Sign in to use this feature.

Years

Between: -

Subjects

remove_circle_outline
remove_circle_outline
remove_circle_outline
remove_circle_outline
remove_circle_outline
remove_circle_outline
remove_circle_outline
remove_circle_outline
remove_circle_outline

Journals

Article Types

Countries / Regions

Search Results (11)

Search Parameters:
Keywords = artificial fur

Order results
Result details
Results per page
Select all
Export citation of selected articles as:
46 pages, 4757 KB  
Article
Assessment of Smart Manufacturing Readiness for Small and Medium Enterprises in the Indian Automotive Sector
by Maheshwar Dwivedy, Deepak Pandit and Kiran Khatter
Sustainability 2025, 17(18), 8096; https://doi.org/10.3390/su17188096 - 9 Sep 2025
Viewed by 837
Abstract
This study evaluates the degree to which small and medium sized enterprises (SMEs) are prepared to adopt smart manufacturing in contrast to large enterprises, a transition that depends on the effective use of the Internet of Things, artificial intelligence (AI), and advanced analytics. [...] Read more.
This study evaluates the degree to which small and medium sized enterprises (SMEs) are prepared to adopt smart manufacturing in contrast to large enterprises, a transition that depends on the effective use of the Internet of Things, artificial intelligence (AI), and advanced analytics. While many large multinational companies have already integrated such technologies, smaller firms still struggle because of tight budgets, limited technical expertise, and difficulties in scaling new systems. To capture these realities, the investigation refines the Initiative Mittelstand-Digital für Produktionsunternehmen und Logistik-Systeme (IMPULS) Industry 4.0 readiness model, which was initially developed to help German SMEs, so that it aligns with the circumstances faced by smaller manufacturers. A thorough review of published work first surveys existing readiness and maturity frameworks, highlights their limitations, and guides the selection of new, SME-specific indicators. The framework gauges readiness across six dimensions: strategic planning and organizational design, smart factory infrastructure, lean operations, digital products, data-driven services, and workforce capability. Each dimension is operationalized through a questionnaire that offers clear benchmarks and actionable targets suited to the current resources of each enterprise. Weaving strategic vision, skill growth, and cooperative support, the approach offers managers a direct path to sharper competitiveness and lasting innovation within a changing industrial landscape. Additionally, a separate Strengths, Weaknesses, Opportunities, and Threats (SWOT) analysis is provided for each dimension based on survey data offering decision-makers concise guidance for future investment. The proposed adaptation of the IMPULS framework, validated through empirical data from 31 SMEs, introduces a novel readiness index, diagnostic gap metrics, and actionable cluster profiles tailored to developing-country industrial ecosystems. Full article
(This article belongs to the Special Issue Smart Manufacturing Operations Management and Sustainability)
Show Figures

Figure 1

10 pages, 1740 KB  
Article
Predicting Urinary Stone Composition in Single-Use Flexible Ureteroscopic Images with a Convolutional Neural Network
by Kyung Tak Oh, Dae Young Jun, Jae Young Choi, Dae Chul Jung and Joo Yong Lee
Medicina 2023, 59(8), 1400; https://doi.org/10.3390/medicina59081400 - 30 Jul 2023
Cited by 4 | Viewed by 2272
Abstract
Background and Objectives: Analysis of urine stone composition is one of the most important factors in urolithiasis treatment. This study investigated whether a convolutional neural network (CNN) can show decent results in predicting urinary stone composition even in single-use flexible ureterorenoscopic (fURS) images [...] Read more.
Background and Objectives: Analysis of urine stone composition is one of the most important factors in urolithiasis treatment. This study investigated whether a convolutional neural network (CNN) can show decent results in predicting urinary stone composition even in single-use flexible ureterorenoscopic (fURS) images with relatively low resolution. Materials and Methods: This study retrospectively used surgical images from fURS lithotripsy performed by a single surgeon between January 2018 and December 2021. The ureterorenoscope was a single-use flexible ureteroscope (LithoVue, Boston Scientific). Among the images taken during surgery, a single image satisfying the inclusion and exclusion criteria was selected for each stone. Cases were divided into two groups according to whether they contained any calcium oxalate (the Calcium group) or none (the Non-calcium group). From 506 total cases, 207 stone surface images were finally included in the study. In the CNN model, the transfer learning method using Resnet-18 as a pre-trained model was used, and only endoscopic digital images and stone classification data were input to achieve minimally supervised learning. Results: There were 175 cases in the Calcium group and 32 in the Non-calcium group. After training and validation, the model was tested using the test set, and the total accuracy was 81.8%. Recall and precision of the test results were 88.2% and 88.2% in the Calcium group and 60.0% and 60.0% in the Non-calcium group, respectively. The area under the receiver operating characteristic curve of the model, which represents its classification performance, was 0.82. Conclusions: Single-use flexible ureteroscopes have financial benefits but low vision quality compared with reusable digital flexible ureteroscopes. As far as we know, this is the first artificial intelligence study using single-use fURS images. It is meaningful that the CNN performed well even under these difficult conditions because these results can further expand the possibilities of its use. Full article
(This article belongs to the Special Issue Update of Urolithiasis and Treatment)
Show Figures

Figure 1

18 pages, 4056 KB  
Article
Enhancement of Handshake Attraction through Tactile, Visual, and Auditory Multimodal Stimulation
by Taishu Kumagai and Yoshimune Nonomura
Technologies 2023, 11(4), 86; https://doi.org/10.3390/technologies11040086 - 1 Jul 2023
Cited by 3 | Viewed by 3333
Abstract
“Handshaking parties”, where pop idols shake hands with fans, can be exciting. The multimodal stimulation of tactile, visual, and auditory sensations can be captivating. In this study, we presented subjects with stimuli eliciting three sensory responses: tactile, visual, and auditory sensations. We found [...] Read more.
“Handshaking parties”, where pop idols shake hands with fans, can be exciting. The multimodal stimulation of tactile, visual, and auditory sensations can be captivating. In this study, we presented subjects with stimuli eliciting three sensory responses: tactile, visual, and auditory sensations. We found that the attraction scores of subjects increased because they felt the smoothness and obtained a human-like sensory experience grasping a grip handle covered with artificial skin, faux fur, and abrasive cloth with their dominant hand as they looked at a picture of a pop idol or listened to a song. When no pictures or songs were presented, a simple feeling of slight warmth was correlated with the attraction score. Results suggest that multimodal stimuli alter tactile sensations and the feelings evoked. This finding may be useful for designing materials that activate the human mind through tactile sensation and for developing humanoid robots and virtual reality systems. Full article
(This article belongs to the Section Information and Communication Technologies)
Show Figures

Figure 1

12 pages, 5440 KB  
Article
Morphology and Structure Characteristics of the Rare Black-Glazed Porcelains Excavated from the Jian Kiln Site of Song Dynasty
by Shiqian Tao, Yuguang Zhu, Song Liu, Junqing Dong, Yimeng Yuan and Qinghui Li
Crystals 2023, 13(4), 632; https://doi.org/10.3390/cryst13040632 - 7 Apr 2023
Cited by 8 | Viewed by 3492
Abstract
Jian tea bowls are greatly appreciated not only due to their thick and lustrous black glazes, but also their exquisite streaked and mottled patterns. Researches on the firing process and colouring mechanism of typical hare’s fur and oil spot Jian glazes have continuously [...] Read more.
Jian tea bowls are greatly appreciated not only due to their thick and lustrous black glazes, but also their exquisite streaked and mottled patterns. Researches on the firing process and colouring mechanism of typical hare’s fur and oil spot Jian glazes have continuously been carried out in the past decades; however, there are few reports about other scarce types of black-glazed porcelains excavated from the Jian kiln site. In this work, we report on a multi-technique analysis of the surface and cross-sectional structure, phase, morphology and chemical composition of three rare types of Jian tea bowls (tea-dust-glazed ware, grey-glazed ware and pearl-glazed ware) combining optical and spectroscopic methods such as optical coherence tomography (OCT), optical microscopy (OM), Portable energy dispersive X-ray fluorescence spectrometry (XRF), laser-Raman spectroscopy (LRS) and scanning electron microscopy coupled with an X-ray energy dispersive spectrometer (SEM-EDS). Results revealed that the tea dust glaze was one high-temperature iron-based crystalline glaze, and its glaze was characterized by a transparent glass matrix; irregular pits completely or partially filled by TiO2; and that ε-Fe2O3 and residual quartz were randomly distributed all over the surface, which produced the appearance of tea-dust. The grey-glazed porcelain was fired at a lower temperature in the dragon kiln than that of the traditional hare’s fur and oil spot samples, its glaze contained some residual quartz, and anorthite crystals showed a serried distribution along the thickness. The pearl-glazed porcelain was fired through a secondary glazing process via artificial stippling quartz powder. This work provides guidance for the firing process of three rare types of Jian wares and has not only scientific but also cultural profound significance, which reveals the features of their historical heritage. Full article
Show Figures

Figure 1

12 pages, 1038 KB  
Article
Applying Machine Learning Algorithms for the Classification of Mink Infected with Aleutian Disease Using Different Data Sources
by Duy Ngoc Do, Guoyu Hu, Pourya Davoudi, Alimohammad Shirzadifar, Ghader Manafiazar and Younes Miar
Animals 2022, 12(18), 2386; https://doi.org/10.3390/ani12182386 - 13 Sep 2022
Cited by 4 | Viewed by 2563
Abstract
American mink (Neogale vison) is one of the major sources of fur for the fur industries worldwide, whereas Aleutian disease (AD) is causing severe financial losses to the mink industry. A counterimmunoelectrophoresis (CIEP) method is commonly employed in a test-and-remove strategy [...] Read more.
American mink (Neogale vison) is one of the major sources of fur for the fur industries worldwide, whereas Aleutian disease (AD) is causing severe financial losses to the mink industry. A counterimmunoelectrophoresis (CIEP) method is commonly employed in a test-and-remove strategy and has been considered a gold standard for AD tests. Although machine learning is widely used in livestock species, little has been implemented in the mink industry. Therefore, predicting AD without using CIEP records will be important for controlling AD in mink farms. This research presented the assessments of the CIEP classification using machine learning algorithms. The Aleutian disease was tested on 1157 individuals using CIEP in an AD-positive mink farm (Nova Scotia, Canada). The comprehensive data collection of 33 different features was used for the classification of AD-infected mink. The specificity, sensitivity, accuracy, and F1 measure of nine machine learning algorithms were evaluated for the classification of AD-infected mink. The nine models were artificial neural networks, decision tree, extreme gradient boosting, gradient boosting method, K-nearest neighbors, linear discriminant analysis, support vector machines, naive bayes, and random forest. Among the 33 tested features, the Aleutian mink disease virus capsid protein-based enzyme-linked immunosorbent assay was found to be the most important feature for classifying AD-infected mink. Overall, random forest was the best-performing algorithm for the current dataset with a mean sensitivity of 0.938 ± 0.003, specificity of 0.986 ± 0.005, accuracy of 0.962 ± 0.002, and F1 value of 0.961 ± 0.088, and across tenfold of the cross-validation. Our work demonstrated that it is possible to use the random forest algorithm to classify AD-infected mink accurately. It is recommended that further model tests in other farms need to be performed and the genomic information needs to be used to optimize the model for implementing machine learning methods for AD detection. Full article
(This article belongs to the Section Veterinary Clinical Studies)
Show Figures

Figure 1

12 pages, 2285 KB  
Article
Trait Analysis in Domestic Rabbits (Oryctolagus cuniculus f. domesticus) Using SNP Markers from Genotyping-by-Sequencing Data
by Congyan Li, Yuying Li, Jie Zheng, Zhiqiang Guo, Xiuli Mei, Min Lei, Yongjun Ren, Xiangyu Zhang, Cuixia Zhang, Chao Yang, Li Tang, Yang Ji, Rui Yang, Jifeng Yu, Xiaohong Xie and Liangde Kuang
Animals 2022, 12(16), 2052; https://doi.org/10.3390/ani12162052 - 11 Aug 2022
Cited by 5 | Viewed by 2874
Abstract
The domestic rabbit (Oryctolagus cuniculus f. domesticus) is a very important variety in biomedical research and agricultural animal breeding. Due to the different geographical areas in which rabbit breeds originated, and the long history of domestication/artificial breeding, rabbits have experienced strong [...] Read more.
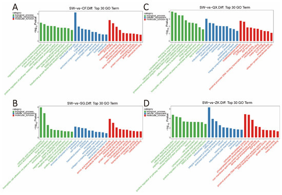
The domestic rabbit (Oryctolagus cuniculus f. domesticus) is a very important variety in biomedical research and agricultural animal breeding. Due to the different geographical areas in which rabbit breeds originated, and the long history of domestication/artificial breeding, rabbits have experienced strong selection pressure, which has shaped many traits of most rabbit varieties, such as color and weight. An efficient genome-wide single-nucleotide polymorphism (SNP) detection strategy is genotyping-by-sequencing (GBS), which has been widely used in many organisms. This study attempted to explore bi-allelic SNPs associated with fur color and weight-related traits using GBS in five rabbit breeds. The data consisted of a total 831,035 SNPs in 150 individuals from Californian rabbits (CF), German Zika rabbits (ZK), Qixing rabbits (QX), Sichuan grey rabbits (SG), and Sichuan white rabbits (SW). In addition, these five breeds of rabbits were obviously independent populations, with high genetic differentiation among breeds and low genetic diversity within breeds. A total of 32,144 SNP sites were identified by selective sweep among the different varieties. The genes that carried SNP loci in these selected regions were related to important traits (fur color and weight) and signal pathways, such as the MAPK/ERK signaling pathway and the Hippo signaling pathway. In addition, genes related to fur color and weight were identified, such as ASIPs, MITFs and KITs, ADCY3s, YAPs, FASs, and ACSL5s, and they had more SNP sites. The research offers the foundation for further exploration of molecular genetic markers of SNPs that are related to traits. Full article
(This article belongs to the Section Animal Genetics and Genomics)
Show Figures

Figure 1

9 pages, 4533 KB  
Article
Molecular Identification and Antibacterial Activity Analysis of Blue Fox (Vulpes lagopus) β-Defensins 108 and 122
by Ling-Ling Li, Tao-Lin Liu, Ping Wu, Nian-Yan Du, Li-Hong Tian and Zhi-Jun Hou
Animals 2021, 11(7), 1857; https://doi.org/10.3390/ani11071857 - 22 Jun 2021
Cited by 3 | Viewed by 2177
Abstract
The blue fox (Vulpes lagopus), a fur-bearing animal, is an important component of the breeding industry in China. Semen quality is a key factor for the reproductive process and the breeding effectiveness of the farmed blue fox. However, bacterial contamination in [...] Read more.
The blue fox (Vulpes lagopus), a fur-bearing animal, is an important component of the breeding industry in China. Semen quality is a key factor for the reproductive process and the breeding effectiveness of the farmed blue fox. However, bacterial contamination in semen samples utilized in artificial fertilization is very common. The β-defensins, a class of important antimicrobial peptides in mammals, could protect the reproductive system of male animals from bacterial invasion, maintain the stability of the genital tract microenvironment and improve semen quality. In this study, molecular cloning and bioinformatics analysis were conducted to analyze the protein structure and function of blue fox β-defensin 108 (Vulpes lagopus beta-defensin 108, vBD108) and 122 (Vulpes lagopus beta-defensin 122, vBD122). To evaluate the bacteriostatic effect of recombinant vBDs (Vulpes lagopus beta-defensins) protein, varying concentrations (0, 25, 50, 100, 200 µg/mL) were taken to evaluate the effects on Escherichia coli and Staphylococcus aureus at different times (0, 2, 4, 6, 8, 12 h). The results showed that vBD108 and vBD122 existed in different forms in protein structure and had antibacterial activity. Both proteins, at 50 µg/mL, had efficacious bacteriostatic activity. This study shows that recombinant vBD108 and vBD122 proteins have good antibacterial activity in vitro. This implies a potential role in improving semen quality and hygienic measures in the process of artificial insemination as an extender of semen dilution with antibacterial activity. Full article
(This article belongs to the Section Animal Reproduction)
Show Figures

Figure 1

17 pages, 4113 KB  
Article
Faux Fur Trade Networks Using Macroscopic Data: A Social Network Approach
by Yeong-Hyeon Choi, Seong Eun Kim and Kyu-Hye Lee
Sustainability 2021, 13(3), 1427; https://doi.org/10.3390/su13031427 - 29 Jan 2021
Cited by 8 | Viewed by 4092
Abstract
This study used social network analysis, which is often adopted to analyze changes in trade structures and the world trade network for faux fur products, which are alternative materials used in vegan fashion. The data on the total trade value of artificial fur [...] Read more.
This study used social network analysis, which is often adopted to analyze changes in trade structures and the world trade network for faux fur products, which are alternative materials used in vegan fashion. The data on the total trade value of artificial fur (HS Code: 4304) and animal fur and leather (HS Code: 0505) imports and exports between countries were collected through UN Comtrade, and the degree and betweenness centralities were used to analyze the trade structure of faux fur in 2009, 2014, and 2019 using NodeXL 1.0.1 programs. The results of the study are as follows: First, while the total amount of export and import of faux fur is increasing globally every day, the total amount of export and import in other Asian countries and Vietnam is decreasing. Second, due to the reduction in exports of the main producing countries of animal materials such as China, global imports of animal fur and leather decreased. Third, China was the largest ex-porter of faux fur, exporting to a large number of countries; it also played an important role in the intermediation and control over faux fur export. In exporting faux fur, the influence of other Asian countries declined over time, and Vietnam and the United States played an outstanding role as arbitrators in the export network. Fourth, Italy and France were the largest importers of faux fur from various countries and exerted significant influence as intermediaries in the import network of faux fur. On the other hand, Vietnam’s influence in import network decreased. Saudi Arabia appeared to be an important arbitrator in mediating the import. This study is significant due to its findings, obtained through micro-trading data, in respect of industrial moves of ethical fashion in the form of increased trade in faux fur and decline in the trade of animal fur and leather. Full article
(This article belongs to the Section Social Ecology and Sustainability)
Show Figures

Figure 1

18 pages, 3186 KB  
Article
Co-Amorphous Formulations of Furosemide with Arginine and P-Glycoprotein Inhibitor Drugs
by Marika Ruponen, Konsta Kettunen, Monica Santiago Pires and Riikka Laitinen
Pharmaceutics 2021, 13(2), 171; https://doi.org/10.3390/pharmaceutics13020171 - 27 Jan 2021
Cited by 16 | Viewed by 3558
Abstract
In this study, the amino acid arginine (ARG) and P-glycoprotein (P-gp) inhibitors verapamil hydrochloride (VER), piperine (PIP) and quercetin (QRT) were used as co-formers for co-amorphous mixtures of a Biopharmaceutics classification system (BCS) class IV drug, furosemide (FUR). FUR mixtures with VER, PIP [...] Read more.
In this study, the amino acid arginine (ARG) and P-glycoprotein (P-gp) inhibitors verapamil hydrochloride (VER), piperine (PIP) and quercetin (QRT) were used as co-formers for co-amorphous mixtures of a Biopharmaceutics classification system (BCS) class IV drug, furosemide (FUR). FUR mixtures with VER, PIP and QRT were prepared by solvent evaporation, and mixtures with ARG were prepared by spray drying in 1:1 and 1:2 molar ratios. The solid-state properties of the mixtures were characterized with X-ray powder diffraction (XRPD), Fourier-transform infrared spectroscopy (FTIR) and differential scanning calorimetry (DSC) in stability studies under different storage conditions. Simultaneous dissolution/permeation studies were conducted in side-by-side diffusion cells with a PAMPA (parallel artificial membrane permeability assay) membrane as a permeation barrier. It was observed with XRPD that ARG, VER and PIP formed co-amorphous mixtures with FUR at both molar ratios. DSC and FTIR revealed single glass transition values for the mixtures (except for FUR:VER 1:2), with the formation of intermolecular interactions between the components, especially salt formation between FUR and ARG. The co-amorphous mixtures were found to be stable for at least two months under an elevated temperature/humidity, except FUR:ARG 1:2, which was sensitive to humidity. The dissolution/permeation studies showed that only the co-amorphous FUR:ARG mixtures were able to enhance both the dissolution and permeation of FUR. Thus, it is concluded that formulating co-amorphous salts with ARG may be a promising option for poorly soluble/permeable FUR. Full article
(This article belongs to the Special Issue Advances in Co-Amorphous Drug Formulations)
Show Figures

Figure 1

23 pages, 7906 KB  
Article
Real-Gas-Flamelet-Model-Based Numerical Simulation and Combustion Instability Analysis of a GH2/LOX Rocket Combustor with Multiple Injectors
by Won-Sub Hwang, Bu-Kyeng Sung, Woojoo Han, Kang Y. Huh, Bok Jik Lee, Hee Sun Han, Chae Hoon Sohn and Jeong-Yeol Choi
Energies 2021, 14(2), 419; https://doi.org/10.3390/en14020419 - 13 Jan 2021
Cited by 19 | Viewed by 4351
Abstract
A large eddy simulation (LES) and combustion instability analysis are performed using OpenFOAM for the multiple shear-coaxial injector combustor DLR-BKD (in German Deutsches Zentrum für Luft–Brennkammer D, German Aerospace Center–Combustion Chamber D), which is a laboratory-scale combustor operating in a real-gas environment. The [...] Read more.
A large eddy simulation (LES) and combustion instability analysis are performed using OpenFOAM for the multiple shear-coaxial injector combustor DLR-BKD (in German Deutsches Zentrum für Luft–Brennkammer D, German Aerospace Center–Combustion Chamber D), which is a laboratory-scale combustor operating in a real-gas environment. The Redlich–Kwong–Peng–Robinson equation of state and steady-laminar flamelet model are adopted in the simulation to accurately capture the real-gas combustion effects. Moreover, the stable combustion under the LP4 condition is numerically analyzed, and the characteristics of the combustion flow field are investigated. In the numerical simulation of the combustion instability, the instability is generated by artificially superimposing the 1st transverse standing wave solution on the stable combustion solution. To decompose the combustion instability mode, the dynamic mode decomposition method is applied. Several combustion instability modes are qualitatively and quantitatively identified through contour plots and graphs, and the sustenance process of the limit cycle is investigated. Full article
(This article belongs to the Special Issue Propulsion and Combustion in Aerospace Systems)
Show Figures

Figure 1

15 pages, 484 KB  
Article
The Economic Benefits of the Dokdo Seals Restoration Project in Korea: A Contingent Valuation Study
by Seul-Ye Lim, Se-Jun Jin and Seung-Hoon Yoo
Sustainability 2017, 9(6), 968; https://doi.org/10.3390/su9060968 - 6 Jun 2017
Cited by 17 | Viewed by 4841
Abstract
Northern fur seals (Callorhinus ursinus), especially those that live in Dokdo, Korea, represent an endangered species in Korea. Thus, the government is considering the implementation of the Dokdo Seals (DS) restoration project. This article looks at the economic benefits for implementing [...] Read more.
Northern fur seals (Callorhinus ursinus), especially those that live in Dokdo, Korea, represent an endangered species in Korea. Thus, the government is considering the implementation of the Dokdo Seals (DS) restoration project. This article looks at the economic benefits for implementing the project, which includes making habitats for the DS, such as an artificial sea ranch, and training DS rescued from fishing nets and wounded in the wild to adapt to the wild so that they can be released into the Dokdo Sea. To this end, we looked at the willingness to pay (WTP) for the implementation of the project by conducting a contingent valuation (CV) survey of 1000 Korean households. We employed a one-and-one-half-bounded dichotomous choice question format. Furthermore, we used a spike model to model the WTP responses with zero observations. The mean yearly WTP for the project implementation was computed to be KRW 4923 (USD 4.86) for next ten years per household, which is statistically significant at the 1% level. The national annual value amounts to KRW 90.9 billion (USD 89.8 million). This value can be taken as an indication of the economic benefits of restoring the endangered species. Full article
(This article belongs to the Special Issue Environment, Tourism and Sustainable Development)
Show Figures

Figure 1

Back to TopTop