Ocular and Systemic Pharmacokinetics of Baicalein and Baicalin After Intravitreal Injection and Oral Administration in Mice
Abstract
1. Introduction
2. Materials and Methods
2.1. Materials
2.2. Methods
2.2.1. Animals and Experimental Groups
2.2.2. Drug Administration
2.2.3. Sample Preparation
2.2.4. Pharmacokinetic Analysis via UHPLC-MS/MS System
2.3. Statistical Analysis
3. Results
3.1. LC-MS Method Development and Validation
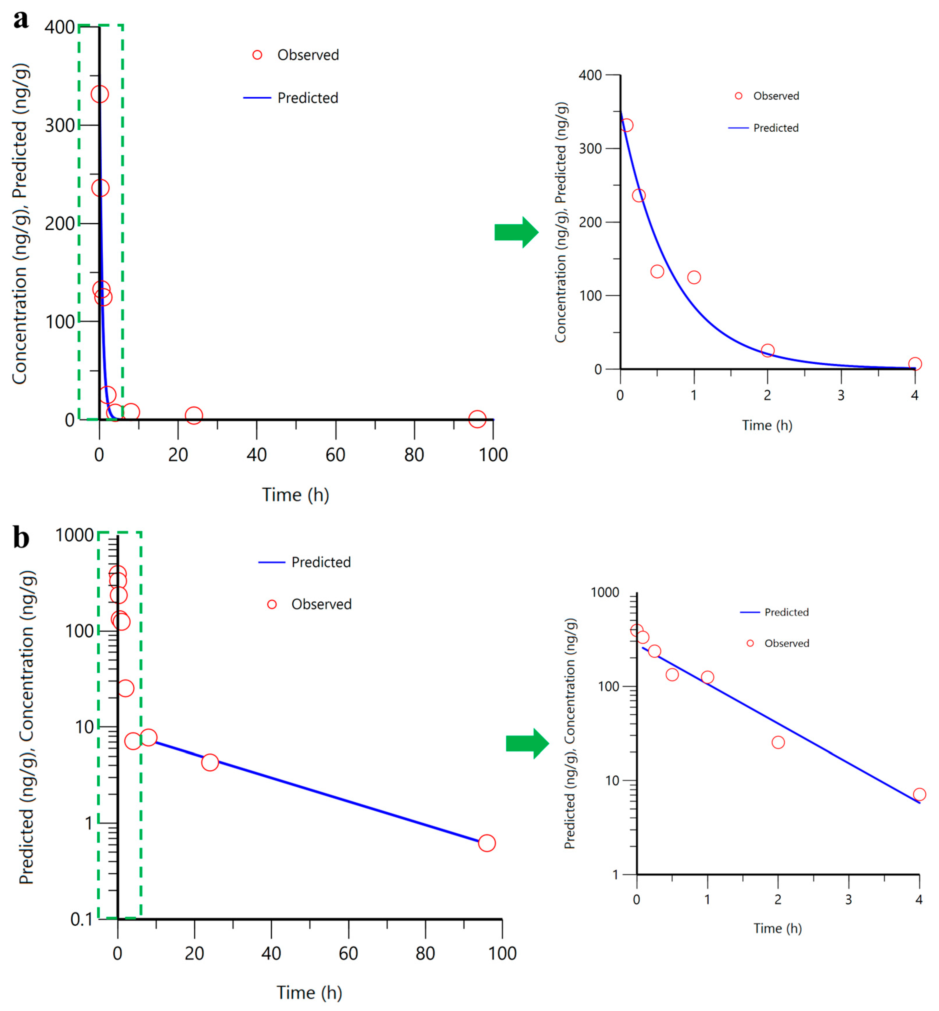
3.2. Ocular Pharmacokinetics of BA and BG After IVT Administration
3.3. Serum Pharmacokinetics of BA and BG After IVT Administration
3.4. Ocular Pharmacokinetics of BA and BG After Oral Administration
3.5. Serum Pharmacokinetics of BA and BG After Oral Administration
4. Discussion
5. Conclusions
Supplementary Materials
Author Contributions
Funding
Institutional Review Board Statement
Informed Consent Statement
Data Availability Statement
Acknowledgments
Conflicts of Interest
References
- Sun, Y.; Chen, A.; Zou, M.; Zhang, Y.; Jin, L.; Li, Y.; Zheng, D.; Jin, G.; Congdon, N. Time trends, associations and prevalence of blindness and vision loss due to glaucoma: An analysis of observational data from the Global Burden of Disease Study 2017. BMJ Open 2022, 12, 053805. [Google Scholar] [CrossRef]
- Jayaram, H.; Kolko, M.; Friedman, D.S.; Gazzard, G. Glaucoma: Now and beyond. Lancet 2023, 402, 1788–1801. [Google Scholar] [CrossRef]
- Do, C.W.; Civan, M.M. Species variation in biology and physiology of the ciliary epithelium: Similarities and differences. Exp. Eye Res. 2009, 88, 631–640. [Google Scholar] [CrossRef]
- Moore, S.G.; Richter, G.; Modjtahedi, B.S. Factors Affecting Glaucoma Medication Adherence and Interventions to Improve Adherence: A Narrative Review. Ophthalmol. Ther. 2023, 12, 2863–2880. [Google Scholar] [CrossRef]
- Kazemian, P.; Helm, J.E.; Lavieri, M.S.; Stein, J.D.; Van Oyen, M.P. Dynamic Monitoring and Control of Irreversible Chronic Diseases with Application to Glaucoma. Prod. Oper. Manag. 2019, 28, 1082–1107. [Google Scholar] [CrossRef]
- Andole, S.; Senthil, S. Ocular Surface Disease and Anti-Glaucoma Medications: Various features, Diagnosis, and Management Guidelines. Semin. Ophthalmol. 2023, 38, 158–166. [Google Scholar] [CrossRef]
- Tan, S.S.; Wong, T.T. Drug delivery systems in glaucoma—Current innovations and future perspectives. Asia-Pac. J. Ophthalmol. 2025, 14, 100163. [Google Scholar] [CrossRef] [PubMed]
- Tsung, T.H.; Chen, Y.H.; Lu, D.W. Updates on Biodegradable Formulations for Ocular Drug Delivery. Pharmaceutics 2023, 15, 734. [Google Scholar] [CrossRef] [PubMed]
- Khan, S.; Do, C.W.; Ho, E.A. Recent updates on drug delivery approaches for improved ocular delivery with an insight into nanostructured drug delivery carriers for anterior and posterior segment disorders. Drug Deliv. Transl. Res. 2025, 15, 1828–1876. [Google Scholar] [CrossRef] [PubMed]
- Ishikawa, M.; Izumi, Y.; Sato, K.; Sato, T.; Zorumski, C.F.; Kunikata, H.; Nakazawa, T. Glaucoma and microglia-induced neuroinflammation. Front. Ophthalmol. 2023, 3, 1132011. [Google Scholar] [CrossRef]
- Tribble, J.R.; Hui, F.; Quintero, H.; El Hajji, S.; Bell, K.; Di Polo, A.; Williams, P.A. Neuroprotection in glaucoma: Mechanisms beyond intraocular pressure lowering. Mol. Asp. Med. 2023, 92, 101193. [Google Scholar] [CrossRef]
- Xiao, J.R.; Do, C.W.; To, C.H. Potential therapeutic effects of baicalein, baicalin, and wogonin in ocular disorders. J. Ocul. Pharmacol. Ther. 2014, 30, 605–614. [Google Scholar] [CrossRef] [PubMed]
- Pan, L.; Cho, K.S.; Yi, I.; To, C.H.; Chen, D.F.; Do, C.W. Baicalein, Baicalin, and Wogonin: Protective Effects against Ischemia-Induced Neurodegeneration in the Brain and Retina. Oxidative Med. Cell. Longev. 2021, 2021, 8377362. [Google Scholar] [CrossRef]
- Dinda, B.; Dinda, S.; DasSharma, S.; Banik, R.; Chakraborty, A.; Dinda, M. Therapeutic potentials of baicalin and its aglycone, baicalein against inflammatory disorders. Eur. J. Med. Chem. 2017, 131, 68–80. [Google Scholar] [CrossRef]
- Chen, M.E.; Su, C.H.; Yang, J.S.; Lu, C.C.; Hou, Y.C.; Wu, J.B.; Hsu, Y.M. Baicalin, Baicalein, and Lactobacillus Rhamnosus JB3 Alleviated Helicobacter pylori Infections In Vitro and In Vivo. J. Food Sci. 2018, 83, 3118–3125. [Google Scholar] [CrossRef]
- Lu, H.; Li, X.; Wang, G.; Wang, C.; Feng, J.; Lu, W.; Wang, X.; Chen, H.; Liu, M.; Tan, C. Baicalein Ameliorates Streptococcus suis-Induced Infection In Vitro and In Vivo. Int. J. Mol. Sci. 2021, 22, 5829. [Google Scholar] [CrossRef]
- Liu, B.Y.; Li, L.; Liu, G.L.; Ding, W.; Chang, W.G.; Xu, T.; Ji, X.Y.; Zheng, X.X.; Zhang, J.; Wang, J.X. Baicalein attenuates cardiac hypertrophy in mice via suppressing oxidative stress and activating autophagy in cardiomyocytes. Acta Pharmacol. Sin. 2021, 42, 701–714. [Google Scholar] [CrossRef]
- Kim, H.; Yiluo, H.; Park, S.; Lee, J.Y.; Cho, E.; Jung, S. Characterization and Enhanced Antioxidant Activity of the Cysteinyl beta-Cyclodextrin-Baicalein Inclusion Complex. Molecules 2016, 21, 703. [Google Scholar] [CrossRef]
- Ke, M.; Zhang, Z.; Xu, B.; Zhao, S.; Ding, Y.; Wu, X.; Wu, R.; Lv, Y.; Dong, J. Baicalein and baicalin promote antitumor immunity by suppressing PD-L1 expression in hepatocellular carcinoma cells. Int. Immunopharmacol. 2019, 75, 105824. [Google Scholar] [CrossRef] [PubMed]
- Chandrashekar, N.; Pandi, A. Baicalein: A review on its anti-cancer effects and mechanisms in lung carcinoma. J. Food Biochem. 2022, 46, 14230. [Google Scholar] [CrossRef] [PubMed]
- Si, L.; An, Y.; Zhou, J.; Lai, Y. Neuroprotective effects of baicalin and baicalein on the central nervous system and the underlying mechanisms. Heliyon 2025, 11, 41002. [Google Scholar] [CrossRef]
- Xing, J.; Chen, X.; Zhong, D. Absorption and enterohepatic circulation of baicalin in rats. Life Sci. 2005, 78, 140–146. [Google Scholar] [CrossRef]
- Li, H.L.; Shan, S.W.; Stamer, W.D.; Li, K.K.; Chan, H.H.; Civan, M.M.; To, C.H.; Lam, T.C.; Do, C.W. Mechanistic Effects of Baicalein on Aqueous Humor Drainage and Intraocular Pressure. Int. J. Mol. Sci. 2022, 23, 7372. [Google Scholar] [CrossRef]
- Pan, L.; Sze, Y.H.; Yang, M.; Tang, J.; Zhao, S.; Yi, I.; To, C.H.; Lam, C.; Chen, D.F.; Cho, K.-S.; et al. Baicalein-A Potent Pro-Homeostatic Regulator of Microglia in Retinal Ischemic Injury. Front. Immunol. 2022, 13, 837497. [Google Scholar] [CrossRef]
- Yang, J.; Zhang, M.; Song, Q.; Li, S.; Zhao, X.; Kan, L.; Zhu, S. Integrating network pharmacological and experimental models to investigate the therapeutic effects of baicalein in glaucoma. Chin. Med. 2021, 16, 124. [Google Scholar] [CrossRef] [PubMed]
- Wong, K.Y.; Phan, C.M.; Chan, Y.T.; Yuen, A.C.; Zhang, H.; Zhao, D.; Chan, K.Y.; Do, C.W.; Lam, T.C.; Qiao, J.H.; et al. A review of using Traditional Chinese Medicine in the management of glaucoma and cataract. Clin. Exp. Optom. 2024, 107, 156–170. [Google Scholar] [CrossRef] [PubMed]
- Wang, H.; Sun, Y.; Guo, W.; Wang, J.; Gao, J.; Peng, W.; Gu, J. Identification and high-throughput quantification of baicalein and its metabolites in plasma and urine. J. Ethnopharmacol. 2023, 301, 115853. [Google Scholar] [CrossRef] [PubMed]
- Tian, S.; He, G.; Song, J.; Wang, S.; Xin, W.; Zhang, D.; Du, G. Pharmacokinetic study of baicalein after oral administration in monkeys. Fitoterapia 2012, 83, 532–540. [Google Scholar] [CrossRef]
- Hou, Y.C.; Lin, S.P.; Tsai, S.Y.; Ko, M.H.; Chang, Y.C.; Chao, P.D. Flavonoid pharmacokinetics and tissue distribution after repeated dosing of the roots of Scutellaria baicalensis in rats. Planta Medica 2011, 77, 455–460. [Google Scholar] [CrossRef]
- Kim, Y.H.; Jeong, D.W.; Kim, Y.C.; Sohn, D.H.; Park, E.S.; Lee, H.S. Pharmacokinetics of baicalein, baicalin and wogonin after oral administration of a standardized extract of Scutellaria baicalensis, PF-2405 in rats. Arch. Pharmacal Res. 2007, 30, 260–265. [Google Scholar] [CrossRef]
- Bo, Y.; Wang, L.; Wu, X.; Zhao, L.; Yang, J.; Xiong, Z.; Wu, C. Development and validation of a UHPLC-MS/MS method for the simultaneous determination of five bioactive flavonoids in rat plasma and comparative pharmacokinetic study after oral administration of Xiaochaihu Tang and three compatibilities. J. Sep. Sci. 2017, 40, 1896–1905. [Google Scholar] [CrossRef]
- Lu, J.Z.; Hong, D.D.; Ye, D.; Mu, S.; Shi, R.; Song, Y.; Feng, C.; Ma, B.L. Tissue distribution and integrated pharmacokinetic properties of major effective constituents of oral Gegen-Qinlian decoction in mice. Front. Pharmacol. 2022, 13, 996143. [Google Scholar] [CrossRef]
- Wang, R.; Wang, C.; Lu, L.; Yuan, F.; He, F. Baicalin and baicalein in modulating tumor microenvironment for cancer treatment: A comprehensive review with future perspectives. Pharmacol. Res. 2024, 199, 107032. [Google Scholar] [CrossRef]
- Park, W.; Jang, H.; Kim, H.S.; Park, S.J.; Lim, W.; Song, G.; Park, S. Therapeutic efficacy and anti-inflammatory mechanism of baicalein on endometriosis progression in patient-derived cell line and mouse model. Phytomedicine 2024, 130, 155469. [Google Scholar] [CrossRef]
- Zhang, L.; Zhang, J.; Wang, L.; Xia, H. Ocular pharmacokinetics and availability of topically applied baicalein in rabbits. Curr. Eye Res. 2009, 34, 257–263. [Google Scholar] [CrossRef] [PubMed]
- Levkovitch-Verbin, H. Animal models of optic nerve diseases. Eye 2004, 18, 1066–1074. [Google Scholar] [CrossRef] [PubMed]
- Feng, Z.; Zhou, J.; Shang, X.; Kuang, G.; Han, J.; Lu, L.; Zhang, L. Comparative research on stability of baicalin and baicalein administrated in monomer and total flavonoid fraction form of Radix scutellariae in biological fluids in vitro. Pharm. Biol. 2017, 55, 1177–1184. [Google Scholar] [CrossRef]
- Xing, J.; Chen, X.; Zhong, D. Stability of baicalin in biological fluids in vitro. J. Pharm. Biomed. Anal. 2005, 39, 593–600. [Google Scholar] [CrossRef] [PubMed]
- Schmitt, M.; Hippeläinen, E.; Raviña, M.; Arango-Gonzalez, B.; Antopolsky, M.; Vellonen, K.S.; Airaksinen, A.J.; Urtti, A. Intravitreal Pharmacokinetics in Mice: SPECT/CT Imaging and Scaling to Rabbits and Humans. Mol. Pharm. 2019, 16, 4399–4404. [Google Scholar] [CrossRef]
- Puranen, J.; Ranta, V.P.; Ruponen, M.; Urtti, A.; Sadeghi, A. Quantitative intravitreal pharmacokinetics in mouse as a step towards inter-species translation. Exp. Eye Res. 2023, 235, 109638. [Google Scholar] [CrossRef]
- Julien-Schraermeyer, S.; Illing, B.; Tschulakow, A.; Taubitz, T.; Guezguez, J.; Burnet, M.; Schraermeyer, U. Penetration, distribution, and elimination of remofuscin/soraprazan in Stargardt mouse eyes following a single intravitreal injection using pharmacokinetics and transmission electron microscopic autoradiography: Implication for the local treatment of Stargardt’s disease and dry age-related macular degeneration. Pharmacol. Res. Perspect. 2020, 8, 00683. [Google Scholar]
- Tse, D.Y.; Kim, S.J.; Chung, I.; He, F.; Wensel, T.G.; Wu, S.M. The ocular toxicity and pharmacokinetics of simvastatin following intravitreal injection in mice. Int. J. Ophthalmol. 2017, 10, 1361–1369. [Google Scholar] [CrossRef] [PubMed]
- Boyer, D.D.; Ko, Y.-P.; Podos, S.D.; Cartwright, M.E.; Gao, X.; Wiles, J.A.; Huang, M. Danicopan, an Oral Complement Factor D Inhibitor, Exhibits High and Sustained Exposure in Ocular Tissues in Preclinical Studies. Transl. Vis. Sci. Technol. 2022, 11, 37. [Google Scholar] [CrossRef] [PubMed]
- Yasui, H.; Kawakami, T.; Kashiwagi, H.; Mori, K.; Omae, K.; Kasai, J.; Yoshisue, K.; Kawahira, M.; Tsushima, T.; Machida, N.; et al. Pharmacokinetics of S-1 monotherapy in plasma and in tears for gastric cancer patients. Int. J. Clin. Oncol. 2019, 24, 660–665. [Google Scholar] [CrossRef]
- Del Sole, M.J.; Schaiquevich, P.; Aba, M.A.; Lanusse, C.E.; Moreno, L. Plasma and ocular prednisolone disposition after oral treatment in cats. Biomed Res. Int. 2013, 2013, 209439. [Google Scholar] [CrossRef]
- Sadeghi, A.; Puranen, J.; Ruponen, M.; Valtari, A.; Subrizi, A.; Ranta, V.P.; Toropainen, E.; Urtti, A. Pharmacokinetics of intravitreal macromolecules: Scaling between rats and rabbits. Eur. J. Pharm. Sci. 2021, 159, 105720. [Google Scholar] [CrossRef]
- Fong, S.Y.; Wong, Y.C.; Zuo, Z. Development of a SPE-LC/MS/MS method for simultaneous quantification of baicalein, wogonin, oroxylin A and their glucuronides baicalin, wogonoside and oroxyloside in rats and its application to brain uptake and plasma pharmacokinetic studies. J. Pharm. Biomed. Anal. 2014, 97, 9–23. [Google Scholar] [CrossRef] [PubMed]
- Fu, Z.; Di, Y.; Gao, L.; Wu, J.; Shi, M.; Zheng, F. The Drug Metabolism and Pharmacokinetics Investigation about Baicalin Effect and Baicalein on Mice U14 Cervical Cancer. J. Spectrosc. 2015, 2015, 632062. [Google Scholar] [CrossRef]
- Li, L.; Gao, H.; Lou, K.; Luo, H.; Hao, S.; Yuan, J.; Liu, Z.; Dong, R. Safety, tolerability, and pharmacokinetics of oral baicalein tablets in healthy Chinese subjects: A single-center, randomized, double-blind, placebo-controlled multiple-ascending-dose study. Clin. Transl. Sci. 2021, 14, 2017–2024. [Google Scholar] [CrossRef]
- Soe, H.; Maw, P.D.; Loftsson, T.; Jansook, P. A Current Overview of Cyclodextrin-Based Nanocarriers for Enhanced Antifungal Delivery. Pharmaceuticals 2022, 15, 1447. [Google Scholar] [CrossRef]
- Xu, J.; Tao, J.; Wang, J. Design and Application in Delivery System of Intranasal Antidepressants. Front. Bioeng. Biotechnol. 2020, 8, 626882. [Google Scholar] [CrossRef] [PubMed]






| Compound | Spiked Conc. (ng/mL) | Extraction Recovery (%) | Matrix Effects (%) | ||
|---|---|---|---|---|---|
| Eye | Serum | Eye | Serum | ||
| Baicalein | 2 | 98.99 ± 1.10 | 94.01 ± 1.00 | 102.88 ±1.97 | 95.76 ± 0.31 |
| 128 | 95.17 ± 1.04 | 94.91 ± 0.77 | 94.33 ± 1.92 | 101.23 ± 0.58 | |
| 768 | 95.76 ± 0.31 | 99.59 ± 1.22 | 100.07 ± 2.11 | 103.72 ± 1.02 | |
| Baicalin | 2 | 94.95 ± 1.97 | 94.05 ± 0.80 | 99.76 ± 1.92 | 94.21 ± 1.55 |
| 128 | 96.07 ± 1.72 | 95.34 ± 0.61 | 84.94 ± 0.80 | 90.95 ± 0.66 | |
| 768 | 93.24 ± 1.26 | 97.76 ± 0.71 | 90.57 ± 0.76 | 94.07 ± 1.40 | |
| Formononetin (IS) | 25 | 92.24 ± 0.99 | 95.74 ± 0.93 | 102.40 ± 1.78 | 85.45 ± 0.86 |
| Compound | Tissue | Linear Range (ng/mL) | Linear Regression Equation | R2 |
|---|---|---|---|---|
| Baicalein | Eye | 0.25–512 | y = 0.12963x + 0.01034 | 0.99506 |
| 0.25–512 | y = 0.10783x + 0.19104 | 0.99620 | ||
| Serum | 0.25–256 | y = 0.22202x + 0.01908 | 0.99630 | |
| 2–1024 | y = 0.01159x + 0.00614 | 0.99507 | ||
| Baicalin | Eye | 0.25–256 | y = 0.31980x − 0.02202 | 0.99029 |
| 0.25–512 | y = 0.23888x + 0.03587 | 0.99826 | ||
| Serum | 0.25–64 | y = 0.71231x + 0.02398 | 0.99637 | |
| 16–16,384 | y = 0.01103x + 0.01527 | 0.99116 |
| Parameter | T1/2 (h) | Cmax (ng/g of Eye) | Tmax (h) | AUCall (h·ng/g) | MRT (h) | CLss (g/h) | Vss (g) |
|---|---|---|---|---|---|---|---|
| One-compartment | 0.49 | 351.65 | 0 | 247.07 | 0.70 | 8.10 | 5.69 |
| Non-compartment | 0.72 | 331.56 | 0.083 | 295.40 | 0.89 | 6.61 | 6.82 |
| Time (h) | Concentration (ng/mL) | |
|---|---|---|
| Baicalein | Baicalin | |
| 0.083 | 1.79 ± 0.24 | 0.06 ± 0.007 |
| 0.25 | <LLOQ | 0.03 ± 0.005 |
| 0.5, 1, 2, 4, 8, 24, 96 | <LLOQ | <LLOQ |
| Time (h) | 2 μL of 100 μM (IVT, ng/g) | 20 mg/kg (Oral, ng/g) | 200 mg/kg (Oral, ng/g) |
|---|---|---|---|
| 0.083 | 331.56 ± 17.75 | 49.70 ± 2.07 ## | 309.70 ± 24.75 * |
| 0.25 | 236.02 ± 17.60 | 380.43 ± 52.85 | 203.67 ± 6.89 |
| 0.5 | 132.77 ± 15.03 | 65.47 ± 3.23 | 216.49 ± 20.19 |
| 1 | 124.77 ± 16.00 | 96.49 ± 13.15 # | 324.18 ± 25.19 * |
| 2 | 25.30 ± 2.56 | 194.63 ± 34.99 | 200.50 ± 8.52 |
| 4 | 7.13 ± 0.79 | 64.81 ± 3.19 | 191.96 ± 13.24 |
| 6 | / | 34.22 ± 1.37 | 81.14 ± 2.06 |
| 8 | 7.79 ± 0.99 | 191.02 ± 20.17 | 121.00 ± 11.77 |
| 10 | / | 17.48 ± 1.67 | 104.03 ± 5.33 |
| 24 | 4.30 ± 0.60 | 14.01 ± 2.32 | 27.56 ± 1.18 |
| 96 | 0.62 ± 0.12 | 6.50 ± 1.25 | 52.57 ± 3.16 |
| Concentration | Compound | T1/2 (h) | Cmax (ng/g) | Tmax (h) | AUClast (h·ng/g) | MRT (h) | CL/F (g/h/kg) | Vz/F (g/kg) |
|---|---|---|---|---|---|---|---|---|
| 20 mg/kg (Oral) | Baicalein | 8.56 ± 1.91 * | 425.20 ± 109.90 | 1.58 ± 0.52 | 1224.88 ± 306.65 | 10.69 ± 1.63 ** | 29,974.07 ± 10,597.90 | 247,394.32 ± 65,390.70 * |
| Baicalin | 5.13 ± 0.57 | 172.76 ± 15.39 | 0.083 ± 0 | 699.63 ± 71.22 | 9.06 ± 0.72 | / | / | |
| 200 mg/kg (Oral) | Baicalein | 9.35 ± 0.58 *** | 370.40 ± 47.97 | 0.76 ± 0.12 * | 2455.48 ± 272.64 ** | 11.86 ± 0.69 *** | 101,059.02 ± 11,721.36 * | 1,391,602.60 ± 178,176.54 * |
| Baicalin | 4.85 ± 0.12 | 558.39 ± 46.66 | 1.19 ± 0.16 | 5558.40 ± 467.38 | 7.86 ± 0.03 | / | / | |
| 2 μL 100 μM (IVT) | Baicalein | 0.75 ± 0.01 | 495.27 ± 63.95 | 0.083 ± 0 | 298.62 ± 65.72 | 0.80 ± 0.03 | 0.37 ± 0.06 | 0.40 ± 0.07 |
| Concentration | Compound | T1/2 (h) | Cmax (ng/g) | Tmax (h) | AUClast (h·ng/g) | MRT (h) | CL/F (g/h/kg) | Vz/F (g/kg) |
|---|---|---|---|---|---|---|---|---|
| 20 mg/kg | Baicalein | 6.29 ± 0.33 | 133.02 ± 13.88 | 0.083 ± 0 | 103.62 ± 11.15 | 7.76 ± 0.25 | 236,436.68 ± 19,452.83 | 1,919,849.9 ± 108,728.07 |
| Baicalin | 2.11 ± 0.04 | 5920.99 ± 309.29 | 0.083 ± 0 | 14,995.30 ± 1359.83 | 5.77 ± 0.07 | / | / | |
| 200 mg/kg | Baicalein | 4.34 ± 0.07 | 269.16 ± 55.17 | 1.42 ± 0.33 | 769.31 ± 80.30 | 6.58 ± 0.15 | 336,943.77 ± 30,431.13 | 2,159,422.7 ± 210,417.33 |
| Baicalin | 3.32 ± 0.06 | 11,214.76 ± 764.57 | 0.72 ± 0.16 | 110,646.81 ± 8573.94 | 7.29 ± 0.07 | / | / |
Disclaimer/Publisher’s Note: The statements, opinions and data contained in all publications are solely those of the individual author(s) and contributor(s) and not of MDPI and/or the editor(s). MDPI and/or the editor(s) disclaim responsibility for any injury to people or property resulting from any ideas, methods, instructions or products referred to in the content. |
© 2026 by the authors. Licensee MDPI, Basel, Switzerland. This article is an open access article distributed under the terms and conditions of the Creative Commons Attribution (CC BY) license.
Share and Cite
Zhi, Y.; Pan, L.; Xiong, W.; Lam, T.C.; Xiao, H.; Do, C.W. Ocular and Systemic Pharmacokinetics of Baicalein and Baicalin After Intravitreal Injection and Oral Administration in Mice. Pharmaceutics 2026, 18, 243. https://doi.org/10.3390/pharmaceutics18020243
Zhi Y, Pan L, Xiong W, Lam TC, Xiao H, Do CW. Ocular and Systemic Pharmacokinetics of Baicalein and Baicalin After Intravitreal Injection and Oral Administration in Mice. Pharmaceutics. 2026; 18(2):243. https://doi.org/10.3390/pharmaceutics18020243
Chicago/Turabian StyleZhi, Yunshi, Li Pan, Wenjun Xiong, Thomas Chuen Lam, Huihui Xiao, and Chi Wai Do. 2026. "Ocular and Systemic Pharmacokinetics of Baicalein and Baicalin After Intravitreal Injection and Oral Administration in Mice" Pharmaceutics 18, no. 2: 243. https://doi.org/10.3390/pharmaceutics18020243
APA StyleZhi, Y., Pan, L., Xiong, W., Lam, T. C., Xiao, H., & Do, C. W. (2026). Ocular and Systemic Pharmacokinetics of Baicalein and Baicalin After Intravitreal Injection and Oral Administration in Mice. Pharmaceutics, 18(2), 243. https://doi.org/10.3390/pharmaceutics18020243

