Neuromuscular and Kinematic Strategies During Step-Up and Down-Forwards Task in Individuals with Knee Osteoarthritis
Abstract
1. Introduction
2. Materials and Methods
2.1. Participants
2.2. Data Collection
2.2.1. Self-Reported Pain
2.2.2. Motion Capture and Electromyography
- Initial stance: last knee extension before step-up initiation.
- Step contact: initial foot contact on the box.
- Ascent completion: full foot contact of the trailing limb on the box.
- Descent preparation: lift off the step-down leading foot.
- Step-down touchdown: initial ground contact of the step-down leading foot
- Descent completion: initial ground contact of the step-down trailing foot.

2.3. Data Processing and Analysis
2.4. Statistical Analysis
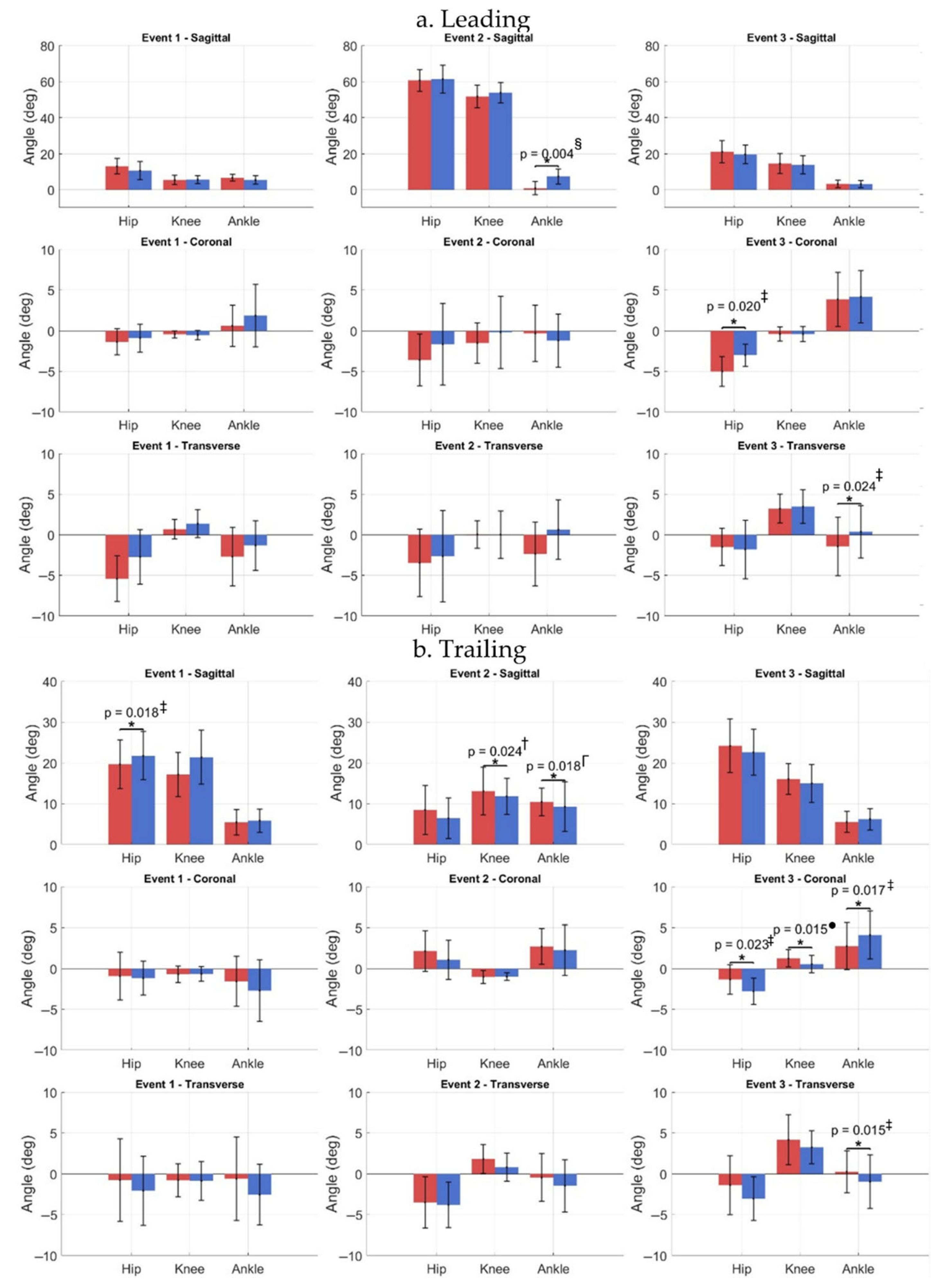
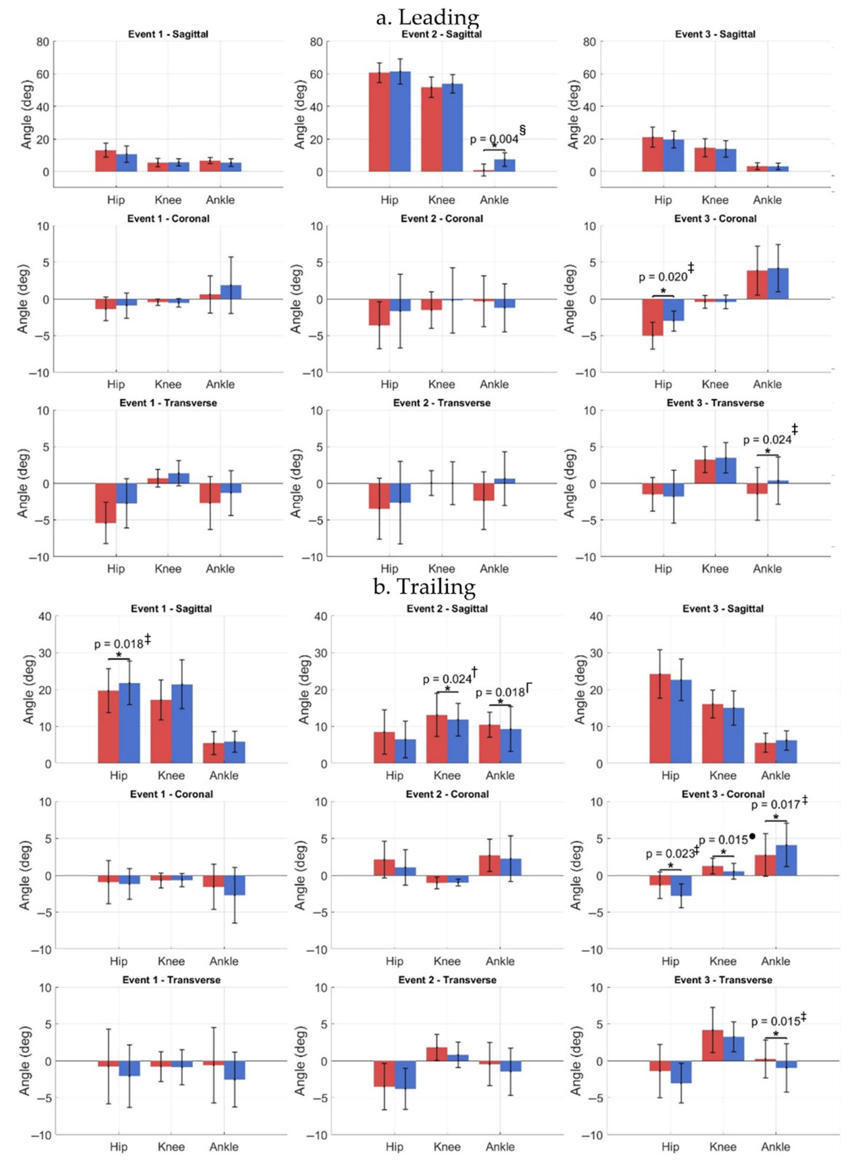
3. Results
3.1. Participant Characteristics
3.2. Step-Up
3.3. Step-Down (When Step-Up Leading Leg Was Affected)
3.4. Step-Down (When Step-Up Leading Leg Was Contralateral)
4. Discussion
5. Conclusions
Supplementary Materials
Author Contributions
Funding
Institutional Review Board Statement
Informed Consent Statement
Data Availability Statement
Acknowledgments
Conflicts of Interest
Abbreviations
| KOA | Knee osteoarthritis |
| StUD-F | Step-Up and Down-Forwards |
| M | Male |
| F | Female |
| BMI | Body mass index |
| VM | Vastus medialis |
| VL | Vastus lateralis |
| BF | Bicep femoris |
| ST | Semitendinosus |
| ADL | Activity of daily living |
| OARSI | Osteoarthritis Research Society |
| SCT | Stair climb test |
| StUD | Step-Up-and-Down |
| SUO | Step-Up-and-Over |
| UK | United Kingdom |
| REC | Research Ethics Committee |
| KOOS | Knee Injury and Osteoarthritis Outcome Score |
| VAS | Visual analogue scale |
| GRF | Ground reaction force |
| EMG | Electromyography |
| MVC | Maximum voluntary contraction |
| IMU | Inertial movement unit |
| SD | Standard deviation |
| IQR | Interquartile range |
| ROM | Range of motion |
References
- Karpiński, R.; Prus, A.; Baj, J.; Radej, S.; Prządka, M.; Krakowski, P.; Jonak, K. Articular Cartilage: Structure, Biomechanics, and the Potential of Conventional and Advanced Diagnostics. Appl. Sci. 2025, 15, 6896. [Google Scholar] [CrossRef]
- Qiu, L.; Alhaskawi, A.; Moqbel, S.A.A. Osteoarthritis: Multitissue pathology, molecular mechanisms, clinical management, and emerging precision and regenerative therapies. Front. Pharmacol. 2026, 16, 1697192. [Google Scholar] [CrossRef]
- Arthritis UK. The State of Musculoskeletal Health 2024: Arthritis and Other Musculoskeletal Conditions in Numbers; Arthritis UK: London, UK, 2025; Available online: https://www.arthritis-uk.org/policy-and-data/health-intelligence/the-state-of-musculoskeletal-health/ (accessed on 8 January 2026).
- Li, E.; Tan, J.; Xu, K.; Pan, Y.; Xu, P. Global burden and socioeconomic impact of knee osteoarthritis: A comprehensive analysis. Front. Med. 2024, 11, 1323091. [Google Scholar] [CrossRef] [PubMed]
- Wang, Z.; Chien, J.H.; He, C. The effect of bilateral knee osteoarthritis on gait symmetry during walking on different heights of staircases. J. Biomech. 2025, 182, 112583. [Google Scholar] [CrossRef] [PubMed]
- Wu, R.; Guo, Y.; Chen, Y.; Zhang, J. Osteoarthritis burden and inequality from 1990 to 2021: A systematic analysis for the global burden of disease Study 2021. Sci. Rep. 2025, 15, 8305. [Google Scholar] [CrossRef] [PubMed]
- Kloppenburg, M.; Namane, M.; Cicuttini, F. Osteoarthritis. Lancet 2025, 405, 71–85. [Google Scholar] [CrossRef]
- Jakiela, J.T.; Voinier, D.; Horney, J.A.; Golightly, Y.M.; Bye, T.K.; White, D.K. The Association of Stair Climbing Behaviors with Hazard of All-Cause Mortality in Adults with or at Risk of Knee Osteoarthritis. J. Rheumatol. 2024, 51, 408–414. [Google Scholar] [CrossRef]
- Tiedemann, A.C.; Sherrington, C.; Lord, S.R. Physical and Psychological Factors Associated with Stair Negotiation Performance in Older People. J. Gerontol. A Biol. Sci. Med. Sci. 2007, 62, 1259–1265. [Google Scholar] [CrossRef]
- Iijima, H.; Eguchi, R.; Shimoura, K.; Aoyama, T.; Takahashi, M. Stair climbing ability in patients with early knee osteoarthritis: Defining the clinical hallmarks of early disease. Gait Posture 2019, 72, 148–153. [Google Scholar] [CrossRef]
- Pozzi, F.; Snyder-Mackler, L.; Zeni, J. Relationship between biomechanical asymmetries during a step up and over task and stair climbing after total knee arthroplasty. Clin. Biomech. 2015, 30, 78–85. [Google Scholar] [CrossRef]
- Pozzi, F.; Marmon, A.R.; Snyder-Mackler, L.; Zeni, J. Lower leg compensatory strategies during performance of a step up and over task in patient six-months after total knee arthroplasty. Gait Posture 2016, 49, 41–46. [Google Scholar] [CrossRef]
- Meireles, S.; Wesseling, M.; Smith, C.R.; Thelen, D.G.; Verschueren, S.; Jonkers, I. Medial knee loading is altered in subjects with early osteoarthritis during gait but not during step-up-and-over task. PLoS ONE 2017, 12, e0187583. [Google Scholar] [CrossRef] [PubMed]
- Liu, S.; Amiri, P.; McGregor, A.H.; Bull, A.M.J. Bilateral Asymmetry in Knee and Hip Musculoskeletal Loading During Stair Ascending/Descending in Individuals with Unilateral Mild-to-Moderate Medial Knee Osteoarthritis. Ann. Biomed. Eng. 2023, 51, 2490–2503. [Google Scholar] [CrossRef] [PubMed]
- Gale, T.; Anderst, W. Asymmetry in healthy adult knee kinematics revealed through biplane radiography of the full gait cycle. J. Orthop. Res. 2019, 37, 609–614. [Google Scholar] [CrossRef] [PubMed]
- Smith, S.L.; Allan, R.; Marreiros, S.P.; Woodburn, J.; Steultjens, M.P.M. Muscle Co-Activation Across Activities of Daily Living in Individuals with Knee Osteoarthritis. Arthritis Care Res. 2019, 71, 651–660. [Google Scholar] [CrossRef]
- Hong, Y.N.G.; Lee, J.; Kim, P.; Shin, C.S. Gender Differences in the Activation and Co-activation of Lower Extremity Muscles During the Stair-to-Ground Descent Transition. Int. J. Precis. Eng. Manuf. 2020, 21, 1563–1570. [Google Scholar] [CrossRef]
- Liu, S.; Du, Z.; Song, L.; Liu, H.; Tee, C.A.T.H.; Liu, H.; Liu, Y. Factors, characteristics and influences of the changes of muscle activation patterns for patients with knee osteoarthritis: A review. J. Orthop. Surg. Res. 2025, 20, 112. [Google Scholar] [CrossRef]
- Taniguchi, T.; Tanaka, S.; Nishigami, T.; Imai, R.; Mibu, A.; Yoshimoto, T. Relationship between Fear-Avoidance Beliefs and Muscle Co-Contraction in People with Knee Osteoarthritis. Sensors 2024, 24, 5137. [Google Scholar] [CrossRef]
- Hodges, P.W.; Hoorn, W.v.D.; Wrigley, T.V.; Hinman, R.S.; Bowles, K.-A.; Cicuttini, F.; Wang, Y.; Bennell, K. Increased duration of co-contraction of medial knee muscles is associated with greater progression of knee osteoarthritis. Man. Ther. 2016, 21, 151–158. [Google Scholar] [CrossRef]
- Lewek, M.D.; Ramsey, D.K.; Snyder-Mackler, L.; Rudolph, K.S. Knee stabilization in patients with medial compartment knee osteoarthritis. Arthritis Rheum. 2005, 52, 2845–2853. [Google Scholar] [CrossRef]
- Tolk, J.J.; Janssen, R.P.A.; Prinsen, C.A.C.; Latijnhouwers, D.A.J.M.; van der Steen, M.C.; Bierma-Zeinstra, S.M.A.; Reijman, M. The OARSI core set of performance-based measures for knee osteoarthritis is reliable but not valid and responsive. Knee Surg. Sports Traumatol. Arthrosc. 2019, 27, 2898–2909. [Google Scholar] [CrossRef] [PubMed]
- Sharma, S.; Wilson, R.; Pryymachenko, Y.; Pathak, A.; Chua, J.; Gwynne-Jones, D.; Bennell, K.L.; Metcalf, B.; Hinman, R.S.; Hunt, M.A.; et al. Reliability, Validity, Responsiveness, and Minimum Important Change of the Stair Climb Test in Adults with Hip and Knee Osteoarthritis. Arthritis Care Res. 2023, 75, 1147–1157. [Google Scholar] [CrossRef] [PubMed]
- Dai, Z.; Yang, T.; Liu, J. Contralateral knee osteoarthritis is a risk factor for ipsilateral knee osteoarthritis progressing: A case control study. BMC Musculoskelet. Disord. 2024, 25, 190. [Google Scholar] [CrossRef] [PubMed]
- Kop, M.; Kim, N.; Shimoda, B.; Unebasami, E.; Weldon, R.H.; Nakasone, C.K. The prevalence of bilateral and ipsilateral radiographic osteoarthritis is high in White, Asian and Native Hawaiian/Pacific Islanders presenting for unilateral knee or hip arthroplasty. Arch. Orthop. Trauma. Surg. 2024, 144, 1565–1573. [Google Scholar] [CrossRef]
- Metcalfe, A.J.; Andersson, M.L.E.; Goodfellow, R.; Thorstensson, C.A. Is knee osteoarthritis a symmetrical disease? Analysis of a 12 year prospective cohort study. BMC Musculoskelet. Disord. 2012, 13, 153. [Google Scholar] [CrossRef]
- National Institute for Health and Care Excellence. Osteoarthritis in over 16s: Diagnosis and Management (NICE Guideline NG2266); National Institute for Health and Care Excellence: London, UK, 2022; Available online: https://www.nice.org.uk/guidance/ng226 (accessed on 7 January 2026).
- Roos, E.M.; Roos, H.P.; Lohmander, L.S.; Ekdahl, C.; Beynnon, B.D. Knee Injury and Osteoarthritis Outcome Score (KOOS)—Development of a Self-Administered Outcome Measure. J. Orthop. Sports Phys. Ther. 1998, 28, 88–96. [Google Scholar] [CrossRef]
- Hermens, H.J.; Freriks, B.; Disselhorst-Klug, C.; Rau, G. Development of recommendations for SEMG sensors and sensor placement procedures. J. Electromyogr. Kinesiol. 2000, 10, 361–374. [Google Scholar] [CrossRef]
- Stensdotter, A.K.; Vårbakken, K.; Roeleveld, K. Factors associated with self-rated difficulty to descend stairs in persons with knee osteoarthritis. PMR 2023, 15, 9–19. [Google Scholar] [CrossRef]
- Ghahramani, M.; Mason, B.; Pearsall, P.; Spratford, W. An Analysis of Lower Limb Coordination Variability in Unilateral Tasks in Healthy Adults: A Possible Prognostic Tool. Front. Bioeng. Biotechnol. 2022, 10, 885329. [Google Scholar] [CrossRef]
- Segal, N.A.; Glass, N.A.; Felson, D.T.; Hurley, M.; Yang, M.; Nevitt, M.; Lewis, C.E.; Torner, J.C. Effect of Quadriceps Strength and Proprioception on Risk for Knee Osteoarthritis. Med. Sci. Sports Exerc. 2010, 42, 2081–2088. [Google Scholar] [CrossRef]
- Kim, E.; Lee, S.; Dolinsky, J.; Cha, B.; Kumar, D. Associations of quadriceps activation during step-up with pain during movement and physical function in people with knee osteoarthritis. Clin. Biomech. 2025, 130, 106683. [Google Scholar] [CrossRef]
- Hortobágyi, T.; Westerkamp, L.; Beam, S.; Moody, J.; Garry, J.; Holbert, D.; DeVita, P. Altered hamstring-quadriceps muscle balance in patients with knee osteoarthritis. Clin. Biomech. 2005, 20, 97–104. [Google Scholar] [CrossRef]
- Roberts, O.; Wu, T.L.; Teng, P.; Lau, J.L.; Pua, Y.H.; Clark, R.A.; Hu, Y.; Tan, B.Y. Biomechanical analysis of step-up and step-down tasks in knee osteoarthritis: Insights from leading and trailing limbs. Clin. Biomech. 2025, 122, 106436. [Google Scholar] [CrossRef] [PubMed]
- Katerina, D. Biomechanics of Knee Osteoarthritis During Stair Negotiation: Mechanisms and Intervention Strategies. Ph.D. Thesis, Manchester Metropolitan University, Manchester, UK, 2015. Available online: https://e-space.mmu.ac.uk/579546/ (accessed on 5 December 2025).
- Hinman, R.S.; Bennell, K.L.; Metcalf, B.R.; Crossley, K.M. Delayed onset of quadriceps activity and altered knee joint kinematics during stair stepping in individuals with knee osteoarthritis. Arch. Phys. Med. Rehabil. 2002, 83, 1080–1086. [Google Scholar] [CrossRef] [PubMed]
- Chan, D.O.M.; Subasinghe Arachchige, R.S.S.; Wang, S.; Chan, P.P.K.; Cheung, R.T.H. Whole-body angular momentum during stair ascent and descent in individuals with and without knee osteoarthritis. Sci. Rep. 2024, 14, 30754. [Google Scholar] [CrossRef] [PubMed]
- Hasegawa, M.; Chin, T.; Oki, S.; Kanai, S.; Shimatani, K.; Shimada, T. Effects of methods of descending stairs forwards versus backwards on knee joint force in patients with osteoarthritis of the knee: A clinical controlled study. Ther. Technol. 2010, 2, 14. [Google Scholar] [CrossRef]
- Sanchez-Ramirez, D.C.; Malfait, B.; Baert, I.; van der Leeden, M.; van Dieën, J.; Lems, W.F.; Dekker, J.; Luyten, F.P.; Verschueren, S. Biomechanical and neuromuscular adaptations during the landing phase of a stepping-down task in patients with early or established knee osteoarthritis. Knee 2016, 23, 367–375. [Google Scholar] [CrossRef]
- Gil, A.B. The Association Between Lower Extremity Movement Patterns and Physical Function in People with Knee Osteoarthitis. Rehabilitation of the Musculoskeletal System in Sports Medicine; University of Pittsburgh: Pittsburgh, PA, USA, 2010. [Google Scholar]
- Igawa, T.; Katsuhira, J. Biomechanical Analysis of Stair Descent in Patients with Knee Osteoarthritis. J. Phys. Ther. Sci. 2014, 26, 629–631. [Google Scholar] [CrossRef]
- Suardi, C.; Stimolo, D.; Zanna, L.; Carulli, C.; Fabrizio, M.; Civinini, R.; Innocenti, M. Varus morphology and its surgical implication in osteoarthritic knee and total knee arthroplasty. J. Orthop. Surg. Res. 2022, 17, 299. [Google Scholar] [CrossRef]
- Ganjeh, S.; Roostayi, M.M.; Hamrah, H.; Aslani, H.; Khademi-Kalantari, K.; Rezaeian, Z.S. Neuromuscular alterations in subjects with knee osteoarthritis during most common activities of daily living: A literature review. Sport Sci. Health 2025, 21, 1233–1254. [Google Scholar] [CrossRef]
- Ding, X.; Yang, Y.; Xing, Y.; Jia, Q.; Liu, Q.; Zhang, J. Efficacy of lower limb strengthening exercises based on different muscle contraction characteristics for knee osteoarthritis: A systematic review and network meta-analysis. Front. Med. 2024, 11, 1442683. [Google Scholar] [CrossRef]
- Munsch, A.E.; Pietrosimone, B.; Franz, J.R. The effects of knee extensor moment biofeedback on gait biomechanics and quadriceps contractile behavior. PeerJ 2020, 8, e9509. [Google Scholar] [CrossRef]
- Lee, J.H.; Lee, G.B.; Chung, W.Y.; Wang, J.W.; Jang, K.M. Stair-Climbing Training with Interferential Electrotherapy Improves Knee Muscle Strength, Dynamic Postural Stability, Pain Score, and Physical Activity in Patients with Knee Osteoarthritis. Diagnostics 2024, 14, 2060. [Google Scholar] [CrossRef]
- Pawar, V.; Borkar, T. Effect of Proprioceptive Neuromuscular Facilitation and Proprioceptive Exercises Along with Core Stability on Pain and Physical Function in Knee Osteoarthritis. Int. J. Sci. Healthc. Res. 2025, 10, 184–189. [Google Scholar] [CrossRef]
- Kumar, T.; Singh, S.; Parasher, R.K. Effects of Strengthening the Core and Hip Stabilizers in Knee Osteoarthritis: A Systematic Review. Crit. Rev. Phys. Rehabil. Med. 2025, 37, 33–44. [Google Scholar] [CrossRef]









| Inclusion Criteria | Exclusion Criteria |
|---|---|
| Adults aged 45 years or older. | Where the knee is not identified by the participant as the main source of pain, e.g., comorbid painful conditions, widespread pain. |
| Clinical diagnosis of knee OA. | Contraindication to exercise. |
| Referred for physiotherapy for clinically diagnosed knee OA. | Pain caused by malignancy, fractures or inflammatory arthritis. |
| Activity-related joint pain. | Has received surgery for their knee pain in the last 12 months or had previous knee arthroplasty on the affected knee. |
| Self-reported knee pain on most days for the past 3 months. | Has commenced new treatment for knee pain during the preceding 12-week pre-enrolment. |
| Average pain severity in the past week of 4 or greater on 10-point Numeric Rating Scale. | |
| Able to understand written and spoken English. | |
| Able to provide written informed consent. |
| Age (yrs) | 65.3 ± 7.68 | ||
| Sex (M/F) | 21/19 | ||
| Height (m) | 1.70 ± 0.11 | ||
| Mass (kg) | 83.7 ± 15.3 | ||
| Body mass index (kg/m2) | 28.9 ± 4.52 | ||
| KOA type (unilateral/bilateral) | 24/16 | ||
| More affected side (L/R) | 15/25 | ||
| Dominant side (L/R) | 7/33 | ||
| VAS score | 1.32 ± 1.69 | ||
| KOOS Domain Scores | Symptoms | 50.5 ± 20.6 | |
| Pain | 50.7 ± 15.4 | ||
| Functional limitations | 61.3 ± 15.6 | ||
| Sports | 36.3 ± 22.6 | ||
| QoL | 35.2 ± 15.3 | ||
| MVC (mV) | VM | Affected | 0.13 (0.14) |
| Contralateral | 0.16 (0.18) | ||
| VL | Affected | 0.27 (0.31) | |
| Contralateral | 0.30 (0.28) | ||
| BF | Affected | 0.27 (0.23) | |
| Contralateral | 0.21 (0.32) | ||
| ST | Affected | 0.33 (0.50) | |
| Contralateral | 0.27 (0.28) | ||
| Leg Role | Event | Affected Leading | Non-Affected Leading | |||||||||||
|---|---|---|---|---|---|---|---|---|---|---|---|---|---|---|
| Muscle | Affected Median (%MVC) | Affected IQR (%MVC) | Contralateral Median (%MVC) | Contralateral IQR | p | r | Affected Median (%MVC) | Affected IQR (%MVC) | Contralateral Median (%MVC) | Contralateral IQR (%MVC) | p | r | ||
| Leading | Event 4 | VM | 12.004 | 11.262 | 9.898 | 20.726 | 0.385 | 0.12 | 9.220 | 10.120 | 10.306 | 8.599 | 0.639 | 0.07 |
| VL | 12.274 | 11.261 | 12.035 | 15.138 | 0.374 | 0.16 | 6.937 | 5.720 | 8.656 | 7.602 | 0.374 | 0.50 | ||
| BF | 8.560 | 10.588 | 9.032 | 7.136 | 0.865 | 0.13 | 6.341 | 10.299 | 5.317 | 6.029 | 0.569 | 0.12 | ||
| ST | 5.050 | 6.519 | 3.187 | 5.734 | 0.385 | 0.20 | 9.514 | 7.250 | 4.006 | 5.815 | 0.014 | 0.34 | ||
| Event 5 | VM | 8.331 | 11.799 | 9.883 | 14.981 | 0.816 | 0.02 | 11.203 | 14.362 | 11.335 | 11.595 | 0.881 | 0.08 | |
| VL | 7.168 | 8.934 | 6.028 | 10.262 | 0.539 | 0.09 | 7.167 | 10.513 | 6.954 | 10.764 | 0.757 | 0.38 | ||
| BF | 4.191 | 6.512 | 4.162 | 4.995 | 0.832 | 0.12 | 6.750 | 11.260 | 4.310 | 10.443 | 0.529 | 0.34 | ||
| ST | 2.703 | 4.646 | 3.740 | 5.411 | 0.352 | 0.02 | 7.097 | 7.638 | 3.411 | 6.464 | 0.080 | 0.24 | ||
| Event 6 | VM | 3.640 | 4.597 | 7.619 | 8.333 | 0.498 | 0.03 | 4.697 | 7.975 | 7.621 | 7.692 | 0.503 | 0.02 | |
| VL | 2.998 | 4.218 | 4.120 | 5.071 | 0.582 | 0.09 | 2.910 | 7.491 | 6.089 | 6.948 | 0.303 | 0.07 | ||
| BF | 3.133 | 4.038 | 2.438 | 4.870 | 0.330 | 0.09 | 3.972 | 7.018 | 3.429 | 3.368 | 0.803 | 0.04 | ||
| ST | 4.373 | 5.432 | 2.054 | 2.119 | 0.004 | 0.04 | 3.165 | 6.572 | 2.299 | 2.514 | 0.147 | 0.02 | ||
| Trailing | Event 4 | VM | 9.090 | 8.232 | 7.773 | 6.189 | 0.253 | 0.03 | 14.349 | 11.140 | 4.003 | 3.780 | 0.000 | 0.09 |
| VL | 8.131 | 7.422 | 7.031 | 4.598 | 0.150 | 0.39 | 11.363 | 9.268 | 6.595 | 8.615 | 0.015 | 0.39 | ||
| BF | 8.470 | 8.555 | 6.756 | 7.287 | 0.512 | 0.13 | 10.230 | 9.705 | 6.659 | 6.155 | 0.007 | 0.24 | ||
| ST | 5.975 | 14.125 | 10.501 | 11.752 | 0.899 | 0.24 | 10.611 | 13.374 | 8.093 | 4.302 | 0.084 | 0.11 | ||
| Event 5 | VM | 15.430 | 16.397 | 19.251 | 13.998 | 0.539 | 0.10 | 17.307 | 17.246 | 14.583 | 22.537 | 0.610 | 0.09 | |
| VL | 17.812 | 15.097 | 15.208 | 9.793 | 0.767 | 0.42 | 16.250 | 13.782 | 18.830 | 21.068 | 0.897 | 0.25 | ||
| BF | 12.907 | 14.534 | 3.993 | 12.256 | 0.006 | 0.08 | 10.455 | 9.824 | 2.471 | 7.532 | 0.006 | 0.14 | ||
| ST | 8.650 | 5.767 | 5.334 | 6.003 | 0.086 | 0.57 | 4.843 | 8.918 | 3.666 | 7.687 | 0.418 | 0.17 | ||
| Event 6 | VM | 17.907 | 13.325 | 9.604 | 8.930 | 0.003 | 0.14 | 10.227 | 10.822 | 6.627 | 6.565 | 0.071 | 0.03 | |
| VL | 16.363 | 7.926 | 9.950 | 5.082 | 0.000 | 0.37 | 8.642 | 5.557 | 8.384 | 6.878 | 0.212 | 0.10 | ||
| BF | 13.159 | 14.052 | 5.689 | 9.869 | 0.009 | 0.40 | 10.936 | 12.432 | 9.787 | 11.606 | 0.466 | 0.20 | ||
| ST | 10.195 | 8.516 | 6.334 | 11.916 | 0.472 | 0.10 | 9.765 | 9.764 | 4.728 | 2.792 | 0.027 | 0.31 | ||
Disclaimer/Publisher’s Note: The statements, opinions and data contained in all publications are solely those of the individual author(s) and contributor(s) and not of MDPI and/or the editor(s). MDPI and/or the editor(s) disclaim responsibility for any injury to people or property resulting from any ideas, methods, instructions or products referred to in the content. |
© 2026 by the authors. Licensee MDPI, Basel, Switzerland. This article is an open access article distributed under the terms and conditions of the Creative Commons Attribution (CC BY) license.
Share and Cite
Nistor, D.-T.; Brown, M.; Al-Amri, M. Neuromuscular and Kinematic Strategies During Step-Up and Down-Forwards Task in Individuals with Knee Osteoarthritis. J. Clin. Med. 2026, 15, 1278. https://doi.org/10.3390/jcm15031278
Nistor D-T, Brown M, Al-Amri M. Neuromuscular and Kinematic Strategies During Step-Up and Down-Forwards Task in Individuals with Knee Osteoarthritis. Journal of Clinical Medicine. 2026; 15(3):1278. https://doi.org/10.3390/jcm15031278
Chicago/Turabian StyleNistor, Denise-Teodora, Maggie Brown, and Mohammad Al-Amri. 2026. "Neuromuscular and Kinematic Strategies During Step-Up and Down-Forwards Task in Individuals with Knee Osteoarthritis" Journal of Clinical Medicine 15, no. 3: 1278. https://doi.org/10.3390/jcm15031278
APA StyleNistor, D.-T., Brown, M., & Al-Amri, M. (2026). Neuromuscular and Kinematic Strategies During Step-Up and Down-Forwards Task in Individuals with Knee Osteoarthritis. Journal of Clinical Medicine, 15(3), 1278. https://doi.org/10.3390/jcm15031278

