Sign in to use this feature.

Years

Between: -

Subjects

remove_circle_outline
remove_circle_outline
remove_circle_outline
remove_circle_outline
remove_circle_outline
remove_circle_outline
remove_circle_outline

Journals

Article Types

Countries / Regions

Search Results (13)

Search Parameters:
Keywords = aqueous distillation residues

Order results
Result details
Results per page
Select all
Export citation of selected articles as:
28 pages, 6349 KB  
Article
Valorization of Waste from Lavender Distillation Through Optimized Encapsulation Processes
by Nikoletta Solomakou, Dimitrios Fotiou, Efthymia Tsachouridou and Athanasia M. Goula
Foods 2025, 14(15), 2684; https://doi.org/10.3390/foods14152684 - 30 Jul 2025
Viewed by 647
Abstract
This study evaluated and compared two encapsulation techniques—co-crystallization and ionic gelation—for stabilizing bioactive components derived from lavender distillation residues. Utilizing aqueous ethanol extraction (solid residues) and concentration (liquid residues), phenolic-rich extracts were incorporated into encapsulation matrices and processed under controlled conditions. Comprehensive characterization [...] Read more.
This study evaluated and compared two encapsulation techniques—co-crystallization and ionic gelation—for stabilizing bioactive components derived from lavender distillation residues. Utilizing aqueous ethanol extraction (solid residues) and concentration (liquid residues), phenolic-rich extracts were incorporated into encapsulation matrices and processed under controlled conditions. Comprehensive characterization included encapsulation efficiency (Ef), antioxidant activity (AA), moisture content, hygroscopicity, dissolution time, bulk density, and color parameters (L*, a*, b*). Co-crystallization outperformed ionic gelation across most criteria, achieving significantly higher Ef (>150%) and superior functional properties such as lower moisture content (<0.5%), negative hygroscopicity (−6%), and faster dissolution (<60 s). These features suggested enhanced physicochemical stability and suitability for applications requiring long shelf life and rapid solubility. In contrast, extruded beads exhibited high moisture levels (94.0–95.4%) but allowed better control over morphological features. The work introduced a mild-processing approach applied innovatively to the valorization of lavender distillation waste through structurally stable phenolic delivery systems. By systematically benchmarking two distinct encapsulation strategies under equivalent formulation conditions, this study advanced current understanding in bioactive microencapsulation and offers new tools for developing functional ingredients from aromatic plant by-products. Full article
Show Figures

Graphical abstract

27 pages, 11163 KB  
Article
Impact of Industrial Hemp (Cannabis sativa L.) Extracts on Seed Germination and Seedling Growth: Evaluating Allelopathic Activity Across Various Extraction Methods
by Mirjana Kojić, Nataša Samardžić, Milena Popov, Aleksandra Gavarić, Senka Vidović, Nemanja Teslić, Tijana Zeremski, Anamarija Koren and Bojan Konstantinović
Agronomy 2025, 15(3), 684; https://doi.org/10.3390/agronomy15030684 - 12 Mar 2025
Viewed by 1749
Abstract
The noticeable reduction in plant species abundance near industrial hemp (Cannabis sativa L.) highlights the need to investigate its potential allelopathic effects on selected cultivars’ seed germination and seedling growth. Industrial hemp of the “Helena” variety was used to obtain aqueous extracts [...] Read more.
The noticeable reduction in plant species abundance near industrial hemp (Cannabis sativa L.) highlights the need to investigate its potential allelopathic effects on selected cultivars’ seed germination and seedling growth. Industrial hemp of the “Helena” variety was used to obtain aqueous extracts by conventional (macerate, hydrolate, and post-distillation residue) and green methods (ultrasonic and microwave extracts) in order to treat thirteen most commonly cultivated plant species, including lettuce, kohlrabi, onion, tomato, carrot, pepper, savoy cabbage, rocket, alfalfa, white mustard, pea, sunflower, and parsley. This is the first time that the allelopathic effects of seven different hemp extracts were tested simultaneously on thirteen different species. The extracts were applied at 10, 25, 50, and 100% concentrations. The seed germination percentage and root/shoot length results for all tested plants, except peas, clearly demonstrated an inhibitory effect of higher concentrations of hemp extracts. This effect was observed regardless of variations in chemical composition (CBD, THC, and total polyphenols), suggesting that different extracts have varying impacts on different species. The weakest inhibitory effect on the germination and seedling length for the majority of the tested plant species was noted for PDR, while the strongest inhibitory effect in terms of seedling length was observed in the case of MAE700. Full article
(This article belongs to the Section Farming Sustainability)
Show Figures

Figure 1

8 pages, 984 KB  
Communication
Study on Removal of Nitrogen-Containing Heterocyclic Compounds Contained in Crude Methylnaphthalene Oil by Formamide Extraction
by Su Jin Kim
Processes 2024, 12(8), 1550; https://doi.org/10.3390/pr12081550 - 25 Jul 2024
Cited by 3 | Viewed by 1091
Abstract
This study examined the effect of experimental factors and conditions on the removal of nitrogen-containing heterocyclic compounds (NCHCs) by performing equilibrium extraction using formamide or formamide aqueous solution as a solvent to remove NCHCs contained in crude methylnaphthalene oil (CMNO). The CMNO used [...] Read more.
This study examined the effect of experimental factors and conditions on the removal of nitrogen-containing heterocyclic compounds (NCHCs) by performing equilibrium extraction using formamide or formamide aqueous solution as a solvent to remove NCHCs contained in crude methylnaphthalene oil (CMNO). The CMNO used as a raw material in this study contained three types of NCHCs (quinoline, isoquinoline, and indole) classified as group A, and six kinds of non-NCHCs (naphthalene, 1-methylnaphthalene, 2-methylnaphthalene, biphenyl, dibenzofuran, and fluorene) classified as group B. Increasing the volume fraction of water to the solvent before the extraction run increased the raffinate residual rate but conversely decreased the removal rate of group A. The increase in the volume fraction of solvent to feed before the extraction run and operating temperature decreased the residual rate of raffinate but conversely increased the removal rate of group A. Over the entire range of extraction conditions performed in this study, the removal rate of group A ranged from 10.8% to 70.7%. Considering that these experimental results were obtained using only a single stage of batch equilibrium extraction, the formamide extraction method applied in this study showed excellent performance in terms of the residual rate of raffinate and the removal rate of group A. Therefore, it was expected to be an alternative to the reaction extraction method using acids and bases applied so far to separate NCHCs in the distillation residue of coal tar. Full article
(This article belongs to the Special Issue 2nd Edition of Innovation in Chemical Plant Design)
Show Figures

Figure 1

24 pages, 2509 KB  
Article
Antioxidant-Enhanced Alginate Beads for Stabilizing Rapeseed Oil: Utilizing Extracts from Post-Distillation Waste Residues of Rosemary
by Petroula Tsitlakidou, Despina Kamplioni, Anastasia Kyriakoudi, Maria Irakli, Costas G. Biliaderis and Ioannis Mourtzinos
Foods 2024, 13(13), 2142; https://doi.org/10.3390/foods13132142 - 5 Jul 2024
Cited by 5 | Viewed by 1992
Abstract
An eco-friendly extraction process of polyphenols from conventional dried rosemary tissues and post-distillation waste residues was applied using β-cyclodextrin as a co-solvent. The aqueous extracts were characterized by measuring the total phenolic content, and their phenolic compounds were identified and quantified by LC-MS. [...] Read more.
An eco-friendly extraction process of polyphenols from conventional dried rosemary tissues and post-distillation waste residues was applied using β-cyclodextrin as a co-solvent. The aqueous extracts were characterized by measuring the total phenolic content, and their phenolic compounds were identified and quantified by LC-MS. Sodium alginate solutions (2% w/w) with/without incorporation of rosemary aqueous extracts were prepared and used for the preparation of O/W emulsions containing 20% rapeseed oil and an 80% water phase. Hydrogel beads were then stored at 20 °C for 28 days. The quality of encapsulated oil during storage was evaluated by measurements of the peroxide value, p-anisidine value, free fatty acids, total oxidation value, and fatty acid composition, whilst the aqueous phase of the beads was analyzed for its total extractable phenolic content (TEPC). The experimental findings indicate that the incorporation of aqueous extracts from post-distillation rosemary residues in emulsion-filled hydrogel beads resulted in the lowest level of oxidation products in the encapsulated rapeseed oil (PV = 10.61 ± 0.02 meq/Kg oil, p-AnV = 4.41 ± 0.09, and FFA = 0.14 ± 0.00, expressed as % oleic acid content), indicating an acceptable oil quality until the end of the storage period. Full article
Show Figures

Figure 1

21 pages, 4250 KB  
Article
Identification of Anti-Neuroinflammatory Bioactive Compounds in Essential Oils and Aqueous Distillation Residues Obtained from Commercial Varieties of Cannabis sativa L.
by Maria Cristina Barbalace, Michela Freschi, Irene Rinaldi, Eugenia Mazzara, Tullia Maraldi, Marco Malaguti, Cecilia Prata, Filippo Maggi, Riccardo Petrelli, Silvana Hrelia and Cristina Angeloni
Int. J. Mol. Sci. 2023, 24(23), 16601; https://doi.org/10.3390/ijms242316601 - 22 Nov 2023
Cited by 11 | Viewed by 3366
Abstract
Neuroinflammation, which is mainly triggered by microglia, is a key contributor to multiple neurodegenerative diseases. Natural products, and in particular Cannabis sativa L., due to its richness in phytochemical components, represent ideal candidates to counteract neuroinflammation. We previously characterized different C. sativa commercial [...] Read more.
Neuroinflammation, which is mainly triggered by microglia, is a key contributor to multiple neurodegenerative diseases. Natural products, and in particular Cannabis sativa L., due to its richness in phytochemical components, represent ideal candidates to counteract neuroinflammation. We previously characterized different C. sativa commercial varieties which showed significantly different chemical profiles. On these bases, the aim of this study was to evaluate essential oils and aqueous distillation residues from the inflorescences of three different hemp varieties for their anti-neuroinflammatory activity in BV-2 microglial cells. Cells were pretreated with aqueous residues or essential oils and then activated with LPS. Unlike essential oils, aqueous residues showed negligible effects in terms of anti-inflammatory activity. Among the essential oils, the one obtained from ‘Gorilla Glue’ was the most effective in inhibiting pro-inflammatory mediators and in upregulating anti-inflammatory ones through the modulation of the p38 MAPK/NF-κB pathway. Moreover, the sesquiterpenes (E)-caryophyllene, α-humulene, and caryophyllene oxide were identified as the main contributors to the essential oils’ anti-inflammatory activity. To our knowledge, the anti-neuroinflammatory activity of α-humulene has not been previously described. In conclusion, our work shows that C. sativa essential oils characterized by high levels of sesquiterpenes can be promising candidates in the prevention/counteraction of neuroinflammation. Full article
(This article belongs to the Special Issue Molecular Mechanism of Natural Compounds in Neuroinflammation)
Show Figures

Graphical abstract

13 pages, 2082 KB  
Article
Sugar Extraction from Secondary Agricultural Waste Biomass Using Hydrothermal Carbonization and Direct Contact Membrane Distillation
by Viral Sagar, Joan G. Lynam and Amelia G. Parrenin
Biomass 2023, 3(4), 323-335; https://doi.org/10.3390/biomass3040020 - 7 Oct 2023
Cited by 6 | Viewed by 4148
Abstract
Sustainable and renewable sources of liquid and solid fuels are essential to prevent fossil fuel use from damaging the environment. Secondary agricultural residues, which are already transported to food processing centers, have great potential to be converted into biofuels. The wastes from coffee [...] Read more.
Sustainable and renewable sources of liquid and solid fuels are essential to prevent fossil fuel use from damaging the environment. Secondary agricultural residues, which are already transported to food processing centers, have great potential to be converted into biofuels. The wastes from coffee roasting, sugar production, and rice milling have been investigated using hydrothermal carbonization (HTC) to produce aqueous products containing monosaccharides alongside solid biofuels. These sugar-laden liquid products were characterized after pretreating coffee silverskins, sugarcane bagasse, and rice husks with HTC. They were then concentrated using direct contact membrane distillation (DCMD), a low-energy process that can use waste heat from other biorefinery processes. The higher heating value of the solid products was also characterized by bomb calorimetry. The liquid products from HTC of these wastes from food production were found to contain varying concentrations of glucose, xylose, galactose, and arabinose. DCMD was capable of concentrating the liquid products up to three times their original concentrations. Little difference was found among the higher heating values of the solid products after 180 °C HTC pretreatment compared to 200 °C pretreatment. HTC of waste from food processing can provide solid biofuels and liquid products containing sugars that can be concentrated using DCMD. Full article
(This article belongs to the Special Issue Hydrothermal Treatment in Biomass)
Show Figures

Graphical abstract

33 pages, 6890 KB  
Article
Improving Fuel Properties and Hydrocarbon Content from Residual Fat Pyrolysis Vapors over Activated Red Mud Pellets in Two-Stage Reactor: Optimization of Reaction Time and Catalyst Content
by Caio Campos Ferreira, Lucas Pinto Bernar, Augusto Fernando de Freitas Costa, Haroldo Jorge da Silva Ribeiro, Marcelo Costa Santos, Nathalia Lobato Moraes, Yasmin Santos Costa, Ana Cláudia Fonseca Baia, Neyson Martins Mendonça, Sílvio Alex Pereira da Mota, Fernanda Paula da Costa Assunção, Douglas Alberto Rocha de Castro, Carlos Castro Vieira Quaresma, Sergio Duvoisin, Luiz Eduardo Pizarro Borges and Nélio Teixeira Machado
Energies 2022, 15(15), 5595; https://doi.org/10.3390/en15155595 - 2 Aug 2022
Cited by 11 | Viewed by 2918
Abstract
Catalytic upgrading of vapors from pyrolysis of triglycerides materials is a promising approach to achieve better conversions of hydrocarbons and production of liquid biofuels. Catalytic cracking often shows incomplete conversion due to distillation of initial reaction products and the addition of a second [...] Read more.
Catalytic upgrading of vapors from pyrolysis of triglycerides materials is a promising approach to achieve better conversions of hydrocarbons and production of liquid biofuels. Catalytic cracking often shows incomplete conversion due to distillation of initial reaction products and the addition of a second catalytic reactor, whereas pyrolytic vapors are made in contact to a solid catalyst was applied to improve the physical-chemical properties and quality of bio-oil. This work investigated the effect of catalyst content and reaction time by catalytic upgrading from pyrolysis vapors of residual fat at 450 °C and 1.0 atmosphere, on the yields of reaction products, physicochemical properties (density, kinematic viscosity, refractive index, and acid value), and chemical composition of organic liquid products (OLP), over a catalyst fixed bed reactor, in semi pilot scale. Pellets of red mud chemically activated with 1.0 M HCl were used as catalysts. The thermal catalytic cracking of residual fat show OLP yields from 54.4 to 84.88 (wt.%), aqueous phase yields between 2.21 and 2.80 (wt.%), solid phase yields (coke) between 1.30 and 8.60 (wt.%), and gas yields from 11.61 to 34.22 (wt.%). The yields of OLP increases with catalyst content while those of aqueous, gaseous and solid phase decreases. For all experiments, the density, kinematic viscosity, and acid value of OLP decreases with reaction time. The GC-MS of liquid reaction products identified the presence of hydrocarbons and oxygenates. In addition, the hydrocarbon content in OLP increases with reaction time, while those of oxygenates decrease, reaching concentrations of hydrocarbons up to 95.35% (area.). The best results for the physicochemical properties and the maximum hydrocarbon content in OLP were obtained at 450 °C and 1.0 atmosphere, using a catalyst fixed bed reactor, with 5.0% (wt.) red mud pellets activated with 1.0 M HCl as catalyst. Full article
(This article belongs to the Special Issue Advances in Biodiesel for Application in Diesel Engines)
Show Figures

Figure 1

21 pages, 2831 KB  
Review
Phase Transfer Catalysts and Role of Reaction Environment in Nucleophilc Radiofluorinations in Automated Synthesizers
by Raisa N. Krasikova and Viktoriya V. Orlovskaya
Appl. Sci. 2022, 12(1), 321; https://doi.org/10.3390/app12010321 - 29 Dec 2021
Cited by 18 | Viewed by 5191
Abstract
Incorporation of [18F]fluorine into PET radiotracer structure has traditionally been accomplished via nucleophilic pathways. The [18F]fluoride is generated in an aqueous solution via proton irradiation of oxygen-18 enriched water and must to be introduced into water-free organic solutions in [...] Read more.
Incorporation of [18F]fluorine into PET radiotracer structure has traditionally been accomplished via nucleophilic pathways. The [18F]fluoride is generated in an aqueous solution via proton irradiation of oxygen-18 enriched water and must to be introduced into water-free organic solutions in order to generate reactive species. Thus nucleophilic 18F-fluorination traditionally included steps for [18F]fluoride concentration on the anion exchange resin, followed by removal of residual water via azeotropic distillation with MeCN, a time-consuming process associated with radioactivity losses and difficult automation. To circumvent this, several adsorption/elution protocols were developed based on the minimization of water content in traditional kryptofix-based [18F]fluoride eluents. The use of pre-dried KOH/kryptofix solutions, tertiary alcohols, and strong organic bases was found to be effective. Advances in transition metal-mediated SNAr approaches for radiolabeling of non-activated aromatic substrates have prompted development of alternative techniques for reactive [18F]fluoride species generation, such as organic solutions of non-basic alkyl ammonium and pyridinium sulfonates, etc. For radiofluorinations of iodonium salts precursors, a “minimalist” approach was introduced, avoiding the majority of pitfalls common to more complex methods. These innovations allowed the development of new time-efficient and convenient work-up procedures that are easily implementable in modern automated synthesizers. They will be the subject of this review. Full article
(This article belongs to the Special Issue Next Generation Radiopharmaceuticals for PET-Based Diagnostics)
Show Figures

Figure 1

18 pages, 4859 KB  
Article
Biocrude Production via Non-Catalytic Supercritical Hydrothermal Liquefaction of Fucus vesiculosus Seaweed Processing Residues
by Lukas Jasiūnas, Thomas Helmer Pedersen and Lasse Aistrup Rosendahl
Recycling 2021, 6(3), 45; https://doi.org/10.3390/recycling6030045 - 4 Jul 2021
Cited by 5 | Viewed by 3795
Abstract
The potential of using cold water brown macroalgae Fucus vesiculosus for biocrude production via non-catalytic supercritical hydrothermal liquefaction (HTL) was studied. Demineralization, residue neutralization, and high value-added product (alginate and fucoidan) extraction processes were carried out before using the biomass for HTL biocrude [...] Read more.
The potential of using cold water brown macroalgae Fucus vesiculosus for biocrude production via non-catalytic supercritical hydrothermal liquefaction (HTL) was studied. Demineralization, residue neutralization, and high value-added product (alginate and fucoidan) extraction processes were carried out before using the biomass for HTL biocrude production. Acid leaching was carried out using three demineralization agents: distilled water, dilute citric acid solution, and the diluted acidic aqueous by-product from a continuous HTL pilot facility. Alginate was extracted via H2SO4 and NaCO3 bathing, and fucoidan was extracted using CaCl2. Experimental data show that none of the leaching agents was greatly efficient in removing inorganics, with citric acid leaching with extensive neutralization reaching the highest ash removal efficiency of 47%. The produced 6 sets of biocrudes were characterized by elemental and thermogravimetric analyses. Short (10-min retention) HTL and the extent of leaching residue neutralization were also investigated. Highest biocrude yields were recorded when liquefying non-neutralized citric acid leaching, alginate, and fucoidan extraction residues. On the other hand, thermochemical conversions of short retention time HTL, full neutralization extent, and baseline (dried raw macroalgae) biomass performed worse. Specifically, the highest biocrude yield of 28.2 ± 2.5 wt.% on dry ash-free feedstock basis was recorded when liquefying alginate extraction residues. Moreover, the highest energy recovery of 52.8% was recorded when converting fucoidan extraction residues. Full article
(This article belongs to the Special Issue Recycling and Recovery of Biomass Materials)
Show Figures

Figure 1

17 pages, 2518 KB  
Article
GC-MS Studies on Derivatization of Creatinine and Creatine by BSTFA and Their Measurement in Human Urine
by Olga Begou, Kathrin Weber, Bibiana Beckmann and Dimitrios Tsikas
Molecules 2021, 26(11), 3206; https://doi.org/10.3390/molecules26113206 - 27 May 2021
Cited by 6 | Viewed by 5966
Abstract
In consideration of its relatively constant urinary excretion rate, creatinine (2-amino-1-methyl-5H-imidazol-4-one, MW 113.1) in urine is a useful endogenous biochemical parameter to correct the urinary excretion rate of numerous endogenous and exogenous substances. Reliable measurement of creatinine by gas chromatography (GC)-based [...] Read more.
In consideration of its relatively constant urinary excretion rate, creatinine (2-amino-1-methyl-5H-imidazol-4-one, MW 113.1) in urine is a useful endogenous biochemical parameter to correct the urinary excretion rate of numerous endogenous and exogenous substances. Reliable measurement of creatinine by gas chromatography (GC)-based methods requires derivatization of its amine and keto groups. Creatinine exists in equilibrium with its open form creatine (methylguanidoacetic acid, MW 131.1), which has a guanidine and a carboxylic group. Trimethylsilylation and trifluoroacetylation of creatinine and creatine are the oldest reported derivatization methods for their GC-mass spectrometry (MS) analysis in human serum using flame- or electron-ionization. We performed GC-MS studies on the derivatization of creatinine (d0-creatinine), [methylo-2H3]creatinine (d3-creatinine, internal standard) and creatine (d0-creatine) with N,O-bis(trimethylsilyl)trifluoroacetamide (BSTFA) using standard derivatization conditions (60 min, 60 °C), yet in the absence of any base. Reaction products were characterized both in the negative-ion chemical ionization (NICI) and in the positive-ion chemical ionization (PICI) mode. Creatinine and creatine reacted with BSTFA to form several derivatives. Their early eluting N,N,O-tris(trimethylsilyl) derivatives (8.9 min) were found to be useful for the precise and accurate measurement of the sum of creatinine and creatine in human urine (10 µL, up to 20 mM) by selected-ion monitoring (SIM) of m/z 271 (d0-creatinine/d0-creatine) and m/z 274 (d3-creatinine) in the NICI mode. In the PICI mode, SIM of m/z 256, m/z 259, m/z 272 and m/z 275 was performed. BSTFA derivatization of d0-creatine from a freshly prepared solution in distilled water resulted in formation of two lMate-eluting derivatives (14.08 min, 14.72 min), presumably creatinyl-creatinine, with the creatininyl residue existing in its enol form (14.08 min) and keto form (14.72 min). Our results suggest that BSTFA derivatization does not allow specific analysis of creatine and creatinine by GC-MS. Preliminary analyses suggest that pentafluoropropionic anhydride (PFPA) is also not useful for the measurement of creatinine in the presence of creatine. Both BSTFA and PFPA facilitate the conversion of creatine to creatinine. Specific measurement of creatinine in urine is possible by using pentafluorobenzyl bromide in aqueous acetone. Full article
(This article belongs to the Special Issue Derivatization in Analytical Chemistry)
Show Figures

Figure 1

21 pages, 4187 KB  
Article
Alcohol Dehydration by Extractive Distillation with Use of Aminoethers of Boric Acid
by Alexander V. Klinov, Alexander V. Malygin, Alina R. Khairullina, Sergey E. Dulmaev and Ilsiya M. Davletbaeva
Processes 2020, 8(11), 1466; https://doi.org/10.3390/pr8111466 - 16 Nov 2020
Cited by 10 | Viewed by 4428
Abstract
Aminoethers of boric acid (AEBA) were studied as potential extractants for the separation of aqueous–alcoholic azeotropic mixtures by extractive distillation. The conditions of vapor–liquid equilibrium in aqueous solutions of ethanol and isopropanol in the presence of AEBA were studied. The division of AEBA [...] Read more.
Aminoethers of boric acid (AEBA) were studied as potential extractants for the separation of aqueous–alcoholic azeotropic mixtures by extractive distillation. The conditions of vapor–liquid equilibrium in aqueous solutions of ethanol and isopropanol in the presence of AEBA were studied. The division of AEBA molecules into group components was proposed, and previously unknown geometric parameters of the boron group and the energetic pair parameters of the boron group with the alkane group, ether group, amine-3d group, and alcohol group were determined within the framework of the Universal Functional Group Activity Coefficient (UNIFAC) model. The modeling of the extractive rectification process of an ethanol–water mixture with AEBA as extractant has been carried out. The dependences of the cost function on the extractant flow rate, the residual water content in it and the number of theoretical trays were obtained. A technological scheme for ethanol dehydration has been proposed, and its technological characteristics have been calculated. Full article
(This article belongs to the Special Issue Green Separation and Extraction Processes)
Show Figures

Figure 1

23 pages, 2577 KB  
Article
Extraction Kinetics of Phenolic Antioxidants from the Hydro Distillation Residues of Rosemary and Effect of Pretreatment and Extraction Parameters
by Irini Psarrou, Antigoni Oreopoulou, Dimitrios Tsimogiannis and Vassiliki Oreopoulou
Molecules 2020, 25(19), 4520; https://doi.org/10.3390/molecules25194520 - 2 Oct 2020
Cited by 46 | Viewed by 5652
Abstract
Rosemary residue, remaining after the distillation of essential oil, is currently unexploited, while it is a source of phenolic antioxidant components. This raw material was used for the extraction of phenolic compounds by aqueous ethanol or acetone in a continuously stirred reactor. The [...] Read more.
Rosemary residue, remaining after the distillation of essential oil, is currently unexploited, while it is a source of phenolic antioxidant components. This raw material was used for the extraction of phenolic compounds by aqueous ethanol or acetone in a continuously stirred reactor. The experimental results were fitted with a two-stage diffusion model. The highest extraction rates, total phenolic content (TPC) recovery, and 2,2-diphenyl-1-picrylhydrazyl (DPPH) radical scavenging capacity were obtained by acetone 60% and ethanol 60%. Grinding of the raw material enhanced the extraction rate and increased TPC yield and antioxidant capacity as the particle size decreased. Pre-treatment by maceration in water (4 h) dissolved a high amount of TPC and shortened the extraction time, while the combination with the pulsed electric field process did not provide further improvement. The use of ultrasound increased the efficiency of the extraction. Full article
Show Figures

Figure 1

18 pages, 4569 KB  
Article
Enhanced Oil Recovery by a Suspension of Core-Shell Polymeric Nanoparticles in Heterogeneous Low-Permeability Oil Reservoirs
by Yunqian Long, Renyi Wang, Baikang Zhu, Xiaohe Huang, Zhe Leng, Liqiao Chen and Fuquan Song
Nanomaterials 2019, 9(4), 600; https://doi.org/10.3390/nano9040600 - 11 Apr 2019
Cited by 14 | Viewed by 3301
Abstract
Polymeric nanoparticle suspension is a newly developed oil-displacing agent for enhanced oil recovery (EOR) in low-permeability reservoirs. In this work, SiO2/P(MBAAm-co-AM) polymeric nanoparticles were successfully synthesized by a simple distillation–precipitation polymerization method. Due to the introduction of polymer, the [...] Read more.
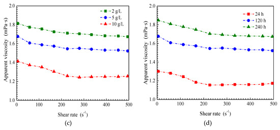
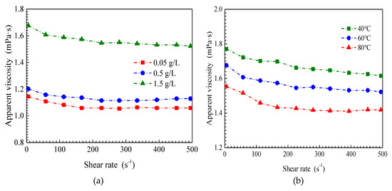
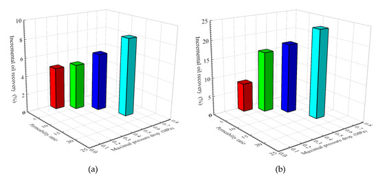
Polymeric nanoparticle suspension is a newly developed oil-displacing agent for enhanced oil recovery (EOR) in low-permeability reservoirs. In this work, SiO2/P(MBAAm-co-AM) polymeric nanoparticles were successfully synthesized by a simple distillation–precipitation polymerization method. Due to the introduction of polymer, the SiO2/P(MBAAm-co-AM) nanoparticles show a favorable swelling performance in aqueous solution, and their particle sizes increase from 631 to 1258 nm as the swelling times increase from 24 to 120 h. The apparent viscosity of SiO2/P(MBAAm-co-AM) suspension increases with an increase of mass concentration and swelling time, whereas it decreases as the salinity and temperature increase. The SiO2/P(MBAAm-co-AM) suspension behaves like a non-Newtonian fluid at lower shear rates, yet like a Newtonian fluid at shear rates greater than 300 s−1. The EOR tests of the SiO2/P(MBAAm-co-AM) suspension in heterogeneous, low-permeability cores show that SiO2/P(MBAAm-co-AM) nanoparticles can effectively improve the sweep efficiency and recover more residual oils. A high permeability ratio can result in a high incremental oil recovery in parallel cores. With an increase of the permeability ratio of parallel cores from 1.40 to 15.49, the ratios of incremental oil recoveries (low permeability/high permeability) change from 7.69/4.61 to 23.61/8.46. This work demonstrates that this SiO2/P(MBAAm-co-AM) suspension is an excellent conformance control agent for EOR in heterogeneous, low-permeability reservoirs. The findings of this study can help to further the understanding of the mechanisms of EOR using SiO2/P(MBAAm-co-AM) suspension in heterogeneous, low-permeability reservoirs. Full article
Show Figures

Figure 1

Back to TopTop