Real-Gas-Flamelet-Model-Based Numerical Simulation and Combustion Instability Analysis of a GH2/LOX Rocket Combustor with Multiple Injectors
Abstract
1. Introduction
2. DLR-BKD Combustor
3. Numerical Setup
3.1. Governing Equations
3.2. Sub-Grid Scale Model
3.3. Equation of State (EOS)
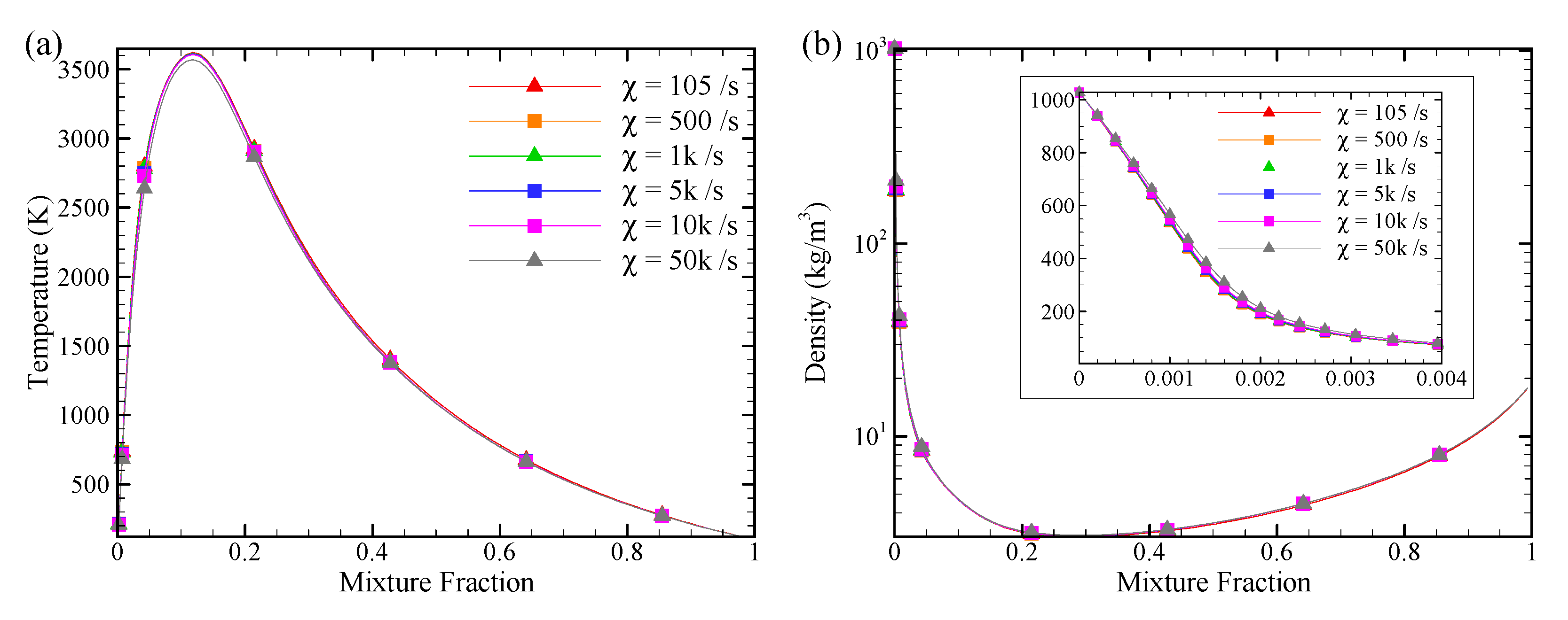
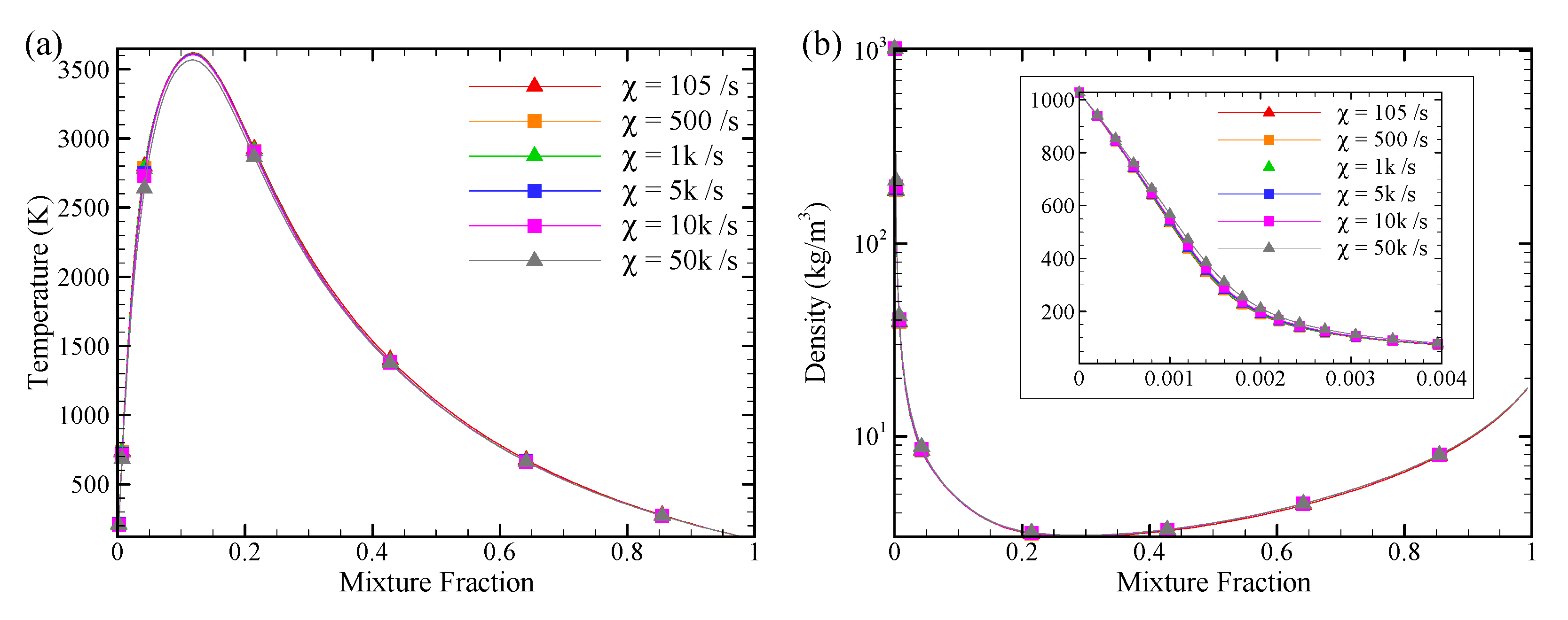
3.4. Combustion Model
3.5. DMD
3.6. Computational Grid
3.7. Solver Setup
4. Results and Discussion
4.1. Stable Combustion
4.2. Combustion Instability
5. Conclusions
Author Contributions
Funding
Informed Consent Statement
Acknowledgments
Conflicts of Interest
Nomenclature
| A: B: C | coefficients of the quadratic equation of ksgs |
| ac | energy parameter of the RK–PR equation |
| b | size-related parameter of the RK–PR equation |
| d | diameter, m |
| f | frequency, Hz |
| k | turbulent kinetic energy or specific heat ratio, m2/s2 |
| l | jet length, m |
| n | parameter defining the temperature dependence of the attractive term of RK–PR equation |
| mass flow rate, kg/s | |
| p | pressure, Pa or bar |
| P | probability density function |
| R | universal gas constant, J/kg·mol |
| RI | Rayleigh index |
| Sij | Strain rate tensor, 1/s |
| Sc | Schmidt number |
| T | temperature, K |
| Tr | reduced temperature |
| t | time, s |
| ui | velocity component, m/s |
| v | molar volume, m3/mol |
| V | volume, m3/kg |
| xi | Cartesian coordinate, m |
| y | normal distance to a wall, m |
| Y | molar fraction of species |
| z | mixture fraction |
| z”2 | mixture fraction variance |
| Zc | critical compressible factor |
| Δ | filter cutoff length, m |
| α, β, γ | parameters of β-pdf |
| Γ | gamma function |
| δij | Kronecker delta |
| δ1 | third parameter of RK–PR equation |
| ε | eddy dissipation rate, m2/s3 |
| μ | absolute viscosity, N·s/m2 |
| ρ | density, kg/m3 |
| τ | acoustic period |
| τij | stress tensor, N/m2 |
| χ | scalar dissipation rate, 1/s |
| ω | acentric factor |
| Subscripts | |
| c | combustion chamber |
| cr | critical point |
| i, j | Cartesian direction |
| t | turbulence quantity |
| vD | van Driest |
| Superscripts | |
| sgs | sub-grid scale |
| phase | |
| spatially filtered quantity or mean quantity | |
| Favre-filtered quantity | |
| fluctuation quantity | |
References
- Sutton, G.; Biblarz, O. Rocket Propulsion Elements; John Wiley & Sons, Inc.: New York, NY, USA, 2001. [Google Scholar]
- Hardi, J. Experimental Investigation of High Frequency Combustion Instability in Cryogenic Oxygen-Hydrogen Rocket Engines. Ph.D. Thesis, School of Mechanical Engineering, The University of Adelaide, Adelaide, Australia, 2012. [Google Scholar]
- Hardi, J.; Beinke, S.; Oschwald, M.; Dally, B. Coupling of Cryogenic Oxygen–Hydrogen Flames to Longitudinal and Transverse Acoustic Instabilities. J. Propuls. Power 2014, 30, 991–1004. [Google Scholar] [CrossRef]
- Gröning, S.; Oschwald, M.; Sattelmayer, T. Influence of Hydrogen Temperature on Combustion Chamber Acoustics in a LOX/H2 Rocket Engine Combustion Chamber; Sonderforschungsbereich/Transregio 40—Annual Report 2013: Semantic Scholar: Seattle, WA, USA, 2013; pp. 199–211. [Google Scholar]
- Gröning, S.; Suslov, J.; Hardi, J.; Oschwald, M. Influence of Hydrogen Temperature on Rocket Engine Combustion Chamber Acoustics; Sonderforschungsbereich/Transregio 40—Annual Report 2014; The German Aerospace Center: Koeln/Cologne, Germany, 2014; pp. 217–228. [Google Scholar]
- Armbruster, W.; Gröning, S.; Hardi, J.; Oschwald, M. Analysis of High Amplitude Acoustic Pressure Field Dynamics in a LOX/H2 Rocket Combustor; Sonderforschungsbereich/Transregio 40—Annual Report 2016; Semantic Scholar: Seattle, WA, USA, 2016; pp. 203–214. [Google Scholar]
- Poschner, M.M.; Pfitzner, M. Real Gas Simulation of Supercritical H2-LOX Combustion in the MASCOTTE Single-Injector Combustor Using a Commercial CFD Code. In Proceedings of the 46th AIAA 2008-952 Aerospace Science Meeting and Exhibit, Reno, NV, USA, 7–10 January 2008. [Google Scholar]
- Kim, T.H.; Kim, Y.M.; Kim, S.K. Real-fluid flamelet modeling for gaseous hydrogen/cryogenic liquid oxygen jet flames at supercritical pressure. J. Supercrit. Fluids 2011, 58, 254–262. [Google Scholar] [CrossRef]
- Coclite, A.; Cutrone, L.; Pascazio, G.; De Palma, P. Numerical Investigation of High-Pressure Combustion in Rocket Engines Using Flamelet/Progress-Variable Models. In Proceedings of the 53rd AIAA Aerospace Sciences Meeting, Kissimmee, FL, USA, 7–10 January 2008; AIAA 2015-1109. American Institute of Aeronautics and Astronautics (AIAA): Reston, VA, USA, 2015. [Google Scholar]
- Benmansour, A.; Liazid, A.; Logerais, P.O.; Durastanti, J.F. A 3D numerical study of LO2/GH2 supercritical combustion in the ONERA-Mascotte Test-rig configuration. J. Therm. Sci. 2016, 25, 97–108. [Google Scholar] [CrossRef]
- Seidl, M.J.; Aigner, M.; Keller, R.; Gerlinger, P. CFD simulations of turbulent nonreacting and reacting flows for rocket engine applications. J. Supercrit. Fluids 2017, 121, 63–77. [Google Scholar] [CrossRef][Green Version]
- Traxinger, C.; Zips, J.; Pfitzner, M. Single-Phase Instability in Non-Premixed Flames under Liquid Rocket Engine Relevant Conditions. J. Propuls. Power 2019, 35, 675–689. [Google Scholar] [CrossRef]
- Schmitt, T. Large-Eddy Simulations of the Mascotte Test Cases Operating at Supercritical Pressure. Flow Turbul. Combust. 2020, 105, 159–189. [Google Scholar] [CrossRef]
- Hwang, W.S.; Han, W.; Huh, K.Y.; Kim, J.; Lee, B.J.; Choi, J.-Y. Numerical Simulation of a GH2/LOx Single Injector Combustor and the Effect of the Turbulent Schmidt Number. Energies 2020, 13, 6616. [Google Scholar] [CrossRef]
- Huang, Y.; Yang, V. Dynamics and stability of lean-premixed swirl-stabilized combustion. Prog. Energy Combust. Sci. 2009, 35, 293–364. [Google Scholar] [CrossRef]
- Wolf, P.; Staffelbach, G.; Roux, A.; Gicquel, L.; Poinsot, T.; Moureau, V. Massively parallel LES of azimuthal thermo-acoustic instabilities in annular gas turbines. C. R. Mec. 2009, 337, 385–394. [Google Scholar] [CrossRef]
- Wolf, P.; Balakrishnan, R.; Staffelbach, G.; Gicquel, L.; Poinsot, T. Using LES to Study Reacting Flows and Instabilities in Annular Combustion Chambers. Flow Turbul. Combust. 2012, 88, 191–206. [Google Scholar] [CrossRef]
- Srinivasan, S.; Ranjan, R.; Menon, S. Flame Dynamics during Combustion Instability in a High-Pressure, Shear-Coaxial Injector Combustor. Flow Turbul. Combust. 2015, 94, 237–262. [Google Scholar] [CrossRef]
- Schulze, M.; Zahn, M.; Schmid, M.; Sattelmayer, T. About Flame-Acoustic Coupling Phenomena in Supercritical H2/O2 Rocket Combustion Systems. In Proceedings of the Deutscher Luft-und Raumfahrtkongress, Augsburg, Swabia, Bavaria, Germany, 16–18 September 2014. DocumentID: 340018. [Google Scholar]
- Urbano, A.; Selle, L.; Staffelbach, G.; Cuenot, B.; Schmitt, T.; Ducruix, S.; Candel, S. Exploration of combustion instability triggering using Large Eddy Simulation of a multiple injector liquid rocket engine. Combust. Flame 2016, 169, 129–140. [Google Scholar] [CrossRef]
- Urbano, A.; Douasbin, Q.; Selle, L.; Staffelbach, G.; Cuenot, B.; Schmitt, T.; Ducruix, S.; Candel, S. Study of flame response to transverse acoustic modes from the LES of a 42-injector rocket engine. Proc. Combust. Inst. 2016, 36, 2633–2639. [Google Scholar] [CrossRef]
- Schmitt, T.; Staffelbach, G.; Ducruix, S.; Gröning, S.; Hardi, J.; Oschwald, M. Large-Eddy Simulations of a Sub-Scale Liquid Rocket Combustor: Influence of Fuel Injection Temperature on Thermo-Acoustic Stability. In Proceedings of the 7th European Conference for Aeronautics and Aerospace Science (EUCASS), Milan, Italy, 3–6 July 2017. [Google Scholar]
- Smagorinsky, J. General Circulation Experiments with the Primitive Equations I. The Basic Experiment. Mon. Weather Rev. 1963, 91, 99–164. [Google Scholar] [CrossRef]
- OpenFOAM: User Guide v2006. Available online: https://www.openfoam.com/documentation/guides/latest/doc/guide-turbulence-les-smagorinsky.html (accessed on 1 December 2020).
- Faghri, A.; Zhang, Y.; Howell, J.R. Advanced Heat and Mass Transfer; Global Digital Press: Columbia, MO, USA, 2010; pp. 420–421. [Google Scholar]
- Cismondi, M.; Mollerup, J. Development and application of a three-parameter RK–PR equation of state. Fluid Phase Equilibria 2005, 232, 74–89. [Google Scholar] [CrossRef]
- Soave, G. Equilibrium constants from a modified Redlich-Kwong equation of state. Chem. Eng. Sci. 1972, 27, 1197–1203. [Google Scholar] [CrossRef]
- Peng, D.-Y.; Robinson, D.B. A New Two-Constant Equation of State. Ind. Eng. Chem. Fundam. 1976, 15, 59–64. [Google Scholar] [CrossRef]
- Liu, F.; Guo, H.; Smallwood, G.J.; Gülder, Ö.L.; Matovic, M.D. A robust and accurate algorithm of the β-pdf integration and its application to turbulent methane–air diffusion combustion in a gas turbine combustor simulator. Int. J. Therm. Sci. 2002, 41, 763–772. [Google Scholar] [CrossRef]
- Triantafyllidis, A.; Mastorakos, E. Implementation Issues of the Conditional Moment Closure Model in Large Eddy Simulations. Flow Turbul. Combust. 2010, 84, 481–512. [Google Scholar] [CrossRef]
- Conaire, M.Ó.; Curran, H.J.; Simmie, J.M.; Pitz, W.J.; Westbrook, C.K. A comprehensive modeling study of hydrogen oxidation. Int. J. Chem. Kinet. 2004, 36, 603–622. [Google Scholar] [CrossRef]
- Chen, K.K.; Tu, J.H.; Rowley, C.W. Variants of Dynamic Mode Decomposition: Connections between Koopman and Fourier Analyses. J. Nonlinear Sci. 2012, 22, 887–915. [Google Scholar] [CrossRef]
- Schmid, P.J. Dynamic mode decomposition of numerical and experimental data. J. Fluid Mech. 2010, 656, 5–28. [Google Scholar] [CrossRef]
- Hakim, L.; Schmitt, T.; Ducruix, S.; Candel, S. Dynamics of a transcritical coaxial flame under a high-frequency transverse acoustic forcing: Influence of the modulation frequency on the flame response. Combust. Flame 2015, 162, 3482–3502. [Google Scholar] [CrossRef]
- Caretto, L.S.; Gosman, A.D.; Patankar, S.V.; Spalding, D.B. Two Calculation Procedures for Steady, Three-Dimensional Flows with Recirculation. In Proceedings of the Third International Conference on Numerical Methods in Fluid Mechanics; Volume 19 of Lecture Notes in Physics; Cabannes, H., Temam, R., Eds.; Springer: Berlin, Germany, 1972; pp. 60–68. [Google Scholar]
- Issa, R.I. Solution of the implicitly discretised fluid flow equations by operator-splitting. J. Comput. Phys. 1986, 62, 40–65. [Google Scholar] [CrossRef]
- Roe, P.L. Characteristic-Based Schemes for the Euler Equations. Annu. Rev. Fluid Mech. 1986, 18, 337–365. [Google Scholar] [CrossRef]
- Hwang, W.S.; Han, W.; Huh, K.Y.; Goo, S.; Lee, B.J.; Choi, J.Y. Numerical Simulation of a GH2/LOX Rocket Combustor with Multiple Injectors Using Real Gas Flamelet Model. In Proceedings of the AIAA 2019-4293 Propulsion and Energy 2019 Forum, Indianapolis, IN, USA, 19–22 August 2019. [Google Scholar]
- Sliphorst, M.; Gröning, S.; Oschwald, M. Theoretical and Experimental Identification of Acoustic Spinning Mode in a Cylindrical Combustor. J. Propuls. Power 2011, 27, 182–189. [Google Scholar] [CrossRef]
- Jeong, S.M.; Choi, J.Y. Combined Diagnostic Analysis of Dynamic Combustion Characteristics in a Scramjet Engine. Energies 2020, 13, 4029. [Google Scholar] [CrossRef]


















| O/F Ratio | ||||||||
|---|---|---|---|---|---|---|---|---|
| 6.0 | 0.96 | 5.75 | 96 | 111 | 10.3 | 9.4 | 8.0 | 3627 |
Publisher’s Note: MDPI stays neutral with regard to jurisdictional claims in published maps and institutional affiliations. |
© 2021 by the authors. Licensee MDPI, Basel, Switzerland. This article is an open access article distributed under the terms and conditions of the Creative Commons Attribution (CC BY) license (http://creativecommons.org/licenses/by/4.0/).
Share and Cite
Hwang, W.-S.; Sung, B.-K.; Han, W.; Huh, K.Y.; Lee, B.J.; Han, H.S.; Sohn, C.H.; Choi, J.-Y. Real-Gas-Flamelet-Model-Based Numerical Simulation and Combustion Instability Analysis of a GH2/LOX Rocket Combustor with Multiple Injectors. Energies 2021, 14, 419. https://doi.org/10.3390/en14020419
Hwang W-S, Sung B-K, Han W, Huh KY, Lee BJ, Han HS, Sohn CH, Choi J-Y. Real-Gas-Flamelet-Model-Based Numerical Simulation and Combustion Instability Analysis of a GH2/LOX Rocket Combustor with Multiple Injectors. Energies. 2021; 14(2):419. https://doi.org/10.3390/en14020419
Chicago/Turabian StyleHwang, Won-Sub, Bu-Kyeng Sung, Woojoo Han, Kang Y. Huh, Bok Jik Lee, Hee Sun Han, Chae Hoon Sohn, and Jeong-Yeol Choi. 2021. "Real-Gas-Flamelet-Model-Based Numerical Simulation and Combustion Instability Analysis of a GH2/LOX Rocket Combustor with Multiple Injectors" Energies 14, no. 2: 419. https://doi.org/10.3390/en14020419
APA StyleHwang, W.-S., Sung, B.-K., Han, W., Huh, K. Y., Lee, B. J., Han, H. S., Sohn, C. H., & Choi, J.-Y. (2021). Real-Gas-Flamelet-Model-Based Numerical Simulation and Combustion Instability Analysis of a GH2/LOX Rocket Combustor with Multiple Injectors. Energies, 14(2), 419. https://doi.org/10.3390/en14020419

