Sign in to use this feature.

Years

Between: -

Subjects

remove_circle_outline
remove_circle_outline
remove_circle_outline
remove_circle_outline
remove_circle_outline
remove_circle_outline
remove_circle_outline
remove_circle_outline
remove_circle_outline

Journals

remove_circle_outline
remove_circle_outline
remove_circle_outline
remove_circle_outline
remove_circle_outline
remove_circle_outline
remove_circle_outline
remove_circle_outline
remove_circle_outline
remove_circle_outline
remove_circle_outline
remove_circle_outline
remove_circle_outline
remove_circle_outline

Article Types

Countries / Regions

remove_circle_outline
remove_circle_outline
remove_circle_outline
remove_circle_outline
remove_circle_outline

Search Results (539)

Search Parameters:
Keywords = beta-blockers

Order results
Result details
Results per page
Select all
Export citation of selected articles as:
18 pages, 1031 KB  
Article
Estimation of Beta-Blocker Consumption in the Urban Population Using the Wastewater-Based Epidemiology Approach
by Mihail Simion Beldean-Galea, Mihaela-Cătălina Herghelegiu, Ye Yang, Robert Tötös, Maria Concetta Bruzzoniti, Ioana Elena Beldean-Galea, Sorina Irimie and Anda Curta
Molecules 2026, 31(8), 1249; https://doi.org/10.3390/molecules31081249 - 9 Apr 2026
Abstract
Wastewater-based epidemiology (WBE) is an approach that uses information obtained from the analysis of various metabolites or residues in wastewater with the aim of assessing the consumption of or exposure to chemicals or pathogens in a population connected to a sewage system. The [...] Read more.
Wastewater-based epidemiology (WBE) is an approach that uses information obtained from the analysis of various metabolites or residues in wastewater with the aim of assessing the consumption of or exposure to chemicals or pathogens in a population connected to a sewage system. The aim of this work was to develop methods for the isolation and analysis of seven beta-blockers (acebutolol, atenolol, betaxolol, metoprolol, nadolol, pindolol and propranolol) in wastewater samples collected from the influent of the wastewater treatment plant in Cluj-Napoca, Romania, in order to estimate their consumption among the population in two time periods (February and October 2024) using WBE. The selected beta-blockers were extracted by solid phase extraction using a Strata C18-U cartridge and analyzed by liquid chromatography coupled with tandem mass spectrometry. The consumption was estimated using the daily mass load of pharmaceutical products reported per 1000 inhabitants (mg/day/1000inh) and varied in the following ranges: atenolol 0.03–3.74, nadolol 0.03–0.1, propranolol 0.04–0.72, betaxolol 0.07–0.38, and metoprolol 54.85–276.45. From the obtained results, it can be observed that metoprolol is the most used beta-blocker in the investigated population, followed by atenolol, propranolol and betaxolol. Other beta-blockers are consumed in small quantities or occasionally. Full article
Show Figures

Figure 1

13 pages, 752 KB  
Article
The Effect of Rate-Controlling Medication on the Performance and Outcome of Dobutamine Stress Echocardiography in the Assessment of Patients with Suspected Angina: A Retrospective Cohort Study
by Laya Hariharan, Muhammad Zohaib Amjad, Emil Tom John, Valentina Cospite, Sudipta Chattopadhyay and Attila Kardos
J. Clin. Med. 2026, 15(8), 2850; https://doi.org/10.3390/jcm15082850 - 9 Apr 2026
Abstract
Background/Objectives: Stress echocardiography (SE) had been recommended by professional societies for assessing patients with suspected angina. SE protocols are variable across hospitals and countries in the recommendation of the cessation of rate-controlling medication (RCMx) prior to SE. Some expert opinion papers recommend [...] Read more.
Background/Objectives: Stress echocardiography (SE) had been recommended by professional societies for assessing patients with suspected angina. SE protocols are variable across hospitals and countries in the recommendation of the cessation of rate-controlling medication (RCMx) prior to SE. Some expert opinion papers recommend the cessation of beta receptor blockers (BBs) and rate-controlling calcium channel blockers 48 h prior to SE to improve the diagnostic accuracy of the test. There is no evidence that the continuation of RCMx can affect the outcome of SE and short-term major adverse cardiovascular events (MACEs). To investigate the efficacy of Dobutamine SE in a cohort of patients where the cessation of rate-controlling medication has not been mandated, we reviewed our data over a one-year period in patients investigated for suspected coronary artery disease (CAD). Methods: A retrospective data analysis was performed on 227 consecutive patients who underwent Dobutamine SE between January 2022 and January 2023 in a single centre. In addition to dobutamine, the protocol allowed the administration of intravenous atropine (maximum dose of 1.2 mg) and a “top up” handgrip exercise at the discretion of the performing cardiologist. We assessed the Dobutamine SE outcome (positive vs. negative), target heart rate (THR, 85% of maximum age predicted), and the achieved peak HR in the two groups with RCMx and without RCMx. We analysed the patients’ characteristics and 12-month outcomes of a combined MACE of death, non-fatal MI, stroke, admission with angina, and unplanned revascularisation. Results: Of the 227 patients, 61% were on No-RCMx (male 40%). Ninety-three percent of the patients on RCMx were on BB and 7% on other rate-controlling medications. The THR was achieved in 74% of the patients with-RCMx and 90% in the without-RCMx groups p = 0.0018. Positive Dobutamine SE was observed in 48% (43/89) of patients on RCMx vs. 28% (39/138) on No-RCMx (p = 0.0022). Patients who did not reach THR 43% (16/37) had positive Dobutamine SE compared to 35% (66/190) who reached THR (p = 0.626). There was no difference between groups in the peak WMSI. Logistic regression analysis showed that being on RCMx was independently associated with positive Dobutamine SE (OR 2.03, 95% CI 1.06–3.91, and p = 0.034). The MACE rate was higher in patients where the THR was not achieved (9/37, 24.0%) vs. where THR was achieved (9/190, 4.7%), p < 0.001, in both the with-RCMx (7/30, 23% vs. 6/66, 9.1%, p = 0.013) and without-RCMx (2/14, 14% vs. 3/124, 2.4%; p = 0.025) groups, respectively. RCMx was independently associated with MACE (OR 3.68, 95% CI 1.227–11.046, and p = 0.020). Conclusions: The use of RCMx proved to be a predictor of both SE and MACE outcomes irrespective of the achieved THR. Our data supports the practice that patients referred for Dobutamine SE on RCMx can continue taking them without impact on the test accuracy. Full article
Show Figures

Figure 1

18 pages, 2862 KB  
Review
Porto-Sinusoidal Vascular Disorder: A Comprehensive Review
by Eleni V. Geladari, Kyriaki A. Papachristodoulou, Stavros M. Kanaloupitis, Apostolos A. Evangelopoulos and Vasileios A. Sevastianos
Livers 2026, 6(2), 27; https://doi.org/10.3390/livers6020027 - 7 Apr 2026
Viewed by 187
Abstract
Porto-sinusoidal vascular disorder (PSVD) is an umbrella term proposed by the Vascular Liver Disease Interest Group (VALDIG) in 2019. It refers to a group of non-cirrhotic vascular liver diseases that cause portal hypertension. These were previously described as idiopathic non-cirrhotic portal hypertension, hepatoportal [...] Read more.
Porto-sinusoidal vascular disorder (PSVD) is an umbrella term proposed by the Vascular Liver Disease Interest Group (VALDIG) in 2019. It refers to a group of non-cirrhotic vascular liver diseases that cause portal hypertension. These were previously described as idiopathic non-cirrhotic portal hypertension, hepatoportal sclerosis, nodular regenerative hyperplasia, and incomplete septal fibrosis. PSVD is characterized by injury and remodeling of portal venules and sinusoids. Immune dysregulation, prothrombotic states, infections, medications (e.g., oxaliplatin, thiopurines), toxins (e.g., arsenic), and genetic susceptibility often drive this process. Clinically, PSVD ranges from asymptomatic patients with only abnormal liver tests to severe complications of portal hypertension, such as variceal bleeding, ascites, and portal vein thrombosis. Patients typically have preserved liver synthetic function, helping distinguish PSVD from cirrhosis. Diagnosis is based on VALDIG criteria and requires an adequate liver biopsy that shows no cirrhosis. It also requires specific combinations of clinical signs of portal hypertension and characteristic histological lesions, such as obliterative portal venopathy, nodular regenerative hyperplasia, and incomplete septal fibrosis. Non-invasive tools, including imaging and liver stiffness measurement, are supportive. They often show discordance between marked portal hypertension and low liver stiffness, suggesting a non-cirrhotic cause. Management follows cirrhosis-based portal hypertension guidelines. This includes non-selective beta-blockers, endoscopic variceal ligation, TIPS, anticoagulation in selected patients, and liver transplantation for refractory or end-stage disease. Prognosis is generally better than in cirrhosis, with a 5-year transplant-free survival rate of approximately 85% compared to 60% in matched cirrhotics. However, major gaps remain in the true epidemiology, the natural history of early or subclinical PSVD, validated non-invasive biomarkers, and disease-modifying therapies. Full article
Show Figures

Figure 1

27 pages, 1941 KB  
Review
Kv11.1 Channels in Cardiac Health and Disease: Molecular Insights and Clinical Relevance
by Mitko Mladenov, Vadim Mitrokhin, Stanislav Schileyko, Anastasija Rodina, Alexandra Zolotareva, Valentin Zolotarev, Natalia Bocharnikova, Dmitry Kaminer, Emilija Antova, Radoslav Stojchevski, Slavica Josifovska, Dimiter Avtanski, Andre Kamkin and Nikola Hadzi-Petrushev
Cardiovasc. Med. 2026, 29(2), 15; https://doi.org/10.3390/cardiovascmed29020015 - 7 Apr 2026
Viewed by 157
Abstract
Kv11.1 (hERG1) channels, encoded by KCNH2, mediate the rapid delayed rectifier potassium current (IKr) crucial for cardiac repolarization. Disruptions, via mutations or antiarrhythmic drugs like dofetilide cause severe arrhythmogenic disorders, including Long QT Syndrome Type 2 (LQT2), Brugada Syndrome [...] Read more.
Kv11.1 (hERG1) channels, encoded by KCNH2, mediate the rapid delayed rectifier potassium current (IKr) crucial for cardiac repolarization. Disruptions, via mutations or antiarrhythmic drugs like dofetilide cause severe arrhythmogenic disorders, including Long QT Syndrome Type 2 (LQT2), Brugada Syndrome (BrS), and Torsades de Pointes (TdP). While Kv11.1’s role in channelopathies and drug-induced arrhythmias is established, understanding its complex regulation and therapeutic targeting remains a challenge. This review synthesizes the structural, functional, and regulatory aspects of Kv11.1 channels and their clinical implications. Recent studies using iPSC-derived cardiomyocytes highlight regulation by PI3K/Akt, PKC, and PKA signaling via phosphorylation (Ser283, Ser890) and interactions with proteins like 14-3-3. Beyond electrophysiology, Kv11.1 influences pathological hypertrophy and non-cardiac functions including insulin secretion. Pharmacological efforts focus on activators to shorten action potential duration and suppress TdP, and blockers with overdose risks. Mutation heterogeneity, exemplified by trafficking impairment (G785D) in LQT2 and gain-of-function (R397C) in BrS, complicates precision therapy. Clinically, systematic risk stratification using electrocardiographic parameters and genotype-specific approaches enables personalized management. Beta-blockers remain first-line therapy for LQTS2, while rigorous avoidance of QT-prolonging medications and electrolyte monitoring form the cornerstones of preventive care. Advancing Kv11.1-targeted therapies with approaches like CRISPR-Cas9 and pharmacological chaperones (e.g., lumacaftor) holds promise for personalized treatments, ultimately reducing arrhythmic events and sudden cardiac death. Full article
Show Figures

Figure 1

12 pages, 225 KB  
Article
Atrial Fibrillation Modifies the Relationship Between Beta Blocker Dose and Physical Capacity After Myocardial Infarction
by Paulina Rabiej-Krzys, Karolina Szczygiel, Rafal Lenard, Francesco Perone and Joanna Popiolek-Kalisz
Clin. Pract. 2026, 16(4), 67; https://doi.org/10.3390/clinpract16040067 - 28 Mar 2026
Viewed by 232
Abstract
Background: Atrial fibrillation (AF) is a common arrythmia in post-myocardial infarction (MI) cardiac rehabilitation (CR) cohorts, and beta-adrenergic signaling remodeling and rate-control pharmacotherapy may influence functional capacity. Methods: We retrospectively studied 117 consecutive male post-MI patients referred to outpatient CR. Functional capacity was [...] Read more.
Background: Atrial fibrillation (AF) is a common arrythmia in post-myocardial infarction (MI) cardiac rehabilitation (CR) cohorts, and beta-adrenergic signaling remodeling and rate-control pharmacotherapy may influence functional capacity. Methods: We retrospectively studied 117 consecutive male post-MI patients referred to outpatient CR. Functional capacity was assessed with a 6 min walk test (6MWT). AF was identified from clinical records, and beta-blocker exposure was unified as carvedilol-equivalent daily dose. Results: Beta-blockers were used in 94.1% of patients and AF was present in 10.3%. Patients with AF were older (72.7 ± 6.6 vs 58.1 ± 9.3 years) and walked shorter distances (430.0 [375.0–497.5] vs. 540.0 [480.0–570.0] m). In the prespecified interaction model, age remained independently associated with lower 6MWT (−4.29 m/year; p < 0.001), AF was associated with lower 6MWT (−137.21 m; p = 0.01), and the beta-blocker dose × AF interaction was positive (+6.78; p = 0.02; R2 = 0.44). Importantly, the beta-blocker dose was not associated with 6MWT in patients without AF, whereas a positive association was observed in AF (B = 7.55, p = 0.04). Conclusions: In this exploratory analysis, AF identified a subgroup with markedly reduced functional capacity in early post-MI CR, supporting the potential of phenotype-informed assessment. Additionally, the association between beta-blocker dose and 6MWT distance differed by rhythm status. These preliminary findings require confirmation in larger prospective cohorts. Full article
(This article belongs to the Special Issue Exercise and Sports for Chronic Diseases)
16 pages, 750 KB  
Article
Impact of SGLT2 Inhibitors on Multiple Cardiometabolic Risk Factors: A Retrospective Cohort Study
by Hilal Işık, Kader Kübra Demirdöğen, Teoman Çakır, Şevki Çetinkalp, Zeliha Kerry and Mehmet Zuhuri Arun
J. Clin. Med. 2026, 15(7), 2550; https://doi.org/10.3390/jcm15072550 - 27 Mar 2026
Viewed by 400
Abstract
Background: Our study retrospectively investigated the therapeutic effects of SGLT2 inhibitors on multiple outcomes in patients with Type 2 Diabetes, capitalizing on the agent’s proven benefits in glycemic, cardiovascular, and renal systems. Methods: This retrospective cohort study investigated a total of 200 patients [...] Read more.
Background: Our study retrospectively investigated the therapeutic effects of SGLT2 inhibitors on multiple outcomes in patients with Type 2 Diabetes, capitalizing on the agent’s proven benefits in glycemic, cardiovascular, and renal systems. Methods: This retrospective cohort study investigated a total of 200 patients with T2DM, 100 SGLT2I-treated and 100 treated without SGLT2Is. Clinical data were retrieved from the electronic health record system of the hospital. Patients were followed for more than 6 months to assess the effects of SGLT2Is on metabolic, biochemical, and renal parameters. Results: In the SGLT2I-treated cohort, a higher prevalence of males, non-geriatrics, and comorbidities such as HF and ASCVD was observed with greater use of concomitant medications (beta-blockers, antithrombotics, antilipidemics). SGLT2I treatments show a greater reduction in FBG (control: −6.3 mg/dL vs. treatment: −24.2 mg/dL; p ≤ 0.05), HbA1c (control: −0.093% vs. treatment: −0.76%; p ≤ 0.001), weight (control: −0.6 kg vs. treatment: −3.6 kg; p ≤ 0.001), SBP (control: 5.8 mmHg vs. treatment: −9.2 mmHg; p ≤ 0.001), and DBP (control: 2.2 mmHg vs. treatment: −4.7 mmHg; p ≤ 0.05) compared to the control group. The analysis of the mean change in eGFR showed no statistically significant difference in both groups. The SGLT2I’s safety profile was favorable, with no difference in adverse events and no cases of euglycemic ketoacidosis or Fournier’s gangrene. Conclusions: In this study, SGLT2Is demonstrated strong clinical efficacy in improving multiple cardiometabolic parameters without compromising patient safety in short-term follow-up. Large-scale and long-term real-world studies are needed to monitor the long-term safety profile, characterize the incidence of rare adverse events in general clinical practice, and validate results from this study. Full article
(This article belongs to the Section Endocrinology & Metabolism)
Show Figures

Figure 1

22 pages, 1420 KB  
Review
Current Management of Resistant Hypertension in Patients with Intracerebral Hemorrhage
by Michelle Nguyen, Sookyung Oh, Matthew King, Wengui Yu and Ahmad Riad Ramadan
Int. J. Mol. Sci. 2026, 27(6), 2716; https://doi.org/10.3390/ijms27062716 - 16 Mar 2026
Viewed by 611
Abstract
Approximately 795,000 people experience new or recurrent strokes in the United States each year; between 10 to 20% of these are spontaneous intracerebral hemorrhages (ICH). Uncontrolled hypertension is not only the most common cause of ICH but also a major risk factor for [...] Read more.
Approximately 795,000 people experience new or recurrent strokes in the United States each year; between 10 to 20% of these are spontaneous intracerebral hemorrhages (ICH). Uncontrolled hypertension is not only the most common cause of ICH but also a major risk factor for hematoma expansion. Resistant hypertension, defined as persistently elevated blood pressure despite the use of three or more antihypertensives of different classes, is common in patients with ICH. A long-acting calcium channel blocker, angiotensin-converting enzyme inhibitor (ACEi) or angiotensin receptor blocker (ARB), and a thiazide diuretic are generally considered the mainstay for the treatment of resistant hypertension. However, due to the risk of hyponatremia and worsening cerebral edema, thiazide diuretics should be avoided during the first few weeks of ICH. Recent evidence supports the use of a mineralocorticoid receptor antagonist. While resistant hypertension may be idiopathic, a workup of secondary causes should be pursued. Adequate and timely control of elevated blood pressure remains one of the main cornerstones of treatment in patients with ICH. Previous studies have revealed that resistant hypertension in patients with ICH is associated with longer ICU stays, a higher risk of recurrent stroke, and can contribute to renal, cardiac, and neurologic complications. This emphasizes the need for early initiation of oral antihypertensives and adequate blood pressure control at hospital discharge. Landmark studies have shown that early lowering of SBP to 130–150 mm Hg with smooth, sustained BP control is safe and may improve functional outcomes in patients with mild to moderate ICH. After initiating oral antihypertensives with a calcium channel blocker, an ACEi or ARB beta-blocker, and a mineralocorticoid receptor antagonist to maximally tolerated doses, the next line of antihypertensive treatment should be tailored to the patient’s co-morbidities, and may include a beta-blocker, central alpha agonist, hydralazine, and minoxidil. In this review, we discuss the epidemiology of resistant hypertension in ICH and its molecular basis, diagnostic workup, and acute and long-term treatment. We present novel mechanisms implicated in hypertensive ICH, including ferroptosis, neuroinflammation, the CNS–gut microbiome axis, and novel therapeutics. We also propose a simple algorithm for the optimal pharmacological management of resistant hypertension in ICH. Full article
(This article belongs to the Special Issue Recent Research on Hypertension and Related Complications)
Show Figures

Figure 1

16 pages, 384 KB  
Article
Real-World Impact of Initial Dual Bronchodilation on Exercise Physiological Response and Health-Related Quality of Life in Newly Diagnosed, Treatment-Naïve Chronic Obstructive Pulmonary Disease
by Ieva Dimiene, Deimante Hoppenot, Airidas Rimkunas, Neringa Vaguliene, Kristina Bieksiene, Marius Zemaitis, Kestutis Malakauskas and Skaidrius Miliauskas
Medicina 2026, 62(3), 531; https://doi.org/10.3390/medicina62030531 - 12 Mar 2026
Viewed by 359
Abstract
Background and Objectives: Dual bronchodilation in chronic obstructive pulmonary disease (COPD) has demonstrated beneficial effects on health-related quality of life (HRQoL) and exercise-related outcomes. Real-world evidence in treatment-naïve COPD remains limited. Materials and Methods: Forty-six COPD patients and 23 age-, gender-, BMI-, [...] Read more.
Background and Objectives: Dual bronchodilation in chronic obstructive pulmonary disease (COPD) has demonstrated beneficial effects on health-related quality of life (HRQoL) and exercise-related outcomes. Real-world evidence in treatment-naïve COPD remains limited. Materials and Methods: Forty-six COPD patients and 23 age-, gender-, BMI-, and cardiovascular comorbidity–matched controls underwent spirometry, plethysmography, symptom-limited incremental cardiopulmonary exercise testing (CPET), and the 36-item Short-Form Health Survey (SF-36). Following baseline assessment, COPD patients received tiotropium/olodaterol as part of routine practice. Thirty-two patients underwent repeated examinations at 12 weeks. Baseline differences between the COPD and control groups were assessed, and longitudinal changes in pulmonary function, CPET, and SF-36 were evaluated in COPD patients. Results: Compared with controls, COPD patients had lower peak oxygen uptake (VO2; 17.4 ± 4.4 vs. 22.8 ± 4.5 mL/kg/min, p < 0.001) and oxygen pulse (11.5 ± 3.5 vs. 14.0 ± 2.4 mL/beat, p = 0.003), failed to reach 80% of predicted values, and exhibited worse ventilatory efficiency (p < 0.001). SF-36 scores in the COPD group were lower across all domains. After 12 weeks of tiotropium/olodaterol, pulmonary function improved significantly. CPET was performed at comparable efforts at both visits. Peak VO2 increased from 70 ± 15 to 75 ± 16% predicted (p = 0.044), and peak oxygen pulse from 74 ± 16 to 79 ± 16% predicted (p = 0.015). VE/MVV decreased from 0.77 ± 0.23 to 0.69 ± 0.15 (p = 0.03). Higher baseline VE/MVV predicted a larger improvement after treatment (B = 0.71, p < 0.001), while beta-blocker use had no effect on the change of VE/MVV. SF-36 physical functioning and health change scores improved (both p < 0.01). Conclusions: At diagnosis, COPD was associated with impaired exercise physiology and reduced HRQoL. Dual bronchodilation improved exercise responses and perceived physical functioning. Beta-blocker use was not associated with changes in breathing reserve, supporting the use of cardioselective agents when indicated. Full article
Show Figures

Figure 1

34 pages, 1698 KB  
Review
Cytoprotection as a Unifying Strategy for Hemorrhage and Thrombosis: The Role of BPC 157 and Related Therapeutics
by Predrag Sikiric, Ivan Barisic, Mario Udovicic, Martina Lovric Bencic, Diana Balenovic, Dean Strinic, Gordana Zivanovic Posilovic, Sandra Uzun, Hrvoje Vranes, Ivan Krezic, Marin Lozic, Vasilije Stambolija, Ivica Premuzic Mestrovic, Lidija Beketic Oreskovic, Luka Kalogjera, Sanja Strbe, Suncana Sikiric, Laura Tomic, Mirjana Stupnisek, Mario Kordic, Ante Tvrdeic, Sven Seiwerth, Alenka Boban Blagaic and Anita Skrticadd Show full author list remove Hide full author list
Pharmaceuticals 2026, 19(3), 463; https://doi.org/10.3390/ph19030463 - 12 Mar 2026
Viewed by 563
Abstract
This review presents an innovative and timely exploration of how cytoprotection can serve as a cohesive therapeutic approach by which to address the hemorrhage–thrombosis paradox. Presenting counteraction of both hemorrhage and thrombosis as phase-dependent outcomes of vascular dysregulation, the manuscript synthesizes conceptual, experimental, [...] Read more.
This review presents an innovative and timely exploration of how cytoprotection can serve as a cohesive therapeutic approach by which to address the hemorrhage–thrombosis paradox. Presenting counteraction of both hemorrhage and thrombosis as phase-dependent outcomes of vascular dysregulation, the manuscript synthesizes conceptual, experimental, and clinical evidence into a unified systems-level model focused on the stable gastric pentadecapeptide BPC 157, which acts as a cytoprotective mediator. In rodents, BPC 157 can simultaneously counteract hemorrhage and thrombosis without directly affecting the coagulation cascade (aggregometry, thromboelastometry). This cytoprotective framework (decreased hemorrhage, decreased thrombosis) stands with presentation of both hemorrhage and thrombosis in the wound, arrhythmias, and Virchow triad, and resolution of these disturbances. As proof of the concept (full cytoprotective effect), a vasoprotective cytoprotective mediator capable of bidirectional regulation, BPC 157, is effective for wound healing, arrhythmia control, and normalization of Virchow’s triad (i.e., following major injuries, occlusion/occlusion-like syndromes). As a comparison from a cytoprotective (partial vs. full) standpoint, conventional agents—anticoagulants, antiplatelet drugs, and fibrinolytics—provide only partial protection by targeting isolated components of hemostasis. Beta blockers, calcium channel blockers, prostaglandins, NO modulators, ACE inhibitors, and statins each exert broader cytoprotective effects; however, these actions remain incomplete and context-dependent, typically unidirectional, dose-limited, or are achieved at the expense of opposing pathological risks. Contrarily, for BPC 157, decreased hemorrhage (including both anticoagulants and antiplatelet agents), decreased thrombosis, effective wound healing, arrhythmia control, and normalization of Virchow’s triad involve preservation of endothelial integrity, normalization of microcirculation, modulation of the NO system, stabilization of hemostatic balance, and recruitment of adaptive collateral pathways. Nevertheless, reliance on preclinical models necessitates further clinical validation. Full article
(This article belongs to the Section Biopharmaceuticals)
Show Figures

Figure 1

17 pages, 4014 KB  
Article
Chemo-Enzymatic Synthesis of Enantiopure (−)-Nebivolol Catalyzed by Lipase B from Candida antarctica
by Eline Flo Hoem, Sara Aasen, Aurore Massacrier, Romain Bourgade, Petter Daleng and Elisabeth Egholm Jacobsen
Catalysts 2026, 16(3), 256; https://doi.org/10.3390/catal16030256 - 11 Mar 2026
Viewed by 556
Abstract
All four isomers of 2-chloro-1-(6-fluorochroman-2-yl)ethan-1-ol, as building blocks for the two enantiomers of beta-blocker nebivolol, have been synthesized in high yield. Due to the similar physicochemical properties of these four diastereomeric halohydrins, to date, the only successful method for separation of the isomers [...] Read more.
All four isomers of 2-chloro-1-(6-fluorochroman-2-yl)ethan-1-ol, as building blocks for the two enantiomers of beta-blocker nebivolol, have been synthesized in high yield. Due to the similar physicochemical properties of these four diastereomeric halohydrins, to date, the only successful method for separation of the isomers has been preparative HPLC. To avoid this, the four halohydrins were transformed into epoxides with subsequent separation of the enantiomeric pairs by column chromatography. The enantiomeric pairs of epoxides were subsequently converted back to their corresponding halohydrins before performing kinetic resolution of the racemates catalyzed by Lipase B from Candida antarctica. (R)-2-Chloro-1-((R)-6-fluorochroman-2-yl)ethanol was isolated in 71% yield, and >99% enantiomeric excess (ee). (R)-2-Chloro-1-((S)-6-fluorochroman-2-yl)ethanol was isolated in 77% yield and >99% ee. Hydrolysis of 2-chloro-1-(6-fluorochroman-2-yl)ethyl butanoate with the same lipase yielded halohydrins (S)-2-chloro-1-((S)-6-fluorochroman-2-yl)ethanol and (S)-2-chloro-1-((R)-6-fluorochroman-2-yl)ethanol. Amination of (R)-6-fluoro-2-((S)-oxiran-2-yl)chromane with ammonia afforded (S)-2-amino-1-((R)-6-fluorochroman-2-yl)ethanol in 79% yield and >99% ee. (S)-2-Amino-1-((R)-6-fluorochroman-2-yl)ethanol was then reacted with (R)-2-chloro-1-((S)-6-fluorochroman-2-yl)ethanol to produce the desired product (R,S,S,S)-nebivolol ((−)-nebivolol) in 81% yield and >99% ee. Full article
(This article belongs to the Special Issue State-of-the-Art Enzyme Engineering and Biocatalysis in Europe)
Show Figures

Figure 1

20 pages, 6748 KB  
Article
Two-Year Implementation, Adherence, and Outcomes of Quadruple Guideline-Directed Medical Therapy in Newly Diagnosed HFrEF: Insights from the Prospective CaRD Registry
by Ivana Jurin, Daniel Lovrić, Karlo Gjuras, Šime Manola, Irzal Hadžibegović, Mario Udovičić, Diana Rudan, Anica Milinković, Jasmina Ćatić, Marija Križanović and Marin Pavlov
J. Clin. Med. 2026, 15(6), 2127; https://doi.org/10.3390/jcm15062127 - 11 Mar 2026
Viewed by 355
Abstract
Background: Contemporary guidelines recommend rapid initiation of four classes of guideline-directed medical therapy (GDMT) for heart failure (HF) with reduced ejection fraction (HFrEF); however, real-world persistence, adherence, and dose optimization remain suboptimal. Methods: We analysed a predefined subregistry within the prospective [...] Read more.
Background: Contemporary guidelines recommend rapid initiation of four classes of guideline-directed medical therapy (GDMT) for heart failure (HF) with reduced ejection fraction (HFrEF); however, real-world persistence, adherence, and dose optimization remain suboptimal. Methods: We analysed a predefined subregistry within the prospective Cardiology Research Dubrava (CaRD) registry, a real-world HF registry at a tertiary centre that includes patients across the ejection-fraction spectrum in whom contemporary HF therapy, including sodium-glucose cotransporter 2 inhibitors (SGLT2i), is introduced or optimised in routine practice. For this analysis, we included patients with newly diagnosed HFrEF (left ventricular ejection fraction (LVEF) ≤ 40%) who were discharged on all four GDMT classes; 167 of 179 patients with newly diagnosed HFrEF during the study period had an available 6-month medication assessment and comprised the final analytic cohort. The four GDMT pillars (beta-blocker; angiotensin-converting enzyme inhibitor (ACEi), angiotensin receptor blocker (ARB), or angiotensin receptor-neprilysin inhibitor (ARNI); mineralocorticoid receptor antagonist (MRA); and SGLT2i) were initiated within 4 days when clinically feasible. Medication adherence and target-dose attainment were assessed at 6, 12, and 24 months using a structured self-report questionnaire. Major adverse events (MAE) and all-cause mortality were recorded over 24 months. Patients were classified as adherent if they reported regular intake (≥80% of prescribed doses) of all four drug classes at 6 months; otherwise, they were classified as nonadherent. Results: Among the 167 analysed patients (median age 64 years, 74% men, median LVEF 30%), regular adherence at 6, 12, and 24 months was 65%, 55%, and 59% for beta-blockers; 66%, 50%, and 49% for ACEi/ARB/ARNI; 62%, 52%, and 49% for MRAs; and 84%, 57%, and 68% for SGLT2i. Target doses were achieved in 25–33% for beta-blockers, 42–50% for ACEi/ARB/ARNI, and 73–78% for MRAs. At 24 months, 56 survivors (37%) were adherent to all four drug classes. Over 24 months, all-cause mortality was 9.0% and MAE 18.6%, occurring less frequently in adherent vs. nonadherent patients (mortality 0% vs. 13.5%; MAE 8.9% vs. 23.4%). Conclusions: In this real-world, non-randomized HFrEF subregistry, in-hospital initiation of quadruple GDMT was feasible, yet maintaining long-term adherence and achieving target doses remained challenging. These data underscore the gap between guideline recommendations and routine practice and support structured follow-up and protocol-driven titration to optimize implementation. Full article
(This article belongs to the Special Issue Therapies for Heart Failure: Clinical Updates and Perspectives)
Show Figures

Figure 1

20 pages, 3039 KB  
Article
Treatment Persistence in Migraine Prophylaxis Comparing CGRP Monoclonal Antibodies vs. High-/Low-Evidence Conventional Oral Preventives—A Comparative Real-World Evidence Study of Depersonalized Data of the German Pain e-Registry
by Michael A. Überall, Philipp C. G. Müller-Schwefe, Michael A. Küster and Jan-Peter Jansen
J. Clin. Med. 2026, 15(5), 1985; https://doi.org/10.3390/jcm15051985 - 5 Mar 2026
Viewed by 450
Abstract
Background/Objectives: Real-world persistence of traditional oral migraine preventive medications is low in routine care. Prior large claims-based analyses demonstrated early discontinuation of oral prophylaxis, but such datasets neither included modern preventive options such as monoclonal antibodies (mAB) against calcitonin-gene-related peptide (CGRP), nor [...] Read more.
Background/Objectives: Real-world persistence of traditional oral migraine preventive medications is low in routine care. Prior large claims-based analyses demonstrated early discontinuation of oral prophylaxis, but such datasets neither included modern preventive options such as monoclonal antibodies (mAB) against calcitonin-gene-related peptide (CGRP), nor were able to capture clinically validated reasons for discontinuation. The primary aim was to compare real-world treatment persistence and discontinuation reasons due to adverse drug reactions (ADRs) or insufficient efficacy among three preventive therapy classes: subcutaneous CGRP mAB and oral high- (HEVP) and low-evidence preventive medications (LEVP). A secondary aim was to examine persistence patterns of individual substances within the HEVP cohort. Methods: This exploratory observational study used depersonalized real-world data from the German Pain e-Registry (GPeR), a national multicenter clinical registry. Persistence trajectories were evaluated over six months, together with cumulative proportions of ADR-related and inefficacy-related discontinuations. Pairwise comparisons across the three cohorts based on chi-square analyses, odds ratios, relative risks, effect sizes, and numbers needed to harm. Results: At six months, persistence was highest for CGRP monoclonal antibodies at 89.4%, compared with 43.0% for LEVP and 34.0% for HEVP (all p < 0.001). ADR-related discontinuation occurred in 7.0% with CGRP vs. 35.7/44.5% with LEVP/HEVP, and discontinuations due to insufficient efficacy occurred in 3.6% with CGRP vs. 21.3/21.5% with LEVP/HEVP, without influence of sex or migraine frequency. Substance-level analysis within HEVP showed the steepest early attrition for tricyclic antidepressants, followed by beta-blockers, with comparatively more favorable though still suboptimal persistence for topiramate and flunarizine. Conclusions: Real-world treatment persistence is markedly higher with CGRP mAB than with HEVP/LEVP. Oral preventives show high discontinuation rates due to both ADR and insufficient efficacy, indicating substantial limitations in real-world applicability. These findings highlight the clinical relevance of a modern mechanism-based migraine prevention with CGRP mAB. Full article
(This article belongs to the Special Issue Clinical Insights and Emerging Strategies in Chronic Pain Management)
Show Figures

Figure 1

14 pages, 3494 KB  
Article
Beta Blocker Intoxications in Belgium: A Data Analysis with Focus on Propranolol
by Brechje van den Boogaard, Maria van de Lavoir, Rani Robeyns, Celine Gys, Adrian Covaci and Hans De Loof
Pharmacy 2026, 14(2), 43; https://doi.org/10.3390/pharmacy14020043 - 4 Mar 2026
Viewed by 554
Abstract
Background: The issue of beta blocker poisoning has received little attention, despite the widespread use of these compounds in cardiac and neuropsychiatric care. Safety profiles differ, and some beta blockers appear in poisonings far beyond what their usage rates imply. This study characterizes [...] Read more.
Background: The issue of beta blocker poisoning has received little attention, despite the widespread use of these compounds in cardiac and neuropsychiatric care. Safety profiles differ, and some beta blockers appear in poisonings far beyond what their usage rates imply. This study characterizes beta blocker intoxication patterns in Belgium, focusing on propranolol, by integrating national prescription data, poisoning reports, and adverse drug reaction records. Methods: Belgian prescription data, poison centre reports, and European ADR databases were analysed to identify intoxication patterns and demographic or clinical characteristics associated with these events. Results: Poisoning data revealed propranolol as markedly overrepresented compared to prescription rates and was the primary beta blocker implicated in self-harm-related overdoses. These cases occurred mainly in women, younger individuals, and patients with psychiatric or cardiovascular comorbidities. Co-exposures with benzodiazepines, antidepressants, and other psychoactive agents were frequent, and propranolol was linked to more complex intoxication patterns than other beta blockers. Conclusions: Propranolol shows a distinct toxicological profile and is disproportionately involved in intoxications, especially in vulnerable groups and in combination with psychoactive drugs. These findings highlight the need for greater awareness, targeted prevention, and careful monitoring. Full article
Show Figures

Figure 1

11 pages, 435 KB  
Article
Can Certain Antihypertensives Prolong the Efficacy of Hyaluronic Acid Injections in Patients with Osteoarthritis of the Knee? Post Hoc Analysis of a Prospective Observational Trial (PRESAGE)
by Arthur Dollinger, Thomas Lohse, Clara Dolci, Charles Rapp, Charlotte Bourgoin, Anne Lohse and Thierry Conrozier
J. Clin. Med. 2026, 15(5), 1935; https://doi.org/10.3390/jcm15051935 - 4 Mar 2026
Viewed by 325
Abstract
Background: Arterial hypertension (AH) is a frequent comorbidity in patients with osteoarthritis (OA). Among antihypertensive agents, angiotensin-converting enzyme (ACE) inhibitors, calcium channel blockers (CCBs), angiotensin II receptor blockers (ARBs), and beta-blockers (βBs) have been suggested to influence OA progression and symptomatology. The aim [...] Read more.
Background: Arterial hypertension (AH) is a frequent comorbidity in patients with osteoarthritis (OA). Among antihypertensive agents, angiotensin-converting enzyme (ACE) inhibitors, calcium channel blockers (CCBs), angiotensin II receptor blockers (ARBs), and beta-blockers (βBs) have been suggested to influence OA progression and symptomatology. The aim of this study was to assess whether the duration of effectiveness (DE) of viscosupplementation (VS) differs between patients with knee OA who are receiving antihypertensive treatment and those who are not. Methods: This post hoc analysis was conducted using data from a cross-sectional clinical trial (ClinicalTrials.gov Identifier: NCT04988698). The study included consecutive patients with knee OA who came for consultation at the Rheumatology Department and had received intra-articular hyaluronic acid injections within the past three years. The primary outcome was DE, self-reported by patients as the number of weeks of symptom relief. Associations between DE and various factors, including demographics, disease duration, radiographic OA severity (Kellgren–Lawrence grade and affected compartments), comorbidities, OA treatment history, antihypertensive therapy, physical activity level, and prior VS sessions, were analyzed using bivariate and multivariate models. Results: A total of 105 patients (65 women, 149 treated knees) were included. The mean age was 66.1 ± 13.2 years, and the mean body mass index (BMI) was 27.5 kg/m2. Thirty-eight percent of patients were receiving antihypertensive treatment (mean number of agents: 1.9; range: 1–4), including CCBs (n = 15), ACE inhibitors (n = 13), ARBs (n = 7), βBs (n = 6), and diuretics (n = 2). The overall mean DE of VS was 48.2 ± 24.8 weeks, with a trend toward longer DE in hypertensive patients compared to non-hypertensive patients (53.1 ± 31.3 vs. 45.4 ± 19.8 weeks, p = 0.06). Bivariate analysis identified significantly longer DE in patients with BMI < 27.5 kg/m2 (p = 0.002), Kellgren–Lawrence grade < 4 (p = 0.008), an active lifestyle (p = 0.005), unicompartmental OA (p = 0.01), medial tibiofemoral joint space narrowing (p = 0.046), and fewer than four prior VS sessions (p = 0.02). In multivariate analysis, AH was strongly associated with prolonged DE (p < 0.001), despite AH patients having a higher BMI (29.8 ± 5.5 vs. 25.2 ± 5.2 kg/m2, p = 0.001) and being more frequently sedentary (25.5% vs. 13.8%, p = 0.07). A trend toward longer DE was observed in patients treated with βBs and ARBs but not with CCBs or ACE inhibitors. Additional independent predictors of longer DE included BMI < 27.5 kg/m2 (p < 0.001), unicompartmental OA (p = 0.02), fewer than four prior VS sessions (p = 0.02), and an active lifestyle (p = 0.027). Conclusions: These findings suggest that antihypertensive treatment may extend the effectiveness of viscosupplementation in knee OA. However, the sample size was insufficient to determine whether specific classes of antihypertensive agents provide greater benefits. Further large-scale, prospective studies are warranted to clarify the potential impact of antihypertensive medications on viscosupplementation outcomes in knee OA. Full article
(This article belongs to the Section Orthopedics)
Show Figures

Figure 1

12 pages, 1340 KB  
Review
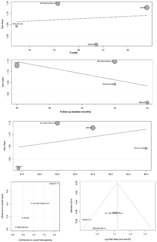
Beta-Blocker Therapy After Myocardial Infarction: A Systematic Review and Meta-Analysis of Contemporary Randomized Controlled Trials
by Stefania Angela Di Fusco, Andrea Matteucci, Alessandro Alonzo, Lorenzo Castello, Antonella Spinelli, Stefano Aquilani, Gaetano Marino, Silvio Fedele, Federico Nardi and Furio Colivicchi
Int. J. Mol. Sci. 2026, 27(5), 2363; https://doi.org/10.3390/ijms27052363 - 3 Mar 2026
Viewed by 793
Abstract
The clinical benefit of beta-blocker treatment in patients with a previous myocardial infarction (MI) and without a reduced left ventricular ejection fraction (LVEF) is not established. This study aims at assessing the impact of beta-blocker treatment after an MI based on the type [...] Read more.
The clinical benefit of beta-blocker treatment in patients with a previous myocardial infarction (MI) and without a reduced left ventricular ejection fraction (LVEF) is not established. This study aims at assessing the impact of beta-blocker treatment after an MI based on the type of MI at presentation, the LVEF, and the patient’s sex in the setting of contemporary management of MI. We searched the PubMed and Cochrane Library databases for randomized clinical trials published over last ten years that reported beta-blockers’ impact on prognosis in patients with LVEF > 40%. A meta-analysis was performed to assess the association between the beta-blocker treatment and outcomes in different patient subgroups based on the type at presentation (with ST segment elevation, STEMI, or without ST segment elevation, NSTEMI), LVEF, and sex. In the overall analysis, the association between beta-blocker non-use and the composite endpoint was not statistically significant under the random-effects model. In subgroup analyses, a higher risk with beta-blocker non-use was suggested in NSTEMI and in patients with mildly reduced LVEF in common-effect estimates (NSTEMI: RR 1.13, 95% CI 1.02–1.25; I2 18%; mildly reduced LVEF: RR 1.24, 95% CI 1.03–1.49; I2 0%), whereas corresponding random-effects estimates were not consistently significant. No clear association was observed in STEMI, preserved LVEF, or by sex. In sensitivity analyses excluding the ABYSS withdrawal trial, the overall association was attenuated and remained non-significant (random-effects RR 1.06, 95% CI 0.84–1.33; I2 35%). Long-term beta-blocker therapy after myocardial infarction showed no clear overall benefit or harm across contemporary randomized trials. Possible signals of benefit in selected subgroups warrant confirmation in adequately powered studies with standardized endpoints. Full article
(This article belongs to the Section Molecular Pathology, Diagnostics, and Therapeutics)
Show Figures

Graphical abstract

Back to TopTop