Sign in to use this feature.

Years

Between: -

Subjects

remove_circle_outline
remove_circle_outline
remove_circle_outline
remove_circle_outline
remove_circle_outline
remove_circle_outline
remove_circle_outline
remove_circle_outline
remove_circle_outline

Journals

Article Types

Countries / Regions

Search Results (82)

Search Parameters:
Keywords = auxiliary electrodes

Order results
Result details
Results per page
Select all
Export citation of selected articles as:
27 pages, 3728 KB  
Article
Improved SSVEP Classification Through EEG Artifact Reduction Using Auxiliary Sensors
by Marcin Kołodziej, Andrzej Majkowski and Przemysław Wiszniewski
Sensors 2026, 26(3), 917; https://doi.org/10.3390/s26030917 (registering DOI) - 31 Jan 2026
Abstract
Steady-state visual evoked potentials (SSVEPs) are one of the key paradigms used in brain–computer interface (BCI) systems. Their performance, however, is substantially degraded by EEG artifacts of muscular, motion-related, and ocular origin. This issue is particularly pronounced in individuals exhibiting increased facial muscle [...] Read more.
Steady-state visual evoked potentials (SSVEPs) are one of the key paradigms used in brain–computer interface (BCI) systems. Their performance, however, is substantially degraded by EEG artifacts of muscular, motion-related, and ocular origin. This issue is particularly pronounced in individuals exhibiting increased facial muscle tension or involuntary eye movements. The aim of this study was to develop and evaluate an EEG artifact reduction method based on auxiliary channels, including central (Cz), frontal (Fp1), electrooculographic (HEOG), and muscular electrodes (neck, cheek, jaw). Signals from these channels were used to model the physical sources of interference recorded concurrently with occipital brain activity (O1, O2, Oz). EEG signal cleaning was performed using linear regression in 1-s windows, followed by frequency-domain analysis to extract features related to stimulation frequencies and SSVEP classification using SVM and CNN algorithms. The experiment involved three visual stimulation frequencies (7, 8, and 9 Hz) generated by LEDs and the recording of controlled facial and jaw-related artifacts. Experiments conducted on 12 participants demonstrated a 9% increase in classification accuracy after artifact removal. Further analysis indicated that the Cz and jaw channels contributed most significantly to effective artifact suppression. The results confirm that the use of auxiliary channels substantially improves EEG signal quality and enhances the reliability of BCI systems under real-world conditions. Full article
(This article belongs to the Special Issue Advances in EEG Sensors: Research and Applications)
Show Figures

Figure 1

16 pages, 3097 KB  
Article
Enhancing the Photoresponsivity and External Quantum Efficiency of ReSe2 Photodetectors Through the Insertion of a Graphene Auxiliary Layer
by Qiutong Liu, Beiyang Jin, Yutong Li, Peishuo Li, Jingyu Zhang, Yankun Chen, Chenkai Hu and Wei Li
Sensors 2026, 26(1), 115; https://doi.org/10.3390/s26010115 - 24 Dec 2025
Viewed by 495
Abstract
Two-dimensional (2D) materials demonstrate significant potential in photodetector technology. They offer high sensitivity, wide spectral range, flexibility and transparency, especially in infrared detection, promising advancements in wearable and flexible electronics. This study explores the application of 2D materials in high-performance photodetectors. Rhenium diselenide [...] Read more.
Two-dimensional (2D) materials demonstrate significant potential in photodetector technology. They offer high sensitivity, wide spectral range, flexibility and transparency, especially in infrared detection, promising advancements in wearable and flexible electronics. This study explores the application of 2D materials in high-performance photodetectors. Rhenium diselenide (ReSe2) was used as the channel, and graphene (Gr) was inserted between ReSe2 and SiO2 as the gate electrode to enhance device performance. A ReSe2/Gr heterostructure field-effect transistor (FET) was fabricated to investigate the role of Gr in improving the optoelectronic properties of ReSe2 phototransistors. Specifically, the ReSe2 FET without Gr auxiliary layer demonstrates a responsivity (R) of 294 mA/W, an external quantum efficiency (EQE) of 68.75%, and response times as brief as 40/62 ms. Compared with the ReSe2 phototransistor, the ReSe2/Gr phototransistor exhibits significantly improved photoresponsivity and EQE, with the photoresponsivity enhanced by a factor of ap-proximately 3.58 and the EQE enhanced by a factor of approximately 3.59. These enhancements are mainly attributed to optimization of interfacial band alignment and the strengthened photogating effect by Gr auxiliary layer. This research not only underscores the pivotal role of Gr in boosting the capabilities of 2D photodetectors but also offers a viable strategy for developing high-performance photodetectors with 2D materials. Full article
Show Figures

Figure 1

16 pages, 2897 KB  
Article
Self-Powered Microfluidic System Based on Double-Layer Rotational Triboelectric Nanogenerator
by Yiming Zhong, Haofeng Li and Dongping Wu
Micromachines 2025, 16(12), 1386; https://doi.org/10.3390/mi16121386 - 6 Dec 2025
Viewed by 591
Abstract
Self-powered microfluidic systems represent a promising direction toward autonomous and portable lab-on-chip technologies, yet conventional electrowetting platforms remain constrained by bulky high-voltage supplies and intricate control circuitry. In this work, we design a triboelectric nanogenerator (TENG)-based microfluidic system that harvests mechanical energy for [...] Read more.
Self-powered microfluidic systems represent a promising direction toward autonomous and portable lab-on-chip technologies, yet conventional electrowetting platforms remain constrained by bulky high-voltage supplies and intricate control circuitry. In this work, we design a triboelectric nanogenerator (TENG)-based microfluidic system that harvests mechanical energy for droplet manipulation without any external electronics. The TENG integrates two triboelectric units with a 25° phase offset, enabling periodic high-voltage generation. Finite element simulations elucidate the electric field distributions of the TENG and microfluidic chip, validating the operating principle of the integrated microfluidic system. Experimental studies further quantify the effects of electrode geometry and rotational speed on the critical drivable droplet volume, demonstrating stable transport over linear, S-shaped, and circular trajectories. Remarkably, the droplet motion direction can be instantaneously reversed by reversing the TENG rotation direction, achieving bidirectional control without auxiliary circuitry. This work establishes a voltage-optimized, structurally tunable, and fully self-powered platform, offering a new paradigm for portable digital microfluidics. Full article
Show Figures

Figure 1

16 pages, 2181 KB  
Article
Continuous Separation of Lithium Iron Phosphate and Graphite Microparticles via Coupled Electric and Magnetic Fields
by Wenbo Liu, Xiaolei Chen, Pengfei Qi, Xiaomin Liu and Yan Wang
Micromachines 2025, 16(10), 1094; https://doi.org/10.3390/mi16101094 - 26 Sep 2025
Viewed by 685
Abstract
Driven by the growing demand for sustainable resource utilization, the recovery of valuable constituents from spent lithium-ion batteries (LIBs) has attracted considerable attention, whereas conventional recycling processes remain energy-intensive, inefficient, and environmentally detrimental. Herein, an efficient and environmentally benign separation strategy integrating dielectrophoresis [...] Read more.
Driven by the growing demand for sustainable resource utilization, the recovery of valuable constituents from spent lithium-ion batteries (LIBs) has attracted considerable attention, whereas conventional recycling processes remain energy-intensive, inefficient, and environmentally detrimental. Herein, an efficient and environmentally benign separation strategy integrating dielectrophoresis (DEP) and magnetophoresis (MAP) is proposed for isolating the primary components of “black mass” from spent LIBs, i.e., lithium iron phosphate (LFP) and graphite microparticles. A coupled electric–magnetic–fluid dynamic model is established to predict particle motion behavior, and a custom-designed microparticle separator is developed for continuous LFP–graphite separation. Numerical simulations are performed to analyze microparticle trajectories under mutual effects of DEP and MAP and to evaluate the feasibility of binary separation. Structural optimization revealed that the optimal separator configuration comprised an electrode spacing of 2 mm and a ferromagnetic body length of 5 mm with 3 mm spacing. Additionally, a numerical study also found that an auxiliary flow velocity ratio of 3 resulted in the best particle focusing effect. Furthermore, the effects of key operational parameters, including electric and magnetic field strengths and flow velocity, on particle migration were systematically investigated. The findings revealed that these factors significantly enhanced the lateral migration disparity between LFP and graphite within the separation channel, thereby enabling complete separation of LFP particles with high purity and recovery under optimized conditions. Overall, this study provides a theoretical foundation for the development of high-performance and environmentally sustainable LIBs recovery technologies. Full article
(This article belongs to the Collection Micro/Nanoscale Electrokinetics)
Show Figures

Figure 1

59 pages, 824 KB  
Systematic Review
A Systematic Review of Techniques for Artifact Detection and Artifact Category Identification in Electroencephalography from Wearable Devices
by Pasquale Arpaia, Matteo De Luca, Lucrezia Di Marino, Dunja Duran, Ludovica Gargiulo, Paola Lanteri, Nicola Moccaldi, Marco Nalin, Mauro Picciafuoco, Rachele Robbio and Elisa Visani
Sensors 2025, 25(18), 5770; https://doi.org/10.3390/s25185770 - 16 Sep 2025
Cited by 4 | Viewed by 4702
Abstract
Wearable electroencephalography (EEG) enables brain monitoring in real-world environments beyond clinical settings; however, the relaxed constraints of the acquisition setup often compromise signal quality. This review examines methods for artifact detection and for the identification of artifact categories (e.g., ocular) and specific sources [...] Read more.
Wearable electroencephalography (EEG) enables brain monitoring in real-world environments beyond clinical settings; however, the relaxed constraints of the acquisition setup often compromise signal quality. This review examines methods for artifact detection and for the identification of artifact categories (e.g., ocular) and specific sources (e.g., eye blink) in wearable EEG. A systematic search was conducted across six databases using the query: (“electroencephalographic” OR “electroencephalography” OR “EEG”) AND (“Artifact detection” OR “Artifact identification” OR “Artifact removal” OR “Artifact rejection”) AND “wearable”. Following PRISMA guidelines, 58 studies were included. Artifacts in wearable EEG exhibit specific features due to dry electrodes, reduced scalp coverage, and subject mobility, yet only a few studies explicitly address these peculiarities. Most pipelines integrate detection and removal phases but rarely separate their impact on performance metrics, mainly accuracy (71%) when the clean signal is the reference and selectivity (63%), assessed with respect to physiological signal. Wavelet transforms and ICA, often using thresholding as a decision rule, are among the most frequently used techniques for managing ocular and muscular artifacts. ASR-based pipelines are widely applied for ocular, movement, and instrumental artifacts. Deep learning approaches are emerging, especially for muscular and motion artifacts, with promising applications in real-time settings. Auxiliary sensors (e.g., IMUs) are still underutilized despite their potential in enhancing artifact detection under ecological conditions. Only two studies addressed artifact category identification. A mapping of validated pipelines per artifact type and a survey of public datasets are provided to support benchmarking and reproducibility. Full article
Show Figures

Figure 1

17 pages, 8385 KB  
Article
Flow Field Simulation and Experimental Study of Electrode-Assisted Oscillating Electrical Discharge Machining in the Cf-ZrB2-SiC Micro-Blind Hole
by Chuanyang Ge, Sirui Gong, Junbo He, Kewen Wang, Jiahao Xiu and Zhenlong Wang
Materials 2025, 18(17), 3944; https://doi.org/10.3390/ma18173944 - 22 Aug 2025
Viewed by 751
Abstract
In the micro-EDM blind-hole machining of Cf-ZrB2-SiC ceramics, defects such as bottom surface protrusion and machining fillets are often encountered. The implementation of an electrode-assisted oscillating device has proven effective in improving machining outcomes. To unravel the fundamental reasons [...] Read more.
In the micro-EDM blind-hole machining of Cf-ZrB2-SiC ceramics, defects such as bottom surface protrusion and machining fillets are often encountered. The implementation of an electrode-assisted oscillating device has proven effective in improving machining outcomes. To unravel the fundamental reasons behind the optimization enabled by this auxiliary oscillating device, this paper presents fluid simulation research, providing a quantitative comparison of the differences in machining gap flow field characteristics and debris motion behaviors under conditions with and without the assistance of the oscillating device. Firstly, this paper briefly describes the characteristics of Cf-ZrB2-SiC discharge products and flow field deficiencies during conventional machining and introduces the working principle of electrode-assisted oscillation devices to establish the background and objectives of the simulation study. Subsequently, this research established simulation models for both conventional machining and oscillating machining based on actual processing conditions. CFD numerical simulations were conducted to compare flow field differences between conditions with and without auxiliary machining devices. The results demonstrate that, compared to conventional machining, electrode oscillation not only increases the maximum velocity of the working fluid by nearly 32% but also provides a larger debris accommodation space, effectively preventing secondary discharge. Regarding debris agglomeration, oscillating machining resolves the low-velocity zone issues present in conventional modes, increasing debris velocity from 0 mm/s to 7.5 mm/s and ensuring continuous debris motion. Furthermore, the DPM was used to analyze particle distribution and motion velocities, confirming that vortex effects form within the hole under oscillating conditions. These vortices effectively draw bottom debris outward, preventing local accumulation. Finally, from the perspective of debris distribution, the formation mechanisms of micro-hole morphology and the tool electrode wear patterns were explained. Full article
Show Figures

Graphical abstract

15 pages, 2563 KB  
Communication
H2O2 Sensitivity of Kv Channels in Hypoxic Pulmonary Vasoconstriction: Experimental Conditions Matter
by Ornella Tchokondu Yamdjeu, Anouk Begerow, Natascha Sommer, Martin Diener, Norbert Weissmann and Fenja Knoepp
Int. J. Mol. Sci. 2025, 26(14), 6857; https://doi.org/10.3390/ijms26146857 - 17 Jul 2025
Cited by 1 | Viewed by 1307
Abstract
Hypoxic pulmonary vasoconstriction (HPV) optimizes gas exchange but, when impaired, can result in life-threatening hypoxemia. Moreover, under conditions of generalized alveolar hypoxia, HPV can result in pulmonary hypertension. Voltage-gated K+ channels (Kv channels) are key to HPV: a change in the [...] Read more.
Hypoxic pulmonary vasoconstriction (HPV) optimizes gas exchange but, when impaired, can result in life-threatening hypoxemia. Moreover, under conditions of generalized alveolar hypoxia, HPV can result in pulmonary hypertension. Voltage-gated K+ channels (Kv channels) are key to HPV: a change in the intracellular hydrogen peroxide (H2O2) levels during acute hypoxia is assumed to modulate these channels’ activity to trigger HPV. However, there are longstanding conflicting findings on whether H2O2 inhibits or activates Kv channels. Therefore, we hypothesized that H2O2 affects Kv channels depending on the experimental conditions, i.e., the H2O2 concentration, the channel’s subunit configuration or the experimental clamping potential in electrophysiological recordings. Therefore, cRNAs encoding the Kv1.5 channel and the auxiliary Kvβ subunits (Kvβ1.1, Kvβ1.4) were generated via in vitro transcription before being injected into Xenopus laevis oocytes for heterologous expression. The K+ currents of homomeric (Kv1.5) or heteromeric (Kv1.5/Kvβ1.1 or Kv1.5/Kvβ1.4) channels were assessed by two-electrode voltage clamp. The response of the Kv channels to H2O2 was markedly dependent on (a) the clamping potential, (b) the H2O2 concentration, and (c) the Kv channel’s subunit composition. In conclusion, our data highlight the importance of the choice of experimental conditions when assessing the H2O2 sensitivity of Kv channels in the context of HPV, thus providing an explanation for the long-lasting controversial findings reported in the literature. Full article
(This article belongs to the Special Issue Voltage-Gated Ion Channels and Human Diseases)
Show Figures

Figure 1

20 pages, 9766 KB  
Article
Precision Hotspot Mitigation in Wafer-Level Electroplating with Novel Auxiliary Electrode Design for Advanced Large-Scale Chip Packaging
by Tao Jiang, Huiyong Hu, He Wang, Qiongling Yin, Pengpeng Lin, Yongyan Wei, Yanan Xu, Yitian Wang and Feng Hong
Electronics 2025, 14(5), 944; https://doi.org/10.3390/electronics14050944 - 27 Feb 2025
Cited by 1 | Viewed by 1702
Abstract
This study introduces a novel, non-rotationally symmetrical auxiliary electrode design aimed at mitigating localized hotspots and enhancing the deposition uniformity in wafer-level electroplating for advanced large-scale chip packaging. The formation of hotspots and deposition non-uniformity, particularly at the wafer edge and in regions [...] Read more.
This study introduces a novel, non-rotationally symmetrical auxiliary electrode design aimed at mitigating localized hotspots and enhancing the deposition uniformity in wafer-level electroplating for advanced large-scale chip packaging. The formation of hotspots and deposition non-uniformity, particularly at the wafer edge and in regions with complex die layouts, presents significant challenges in electroplating processes. To address these issues, the proposed auxiliary electrode incorporates a dynamic angle control mechanism, which facilitates the precise, localized modulation of the current density. This innovative design improves the regulation of current distribution in hotspot-prone regions, without compromising the overall stability and uniformity of the wafer-level electroplating process. Extensive numerical simulations were conducted to assess the electrode’s effectiveness in redistributing current density, resulting in a marked reduction in current density at the wafer edge, thereby mitigating over-deposition and enhancing overall uniformity. The simulation results also demonstrated the electrode’s capability for dynamic current flow regulation, enabling localized adjustments only when necessary and minimizing disruptions to the electroplating process. Experimental validation further corroborated the simulation findings, with repeated trials confirming the electrode’s consistent performance in reducing localized over-deposition in hotspot regions while maintaining uniform plating in unaffected areas. These findings underscore the potential of the auxiliary electrode as a robust solution for addressing hotspot formation and deposition uniformity challenges in electroplating, providing a solid foundation for its industrial implementation in advanced chip packaging and related fields. Full article
(This article belongs to the Section Microelectronics)
Show Figures

Figure 1

13 pages, 4773 KB  
Article
Research on Helical Electrode Electrochemical Drilling Assisted by Anode Vibration for Jet Micro-Hole Arrays on Tube Walls
by Tao Yang, Yikai Xiao, Yusen Hang, Xiujuan Wu and Weijing Kong
Micromachines 2025, 16(1), 86; https://doi.org/10.3390/mi16010086 - 13 Jan 2025
Cited by 2 | Viewed by 1282
Abstract
The electrochemical cutting technique, utilizing electrolyte flushing through micro-hole arrays in the radial direction of a tube electrode, offers the potential for cost-effective and high-surface-integrity machining of large-thickness, straight-surface structures of difficult-to-cut materials. However, fabricating the array of jet micro-holes on the tube [...] Read more.
The electrochemical cutting technique, utilizing electrolyte flushing through micro-hole arrays in the radial direction of a tube electrode, offers the potential for cost-effective and high-surface-integrity machining of large-thickness, straight-surface structures of difficult-to-cut materials. However, fabricating the array of jet micro-holes on the tube electrode sidewall remains a significant challenge, limiting the broader application of this technology. To enhance the efficiency and quality of machining these jet micro-holes on the tube sidewall, a helical electrode electrochemical drilling method assisted by anode vibration has been proposed. The influence of parameters, such as the rotational direction and speed of the helical electrode, as well as the vibration amplitude and frequency of the workpiece, on the machining results was investigated using fluid field simulation and machining experiments. It was found that these auxiliary movements could facilitate the renewal of electrolytes within the machining gap, thereby enhancing the efficiency and quality of electrochemical drilling. Using the optimized machining parameters, an array of 10 jet micro-holes with a diameter of 200 μm was machined on the metal tube sidewall. Electrochemical cutting with radial electrolyte flushing tests were then performed through these micro-holes. Full article
(This article belongs to the Special Issue Ultra-Precision Machining of Difficult-to-Machine Materials)
Show Figures

Figure 1

14 pages, 5070 KB  
Article
Magnetically Assembled Electrode Incorporating Self-Powered Tourmaline Composite Particles: Exploiting Waste Energy in Electrochemical Wastewater Treatment
by Bo Zhang, Dan Shao, Yaru Wang, Hao Xu and Haojie Song
Catalysts 2025, 15(1), 2; https://doi.org/10.3390/catal15010002 - 24 Dec 2024
Cited by 2 | Viewed by 1029
Abstract
A magnetically assembled electrode (MAE) is a modular electrode format in electrochemical oxidation wastewater treatment. MAE utilizes magnetic forces to attract the magnetic catalytic auxiliary electrodes (AEs) on the main electrode (ME), which has the advantages of high efficiency and flexible adjustability. However, [...] Read more.
A magnetically assembled electrode (MAE) is a modular electrode format in electrochemical oxidation wastewater treatment. MAE utilizes magnetic forces to attract the magnetic catalytic auxiliary electrodes (AEs) on the main electrode (ME), which has the advantages of high efficiency and flexible adjustability. However, the issue of the insufficient polarization of the AEs leaves the potential of this electrode underutilized. In this study, natural tourmaline (Tml) particles with pyroelectric and piezoelectric properties were utilized to solve the above issue by harvesting and converting the waste energy (i.e., the joule heating energy and the bubble striking mechanical energy) from the electrolysis environment into additional electrical energy applied on the AEs. Different contents of Tml particles were composited with Fe3O4/Sb-SnO2 particles as novel AEs, and the structure–activity relationship of the novel MAE was investigated by various electrochemical measurements and orthogonal tests of dye wastewater treatment. The results showed that Tml could effectively enhance all electrochemical properties of the electrode. The optimal dye removal rate was obtained by loading the AEs with 0.2 g·cm−2 when the Tml content was 4.5 wt%. The interaction of current density and Tml content had a significant effect on the COD removal rate, and the mineralization capacity of the electrode was significantly enhanced. The findings of this study have unveiled the potential application of minerals and energy conversion materials in the realm of electrochemical oxidation wastewater treatment. Full article
Show Figures

Graphical abstract

14 pages, 3779 KB  
Article
Revealing Relationship Between In Situ Impedance and Lithium Plating Onset Based on Lithium–Graphite Half-Cells
by Zhao Jiang, Jiangwei Wang, Haiwei Li, Bingyin Luo, Wentao Wu, Xueyuan Wang, Haifeng Dai, Jianjun Jiang and Xuezhe Wei
Batteries 2024, 10(12), 410; https://doi.org/10.3390/batteries10120410 - 23 Nov 2024
Cited by 3 | Viewed by 2903
Abstract
Lithium plating may occur during charging, especially at high rates or overcharging conditions for lithium-ion batteries (LIBs), which would cause battery capacity degradation and even trigger thermal runaway. Thus, it is essential to detect lithium plating onset during the charging processes. Electrochemical impedance [...] Read more.
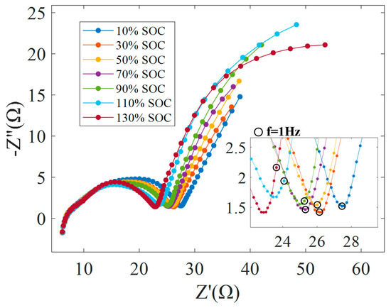
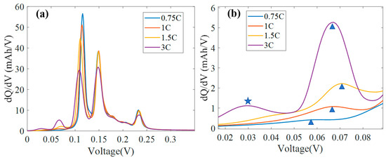
Lithium plating may occur during charging, especially at high rates or overcharging conditions for lithium-ion batteries (LIBs), which would cause battery capacity degradation and even trigger thermal runaway. Thus, it is essential to detect lithium plating onset during the charging processes. Electrochemical impedance can reveal the dynamic electrode properties of the battery, which is promising for use in battery management systems for the online detection of lithium plating onset. In this article, the impedance at 1 Hz is measured during the over-discharge and fast discharge processes using lithium–graphite half-cells. For half-cells, the variation in graphite electrode potential vs. Li/Li+ during discharging is directly recorded. An equivalent circuit model is proposed and adopted to estimate the real lithium plating reaction overpotential, which is deemed the thermodynamic indicator of lithium plating and is used as validation for the detection of lithium plating onset. Through the auxiliary validation of the estimation of lithium plating overpotential and the shape of incremental capacity curves, the relationship between impedance changes at specific frequency and the lithium plating onset is revealed. The results lay a good foundation for proposing the online diagnostic method of lithium plating onset based on the in situ impedance. Full article
(This article belongs to the Section Battery Performance, Ageing, Reliability and Safety)
Show Figures

Figure 1

17 pages, 3162 KB  
Article
Enhancing the Reliability of NO2 Monitoring Using Low-Cost Sensors by Compensating for Temperature and Humidity Effects
by Daniellys Alejo Sánchez, Olivier Schalm, Arianna Álvarez Cruz, Erik Hernández Rodríguez, Alain Martínez Laguardia, David Kairuz Cabrera and Mayra C. Morales Pérez
Atmosphere 2024, 15(11), 1365; https://doi.org/10.3390/atmos15111365 - 13 Nov 2024
Cited by 3 | Viewed by 2320
Abstract
The study investigates methods to enhance the reliability of NO2 monitoring using low-cost electrochemical sensors to measure gaseous pollutants in air by addressing the impacts of temperature and relative humidity. The temperature within a plastic container was controlled using an internal mica [...] Read more.
The study investigates methods to enhance the reliability of NO2 monitoring using low-cost electrochemical sensors to measure gaseous pollutants in air by addressing the impacts of temperature and relative humidity. The temperature within a plastic container was controlled using an internal mica heater, an external hot air blower, or cooling packs, while relative humidity was adjusted using glycerine solutions. Findings indicated that the auxiliary electrode signal is susceptible to temperature and moderately affected by relative humidity. In contrast, the working electrode signal is less affected by temperature and relative humidity; however, adjustments are still required to determine gas concentrations accurately. Tests involving on/off cycles showed that the auxiliary electrode signal experiences exponential decay before stabilizing, requiring the exclusion of initial readings during monitoring activities. Additionally, calibration experiments in zero air allowed the determination of the compensation factor nT across different temperatures and humidity levels. These results highlight the importance of compensating for temperature and humidity effects to improve the accuracy and reliability of NO2 measurements using low-cost electrochemical sensors. This refinement makes the calibration applicable across a broader range of environmental conditions. However, the experiments also show a lack of repeatability in the zero air calibration. Full article
(This article belongs to the Section Air Quality)
Show Figures

Figure 1

11 pages, 2405 KB  
Article
A Simple Procedure to Obtain the Grounding Resistance Measurement of Very Large and Urban Electrodes by a Modified Fall-of-Potential Method
by Jorge Moreno, Pascual Simón, Eduardo Faleiro, Daniel García, Gregorio Denche and Gabriel Asensio
Appl. Sci. 2024, 14(17), 8040; https://doi.org/10.3390/app14178040 - 8 Sep 2024
Cited by 1 | Viewed by 2352
Abstract
The measurement of the grounding resistance of grounding grids in large installations as well as grounding electrodes in urban areas is addressed in this article. The resistance value is obtained using a three-pin array by measuring the fall-of-potential on the ground surface. The [...] Read more.
The measurement of the grounding resistance of grounding grids in large installations as well as grounding electrodes in urban areas is addressed in this article. The resistance value is obtained using a three-pin array by measuring the fall-of-potential on the ground surface. The resistance measured by this method is adjusted to its true value using a correction factor that aligns the measured resistance with the actual value. The proposed measurement method obtains correct values of the grounding resistance even when the auxiliary and potential electrodes of the tree-pin array are close to the electrode to be measured. Thus, it can be applied to large electrodes as well as electrodes in urban areas. Several simulated examples are used to illustrate the method, and some real cases with field measurements are presented for a final validation of the method. Full article
Show Figures

Figure 1

14 pages, 4065 KB  
Article
The Improvement of Luminous Uniformity of Large-Area Organic Light-Emitting Diodes by Using Auxiliary Electrodes
by Fuh-Shyang Juang, Jia-You Chen, Wen-Kai Kuo and Krishn Das Patel
Photonics 2024, 11(9), 829; https://doi.org/10.3390/photonics11090829 - 2 Sep 2024
Cited by 1 | Viewed by 2304
Abstract
The study developed a large emission area of flexible blue organic light-emitting diodes (BOLED) on a polyethylene terephthalate/ Indium tin oxide (PET/ITO) substrate using a polycyclic skeleton ν-DABNA Thermally Activated Delayed Fluorescence (TADF) material. Initially, a 1 × 1 cm2 blue OLED [...] Read more.
The study developed a large emission area of flexible blue organic light-emitting diodes (BOLED) on a polyethylene terephthalate/ Indium tin oxide (PET/ITO) substrate using a polycyclic skeleton ν-DABNA Thermally Activated Delayed Fluorescence (TADF) material. Initially, a 1 × 1 cm2 blue OLED was fabricated to optimize the layer thickness. The blue OLED structure consisted of PET/ITO/HATCN/TAPC/UBH-21:ν-DABNA/TPBi/LiF/Al. However, as the emission area increased to 3.5 × 3.5 cm2, the current density decreased due to the resistance of PET/ITO, leading to luminance non-uniformity. To address this issue, auxiliary Au lines were added to the ITO anode to enhance current injection. Despite this, when the Au lines reached a thickness of 30 nm, average light emission was disrupted. To improve the luminescence characteristics of large-area PET/ITO OLEDs, a capping and planarization layer of PEDOT:PSS was applied. Grid uniformity revealed a significant increase in overall luminance uniformity from 74.1% to 87.4% with the addition of auxiliary Au lines. Further increases in grid line density slightly reduced uniformity but enhanced brightness, resulting in brighter, flexible, large-area blue OLED lighting panels. Full article
Show Figures

Figure 1

13 pages, 3573 KB  
Article
Electrochemical Determination of Catechol Using a Disposable Printed Electrode with Conductive Ink Based on Graphite and Carbon Black
by Sthephane Pereira de Oliveira, Thaís Cristina de Oliveira Cândido, Arnaldo César Pereira and Daniela Nunes da Silva
Analytica 2024, 5(2), 250-262; https://doi.org/10.3390/analytica5020016 - 1 Jun 2024
Cited by 6 | Viewed by 2604
Abstract
Catechol (CT) is a phenolic compound widely used in various industrial sectors, but it is toxic; thus, there is a need for methods that aim to identify and quantify the existence of residues of this material in the environment. In this study a [...] Read more.
Catechol (CT) is a phenolic compound widely used in various industrial sectors, but it is toxic; thus, there is a need for methods that aim to identify and quantify the existence of residues of this material in the environment. In this study a disposable printed electrochemical sensor was developed as an effective alternative for determining CT in water samples. The electrode, called SPEC, was manufactured using the screen-printing method using polyethylene terephthalate (PET) as a support, in which a conductive ink based on carbonaceous materials was used to print the working and auxiliary electrodes and a silver/silver chloride of ink on the reference electrode. The optimal ratio for the conductive ink was 6.25% carbon black, 35.42% graphite, and 58.33% nail polish. The ink obtained was characterized by scanning electron microscopy (SEM). The assessment of the effect of pH on the redox process showed Nernstian behavior (0.057 V pH−1), indicating that the process involves the same number of protons and electrons. Under optimized conditions, with 0.2 mol L−1 acetate buffer at pH 5.0, and by square wave voltammetry, the sensor presented sensitivity values of 0.31 μA L μmol−1, a detection limit of 5.96 μmol L−1, and a quantification limit of 19.87 μmol L−1. The sensor was applied to determine CT in tap water samples, and the results showed recoveries between 97.95 and 100.17%. Full article
Show Figures

Graphical abstract

Back to TopTop