Molecular Identification and Antibacterial Activity Analysis of Blue Fox (Vulpes lagopus) β-Defensins 108 and 122
Abstract
:Simple Summary
Abstract
1. Introduction
2. Materials and Methods
2.1. Animals and Samples
2.2. Total RNA Extraction from Tissue Samples
2.3. Reverse Transcription of Total RNA
2.4. Cloning of vBD108 and vBD122 cDNA
2.5. Bioinformatics Analysis of vBD108 and vBD122
2.6. Antibacterial Activity
3. Results
3.1. Bioinformatics Analysis of vBD108 and vBD122
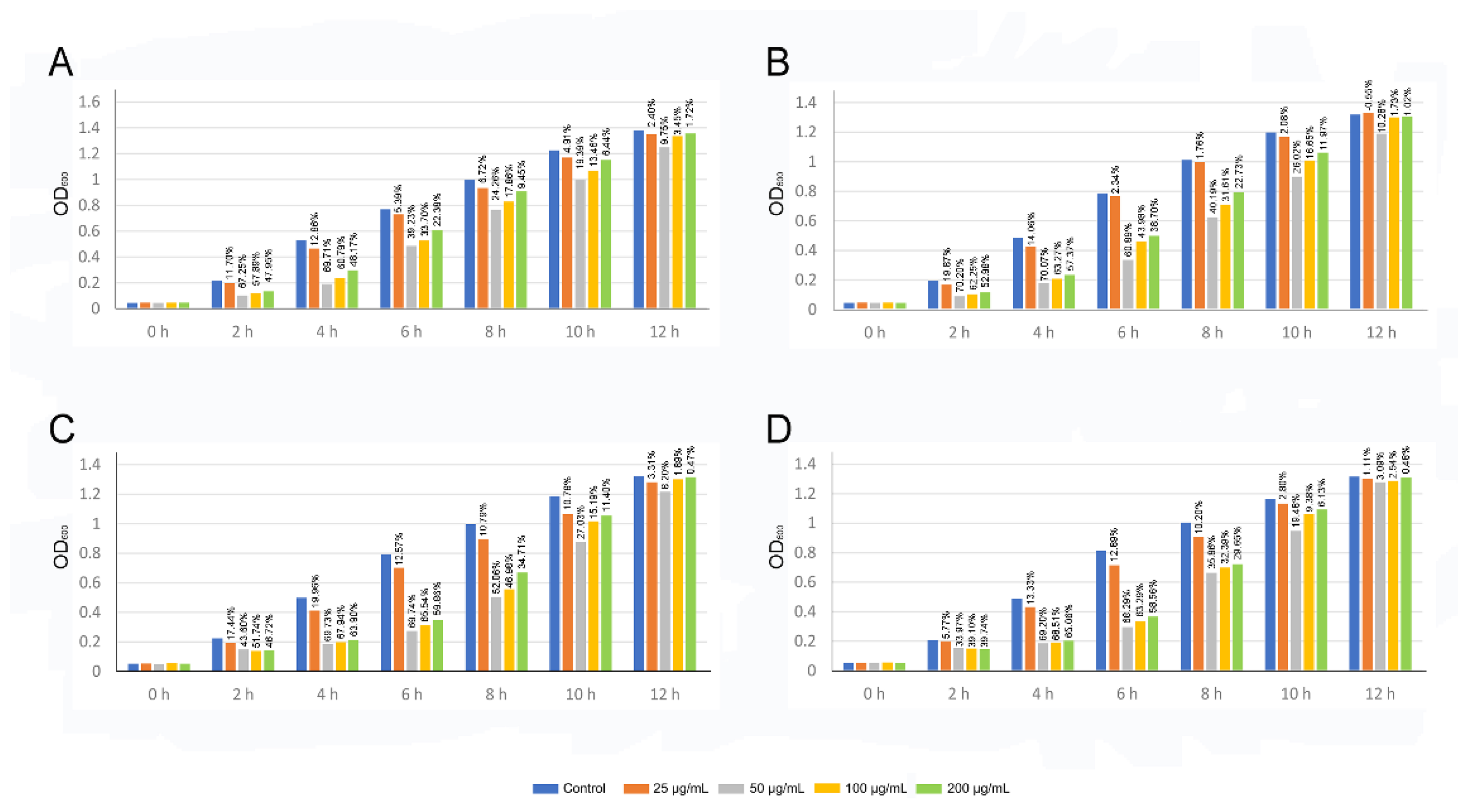
3.2. Antibacterial Activity
4. Discussion
5. Conclusions
Author Contributions
Funding
Institutional Review Board Statement
Data Availability Statement
Conflicts of Interest
References
- Narciandi, F.; Lloyd, A.; Meade, K.G.; O’Farrelly, C. A novel subclass of bovine β-defensins links reproduction and immunology. Reprod. Fertil. Dev. 2014, 26, 769–777. [Google Scholar] [CrossRef] [PubMed]
- Avila, E.E. Functions of Antimicrobial Peptides in Vertebrates. Curr. Protein Pept. Sci. 2017, 18, 1098–1119. [Google Scholar] [CrossRef]
- Yenugu, S.; Chintalgattu, V.; Wingard, C.J.; Radhakrishnan, Y.; French, F.S.; Hall, S.H. Identification, cloning and functional characterization of novel beta-defensins in the rat (Rattus norvegicus). Reprod. Biol. Endocrinol. 2006, 4, 7. [Google Scholar] [CrossRef] [PubMed] [Green Version]
- Bao, Y.Y.; Li, L.; Zhang, H.; Gao, C.Y.; Xiao, C.B.; Li, C.L. Preparation of polyclonal antibody against porcine beta defensin 2 and identification of its distribution in tissues of pig. Genet. Mol. Res. 2015, 14, 18863–18871. [Google Scholar] [CrossRef] [PubMed]
- Roosen, S.; Exner, K.; Paul, S.; Schröder, J.M.; Kalm, E.; Looft, C. Bovine β-defensins: Identification and characterization of novel bovine β-defensin genes and their expression in mammarygland tissue. Mamm. Genome 2004, 15, 834–842. [Google Scholar] [CrossRef]
- Yamaguchi, Y.; Ouchi, Y. Antimicrobial peptide defensin: Identification of novel isoforms and the characterization of their physiological roles and their significance in the pathogenesis of diseases. Proc. Jpn. Acad. Ser. B Phys. Biol. Sci. 2012, 88, 152–166. [Google Scholar] [CrossRef] [PubMed] [Green Version]
- Sass, V.; Schneider, T.; Wilmes, M.; Körner, C.; Tossi, A.; Novikova, N.; Shamova, O.; Sahl, H.G. Human β-Defensin 3 Inhibits Cell Wall Biosynthesis in Staphylococci. Infect. Immun. 2010, 78, 2793–2800. [Google Scholar] [CrossRef] [Green Version]
- Guilhelmelli, F.; Vilela, N.; Albuquerque, P.; Derengowski, L.S.; Silva-Pereira, I.; Kyaw, C.M. Antibiotic development challenges: The various mechanisms of action of antimicrobial peptides and of bacterial resistance. Front. Microbiol. 2013, 4, 353. [Google Scholar] [CrossRef] [Green Version]
- Hoover, D.M.; Wu, Z.B.; Tucker, K.; Lu, W.Y.; Lubkowski, J. Antimicrobial characterization of human beta-defensin 3 derivatives. Antimicrob. Agents Chemother. 2003, 47, 2804–2809. [Google Scholar] [CrossRef] [Green Version]
- Sang, Y.M.; Ortega, M.T.; Blecha, F.; Prakash, O.; Melgarejo, T. Molecular Cloning and Characterization of Three β-Defensins from Canine Testes. Infect. Immun. 2005, 73, 2611–2620. [Google Scholar] [CrossRef] [Green Version]
- Narciandi, F.; Lloyd, A.T.; Chapwanya, A.; O’ Farrelly, C.; Meade, K.G. Reproductive tissue-specific expression profiling and genetic variation across a 19 gene bovine β-defensin cluster. Immunogenetics 2011, 63, 641–651. [Google Scholar] [CrossRef]
- Park, M.S.; Kim, J.I.; Lee, I.; Park, S.; Bae, J.Y.; Park, M.S. Towards the Application of Human Defensins as Antivirals. Biomol. Ther. (Seoul) 2018, 26, 242–254. [Google Scholar] [CrossRef]
- De Paula, V.S.; Pomin, V.H.; Valente, A.P. Unique properties of human β-defensin 6 (hBD6) and glycosaminoglycan complex: Sandwich-like dimerization and competition with the chemokine receptor 2 (CCR2) binding site. J. Biol. Chem. 2014, 289, 22969–22979. [Google Scholar] [CrossRef] [PubMed] [Green Version]
- Rodríguez-Jiménez, F.J.; Krause, A.; Schulz, S.; Forssmann, W.G.; Motzkus, D. Distribution of new human beta-defensin genes clustered on chromosome 20 in functionally different segments of epididymis. Genomics 2003, 81, 175–183. [Google Scholar] [CrossRef]
- Yamaguchi, Y.; Nagase, T.; Makita, R.; Fukuhara, S.; Tomita, T.; Tominaga, T.; Kurihara, H.; Ouchi, Y. Identification of multiple novel epididymis-specific beta-defensin isoforms in humans and mice. J. Immunol. 2002, 169, 2516–2523. [Google Scholar] [CrossRef]
- Schibli, D.J.; Hunter, H.N.; Aseyev, V.; Starner, T.D.; Wiencek, J.M.; McCray, P.B., Jr.; Tack, B.F.; Vogel, H.J. The solution structures of the human beta-defensins lead to a better understanding of the potent bactericidal activity of HBD3 against Staphylococcus aureus. J. Biol. Chem. 2002, 277, 8279–8289. [Google Scholar] [CrossRef] [Green Version]
- Bauer, F.; Schweimer, K.; Klüver, E.; Forssmann, W.G.; Rösch, P.; Adermann, K.; Sticht, H. Structure determination of human and murine β-defensins reveals structural conservation in the absence of significant sequence similarity. Protein Sci. 2001, 10, 2470–2479. [Google Scholar] [CrossRef]
- Fröhlich, O.; Po, C.; Murphy, T.; Young, L.G. Multiple Promoter and Splicing mRNA Variants of the Epididymis-Specific Gene EP2. J. Androl. 2000, 21, 421–430. [Google Scholar] [PubMed]
- Patil, A.A.; Cai, Y.; Sang, Y.; Blecha, F.; Zhang, G. Cross-species analysis of the mammalian β-defensin gene family: Presence of syntenic gene clusters and preferential expression in the male reproductive tract. Physiol. Genom. 2005, 23, 5–17. [Google Scholar] [CrossRef] [PubMed]
- Com, E.; Bourgeon, F.; Evrard, B.; Ganz, T.; Colleu, D.; Jégou, B.; Pineau, C. Expression of antimicrobial defensins in the male reproductive tract of rats, mice, and humans. Biol. Reprod. 2003, 68, 95–104. [Google Scholar] [CrossRef] [PubMed] [Green Version]
- Puig-Timonet, A.; Castillo-Martín, M.; Pereira, B.A.; Pinart, E.; Bonet, S.; Yeste, M. Evaluation of porcine beta defensins-1 and -2 as antimicrobial peptides for liquid-stored boar semen: Effects on bacterial growth and sperm quality. Theriogenology 2018, 111, 9–18. [Google Scholar] [CrossRef] [PubMed]
- Wu, P.; Liu, T.L.; Li, L.L.; Liu, Z.P.; Tian, L.H.; Hou, Z.J. Declined expressing mRNA of beta-defensin 108 from epididymis is associated with decreased sperm motility in blue fox (Vulpes lagopus). BMC. Vet. Res. 2021, 17, 12. [Google Scholar] [CrossRef]
- Li, Y.Y.; Tan, G.L.; Lan, P.X.; Zhang, A.S.; Liu, Y.; Li, R.H.; Li, F. Detection of tobamoviruses by RT-PCR using a novel pair of degenerate primers. J. Virol. Methods. 2018, 259, 122–128. [Google Scholar] [CrossRef] [PubMed]
- Schutte, B.C.; McCray, P.B. β-Defensins in lung host defense. Annu. Rev. Physiol. 2002, 64, 709–748. [Google Scholar] [CrossRef]
- Zasloff, M. Antimicrobial peptides of multicellular organisms. Nature 2002, 415, 389–395. [Google Scholar] [CrossRef] [PubMed]
- Shizu, R.; Osabe, M.; Perera, L.; Moore, R.; Sueyoshi, T.; Negishi, M. Phosphorylated Nuclear Receptor CAR Forms a Homodimer to Repress Its Constitutive Activity for Ligand Activation. Mol. Cell. Biol. 2017, 37, e00649-16. [Google Scholar] [CrossRef] [Green Version]
- Jung, S.W.; Lee, J.; Cho, A.E. Elucidating the Bacterial Membrane Disruption Mechanism of Human α-Defensin 5: A Theoretical Study. J. Phys. Chem. B 2017, 121, 741–748. [Google Scholar] [CrossRef]
- Prieto-Martínez, N.; Bussalleu, E.; Garcia-Bonavila, E.; Bonet, S.; Yeste, M. Effects of Enterobacter cloacae on boar sperm quality during liquid storage at 17 °C. Anim. Reprod. Sci. 2014, 148, 72–82. [Google Scholar] [CrossRef]
- Sun, X.J.; Wang, D.N.; Zhang, W.J.; Wu, X.F. Expression of an antimicrobial peptide identified in the male reproductive system of rats. Mol. Biotechnol. 2004, 28, 185–189. [Google Scholar] [CrossRef]
- Hedger, M.P. Immunophysiology and pathology of inflammation in the testis and epididymis. J. Androl. 2011, 32, 625–640. [Google Scholar] [CrossRef]
- Santos, C.S.; Silva, A.R. Current and alternative trends in antibacterial agents used in mammalian semen technology. Anim. Reprod. 2020, 17, e20190111. [Google Scholar] [CrossRef] [Green Version]
- Shaoyong, W.; Li, Q.; Ren, Z.Q.; Wei, C.S.; Chu, G.Y.; Dong, W.Z.; Yang, G.S.; Pang, W.J. Evaluation of ε-polylysine as antimicrobial alternative for liquid-stored boar semen. Theriogenology 2019, 130, 146–156. [Google Scholar] [CrossRef]
- Aram, R.; Chan, P.T.K.; Cyr, D.G. Beta-defensin126 is correlated with sperm motility in fertile and infertile men. Biol. Reprod. 2019, 102, 92–101. [Google Scholar] [CrossRef] [PubMed]
- Fernandez-Fuertes, B.; Narciandi, F.; O’Farrelly, C.; Kelly, A.K.; Fair, S.; Meade, K.G.; Lonergan, P. Cauda Epididymis-Specific Beta-Defensin 126 Promotes Sperm Motility but Not Fertilizing Ability in Cattle. Biol. Reprod. 2016, 95, 122. [Google Scholar] [CrossRef] [PubMed]
- Khayamabed, R.; Tavalaee, M.; Taherian, S.S.; Nasr-Esfahani, M.H. Effect of recombinant β-defensin 1 protein on human sperm motility and viability. Andrologia 2020, 52, e13455. [Google Scholar] [CrossRef] [PubMed]
- Zupin, L.; Polesello, V.; Martinelli, M.; Luppi, S.; Giolo, E.; Zito, G.; Romano, F.; Segat, L.; Crovella, S.; Ricci, G. Human β-defensin 1 in follicular fluid and semen: Impact on fertility. J. Assist. Reprod. Genet. 2019, 36, 787–797. [Google Scholar] [CrossRef] [PubMed]
- Diao, R.; Fok, K.L.; Chen, H.; Yu, M.K.; Duan, Y.; Chung, C.M.; Li, Z.; Wu, H.; Li, Z.; Zhang, H.; et al. Deficient human β-defensin 1 underlies male infertility associated with poor sperm motility and genital tract infection. Sci. Transl. Med. 2014, 6, 249ra108. [Google Scholar] [CrossRef]
- Zhou, C.X.; Zhang, Y.L.; Xiao, L.; Zheng, M.; Leung, K.M.; Chan, M.Y.; Lo, P.S.; Tsang, L.L.; Wong, H.Y.; Ho, L.S. An epididymis-specific beta-defensin is important for the initiation of sperm maturation. Nat. Cell Biol. 2004, 6, 458. [Google Scholar] [CrossRef] [PubMed]





| Name | Sequence | Length |
|---|---|---|
| vBD108 | FKEICEHPNGSCQEFCLETEIHAGRCLNGQACCRPMVFESIIEPTTPKE | 49 |
| vBD122 | EKCWNLRGSCREKCIRNEKLYIFCMSGKLCCLKPKFQPNMLQR | 43 |
Publisher’s Note: MDPI stays neutral with regard to jurisdictional claims in published maps and institutional affiliations. |
© 2021 by the authors. Licensee MDPI, Basel, Switzerland. This article is an open access article distributed under the terms and conditions of the Creative Commons Attribution (CC BY) license (https://creativecommons.org/licenses/by/4.0/).
Share and Cite
Li, L.-L.; Liu, T.-L.; Wu, P.; Du, N.-Y.; Tian, L.-H.; Hou, Z.-J. Molecular Identification and Antibacterial Activity Analysis of Blue Fox (Vulpes lagopus) β-Defensins 108 and 122. Animals 2021, 11, 1857. https://doi.org/10.3390/ani11071857
Li L-L, Liu T-L, Wu P, Du N-Y, Tian L-H, Hou Z-J. Molecular Identification and Antibacterial Activity Analysis of Blue Fox (Vulpes lagopus) β-Defensins 108 and 122. Animals. 2021; 11(7):1857. https://doi.org/10.3390/ani11071857
Chicago/Turabian StyleLi, Ling-Ling, Tao-Lin Liu, Ping Wu, Nian-Yan Du, Li-Hong Tian, and Zhi-Jun Hou. 2021. "Molecular Identification and Antibacterial Activity Analysis of Blue Fox (Vulpes lagopus) β-Defensins 108 and 122" Animals 11, no. 7: 1857. https://doi.org/10.3390/ani11071857
APA StyleLi, L.-L., Liu, T.-L., Wu, P., Du, N.-Y., Tian, L.-H., & Hou, Z.-J. (2021). Molecular Identification and Antibacterial Activity Analysis of Blue Fox (Vulpes lagopus) β-Defensins 108 and 122. Animals, 11(7), 1857. https://doi.org/10.3390/ani11071857
