Sign in to use this feature.

Years

Between: -

Subjects

remove_circle_outline
remove_circle_outline
remove_circle_outline

Journals

Article Types

Countries / Regions

Search Results (11)

Search Parameters:
Keywords = aromatic hybrid rice

Order results
Result details
Results per page
Select all
Export citation of selected articles as:
11 pages, 1995 KB  
Article
Identification of the 2AP Regulatory Gene CnProDH in Aromatic Coconut and Screening of Its Regulatory Factors
by Xiwei Sun, Lixia Zhou, Jing Li, Jinyao Yin, Hao Ding, Xiaomei Liu and Yaodong Yang
Forests 2025, 16(11), 1707; https://doi.org/10.3390/f16111707 - 9 Nov 2025
Viewed by 354
Abstract
Aromatic coconut is a special variety of coconut. Its unique “pandan-like” aroma has won it great popularity among consumers, endowing it with considerable market potential. In our previous study, 2-acetyl-1-pyrroline (2AP), which serves as the main source of the “pandan-like” aroma in aromatic [...] Read more.
Aromatic coconut is a special variety of coconut. Its unique “pandan-like” aroma has won it great popularity among consumers, endowing it with considerable market potential. In our previous study, 2-acetyl-1-pyrroline (2AP), which serves as the main source of the “pandan-like” aroma in aromatic coconut, was found to exhibit significant variation among distinct aromatic coconut individuals. Now, the regulatory mechanism of 2AP has been clarified in fragrant rice, and the ProDH gene is the key gene for 2AP regulation. To further understand the regulation mechanism of 2AP content in aromatic coconut, we cloned and identified the CnProDH gene, the key gene of 2AP regulation in aromatic coconut. The results showed that the CnProDH gene had the typical ProDH structural domain, and its full-length sequence is 23,667 bp, containing 5 exons and a coding sequence (CDS) of 1599 bp. The CnProDH gene encodes a protein that possesses a β8α8 barrel structure, consisting of 532 amino acids (aa), with a molecular mass of 58,076.63 kDa and an isoelectric point of 7.11. To further understand the regulatory mechanism of CnProDH in aromatic coconut, we also constructed a yeast one-hybrid (Y1H) library for aromatic coconut. Through the Y1H experiment, combined with the prediction and analysis of cis-acting elements in the promoter of the CnProDH gene, three possible regulatory factors, including CnYABBY2, CnSAP8, and CnBRD3, were identified. These findings provide a molecular basis for clarifying and solving the problem of variations in 2AP content across different aromatic coconuts. Full article
(This article belongs to the Section Genetics and Molecular Biology)
Show Figures

Figure 1

13 pages, 3053 KB  
Article
Development of Fragrant Thermosensitive Genic Male Sterile Line Rice Using CRISPR/Cas9
by Tengkui Chen, Na Pu, Menglin Ni, Huabin Xie, Zhe Zhao, Juan Hu, Zhanhua Lu, Wuming Xiao, Zhiqiang Chen, Xiuying He and Hui Wang
Agronomy 2025, 15(2), 411; https://doi.org/10.3390/agronomy15020411 - 6 Feb 2025
Cited by 2 | Viewed by 1555
Abstract
This study aimed to develop an aromatic thermosensitive genic male sterile (TGMS) line in indica rice using CRISPR/Cas9 technology. The TMS5 and FGR in the high-quality conventional rice variety Huahang 48 were targeted for editing using CRISPR/Cas9 technology. CRISPR/Cas9 vectors designed for TMS5 [...] Read more.
This study aimed to develop an aromatic thermosensitive genic male sterile (TGMS) line in indica rice using CRISPR/Cas9 technology. The TMS5 and FGR in the high-quality conventional rice variety Huahang 48 were targeted for editing using CRISPR/Cas9 technology. CRISPR/Cas9 vectors designed for TMS5 and FGR were constructed and introduced into rice calli through Agrobacterium-mediated transformation. Transgenic seedlings were subsequently regenerated, and the target sites of the edited plants were analyzed via sequencing. A total of fifteen T0 double mutants were successfully obtained. Three mutants without T-DNA insertion were screened in the T1 generation by the PCR detection of hygromycin gene fragments, and homozygous mutants without T-DNA insertion were screened in the T2 generation by the sequencing analysis of the mutation sites, named Huahang 48s. Huahang 48s exhibited complete sterility at 24 °C and pollen transfer at 23 °C. The 2-acetyl-1-pyrroline (2-AP) content was detected in the young panicles, leaves, and stems of Huahang 48s. The leaves of Huahang 48s had the highest 2-AP content, contrasting with the absence of 2-AP in HuaHang 48. F1 hybrids that crossed Huahang 48s with two high-quality restorer lines were superior to the two parents in terms of yield per plant and 1000-grain weight. Huahang 48s has a certain combining ability and application potential in two-line cross breeding. The successful application of CRISPR/Cas9 technology in Huahang 48 established a foundation for developing aromatic TGMS lines, providing both theoretical insights and practical materials for breeding efforts. Full article
(This article belongs to the Section Crop Breeding and Genetics)
Show Figures

Figure 1

12 pages, 2113 KB  
Article
Molecular Marker-Assisted Breeding and Seed Production Techniques for Shenyou R3, a New Premium Aromatic Hybrid Japonica Rice
by Anpeng Zhang, Jianming Zhang, Can Cheng, Fuan Niu, Jihua Zhou, Bin Sun, Yuting Dai, Kaizhen Xie, Huangwei Chu and Liming Cao
Agronomy 2025, 15(2), 317; https://doi.org/10.3390/agronomy15020317 - 26 Jan 2025
Viewed by 1711
Abstract
The advancement of hybrid japonica rice is pivotal for securing japonica rice supplies and bolstering food security. To address prevalent issues such as inconsistent yields, subpar rice quality, and inadequate seed production in existing cultivars, Shenyou R3 was developed using advanced high-density rice [...] Read more.
The advancement of hybrid japonica rice is pivotal for securing japonica rice supplies and bolstering food security. To address prevalent issues such as inconsistent yields, subpar rice quality, and inadequate seed production in existing cultivars, Shenyou R3 was developed using advanced high-density rice gene chip technology, which is characterized by the expression of specific genes. This late-season, premium aromatic variety, characterized by a popcorn-like aroma, was bred by the Crop Breeding and Cultivation Research Institute of the Shanghai Academy of Agricultural Sciences. Shenyou R3 incorporates superior genes such as badh2-E7, Pi2, Xa21, Sdt97, and Hd17, among which, badh2-E7 and Hd17 are inherited from the maternal line, while Pi2, Xa21, and Sdt97 are inherited from both the maternal and paternal lines. Shenyou R3 offers high-quality rice that adheres to national premium grade 2 standards, with level 1 resistance to blast disease, and yields surpassing the control variety Huayou 14 by over 5% in 2022 Shanghai trials. The new hybrid japonica rice Shenyou R3 has high yield potential and nitrogen utilization efficiency. This paper elaborates on the molecular marker-assisted selection process, key traits, quality metrics, and yield performance of Shenyou R3, while also outlining essential cultivation practices. Full article
(This article belongs to the Section Crop Breeding and Genetics)
Show Figures

Figure 1

13 pages, 2898 KB  
Article
Development and Trait-Based Molecular Characterization of Thermosensitive Genic Male-Sterile Rice (Oryza sativa L.) Lines at Texas A&M AgriLife Research
by Darlene L. Sanchez, Stanley Omar P. B. Samonte, Kimberly S. Ponce, Zongbu Yan and Lloyd T. Wilson
Agronomy 2024, 14(12), 2773; https://doi.org/10.3390/agronomy14122773 - 22 Nov 2024
Viewed by 1613
Abstract
This study aimed to develop and genetically characterize thermosensitive genic male-sterility (TGMS) lines for use in hybrid rice (Oryza sativa L.) breeding. Male-sterile F2 to F4 generation lines were screened during the high-temperature summer season, and ratoon crops of selected [...] Read more.
This study aimed to develop and genetically characterize thermosensitive genic male-sterility (TGMS) lines for use in hybrid rice (Oryza sativa L.) breeding. Male-sterile F2 to F4 generation lines were screened during the high-temperature summer season, and ratoon crops of selected male-sterile rows were harvested for pure seed. Sixty-six F5 TGMS lines were genotyped using DNA markers controlling 16 traits from the LSU80 QA/QC Rice PlexSeq SNP Panel. Ten TGMS lines with desirable traits that included semidwarf, glabrous, non-aromatic, long-grain, narrow brown leaf spot resistance, and blast resistance genes were selected for further genotypic characterization using markers for low chalkiness (chalk5), wide compatibility (S5-n), cold tolerance (qSCT-11 and qCST-12), and anaerobic germination (AG1 and AG2). TGMS lines TIL21051S and TIL21052S possess favorable alleles for each of the genes evaluated in this study and are desirable parents for two-line hybrid breeding in the southeast United States. TIL21044S, TIL21095S, TIL21060S, and TIL21066S each contain three blast resistance genes and have potential as parental lines. TIL21014S-2, TIL21015S, and TIL21016S-1 include the fgr allele for aroma and can also be used as parental lines for aromatic two-line hybrids. Full article
(This article belongs to the Special Issue Marker Assisted Selection and Molecular Breeding in Major Crops)
Show Figures

Figure 1

14 pages, 1523 KB  
Article
Bifunctional Phenylalanine/Tyrosine Ammonia-Lyase (PTAL) Enhances Lignin Biosynthesis: Implications in Carbon Fixation in Plants by Genetic Engineering
by Ye Yuan, Chao-Lei Sheng, Li-Hao Pang and Bao-Rong Lu
Biology 2024, 13(9), 742; https://doi.org/10.3390/biology13090742 - 22 Sep 2024
Cited by 4 | Viewed by 2155
Abstract
Lignin is a key metabolite for terrestrial plants. Two types of aromatic amino acids, phenylalanine (Phe) and tyrosine (Tyr), serve as the precursors for lignin biosynthesis. In most plant species, Phe is deaminated by Phe ammonia-lyase (PAL) to initiate lignin biosynthesis, but in [...] Read more.
Lignin is a key metabolite for terrestrial plants. Two types of aromatic amino acids, phenylalanine (Phe) and tyrosine (Tyr), serve as the precursors for lignin biosynthesis. In most plant species, Phe is deaminated by Phe ammonia-lyase (PAL) to initiate lignin biosynthesis, but in grass species, Phe and Tyr are deaminated by Phe/Tyr ammonia-lyase (PTAL). To understand the efficiency of PAL and PTAL, we used transgenic and non-transgenic Arabidopsis with PAL and crop-weedy rice hybrids (CWRH) with PTAL to analyze lignin-biosynthesis-associated metabolites. The transgenic plants overexpressed the exogenous 5-enolpyruvylshikimate-3-phosphate synthase (EPSPS) gene, whereas the non-transgenic plants normally expressed the endogenous EPSPS gene. Our results show significantly increased Phe/Tyr contents in transgenic Arabidopsis and CWRH plants, leading to substantially increased lignin and biomass. In addition, the PTAL pathway promotes a much greater proportion of increased lignin and biomass in transgenic CWRH than in transgenic Arabidopsis lineages. Evidently, more efficient lignin biosynthesis characterized the grass species possessing the PTAL pathway. These findings are important for a better understanding of the PAL and PTAL’s functions in the phenylpropanoid metabolic pathways in the evolution of plant species. These findings also have great value for implications such as effective carbon fixation by enhancing lignin biosynthesis through genetic engineering of their key genes in appropriately selected plant species. Full article
(This article belongs to the Section Plant Science)
Show Figures

Figure 1

16 pages, 4997 KB  
Article
Improvement of Flowering Stage in Japonica Rice Variety Jiahe212 by Using CRISPR/Cas9 System
by Dengmei He, Ran Zhou, Chenbo Huang, Yanhui Li, Zequn Peng, Dian Li, Wenjing Duan, Nuan Huang, Liyong Cao, Shihua Cheng, Xiaodeng Zhan, Lianping Sun and Shiqiang Wang
Plants 2024, 13(15), 2166; https://doi.org/10.3390/plants13152166 - 5 Aug 2024
Cited by 4 | Viewed by 2015
Abstract
The flowering period of rice significantly impacts variety adaptability and yield formation. Properly shortening the reproductive period of rice varieties can expand their ecological range without significant yield reduction. Targeted genome editing, like CRISPR/Cas9, is an ideal tool to fine-tune rice growth stages [...] Read more.
The flowering period of rice significantly impacts variety adaptability and yield formation. Properly shortening the reproductive period of rice varieties can expand their ecological range without significant yield reduction. Targeted genome editing, like CRISPR/Cas9, is an ideal tool to fine-tune rice growth stages and boost yield synergistically. In this study, we developed a CRISPR/Cas9-mediated multiplex genome-editing vector containing five genes related to three traits, Hd2, Ghd7, and DTH8 (flowering-stage genes), along with the recessive rice blast resistance gene Pi21 and the aromatic gene BADH2. This vector was introduced into the high-quality japonica rice variety in Zhejiang province, Jiahe212 (JH212), resulting in 34 T0 plants with various effective mutations. Among the 17 mutant T1 lines, several displayed diverse flowering dates, but most exhibited undesirable agronomic traits. Notably, three homozygous mutant lines (JH-C15, JH-C18, and JH-C31) showed slightly earlier flowering dates without significant differences in yield-related traits compared to JH212. Through special Hyg and Cas marker selection of T2 plants, we identified seven, six, and two fragrant glutinous plants devoid of transgenic components. These single plants will serve as sib lines of JH212 and potential resources for breeding applications, including maintenance lines for indicajaponica interspecific three-line hybrid rice. In summary, our research lays the foundation for the creation of short-growth-period CMS (cytoplasmic male sterility, CMS) lines, and also provides materials and a theoretical basis for indicajaponica interspecific hybrid rice breeding with wider adaptability. Full article
(This article belongs to the Special Issue Molecular Breeding and Germplasm Improvement of Rice—2nd Edition)
Show Figures

Figure 1

14 pages, 3278 KB  
Article
Transcription Factor OsbZIP60-like Regulating OsP5CS1 Gene and 2-Acetyl-1-pyrroline (2-AP) Biosynthesis in Aromatic Rice
by Gegen Bao, Umair Ashraf, Lin Li, Jingxuan Qiao, Chunling Wang and Yixiong Zheng
Plants 2024, 13(1), 49; https://doi.org/10.3390/plants13010049 - 22 Dec 2023
Cited by 12 | Viewed by 2362
Abstract
The most important volatile in determining the aroma of fragrant rice is 2-Acetyl-1-pyrroline (2-AP); however, the transcriptional regulation mechanism of 2-AP biosynthesis in fragrant rice is still unclear. In this study, Osp5cs1 knockout mutant lines and OsP5CS1 over-expression lines were constructed by the [...] Read more.
The most important volatile in determining the aroma of fragrant rice is 2-Acetyl-1-pyrroline (2-AP); however, the transcriptional regulation mechanism of 2-AP biosynthesis in fragrant rice is still unclear. In this study, Osp5cs1 knockout mutant lines and OsP5CS1 over-expression lines were constructed by the genetic transformation of the Indica rice cultivar, i.e., ‘Zhonghua11′, which knocks out OsBADH2 to produce fragrance in aromatic rice. The OsP5CS1 gene was also identified as a key gene in the 2-AP biosynthesis pathway of aromatic rice. The OsP5CS1 promoter was used as bait, and the OsbZIP60-like transcription factor was screened by yeast one-hybrid assays. The OsbZIP60-like transcription factor specifically bound to the OsP5CS1 gene. The dual luciferase reporting system found that the OsbZIP60-like transcription factor promoted the transcriptional activation of OsP5CS1. Compared with the wild type, OsP5CS1 gene expression was significantly down-regulated in the Osbzip60-like mutant and resulted in a substantial reduction in 2-AP biosynthesis. Moreover, the OsP5CS1 gene expression was significantly up-regulated in OsbZIP60-like over-expressed plants, and the 2-AP concentrations were also increased, whereas the Osbzip60-like mutants were found to be sensitive to Zn deficiency. Overall, the OsbZIP60-like transcription factor promoted the 2-AP accumulation. This study provides a theoretical basis for the transcriptional regulation mechanism of 2-AP biosynthesis and explores the function of the OsbZIP transcription factor in fragrant rice. Full article
(This article belongs to the Special Issue Plant Volatile Organic Compounds: Revealing the Hidden Interactions)
Show Figures

Figure 1

20 pages, 943 KB  
Article
Gene Genealogy-Based Mutation Analysis Reveals Emergence of Aus, Tropical japonica, and Aromatic of Oryza sativa during the Later Stage of Rice Domestication
by Yingqing Lu
Genes 2023, 14(7), 1412; https://doi.org/10.3390/genes14071412 - 8 Jul 2023
Cited by 1 | Viewed by 2149
Abstract
Asian rice (Oryza sativa L.) has become a model for understanding gene functions and domestication in recent decades; however, its own diversification is still controversial. Although the division of indica and japonica and five subgroups (aus, indica (sensu stricto [...] Read more.
Asian rice (Oryza sativa L.) has become a model for understanding gene functions and domestication in recent decades; however, its own diversification is still controversial. Although the division of indica and japonica and five subgroups (aus, indica (sensu stricto), japonica (sensu stricto), tropical japonica, and aromatic) are broadly accepted, how they are phylogenetically related is not transparent. To clarify their relationships, a sample of 121 diverse genes was chosen here from 12 Oryza genomes (two parental and ten O. sativa (Os)) in parallel to allow gene genealogy-based mutation (GGM) analysis. From the sample, 361 Os mutations were shared by two or more subgroups (referred to here as trans mutations) from 549 mutations identified at 51 Os loci. The GGM analysis and related tests indicates that aus diverged from indica at a time significantly earlier than when tropical japonica split from japonica. The results also indicate that aromatic was selected from hybrid progeny of aus and tropical japonica and that all five subgroups share a significant number of the early mutations identified previously. The results suggest that aus, tropical japonica, and aromatic emerged sequentially within the most recent 4–5 millennia of rice domestication after the split of indica and japonica. Full article
(This article belongs to the Section Plant Genetics and Genomics)
Show Figures

Figure 1

21 pages, 1333 KB  
Article
Foliar Diseases and the Associated Fungi in Rice Cultivated in Kenya
by Everlyne M. Nganga, Martina Kyallo, Philemon Orwa, Felix Rotich, Emily Gichuhi, John M. Kimani, David Mwongera, Bernice Waweru, Phoebe Sikuku, David M. Musyimi, Samuel K. Mutiga, Cathrine Ziyomo, Rosemary Murori, Lusike Wasilwa, James C. Correll and Nicholas J. Talbot
Plants 2022, 11(9), 1264; https://doi.org/10.3390/plants11091264 - 7 May 2022
Cited by 7 | Viewed by 5188
Abstract
We conducted a survey to assess the occurrence and severity of rice blast and brown spot diseases on popular cultivars grown in the Busia, Kirinyaga, and Kisumu counties of Kenya in 2019. Working with agricultural extension workers within rice production areas, we interviewed [...] Read more.
We conducted a survey to assess the occurrence and severity of rice blast and brown spot diseases on popular cultivars grown in the Busia, Kirinyaga, and Kisumu counties of Kenya in 2019. Working with agricultural extension workers within rice production areas, we interviewed farmers (n = 89) regarding their preferred cultivars and their awareness of blast disease, as this was the major focus of our research. We scored the symptoms of blast and brown spot and assessed the lodging, plant height, and maturity of the crops (days after planting). Furthermore, we collected leaf and neck tissues for the assessment of the prevailing fungal populations. We used specific DNA primers to screen for the prevalence of the causal pathogens of blast, Magnaporthe oryzae, and brown spot, Cochliobolus miyabeanus, on asymptomatic and symptomatic leaf samples. We also conducted fungal isolations and PCR-sequencing to identify the fungal species in these tissues. Busia and Kisumu had a higher diversity of cultivars compared to Kirinyaga. The aromatic Pishori (NIBAM 11) was preferred and widely grown for commercial purposes in Kirinyaga, where 86% of Kenyan rice is produced. NIBAM108 (IR2793-80-1) and BW196 (NIBAM 109) were moderately resistant to blast, while NIBAM110 (ITA310) and Vietnam were susceptible. All the cultivars were susceptible to brown spot except for KEH10005 (Arize Tej Gold), a commercial hybrid cultivar. We also identified diverse pathogenic and non-pathogenic fungi, with a high incidence of Nigrospora oryzae, in the rice fields of Kirinyaga. There was a marginal correlation between disease severity/incidence and the occurrence of causal pathogens. This study provides evidence of the need to strengthen pathogen surveillance through retraining agricultural extension agents and to breed for blast and brown spot resistance in popular rice cultivars in Kenya. Full article
(This article belongs to the Collection Feature Papers in Plant Protection)
Show Figures

Figure 1

14 pages, 1205 KB  
Article
Combining Ability and Gene Action for Yield Characteristics in Novel Aromatic Cytoplasmic Male Sterile Hybrid Rice under Water-Stress Conditions
by Hamdi F. El-Mowafi, Muneera D. F. AlKahtani, Rizk M. Abdallah, Amr M. Reda, Kotb A. Attia, Mahmoud A. El-Hity, Hend E. El-Dabaawy, Latifa Al Husnain, Talal K. Al-Ateeq and Mohamed A. EL-Esawi
Agriculture 2021, 11(3), 226; https://doi.org/10.3390/agriculture11030226 - 9 Mar 2021
Cited by 25 | Viewed by 3990
Abstract
Hybrid rice parental lines with better combining abilities provide an efficient tool to increase rice production. In the current study, twenty hybrid combinations were generated from five aromatic cytoplasmic male sterile (CMS) lines and four restorer lines (three of them aromatic) using a [...] Read more.
Hybrid rice parental lines with better combining abilities provide an efficient tool to increase rice production. In the current study, twenty hybrid combinations were generated from five aromatic cytoplasmic male sterile (CMS) lines and four restorer lines (three of them aromatic) using a line × tester mating design. The hybrids and their parental lines were evaluated under two water regimes: normal irrigation and water-stress. Ten yield-component traits were studied over a period of 2 years, and the significant differences between the parents and hybrids are reported in this investigation. Overall, all yield component traits were significantly affected by the water deficit and were governed by both additive and non-additive gene actions. More specifically, the grain yield (GY) was mainly controlled by non-additive gene action under both normal and water-stress conditions. The contribution of the additive variance (σ2 A) was more prominent in the genetic components of traits as compared to the dominance variance (σ2 D). The aromatic parental line CMS IR58025A and the restorer line PR2 were recorded as the best combiners for the GY and good combiners for many other characteristics under both growth conditions. The cross combinations Pusa12A/IR25571-31R and Pusa12A/Giza-Basmati-201 revealed significantly positive specific combining ability (SCA) effects for the GY under both normal and water-stress conditions. The inconsistent correlation between the general combining ability (GCA) and SCA manifested complex interactions among the positive and negative alleles of the genes controlling the yield traits. Generally, the findings of this investigation demonstrated the importance of the GCA and SCA for understanding the genetic components and gene actions of the yield characteristics in new aromatic hybrid rice parental lines. Therefore, we recommend considering these findings in the selection of elite parents for developing superior aromatic hybrid rice varieties under water-stress conditions. Full article
Show Figures

Figure 1

15 pages, 2103 KB  
Review
Review on Carbon Dioxide Utilization for Cycloaddition of Epoxides by Ionic Liquid-Modified Hybrid Catalysts: Effect of Influential Parameters and Mechanisms Insight
by Jimmy Nelson Appaturi, Rajabathar. Jothi Ramalingam, Muthu Kumaran Gnanamani, Govindasami Periyasami, Prabhakarn Arunachalam, Rohana Adnan, Farook Adam, Mohammed D. Wasmiah and Hamad A. Al-Lohedan
Catalysts 2021, 11(1), 4; https://doi.org/10.3390/catal11010004 - 23 Dec 2020
Cited by 54 | Viewed by 7800
Abstract
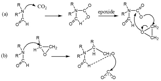
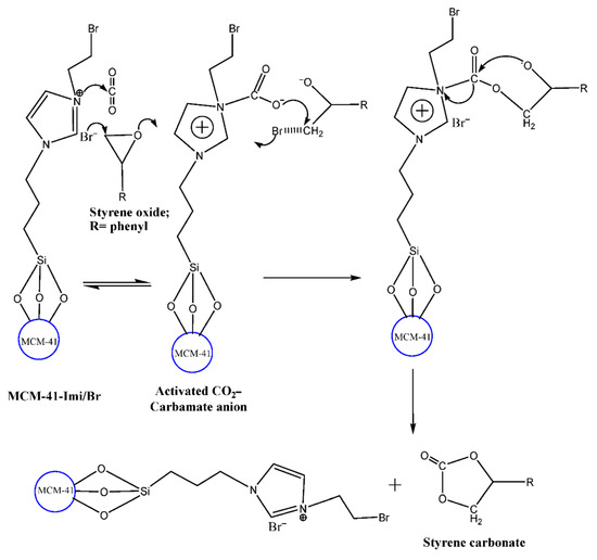
The storage, utilization, and control of the greenhouse (CO2) gas is a topic of interest for researchers in academia and society. The present review article is dedicating to cover the overall role of ionic liquid-modified hybrid materials in cycloaddition reactions. Special [...] Read more.
The storage, utilization, and control of the greenhouse (CO2) gas is a topic of interest for researchers in academia and society. The present review article is dedicating to cover the overall role of ionic liquid-modified hybrid materials in cycloaddition reactions. Special emphasis is on the synthesis of various cyclic carbonate using ionic liquid-based modified catalysts. Catalytic activity studies have discussed with respect to process conditions and their effects on conversion and product selectivity for the reaction of cycloaddition of CO2 with styrene oxide. The reaction temperature and the partial pressure of CO2 have found to play a key role in cyclic carbonate formation. The role of other influential parameter (solvent effect) is also discussed for the conversion of cyclic/aromatic oxides to polycarbonate production. Our own research work that deals with ionic liquid-based halide-modified mesoporous catalyst (MCM-41 type) derived from rice husk waste has also been discussed. Finally, the role of carbon dioxide activation and ring-opening mechanisms involved in the cyclic carbonate product formation from CO2 have been discussed. Full article
(This article belongs to the Section Catalytic Materials)
Show Figures

Graphical abstract

Back to TopTop