Sign in to use this feature.

Years

Between: -

Subjects

remove_circle_outline
remove_circle_outline
remove_circle_outline
remove_circle_outline
remove_circle_outline
remove_circle_outline
remove_circle_outline

Journals

Article Types

Countries / Regions

Search Results (37)

Search Parameters:
Keywords = artemisinin optimization

Order results
Result details
Results per page
Select all
Export citation of selected articles as:
34 pages, 7137 KB  
Article
NovelHTI: An Interpretable Pathway-Enhanced Framework for De Novo Target Prediction of Medicinal Herbs via Cross-Scale Heterogeneous Information Fusion
by Yuyam Cheung
Pharmaceuticals 2026, 19(3), 413; https://doi.org/10.3390/ph19030413 - 3 Mar 2026
Viewed by 423
Abstract
Background: The modernization of Traditional Chinese Medicine (TCM) is hindered by a “structure-blind” bottleneck: establishing molecular mechanisms for complex formulations with uncharacterized chemical constituents. Conventional computational screening fails in these scenarios due to a heavy reliance on pre-determined structures. We developed NovelHTI, an [...] Read more.
Background: The modernization of Traditional Chinese Medicine (TCM) is hindered by a “structure-blind” bottleneck: establishing molecular mechanisms for complex formulations with uncharacterized chemical constituents. Conventional computational screening fails in these scenarios due to a heavy reliance on pre-determined structures. We developed NovelHTI, an inductive graph-based framework designed to reverse-engineer protein targets directly from standardized clinical symptom profiles. Methods: NovelHTI implements a “Phenotype-to-Target” paradigm by integrating heterogeneous graph neural networks with systemic pathway constraints. Unlike traditional transductive models, NovelHTI leverages multi-view feature fusion of symptom semantics and biological pathways to enable de novo prediction for unseen herbs. The framework was evaluated across 698 herbs and 7854 targets, benchmarking against advanced GNNs (HAN) and non-graph classifiers (XGBoost) under strict cold-start and knowledge erosion simulations. Results: NovelHTI maintains high precision (>84%) and balanced performance (F1-score >77%), outperforming baselines by over 33% (ROC-AUC) in realistic imbalanced screening, where traditional models typically fail (AUC ≈ 0.51). Robustness analysis confirmed stable performance (>0.83 AUC) despite 30% structural data incompleteness. Notably, retrospective validation successfully “rediscovered” emerging mechanisms (e.g., the Artemisinin-GPX4 ferroptosis axis) elucidated in 2021–2024 literature, which were entirely latent in the training data. Conclusions: NovelHTI provides a robust computational prioritization filter that effectively bridges macroscopic phenotypes and microscopic pharmacology. By enabling mechanism-driven target de-risking, this framework optimizes resource allocation for downstream experimental validation and accelerates TCM-based drug discovery. Full article
(This article belongs to the Special Issue Artificial Intelligence-Assisted Drug Discovery)
Show Figures

Graphical abstract

11 pages, 1092 KB  
Article
Profiling 26S Proteasome Activity of Plasmodium falciparum Monitored by a Live-Cell Assay
by Adriana F. Gonçalves, Ana Lima-Pinheiro, Belém Sampaio-Marques and Pedro E. Ferreira
Int. J. Mol. Sci. 2026, 27(5), 2104; https://doi.org/10.3390/ijms27052104 - 24 Feb 2026
Viewed by 339
Abstract
Malaria remains a major global health challenge, driven in part by widespread antimalarial drug resistance in Plasmodium parasites. Artemisinin-based combination therapies (ACTs) are currently the first-line treatment; however, resistance has also emerged. Artemisinin damages parasite proteins, promoting their ubiquitination and subsequent proteasomal degradation. [...] Read more.
Malaria remains a major global health challenge, driven in part by widespread antimalarial drug resistance in Plasmodium parasites. Artemisinin-based combination therapies (ACTs) are currently the first-line treatment; however, resistance has also emerged. Artemisinin damages parasite proteins, promoting their ubiquitination and subsequent proteasomal degradation. Because inhibitors of the Plasmodium 26S proteasome synergize with artemisinin, the proteasome has emerged as a promising drug target, yet tools to monitor its function in live parasites remain limited. Here, we generated a P. falciparum line expressing green fluorescent protein fused to a destabilization domain (GFP-DD) to assess proteasome activity and combined it with MitoTrackerTM staining. In the absence of the stabilizing ligand Shield-1, the GFP-DD reporter is rapidly degraded by the proteasome. Using fluorescence microscopy and flow cytometry, we show that GFP-DD fluorescence provides a quantitative, inverse readout of proteasomal activity, increasing upon ligand-mediated stabilization or pharmacological inhibition with MG132. Shield-1 titration identified an optimal stabilization range, and MG132 induced a dose-dependent fluorescence increase. This work establishes a practical live-cell platform to probe ubiquitin–proteasome system function, with potential applications in future phenotypic screening and antimalarial resistance studies. Full article
(This article belongs to the Special Issue Advanced Research on Malaria: Molecular and Biochemical Perspectives)
Show Figures

Figure 1

19 pages, 8843 KB  
Article
Molecularly Tailored Artesunate Nanomedicine with Well-Balanced Nanoassembly and Anticancer Performance
by Haonan Wu, Xuan Zhang, Xiaomei Shu, Hongyuan Zhang, Wenhu Zhou, Shenwu Zhang and Cong Luo
Pharmaceutics 2026, 18(2), 240; https://doi.org/10.3390/pharmaceutics18020240 - 14 Feb 2026
Viewed by 476
Abstract
Background: Artesunate (ART), a natural product derivative of artemisinin, exhibits striking antitumor activity. However, the clinical translation of ART is limited by rapid clearance, poor tumor selectivity, and severe off-target toxicity. To address these limitations, we developed an unsaturated aliphatic chain-driven nanoassembly [...] Read more.
Background: Artesunate (ART), a natural product derivative of artemisinin, exhibits striking antitumor activity. However, the clinical translation of ART is limited by rapid clearance, poor tumor selectivity, and severe off-target toxicity. To address these limitations, we developed an unsaturated aliphatic chain-driven nanoassembly strategy to optimize the therapeutic performance of ART. Methods: We designed and synthesized two ART derivatives by conjugating saturated aliphatic chains (ART-SAs) or unsaturated aliphatic chains (ART-LAs) to ART, which subsequently self-assembled into carrier-free nanoassemblies (NAs). These NAs were characterized for their self-assembly capacity and colloidal stability. Biological evaluations included studies on cellular uptake efficiency, in vivo pharmacokinetics, and antitumor efficacy in a tumor-bearing mouse model. Results: The saturated aliphatic chain is found to drive nanoassembly of ART-SA but significantly shields the antitumor activity of ART. Interestingly, the conjugate of an unsaturated aliphatic chain to ART (ART-LA) not only shows outstanding self-assembly capacities but also retains the native antitumor activity of ART. The P-AL NAs with improved pharmacokinetics and tumor-specific biodistribution exert potent antitumor activity and favorable safety. Conclusions: We successfully applied ART for highly effective antitumor therapy by employing an unsaturated aliphatic chain-driven strategy. This study is conducive to promoting the clinical application of ART. Full article
Show Figures

Figure 1

19 pages, 3365 KB  
Review
Potential of Artemisia annua Bioactives as Antiviral Agents Against SARS-CoV-2 and Other Health Complications
by Nehad A. Shaer, Amal A. Mohamed and Ewald Schnug
Pharmaceuticals 2025, 18(12), 1904; https://doi.org/10.3390/ph18121904 - 17 Dec 2025
Viewed by 1978
Abstract
This review highlights Artemisia annua, a medicinal plant which grows in the Kingdom of Saudi Arabia, known for its abundant therapeutic properties. A. annua serves as a rich source of various bioactive compounds, including sesquiterpenoid lactones, flavonoids, phenolic acids, and coumarins. Among [...] Read more.
This review highlights Artemisia annua, a medicinal plant which grows in the Kingdom of Saudi Arabia, known for its abundant therapeutic properties. A. annua serves as a rich source of various bioactive compounds, including sesquiterpenoid lactones, flavonoids, phenolic acids, and coumarins. Among these, artemisinin and its derivatives are most extensively studied due to their potent antimalarial properties. Extracts and isolates of A. annua have demonstrated a range of therapeutic effects, such as antioxidant, anticancer, anti-inflammatory, antimicrobial, antimalarial, and antiviral properties. Given its significant antiviral activity, A. annua could be investigated for the development of new nutraceutical bioactive compounds to combat SARS-CoV-2. Artificial Intelligence (AI) can assist in drug discovery by optimizing the selection of more effective and safer natural bioactives, including artemisinin. It can also predict potential clinical outcomes through in silico modeling of protein–ligand interactions. In silico studies have reported that artemisinin and its derivatives possess a strong ability to bind with the Lys353 and Lys31 hotspots of the SARS-CoV-2 spike protein, demonstrating their effective antiviral effects against COVID-19. This integrated approach may accelerate the identification of effective and safer natural antiviral agents against COVID-19. Full article
(This article belongs to the Section Natural Products)
Show Figures

Figure 1

20 pages, 1435 KB  
Review
A Systematic Review of Alternative Artemisinin Production Strategies
by Masoumeh Zeinali, Mohammad Sabzehzari and Didier Ménard
Int. J. Mol. Sci. 2025, 26(24), 12095; https://doi.org/10.3390/ijms262412095 - 16 Dec 2025
Viewed by 874
Abstract
Artemisinin (ART) production faces bottlenecks due to low and variable yields from its natural source, Artemisia annua. This limitation, coupled with expanding therapeutic potential beyond malaria, highlights the need for innovative production solutions. This systematic review aims to synthesize the evidence on [...] Read more.
Artemisinin (ART) production faces bottlenecks due to low and variable yields from its natural source, Artemisia annua. This limitation, coupled with expanding therapeutic potential beyond malaria, highlights the need for innovative production solutions. This systematic review aims to synthesize the evidence on alternative production platforms for ART. We searched PubMed, Scopus, Web of Science, and Google Scholar for studies published primarily between 2020 and 2025. Some search terms included “Artemisinin”, “Artemisia annua”, “biosynthesis”, “in vitro culture”, and “artificial intelligence”. We included primary research articles reporting on strategies for ART production. We narratively synthesized data by production theme. Our review of 30 studies identified four frontiers for ART production: (1) Enhancement in A. annua ART content; (2) In vitro platforms focusing on callus and cell suspension cultures, which offer precise control but face scale-up bottlenecks; (3) Heterologous expression in non-Artemisia plants; and (4) Scalable semi-synthetic routes using microbially fermented precursors and chemical conversion. Furthermore, the review highlights the emerging role of AI-driven predictive modeling in source discovery and process optimization. By integrating these innovations, a robust roadmap exists for sustainable ART production. Full article
(This article belongs to the Section Molecular Plant Sciences)
Show Figures

Graphical abstract

20 pages, 2189 KB  
Article
Enhanced Deep Representation Learning Extreme Learning Machines for EV Charging Load Forecasting by Improved Artemisinin Optimization and Multivariate Variational Mode Decomposition
by Anjie Zhong, Honghai Li, Zhongyi Tang and Zhirong Zhang
Energies 2025, 18(22), 6061; https://doi.org/10.3390/en18226061 - 20 Nov 2025
Cited by 1 | Viewed by 454
Abstract
The Electric Vehicle (EV) industry is developing rapidly, and EVs are becoming an increasingly important choice for the future of transportation. Therefore, accurately forecasting the electricity demand for EVs is crucial. This paper presents a hybrid deep learning model for EV charging load [...] Read more.
The Electric Vehicle (EV) industry is developing rapidly, and EVs are becoming an increasingly important choice for the future of transportation. Therefore, accurately forecasting the electricity demand for EVs is crucial. This paper presents a hybrid deep learning model for EV charging load prediction based on Multivariate Variational Mode Decomposition (MVMD), Improved Artemisinin Optimization algorithm (IAO), and Deep Representation Learning Extreme Learning Machines (DrELMs). Firstly, MVMD decomposes the original data into several modal components. Secondly, IAO optimizes the hyperparameters of the DrELM model. Finally, the trained IAO-DrELM model predicts multiple modal components following MVMD decomposition to obtain the final predictions. Experimental results show that the proposed model outperforms eight other models, achieving the lowest Mean Squared Error (MSE), Root Mean Squared Error (RMSE), and Mean Absolute Error (MAE) error values and the highest Coefficient of Determination (R2) value. Full article
Show Figures

Figure 1

17 pages, 2188 KB  
Article
Chemical Profiling of Monoterpenes and Genome-Wide Discovery of Monoterpene Synthases in Artemisia annua
by Wuke Wei, Xinyue Lin, Zijian Le, Mengxue Wang, Xingyan Qin, Lingjiang Zeng, Yan Qian, Guoping Shu, Min Chen, Xiaozhong Lan, Bangjun Wang, Zhihua Liao, Yong Hou, Jingxin Mao and Fangyuan Zhang
Horticulturae 2025, 11(9), 1083; https://doi.org/10.3390/horticulturae11091083 - 8 Sep 2025
Cited by 1 | Viewed by 1489
Abstract
Monoterpenoids serve as essential components of plant essential oils and play significant roles in plant growth, development, and insect resistance. Artemisia annua, an important medicinal plant, produces abundant terpenoids. While previous research on A. annua has predominantly focused on artemisinin biosynthesis [...] Read more.
Monoterpenoids serve as essential components of plant essential oils and play significant roles in plant growth, development, and insect resistance. Artemisia annua, an important medicinal plant, produces abundant terpenoids. While previous research on A. annua has predominantly focused on artemisinin biosynthesis and its regulation, studies on other terpenoids in this plant have significantly lagged behind. To comprehensively investigate monoterpene biosynthesis in A. annua, we analyzed monoterpenes across its different tissues using optimized extraction and chromatographic conditions developed to enhance sensitivity and resolution in our GC-MS-based analytical method. In A. annua, 31 monoterpenoid compounds were identified. Subsequently, eight candidate monoterpene synthases (mTPS) were characterized in Escherichia coli, confirming their catalytic activity in converting geranyl pyrophosphate (GPP) into distinct monoterpene products. Subcellular localization revealed these TPSs in chloroplasts, consistent with the widely reported chloroplast localization of TPS enzymes. These enzymes were functionally defined as monoterpenoid synthases, collectively responsible for synthesizing 18 monoterpenoid metabolites. Notably, AaTPS13, AaTPS19, and AaTPS20 exhibited substantial product promiscuity. Critically, the AaTPS19 was identified as the first known terpene synthase producing 2-pinanol. These findings systematically elucidate the biosynthesis of monoterpenoids in A. annua and provide key enzymatic elements for metabolic engineering and synthetic biology applications in monoterpenoid production. Full article
(This article belongs to the Special Issue Plant Secondary Metabolism and Its Applications in Horticulture)
Show Figures

Figure 1

43 pages, 4194 KB  
Review
Metabolic Engineering of Terpenoid Biosynthesis in Medicinal Plants: From Genomic Insights to Biotechnological Applications
by Changfeng Guo, Si Xu and Xiaoyun Guo
Curr. Issues Mol. Biol. 2025, 47(9), 723; https://doi.org/10.3390/cimb47090723 - 5 Sep 2025
Cited by 4 | Viewed by 5103
Abstract
Terpenoids, which are essential pharmaceutical compounds, encounter significant production challenges due to their low yields in native plants and associated ecological concerns. This review summarizes recent advances in metabolic engineering strategies applied across three complementary platforms: native medicinal plants, microbial systems, and heterologous [...] Read more.
Terpenoids, which are essential pharmaceutical compounds, encounter significant production challenges due to their low yields in native plants and associated ecological concerns. This review summarizes recent advances in metabolic engineering strategies applied across three complementary platforms: native medicinal plants, microbial systems, and heterologous plant hosts. We present how the “Genomic Insights to Biotechnological Applications” paradigm, supported by multi-omics technologies such as genomics, transcriptomics, metabolomics, and related disciplines, contributes to advancing research in this field. These technologies enable the systematic identification of key biosynthetic genes and regulatory networks. CRISPR-based tools, enzyme engineering, and subcellular targeting are presented as pivotal transformative strategies in advancing metabolic engineering approaches. Strategic co-expression and optimization approaches have achieved substantial improvements in product yields, as demonstrated by a 25-fold increase in paclitaxel production and a 38% enhancement in artemisinin yield. Persistent challenges, such as metabolic flux balancing, cytotoxicity, and scale-up economics, are discussed in conjunction with emerging solutions, including machine learning and photoautotrophic chassis systems. We conclude by proposing a strategic roadmap for industrial translation that highlights the essential integration of systems biology and synthetic biology approaches to accelerate the transition of terpenoid biomanufacturing from discovery to commercial-scale application. Full article
(This article belongs to the Special Issue Latest Review Papers in Molecular Biology 2025)
Show Figures

Figure 1

13 pages, 990 KB  
Article
Strain- and System-Specific Enhancement of Artemisinin in Artemisia annua Composite Plants Grown in Hydroponic and Aeroponic Systems
by Martina Paponov, Pembi S. Lama, Jörg Ziegler, Cathrine Lillo and Ivan A. Paponov
Horticulturae 2025, 11(9), 1070; https://doi.org/10.3390/horticulturae11091070 - 5 Sep 2025
Cited by 1 | Viewed by 1203
Abstract
Efficient production of artemisinin, a valuable secondary metabolite from Artemisia annua, remains a challenge for pharmaceutical applications. This study investigated the use of ex vitro composite plants—generated by inoculation with Agrobacterium rhizogenes strains 2659 and 1523—under hydroponic and aeroponic conditions to enhance [...] Read more.
Efficient production of artemisinin, a valuable secondary metabolite from Artemisia annua, remains a challenge for pharmaceutical applications. This study investigated the use of ex vitro composite plants—generated by inoculation with Agrobacterium rhizogenes strains 2659 and 1523—under hydroponic and aeroponic conditions to enhance artemisinin and phenolic compound accumulation. In leaves, artemisinin content increased in a cultivation-specific, strain-dependent manner: strain 2659 was effective under aeroponics (+36%), while strain 1523 enhanced accumulation under hydroponics (+32%). In roots, strain 2659 led to higher artemisinin accumulation than strain 1523 under both systems, with increases of up to 145% in hydroponics and 75% in aeroponics. Strain 1523 strongly promoted artemisinin exudation, especially in hydroponics, suggesting active regulation of artemisinin export. Aeroponic cultivation increased total phenolic content (TPC) in roots, while strain 1523 reduced TPC in leaves. Although total biomass was unaffected, A. rhizogenes altered assimilate partitioning, decreasing the shoot-to-root ratio and enhancing root metabolism. These findings demonstrate that ex vitro composite plants, combined with optimized soilless cultivation, represent a flexible tool to boost accumulation and secretion of high-value compounds in A. annua. The strain and environment-specific responses emphasize the importance of selecting appropriate bacterial strain–cultivation combinations for scalable production systems. Full article
(This article belongs to the Section Protected Culture)
Show Figures

Figure 1

13 pages, 4035 KB  
Article
Chemopreventive Potential of Artemisinin and Rubus occidentalis in the Progression of Oral Leukoplakia to Oral Cancer: A Preclinical Murine Study
by Maria Leticia de Almeida Lança, Nathan Steven Cezar da Conceição, Isabella Souza Malta, Daniela Oliveira Meneses, Luciana Yamamoto Almeida and Estela Kaminagakura
Int. J. Mol. Sci. 2025, 26(17), 8120; https://doi.org/10.3390/ijms26178120 - 22 Aug 2025
Cited by 1 | Viewed by 1047
Abstract
Oral leukoplakia (OL) is the most common potentially malignant oral disorder, with variable risk of progression to oral squamous cell carcinoma (OSCC). This study evaluated the chemopreventive and immunomodulatory potential of Artemisinin (ART) and Rubus occidentalis (RO), alone or combined (ARO), in a [...] Read more.
Oral leukoplakia (OL) is the most common potentially malignant oral disorder, with variable risk of progression to oral squamous cell carcinoma (OSCC). This study evaluated the chemopreventive and immunomodulatory potential of Artemisinin (ART) and Rubus occidentalis (RO), alone or combined (ARO), in a 4NQO-induced murine model. Mice received 4NQO (100 µg/mL) in drinking water, and treatments began at week 8. Animals were euthanized at weeks 12 and 16 for histological, apoptotic (caspases-3, -8, -9; calreticulin), inflammatory (IL-1β, IL-10, HMGB1), and immune (CD8, CD68, CD56, IFN-γ, GM-CSF) marker analyses. RO-treated animals showed delayed malignant transformation, with no carcinomas at week 16 and increased expression of caspase-9, calreticulin, HMGB1, IFN-γ, and GM-CSF, indicating transient activation of antitumor immune responses. ART-treated mice showed increased CD68 and reduced CD56 expression, suggesting an immunosuppressive profile and higher carcinoma incidence. The ARO combination did not improve outcomes beyond ART alone. These findings support the immunomodulatory and pro-apoptotic effects of RO in delaying OL progression, highlighting its chemopreventive potential. ART showed limited benefit under current conditions, warranting further investigation into dose optimization and synergistic strategies. Full article
(This article belongs to the Special Issue Natural Products in Cancer Prevention and Treatment)
Show Figures

Figure 1

24 pages, 3712 KB  
Article
Elucidation of Artemisinin as a Potent GSK3β Inhibitor for Neurodegenerative Disorders via Machine Learning-Driven QSAR and Virtual Screening of Natural Compounds
by Hassan H. Alhassan, Malvi Surti, Mohd Adnan and Mitesh Patel
Pharmaceuticals 2025, 18(6), 826; https://doi.org/10.3390/ph18060826 - 31 May 2025
Cited by 1 | Viewed by 1610
Abstract
Background/Objectives: Glycogen synthase kinase-3 beta (GSK3β) is a key enzyme involved in neurodegenerative diseases such as Alzheimer’s and Parkinson’s, contributing to tau hyperphosphorylation, amyloid-beta (Aβ) aggregation, and neuronal dysfunction. Methods: This study applied a machine learning-driven virtual screening approach to identify potent [...] Read more.
Background/Objectives: Glycogen synthase kinase-3 beta (GSK3β) is a key enzyme involved in neurodegenerative diseases such as Alzheimer’s and Parkinson’s, contributing to tau hyperphosphorylation, amyloid-beta (Aβ) aggregation, and neuronal dysfunction. Methods: This study applied a machine learning-driven virtual screening approach to identify potent natural inhibitors of GSK3β. A dataset of 3092 natural compounds was analyzed using Support Vector Machine (SVM), Random Forest (RF), and K-Nearest Neighbors (KNN), with feature selection focusing on key molecular descriptors, including lipophilicity (ALogP: −0.5 to 5.0), hydrogen bond acceptors (0–10), and McGowan volume (0.5–2.5). RF outperformed SVM and KNN, achieving the highest test accuracy (83.6%), specificity (87%), and lowest RMSE (0.3214). Results: Virtual screening using AutoDock Vina and molecular dynamics simulations (100 ns, GROMACS 2022) identified artemisinin as the top GSK3β inhibitor, with a binding affinity of −8.6 kcal/mol, interacting with key residues ASP200, CYS199, and LEU188. Dihydroartemisinin exhibited a binding affinity of −8.3 kcal/mol, reinforcing its neuroprotective potential. Pharmacokinetic predictions confirmed favorable drug-likeness (TPSA: 26.3–70.67 Å2) and non-toxicity. Conclusions: While these findings highlight artemisinin-based inhibitors as promising candidates, experimental validation and structural optimization are needed for clinical application. This study demonstrates the effectiveness of machine learning and computational screening in accelerating neurodegenerative drug discovery. Full article
Show Figures

Figure 1

20 pages, 3700 KB  
Article
A Single-Objective Optimization of Water Quality Sensors in Water Distribution Networks Using Advanced Metaheuristic Techniques
by Seyed Amir Saman Siadatpour, Zohre Aghamolaei, Jafar Jafari-Asl and Abolfazl Baniasadi Moghadam
Water 2025, 17(8), 1221; https://doi.org/10.3390/w17081221 - 19 Apr 2025
Cited by 3 | Viewed by 1200
Abstract
This paper explores the intersection of water quality management and advanced metaheuristic algorithms (MAs) by optimizing the location of water quality sensors in urban water networks. A comparative analysis of ten cutting-edge MAs, Harris Hawk Optimization (HHO), Artemisinin Optimization (AO), Educational Competition Optimizer [...] Read more.
This paper explores the intersection of water quality management and advanced metaheuristic algorithms (MAs) by optimizing the location of water quality sensors in urban water networks. A comparative analysis of ten cutting-edge MAs, Harris Hawk Optimization (HHO), Artemisinin Optimization (AO), Educational Competition Optimizer (ECO), Fata Morgana Algorithm (FATA), Moss Growth Optimization (MGO), Parrot Optimizer (PO), Polar Lights Optimizer (PLO), Rime Optimization Algorithm (RIME), Runge Kutta Optimization (RUN), and Weighted Mean of Vectors (INFO), was conducted to determine their effectiveness in minimizing the risk of contaminated water consumption. Both benchmark and real-world water network serve as case studies to assess algorithmic performance. The optimization process focuses on reducing the volume of contaminated water by treating sensor placement as a critical design variable. EPANET 2.2 software was integrated with the optimization algorithms to simulate water quality and hydraulic behavior within the networks. The obtained results from analysis of two urban water networks revealed that the newer algorithms, such as the RIME and FATA, exhibit superior convergence rates and stability compared to traditional methods. While all tested algorithms demonstrated satisfactory performance, this study provides foundational insights for future research, paving the way for more effective algorithmic solutions in water quality management. Full article
(This article belongs to the Special Issue Machine Learning in Water Distribution Systems and Sewage Systems)
Show Figures

Figure 1

19 pages, 4172 KB  
Article
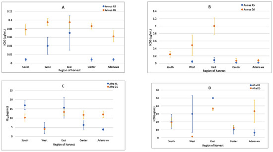
Exploring the Phytochemical Diversity and Anti-Plasmodial Potential of Artemisia annua and Artemisia afra from Different Geographical Locations in Cameroon
by Lahngong M. Shinyuy, Gisèle E. Loe, Olivia Jansen, Allison Ledoux, Benjamin Palmaerts, Lúcia Mamede, Naima Boussif, Olivier Bonnet, Bertin S. Enone, Sandra F. Noukimi, Abenwie S. Nchang, Kristiaan Demeyer, Annie Robert, Stephen M. Ghogomu, Jacob Souopgui, Eric Hallot and Michel Frederich
Molecules 2025, 30(3), 596; https://doi.org/10.3390/molecules30030596 - 28 Jan 2025
Cited by 4 | Viewed by 2517
Abstract
In Cameroon, like in other African countries, infusions of Artemisia afra and Artemisia annua are widely used for the management of health-related problems, including malaria. The secondary metabolite contents of medicinal plants vary between different geographical regions and seasons, directly influencing their effectiveness [...] Read more.
In Cameroon, like in other African countries, infusions of Artemisia afra and Artemisia annua are widely used for the management of health-related problems, including malaria. The secondary metabolite contents of medicinal plants vary between different geographical regions and seasons, directly influencing their effectiveness in treating ailments. This study explores the phytochemical diversity and anti-plasmodial potential of A. annua and A. afra from distinct geographical locations within Cameroon, aiming to define the optimal chemical composition in terms of anti-plasmodial activity. Extracts were prepared from plants collected from diverse regions in Cameroon during both the rainy and dry seasons, and their metabolic contents were analyzed using Thin-Layer Chromatography (TLC), High Performance Liquid Chromatography (HPLC), and Gas Chromatography (GC). Their anti-plasmodial potential was assessed on a chloroquine-sensitive 3D7 Plasmodium falciparum strain. Additionally, the environmental parameters of the collecting sites were retrieved from multispectral satellite imagery. The activity profiles of the samples were associated with their environment, with distinct phytochemical compositions observed for each sample based on its geographical origin and season. Traces of artemisinin were detected in some of the A. afra samples, but it was present in the A. annua samples at a significantly higher concentration, especially in the rainy season samples (highest concentration in the Adamawa region, at 8.9% m/m artemisinin in the dry extract). Both plants are active at different levels, with A. annua more active due to the presence of artemisinin and A. afra probably active due to the presence of polyphenols. Both season and geographical location influence both plants’ metabolic contents and hence their antimalaria activity. These findings suggest that the selection of a suitable Artemisia sample for use as a potential antimalarial treatment should take into consideration its geographical origin and the period of collection. Full article
(This article belongs to the Section Analytical Chemistry)
Show Figures

Figure 1

17 pages, 2503 KB  
Article
Artemisia annua Residue Regulates Immunity, Antioxidant Ability, Intestinal Barrier Function, and Microbial Structure in Weaned Piglets
by Jinjie Hu, Miaomiao Bai, Yueyao Xing, Junhong Liu, Kang Xu, Xia Xiong, Hongnan Liu and Yulong Yin
Animals 2024, 14(24), 3569; https://doi.org/10.3390/ani14243569 - 10 Dec 2024
Cited by 4 | Viewed by 2289
Abstract
Artemisia annua residue (AR), as the byproduct of industrial extraction of artemisinin, contains rich nutrients and active ingredients. This study was conducted to determine the effects of AR as an unconventional feed material on growth performance, immunity, and intestinal health in weaned piglets. [...] Read more.
Artemisia annua residue (AR), as the byproduct of industrial extraction of artemisinin, contains rich nutrients and active ingredients. This study was conducted to determine the effects of AR as an unconventional feed material on growth performance, immunity, and intestinal health in weaned piglets. Thirty-two piglets weaned at 21 days (7.53 ± 0.31 kg average BW) were fed with a corn–soybean basal diet (BD) and a basal diet with 1% (LAR), 2% (MAR), and 4% (HAR) AR diets for 28 days. AR diets increased the serum IgA and complement component 3 levels, superoxide dismutase activity, and villus height in the duodenum (p < 0.05). The MAR group increased the ADG, serum total protein, and mRNA expression levels of Claudin-1 in the duodenum and zonula occludens-1 (ZO-1) and the mucin 2 (MUC2) in the colon, as well as colonic Romboutsia and Anaerostipes abundances, and decreased the Proteobacteria abundance (p < 0.05). To sum up, dietary AR supplementation may enhance growth performance by improving serum immunoglobulin and antioxidant enzyme activity, intestinal morphology, tight junction protein expression, and gut microbiota of weaned piglets. Regression analysis showed that the optimal AR supplemental level for growth performance, immunity, antioxidant ability, and intestinal health of weaned piglets was 2.08% to 4.24%. Full article
(This article belongs to the Section Pigs)
Show Figures

Figure 1

16 pages, 3919 KB  
Article
Identification of Malaria-Selective Proteasome β5 Inhibitors Through Pharmacophore Modeling, Molecular Docking, and Molecular Dynamics Simulation
by Muhammad Yasir, Jinyoung Park, Eun-Taek Han, Jin-Hee Han, Won Sun Park and Wanjoo Chun
Int. J. Mol. Sci. 2024, 25(22), 11881; https://doi.org/10.3390/ijms252211881 - 5 Nov 2024
Cited by 11 | Viewed by 2109
Abstract
Malaria remains a global health challenge, with increasing resistance to frontline antimalarial treatments such as artemisinin (ART) threatening the efficacy of current therapies. In this study, we investigated the potential of FDA-approved drugs to selectively inhibit the malarial proteasome, a novel target for [...] Read more.
Malaria remains a global health challenge, with increasing resistance to frontline antimalarial treatments such as artemisinin (ART) threatening the efficacy of current therapies. In this study, we investigated the potential of FDA-approved drugs to selectively inhibit the malarial proteasome, a novel target for antimalarial drug development. By leveraging pharmacophore modeling, molecular docking, molecular dynamics (MD) simulations, and binding free-energy calculations, we screened a library of compounds to identify inhibitors selective for the Plasmodium proteasome over the human proteasome. Our results highlighted Argatroban, LM-3632, Atazanavir Sulfate, and Pemetrexed Hydrate as promising candidates, with Argatroban and Pemetrexed Hydrate showing the highest binding affinity and selectivity toward the malarial proteasome. MD simulation and gmx_MMPBSA analysis confirmed the compounds’ ability to remain within the active site of the malarial proteasome, while some exited or exhibited reduced stability within the human proteasome. This study underscores the potential of proteasome-targeting drugs for overcoming malarial drug resistance and paves the way for the further optimization of these compounds. Full article
(This article belongs to the Collection Feature Papers in Molecular Informatics)
Show Figures

Figure 1

Back to TopTop