 2 (SYN2, p = 0.007). Conclusions: NMES combined with traditional resistance training significantly enhances land-based explosive power in breaststroke athletes and specifically optimizes neuromuscular control strategies during the underwater breaststroke kick. This optimization is characterized by improved activation efficiency of key muscle groups, more economical coordination of antagonist muscles, and adaptive remodeling of inter-muscle synergy patterns in specific movement phases. This study provides novel evidence supporting the application of NMES in swimming-specific strength training, spanning from macroscopic performance to microscopic neural control. Full article
(This article belongs to the Special Issue Wearable and Portable Devices for Endurance Sports)
Show Figures

Figure 1

19 pages, 3570 KB  
Article
Differences in Muscle Inter-Phasic Coherence During Side Kick Techniques Among Male Sanda Athletes of Different Skill Levels Based on Sensor Analysis: A Cross-Sectional Study
by Liang Li, Tianxing Liu and Guixian Wang
Sensors 2026, 26(2), 646; https://doi.org/10.3390/s26020646 - 18 Jan 2026
Viewed by 234
Abstract
Objective: to clarify differences in the intermuscular coherence of core muscles during side kicks among male Sanda athletes at varying skill levels, particularly in critical frequency bands; to reveal the association between neuromuscular coordination mechanisms and technical proficiency; and to provide methodological references [...] Read more.
Objective: to clarify differences in the intermuscular coherence of core muscles during side kicks among male Sanda athletes at varying skill levels, particularly in critical frequency bands; to reveal the association between neuromuscular coordination mechanisms and technical proficiency; and to provide methodological references for quantitative analysis of combat sports techniques. Methods: Thirty-six male Sanda athletes were divided into professional (n = 18) and amateur (n = 18) groups based on athletic ranking and training duration. Surface electromyographic (EMG) signals from 15 core muscles and kinematic data were synchronously recorded using a wireless EMG system and a high-speed camera. Signal processing extracted root mean square amplitude (RMS) and integral EMG (iEMG). Muscle coordination was quantified via time-frequency coherence analysis across alpha (8–15 Hz), beta (15–30 Hz), and gamma (30–50 Hz) bands. Results: The professional group exhibited significantly higher RMS and iEMG values in most core muscles (e.g., rectus femoris RMS: 0.298 ± 0.072 vs. 0.214 ± 0.077 mV, p < 0.001). Regarding intermuscular coherence, the professional group demonstrated significantly superior coherence in the α, β, and γ bands for key muscle pairs, including upper limb–swing leg, support leg–swing leg, and upper limb–support leg. Notable differences were observed in pairs such as external oblique–rectus femoris (alpha band: 0.039 ± 0.012 vs. 0.032 ± 0.011, p < 0.01) and right rectus femoris–biceps femoris (beta band: 0.033 ± 0.010 vs. 0.023 ± 0.007, p < 0.01). Conclusions: The fundamental difference in side kick technique among Sanda athletes lies in neuromuscular control strategies and muscle coordination efficiency. Sensor-based intermuscular coherence analysis provides an objective quantitative indicator for distinguishing technical proficiency, offering a scientific basis for optimizing training and extending the methodological framework for technique assessment in combat sports. Full article
(This article belongs to the Special Issue Sensor Techniques and Methods for Sports Science: 2nd Edition)
Show Figures

Figure 1

15 pages, 2460 KB  
Article
Exercise-Induced Meat Quality Improvement Is Associated with an lncRNA-miRNA-mRNA Network in Tibetan Sheep
by Pengfei Zhao, Zhiyong Jiang, Xin He, Ting Tian, Fang He and Xiong Ma
Biology 2026, 15(2), 158; https://doi.org/10.3390/biology15020158 - 16 Jan 2026
Viewed by 170
Abstract
Tibetan sheep, a unique breed indigenous to the Qinghai–Tibet Plateau, exhibit remarkable adaptations to high-altitude hypoxia, and their muscle quality is a key economic determinant. However, the molecular mechanisms by which exercise regulates meat quality in this breed remain poorly understood. This study [...] Read more.
Tibetan sheep, a unique breed indigenous to the Qinghai–Tibet Plateau, exhibit remarkable adaptations to high-altitude hypoxia, and their muscle quality is a key economic determinant. However, the molecular mechanisms by which exercise regulates meat quality in this breed remain poorly understood. This study aimed to systematically investigate the effects of different exercise volumes on the biceps femoris muscle of Tibetan sheep, integrating histological analysis with high-throughput transcriptome sequencing. We compared a low-exercise group with a high-exercise group and found that long-term endurance exercise resulted in phenotypic changes suggestive of a shift toward oxidative muscle fiber characteristics. This adaptation was characterized by significantly reduced muscle fiber diameter and cross-sectional area, alongside a crucial increase in intramuscular fat content, collectively enhancing meat tenderness, flavor, and juiciness. Transcriptomic analysis revealed extensive gene expression reprogramming, identifying 208 mRNAs and 490 lncRNAs that were differentially expressed and primarily associated with muscle fiber transition and energy metabolism. Furthermore, we constructed a putative lncRNA-miRNA-mRNA competing endogenous RNA network based on expression correlations and bioinformatic predictions, highlighting potential key regulatory axes such as LOC105603384/miR-16-z/MYLK3, LOC121820630/miR-381-y/NOX4, and LOC132659150/oar-miR-329a-3p/NF1. These findings provide a new perspective on the molecular basis of exercise-induced muscle adaptation in high-altitude animals and offer a solid theoretical framework for improving meat quality through scientific livestock management. Full article
(This article belongs to the Special Issue Non-Coding RNA Research and Functional Insights)
Show Figures

Figure 1

16 pages, 1497 KB  
Article
Variation of Lower-Limb Muscle Activation Asymmetry in Step Incremental and Constant-Power Pedaling Exercise
by Seyed Hamidreza Heidary, Reza Ahmadi, Shahram Rasoulian, Samira Fazeli Veisari, David Auslander, Saied Jalal Aboodarda and Amin Komeili
Sensors 2026, 26(2), 587; https://doi.org/10.3390/s26020587 - 15 Jan 2026
Viewed by 297
Abstract
Asymmetry, defined as unequal neuromuscular activation or mechanical performance between contralateral limbs, plays a critical role in cycling efficiency and injury risk. While kinematic and kinetic measures are commonly used to assess asymmetry, surface electromyography (EMG) signals offer an additional perspective on neuromuscular [...] Read more.
Asymmetry, defined as unequal neuromuscular activation or mechanical performance between contralateral limbs, plays a critical role in cycling efficiency and injury risk. While kinematic and kinetic measures are commonly used to assess asymmetry, surface electromyography (EMG) signals offer an additional perspective on neuromuscular asymmetry. This study evaluated muscle activation asymmetry during cycling using the Normalized Symmetry Index (NSI), a metric that quantifies differences in kinematics and kinetics between limbs, where higher values indicate greater asymmetry. NSI was calculated from EMG recordings of seven lower-limb muscles under two test conditions: step incremental and constant-power cycling to task failure. Twenty recreationally active participants performed both tests on a stationary ergometer while EMG data were collected bilaterally. Step incremental cycling resulted in a significant reduction in NSI for key muscles in the quadriceps group: vastus medialis (from 44% to 21%, p < 0.001), vastus lateralis (from 45% to 22%, p = 0.002), rectus femoris (from 54% to 24%, p < 0.001), and biceps femoris (from 52% to 29%, p = 0.003). No significant changes were observed for the tibialis anterior, soleus, or gastrocnemius medialis. In contrast, under constant-power conditions, NSI values remained unchanged over time for all muscles (all p > 0.05), with average NSI values ranging from 12% to 30%, indicating consistent bilateral activation. These findings highlight the sensitivity of surface EMG in detecting workload-dependent changes in muscle activation asymmetry and suggest that higher cycling intensities, compared to lower ones, may promote more balanced engagement of primary cycling muscles. Full article
(This article belongs to the Collection Sensor Technology for Sports Science)
Show Figures

Graphical abstract

15 pages, 1856 KB  
Article
EMG-Based Muscle Synergy Analysis: Leg Dominance Effects During One-Leg Stance on Stable and Unstable Surfaces
by Arunee Promsri
Signals 2026, 7(1), 5; https://doi.org/10.3390/signals7010005 - 9 Jan 2026
Viewed by 260
Abstract
Leg dominance has been linked to an increased risk of lower-limb injuries in sports. This study examined bilateral asymmetry in muscle synergy patterns during one-leg stance on stable and multiaxial unstable surfaces. Twenty-five active young adults (25.6 ± 3.9 years) performed unipedal stance [...] Read more.
Leg dominance has been linked to an increased risk of lower-limb injuries in sports. This study examined bilateral asymmetry in muscle synergy patterns during one-leg stance on stable and multiaxial unstable surfaces. Twenty-five active young adults (25.6 ± 3.9 years) performed unipedal stance tasks on their dominant and non-dominant legs while surface electromyography (EMG) was recorded from seven lower-limb muscles per leg. Muscle synergies were extracted using non-negative matrix factorization (NMF), and structural similarity was assessed via cosine similarity with the Hungarian matching algorithm. Four consistent synergies were identified under both surface conditions, accounting for 88% of the total variance. On the stable surface, significant asymmetry in muscle weightings was observed in the rectus femoris (p = 0.030) for Synergy 1 and in the rectus femoris (p = 0.042), tibialis anterior (p = 0.024), peroneus longus (p = 0.023), and soleus (p = 0.006) for Synergy 2. On the unstable surface, asymmetry was evident in the biceps femoris (p = 0.048) for Synergy 2 and the rectus femoris (p = 0.045) for Synergy 3. Overall, dominance-related asymmetry was more pronounced under stable conditions and became more subtle as postural demand increased, revealing bilateral asymmetry in neuromuscular coordination during unipedal stance. Full article
Show Figures

Figure 1

15 pages, 2339 KB  
Article
Characterization of RNA Editing in Oxidative and Glycolytic Skeletal Muscles of Yak
by Yilin Shi, Xuemei Wu, Chunnian Liang, Xian Guo, Xiaoming Ma, Ping Yan, Min Chu and Xiaoyun Wu
Biology 2026, 15(1), 97; https://doi.org/10.3390/biology15010097 - 2 Jan 2026
Viewed by 535
Abstract
Fast-twitch and slow-twitch muscle fibers not only differ in metabolic characteristics and physiological functions but also significantly influence the texture of livestock meat. RNA editing represents an important post-transcriptional regulatory process that can influence both gene expression and the resulting protein function. However, [...] Read more.
Fast-twitch and slow-twitch muscle fibers not only differ in metabolic characteristics and physiological functions but also significantly influence the texture of livestock meat. RNA editing represents an important post-transcriptional regulatory process that can influence both gene expression and the resulting protein function. However, studies on RNA editing events in yak muscle remain limited. This study systematically identified RNA editing events in yak biceps femoris (BF, n = 3) and obliquus externus abdominis (OEA, n = 3) using transcriptomic data, discovering 17,713 unique editing sites, most located in non-coding regions. Within coding regions, 3350 sites were detected, with 1195 resulting in non-synonymous amino acid substitutions. Further analysis revealed that 785 sites potentially affected miRNA binding sites, suggesting RNA editing may participate in miRNA-mediated gene regulation. Tukey’s post hoc test (p < 0.05) identified 242 sites (involving 170 genes) with significantly different editing levels between BF and OEA. KEGG pathway analysis indicated that genes with differential RNA editing were predominantly associated with pathways involved in muscle fiber type transitions, including the MAPK and calcium signaling pathways. Collectively, this study maps the RNA editing landscape in yak muscle tissue and identifies distinct, fiber-type-specific RNA editing patterns between oxidative and glycolytic muscle fibers, including differences in editing levels and site distributions, supporting a potential association between RNA editing and muscle fiber type transformation. Full article
(This article belongs to the Special Issue Nutritional Physiology of Animals)
Show Figures

Figure 1

14 pages, 703 KB  
Article
Muscle Hypertrophy, Strength, and Salivary Hormone Changes Following 9 Weeks of High- or Low-Load Resistance Training
by Marissa L. Bello, Shawn M. Arent, Zachary M. Gillen and JohnEric W. Smith
J. Funct. Morphol. Kinesiol. 2026, 11(1), 17; https://doi.org/10.3390/jfmk11010017 - 30 Dec 2025
Viewed by 1501
Abstract
Background: Resistance training has recently focused more on a high- vs. low-load training approach, suggesting heavier loads optimize strength adaptations through maximal recruitment of motor units, whereas lower loads stimulate a greater hypertrophy response. The purpose of this investigation was to examine and [...] Read more.
Background: Resistance training has recently focused more on a high- vs. low-load training approach, suggesting heavier loads optimize strength adaptations through maximal recruitment of motor units, whereas lower loads stimulate a greater hypertrophy response. The purpose of this investigation was to examine and determine significant differences in muscle thickness, strength, and hormonal markers over nine weeks of high- or low-load resistance training. Methods: Seventeen recreationally-trained males were recruited for this study (Mage = 20.4 ± 2.7 years). Participants were split into training with high-loads (85% 1-RM; n = 8) or low-loads (30% 1-RM; n = 9) completing 3 whole-body training sessions per week for 9 weeks. Each session included three working sets per exercise of repetitions to failure. Measures were collected at baseline and every three weeks after of muscle thickness (biceps brachii, triceps brachii, pectoral major, rectus femoris, and biceps femoris) and salivary hormones (basal and acute post-exercise testosterone and cortisol). RM-ANOVAs were conducted to analyze changes in hypertrophy and the hormones, with significance set at p < 0.05. Results: Muscle thickness increased significantly over time for all sites (p < 0.05), with no significant group × time interactions except for the triceps brachii (p = 0.04). There were no significant changes in basal hormone levels or changes from basal to immediately post exercise (p > 0.059). The high-load group showed greater increases in 1-RM following the training program. Conclusions: Our results demonstrate similar hypertrophy regardless of training volume and training load, but greater increases in strength in the high-load group. Hormonal data revealed no significant changes in basal cortisol and testosterone, suggesting similar stress and recovery. While nonsignificant for differences pre-post in either marker, the pattern of a slight decrease in testosterone may be an effect of receptor uptake, and additional monitoring over a longer time interval should be used to track the changes over a full recovery window. Full article
(This article belongs to the Special Issue Advances in Physiology of Training—2nd Edition)
Show Figures

Figure 1

14 pages, 392 KB  
Article
Relaxed Stiffness of Lower Extremity Muscles and Step Width Variability as Key Differences Between Sarcopenia and Dynapenia in Community-Dwelling Older Adults: A Cross-Sectional Study
by Jiseul Park and Youngsook Bae
Life 2026, 16(1), 42; https://doi.org/10.3390/life16010042 - 26 Dec 2025
Viewed by 284
Abstract
Background and Objectives: Sarcopenia and muscle wasting contribute significantly to functional decline in older adults, but differences in lower extremity muscle stiffness and gait variability between these groups are not yet fully understood. This study aimed to compare gait variability, and lower [...] Read more.
Background and Objectives: Sarcopenia and muscle wasting contribute significantly to functional decline in older adults, but differences in lower extremity muscle stiffness and gait variability between these groups are not yet fully understood. This study aimed to compare gait variability, and lower extremity muscle stiffness during contraction and relaxation in community-dwelling older adults classified as non-diseased, sarcopenic, and dynapenic. Materials and Methods: This cross-sectional study included 164 community-dwelling older adults classified as non-diseased, dynapenic, or sarcopenic, based on handgrip strength, 5-time sit-to-stand test, and skeletal muscle index. Spatiotemporal gait variability was measured at the participants’ preferred speed. Moreover, muscle thickness, as well as the contractile and relaxed stiffness, were measured for the rectus femoris (RF), biceps femoris (BF), tibialis anterior (TA), gastrocnemius medialis (GAmed), and lateralis (GAlat). Results: In dynapenic and sarcopenic groups, gait variability increased across most parameters, but only the step width coefficient of variation differed significantly between the dynapenic and sarcopenic groups. Contractile stiffness of the RF, BF, and GAlat was lower in both groups, with additional GAmed stiffness reduction in the sarcopenic group. Relaxed stiffness of the BF and GAmed was significantly higher in the sarcopenic group than in the dynapenic group. Conclusions: This study identified differences in muscle thickness, stiffness, and gait variability among non-diseased, dynapenic, and sarcopenic older adults. Step width variability, GAmed contractile stiffness, and BF and GAmed relaxed stiffness emerged as potential early indicators for distinguishing dynapenia from sarcopenia. These findings highlight the importance of assessing muscle quality—including both mass and stiffness characteristics—to better characterize early stages of age-related muscle decline and to inform targeted intervention strategies. Full article
(This article belongs to the Special Issue Physical Rehabilitation for Musculoskeletal Disorders: 2nd Edition)
Show Figures

Figure 1

Back to TopTop