Sign in to use this feature.

Years

Between: -

Subjects

remove_circle_outline
remove_circle_outline
remove_circle_outline
remove_circle_outline
remove_circle_outline
remove_circle_outline

Journals

Article Types

Countries / Regions

Search Results (10)

Search Parameters:
Keywords = aquatic firefly

Order results
Result details
Results per page
Select all
Export citation of selected articles as:
19 pages, 1960 KB  
Article
Temporal Variability of Bioindicators and Microbial Source-Tracking Markers over 24 Hours in River Water
by Niva Sthapit, Yuquan Xu, Yadpiroon Siri, Eiji Haramoto and Sakiko Yaegashi
Water 2026, 18(1), 132; https://doi.org/10.3390/w18010132 - 5 Jan 2026
Viewed by 457
Abstract
With increasing contamination in aquatic ecosystems, effective monitoring is crucial to preserve biodiversity and protect public health. This study quantified bioindicators (red swamp crayfish (Pcla), Genji-firefly (Lcr2), Ayu fish (Paa), and caddisfly (Sma)), microbial source [...] Read more.
With increasing contamination in aquatic ecosystems, effective monitoring is crucial to preserve biodiversity and protect public health. This study quantified bioindicators (red swamp crayfish (Pcla), Genji-firefly (Lcr2), Ayu fish (Paa), and caddisfly (Sma)), microbial source tracking markers (ruminants (BacR), pigs (Pig2Bac), and humans (gyrB)), and a fecal indicator bacterium (Escherichia coli (sfmD)) using quantitative PCR on river water samples collected every 2 h between 21 and 22 July 2023 (from the Omo and Bingushi Rivers in Yamanashi Prefecture, Japan). Initially, the optimal filter sizes of 1.0, 0.65, and 0.22 µm were evaluated, where the 0.65 µm filter yielded higher Paa concentrations (Kruskal–Wallis test, p < 0.05) and was used subsequently. BacR and Paa exhibited 100% detection in the Omo (13/13) and Bingushi (13/13) Rivers with concentrations of 5.0 log10 and 5.5 log10 copies/L, respectively. These concentrations were used to assess 24 h temporal variability, but no significant fluctuations or cyclical trends between morning, afternoon, evening, and night were observed in either river. The BacR–Paa pair exhibited perfect positive detection correlation (Φ = 1.0) and complete similarity (Jaccard Index = 1.0), but a moderate negative correlation of mean concentrations highlights the importance of considering habitat overlaps and behavioral synchronicity. Full article
(This article belongs to the Section Biodiversity and Functionality of Aquatic Ecosystems)
Show Figures

Graphical abstract

9 pages, 1698 KB  
Brief Report
Pathogen Identification and Treatment of Trichoderma koningiopsis ZL01 Mycosis in Firefly Pygoluciola sp. (Coleoptera: Lampyridae)
by Yan-Hong Chen, Shi-Ling Wang, Fu-Xin Li, Lian-Bing Lin, Wei-Wei Li and Qi-Lin Zhang
Insects 2025, 16(12), 1193; https://doi.org/10.3390/insects16121193 - 23 Nov 2025
Viewed by 565
Abstract
The artificial breeding of fireflies is vital for supplementing natural populations. Unfortunately, mycosis is being observed with increasing frequency in the artificial breeding of fireflies, resulting in increased mortality. This study reports the identification of a microfungus that infects larval Pygoluciola sp., a [...] Read more.
The artificial breeding of fireflies is vital for supplementing natural populations. Unfortunately, mycosis is being observed with increasing frequency in the artificial breeding of fireflies, resulting in increased mortality. This study reports the identification of a microfungus that infects larval Pygoluciola sp., a species of semi-aquatic fireflies, during artificial breeding. Morphological and molecular analysis identified the fungi as Trichoderma koningiopsis (named as ZL01 strain). In addition, nystatin was selected out of five candidates as the optimal antifungal agent against T. koningiopsis ZL01, with a minimum inhibitory concentration of 25.00 μg/mL. Acute oral and contact in vivo toxicity tests on larval Pygoluciola sp. confirmed the safety of nystatin. Furthermore, compared to a Pygoluciola sp. larval population infected with T. koningiopsis ZL01, nystatin treatment increased the survival rate of larvae by twofold (spray administration) and threefold (drip administration) at the end of a nine-day artificial breeding experiment. These findings indicate that nystatin could be used as a potential antifungal agent to control mycosis in artificially bred fireflies. This study was the first to document the infection of semi-aquatic fireflies by pathogens and provide a corresponding treatment strategy. Full article
(This article belongs to the Section Insect Behavior and Pathology)
Show Figures

Figure 1

20 pages, 12053 KB  
Article
Integrated mRNA and miRNA Omics Analyses Reveal Transcriptional Regulation of the Tolerance Traits by Aquatica leii in Response to High Temperature
by Chao Liu, Jiapeng Li, Lihong Yan, Yuting Zhu, Zikun Li, Chengquan Cao and Yiping Wang
Insects 2025, 16(3), 316; https://doi.org/10.3390/insects16030316 - 18 Mar 2025
Cited by 2 | Viewed by 1396
Abstract
Within the context of global warming, understanding the molecular mechanisms behind physiological plasticity and local adaptation is essential for insect populations. This study performed an integrated miRNA and mRNA analysis on Aquatica leii larvae exposed to temperatures of 20 °C, 24 °C, 28 [...] Read more.
Within the context of global warming, understanding the molecular mechanisms behind physiological plasticity and local adaptation is essential for insect populations. This study performed an integrated miRNA and mRNA analysis on Aquatica leii larvae exposed to temperatures of 20 °C, 24 °C, 28 °C, and 32 °C. Under varying thermal conditions, 1983 genes exhibited differential expression (i.e., DEGs). These genes showed significant enrichment in Kyoto Encyclopedia of Genes and Genomes (KEGG) pathways related to carbohydrate metabolism, glycan biosynthesis and metabolism. Notably, we detected that the “neuroactive ligand–receptor interaction” signaling pathway, which is involved in environmental information processing, was significantly upregulated in the 28 °C and 32 °C treatment groups. This indicates that starting at 28 °C, A. leii needs to maintain normal cellular physiological functions by regulating ligand–receptor binding and signal transduction. Furthermore, 220 differentially expressed miRNAs (DEMs) were detected under the different temperature treatment conditions. An interaction network was constructed between key DEMs and DEGs, revealing 12 significant DEM-DEG regulatory pairs in A. leii under different temperature treatments. We found three miRNA-mRNA candidate modules that could be involved in A. leii’s response to high temperature, including ggo-miR-1260b and ptr-miR-1260b/RN001_010114, CM069438.1_43851/RN001_014852, and CM069438.1_43851/RN001_014877. Our data provide deeper insights into the molecular responses of A. leii to the high temperature at the miRNA and mRNA levels. Full article
(This article belongs to the Special Issue Aquatic Insects: Ecology, Diversity and Conservation)
Show Figures

Figure 1

8 pages, 633 KB  
Brief Report
Larval Feeding Habits of Five Firefly Species Across Aquatic, Semi-Aquatic, and Terrestrial Lineages
by Lin-Yu Yang, Da-Rui Tang, Fu-Xin Li, Shi-Qi Luo, Cheng-Quan Cao and Qi-Lin Zhang
Insects 2024, 15(12), 1004; https://doi.org/10.3390/insects15121004 - 18 Dec 2024
Cited by 2 | Viewed by 2129
Abstract
While adult fireflies are terrestrial, their larvae inhabit various habitat types, and a lack of comprehensive research on the feeding habits of these larvae across different habitats has greatly impeded the development of artificial diets. Here, we tested 14 types of foods, primarily [...] Read more.
While adult fireflies are terrestrial, their larvae inhabit various habitat types, and a lack of comprehensive research on the feeding habits of these larvae across different habitats has greatly impeded the development of artificial diets. Here, we tested 14 types of foods, primarily covering gastropods, vertebrates, and fruit, to survey feed for aquatic (Aquatica leii and Sclerotia substriata), semi-aquatic (Pygoluciola qingyu and Pygoluciola sp.), and terrestrial (Pyrocoelia analis) fireflies. The results show that A. leii, S. substriata, P. qingyu, Pygoluciola sp., and P. analis fed on 12, 6, 10, 10, and 7 different foods, respectively, showing an obvious difference in feeding range among various inhabit types of fireflies. Aquatic lineages preferred to consume freshwater snails, followed by pork meat and land slugs, while semi-aquatic fireflies favored freshwater snails, followed by fish and shrimp. Favorite foods were thus freshwater snails such as Cipangopaludina chinensis for both aquatic and semi-aquatic fireflies, but feeding preference differed for second favorite foods (e.g., pork vs. fish meat). Terrestrial Pyrocoelia analis showed different feeding preferences compared withthe other two habitat lineages, with terrestrial snails and slugs as their favorite foods, followed by freshwater snails, such as C. chinensis. These findings not only uncovered larval feeding habits of fireflies across various inhabit types but also indicated that readily available and affordable C. chinensis products can serve as wild snail alternatives in the artificial feeding of fireflies. This study is the first to explore the feeding habits of firefly species inhabiting water and land habitat types, adding to the understanding of the feeding characteristics of fireflies. Full article
(This article belongs to the Section Insect Ecology, Diversity and Conservation)
Show Figures

Figure 1

13 pages, 2481 KB  
Article
Detection and Screening of Organic Contaminants in A Riverine System of Georgia Using Non-Targeted Analysis
by Gayatri Basapuram, Srimanti Duttagupta and Avishek Dutta
Environments 2024, 11(5), 89; https://doi.org/10.3390/environments11050089 - 26 Apr 2024
Cited by 7 | Viewed by 2800
Abstract
Numerous organic chemicals exist within aquatic environments, yet effectively screening and prioritizing them is a huge challenge. This study provides a comprehensive investigation into the ecological dynamics of the North Oconee River within Athens-Clarke County, Georgia, with a specific focus on the distribution [...] Read more.
Numerous organic chemicals exist within aquatic environments, yet effectively screening and prioritizing them is a huge challenge. This study provides a comprehensive investigation into the ecological dynamics of the North Oconee River within Athens-Clarke County, Georgia, with a specific focus on the distribution of 33 identified compounds, including a prominent pesticide. The research, conducted in the riverine ecosystems proximal to the Firefly trail, employs advanced analytical techniques to elucidate potential contamination sources arising from agricultural and urban runoff. Intriguingly, the study reveals North Oconee River near the Firefly Trail as a notable site for heightened pesticide contamination, warranting a meticulous exploration of its origins. Furthermore, the investigation unveils the intricate microbial degradation processes of malathion within the North Oconee River, elucidating the pivotal role played by microbial activity in river water. The detection of degradant byproducts prompts the considerations of bioavailability and toxicity, associating potential implications for the river’s overall ecological health. Ongoing research endeavors to precisely quantify environmental risks and unravel indigenous microbial degradation pathways, presenting pivotal contributions to the scientific community’s understanding of complex riverine ecosystems. This research serves as a foundational piece in informing sustainable environmental management practices and emphasizes the urgency of comprehensive stewardship in safeguarding aquatic ecosystems. Full article
(This article belongs to the Special Issue Advanced Research on Micropollutants in Water)
Show Figures

Figure 1

26 pages, 10570 KB  
Article
An Overview of Aquatica Fu et al., a Phylogeny of Aquatic Fireflies Using Mitochondrial Genomes, a Description of Two New Species, and a New Record of Aquatic Fireflies in China (Coleoptera: Lampyridae: Luciolinae)
by Xinhua Fu and Lesley Ballantyne
Insects 2024, 15(1), 31; https://doi.org/10.3390/insects15010031 - 3 Jan 2024
Cited by 4 | Viewed by 3840
Abstract
There are now seven species in the genus Aquatica Fu & Ballantyne, with all but one known from the characteristics of males, females, and larvae. Molecular information is combined with morphological taxonomy for the delimitation of both genus and species. The monophyly of [...] Read more.
There are now seven species in the genus Aquatica Fu & Ballantyne, with all but one known from the characteristics of males, females, and larvae. Molecular information is combined with morphological taxonomy for the delimitation of both genus and species. The monophyly of the genus Aquatica is strongly supported in six trees, and its position as sister to the genus Nipponoluciola Ballantyne Kawashima Jusoh et Suzuki is stable across maximum likelihood and Bayesian inference results. Two new species of Aquatica Fu & Ballantyne, A. qingshen sp. nov. and A. xianning sp. nov., described from the features of males, females, and larvae, are closely related within a single clade within the genus Aquatica. Females have distinctively shaped median oviduct plates. A Chinese population identified as A. lateralis was found to be morphologically similar to the Japanese population, but genetic distances suggest that it is a distinctive species. No larvae are associated with this species. Definitions of the aquatic status of Luciolinae fireflies are expanded. Full article
(This article belongs to the Section Insect Systematics, Phylogeny and Evolution)
Show Figures

Figure 1

17 pages, 2145 KB  
Article
Global Metabolomics of Fireflies (Coleoptera: Lampyridae) Explore Metabolic Adaptation to Fresh Water in Insects
by Linyu Yang, Zishun Zhao, Dan Luo, Mingzhong Liang and Qilin Zhang
Insects 2022, 13(9), 823; https://doi.org/10.3390/insects13090823 - 10 Sep 2022
Cited by 8 | Viewed by 3918
Abstract
Aquatic insects are well-adapted to freshwater environments, but metabolic mechanisms of such adaptations, particularly to primary environmental factors (e.g., hypoxia, water pressure, dark light, and abundant microbes), are poorly known. Most firefly species (Coleoptera: Lampyridae) are terrestrial, but the larvae of a few [...] Read more.
Aquatic insects are well-adapted to freshwater environments, but metabolic mechanisms of such adaptations, particularly to primary environmental factors (e.g., hypoxia, water pressure, dark light, and abundant microbes), are poorly known. Most firefly species (Coleoptera: Lampyridae) are terrestrial, but the larvae of a few species are aquatic. We generated 24 global metabolomic profiles of larvae and adults of Aquatica leii (freshwater) and Lychnuris praetexta (terrestrial) to identify freshwater adaptation-related metabolites (AARMs). We identified 110 differentially abundant metabolites (DAMs) in A. leii (adults vs. aquatic larvae) and 183 DAMs in L. praetexta (adults vs. terrestrial larvae). Furthermore, 100 DAMs specific to aquatic A. leii larvae were screened as AARMs via interspecific comparisons (A. leii vs. L. praetexta), which were primarily involved in antioxidant activity, immune response, energy production and metabolism, and chitin biosynthesis. They were assigned to six categories/superclasses (e.g., lipids and lipid-like molecules, organic acids and derivatives, and organoheterocyclic compound). Finally, ten metabolic pathways shared between KEGG terms specific to aquatic fireflies and enriched by AARMs were screened as aquatic adaptation-related pathways (AARPs). These AARPs were primarily involved in energy metabolism, xenobiotic biodegradation, protection of oxidative/immune damage, oxidative stress response, and sense function (e.g., glycine, serine and threonine metabolism, drug metabolism-cytochrome P450, and taste transduction), and certain aspects of morphology (e.g., steroid hormone biosynthesis). These results provide evidence suggesting that abundance changes in metabolomes contribute to freshwater adaptation of fireflies. The metabolites identified here may be vital targets for future work to determine the mechanism of freshwater adaptation in insects. Full article
(This article belongs to the Section Insect Physiology, Reproduction and Development)
Show Figures

Figure 1

23 pages, 3346 KB  
Article
Modeling Multistep Ahead Dissolved Oxygen Concentration Using Improved Support Vector Machines by a Hybrid Metaheuristic Algorithm
by Rana Muhammad Adnan, Hong-Liang Dai, Reham R. Mostafa, Kulwinder Singh Parmar, Salim Heddam and Ozgur Kisi
Sustainability 2022, 14(6), 3470; https://doi.org/10.3390/su14063470 - 16 Mar 2022
Cited by 46 | Viewed by 3468
Abstract
Dissolved oxygen (DO) concentration is an important water-quality parameter, and its estimation is very important for aquatic ecosystems, drinking water resources, and agro-industrial activities. In the presented study, a new support vector machine (SVM) method, which is improved by hybrid firefly algorithm–particle swarm [...] Read more.
Dissolved oxygen (DO) concentration is an important water-quality parameter, and its estimation is very important for aquatic ecosystems, drinking water resources, and agro-industrial activities. In the presented study, a new support vector machine (SVM) method, which is improved by hybrid firefly algorithm–particle swarm optimization (FFAPSO), is proposed for the accurate estimation of the DO. Daily pH, temperature (T), electrical conductivity (EC), river discharge (Q) and DO data from Fountain Creek near Fountain, the United States, were used for the model development. Various combinations of pH, T, EC, and Q were used as inputs to the models to estimate the DO. The outcomes of the proposed SVM–FFAPSO model were compared with the SVM–PSO, SVM–FFA, and standalone SVM with respect to the root mean square errors (RMSE), the mean absolute error (MAE), Nash–Sutcliffe efficiency (NSE), and determination coefficient (R2), and graphical methods, such as scatterplots, and Taylor and violin charts. The SVM–FFAPSO showed a superior performance to the other methods in the estimation of the DO. The best model of each method was also assessed in multistep-ahead (from 1- to 7-day ahead) DO, and the superiority of the proposed method was observed from the comparison. The general outcomes recommend the use of SVM–FFAPSO in DO modeling, and this method can be useful for decision-makers in urban water planning and management. Full article
(This article belongs to the Special Issue Water Quality: Current State and Future Trends)
Show Figures

Figure 1

14 pages, 3309 KB  
Article
Selection and Validation of Suitable Reference Genes for RT-qPCR Analysis in the Rare Aquatic Firefly Aquatica leii (Coleoptera: Lampyridae)
by Xinhua Fu and Victor Benno Meyer-Rochow
Insects 2021, 12(4), 359; https://doi.org/10.3390/insects12040359 - 16 Apr 2021
Cited by 9 | Viewed by 4803
Abstract
Aquatica leii Fu and Ballantyne is a species of rare aquatic firefly and endemic in China. It is considered good material to study the molecular mechanism of sexual flash communication systems. To improve conservation and behavioral research strategies, large-scale genetic studies involving gene-expression [...] Read more.
Aquatica leii Fu and Ballantyne is a species of rare aquatic firefly and endemic in China. It is considered good material to study the molecular mechanism of sexual flash communication systems. To improve conservation and behavioral research strategies, large-scale genetic studies involving gene-expression analysis are required and reverse transcription-quantitative polymerase chain reaction (RT-qPCR) is the most commonly used method. However, there have been very few reports on appropriate reference genes in any species of firefly. Here, we evaluated eight widely utilized reference genes including 18S, Actin, Reep5, Odc1, Tub, Gapdh, Ef1a and S27Ae for their expression stabilities in A. leii under three different conditions, i.e., life stage, tissue and dsRNA injection. Based on the gene stability ranking calculated by RefFinder, which integrates four algorithms (geNorm, delta Ct method, NormFinder, and BestKeeper), we recommend S27Ae and Reep5 as the most appropriate reference genes for molecular studies in different life stages; Ef1a and Odc1 for different tissues; Tub and Odc1 for RNAi studies. The most appropriate reference genes in all treatments are S27Ae and Tub. The results of this study will help improve accuracy and reliability to normalize RT-qPCR data in A. leii for further molecular analysis. Full article
(This article belongs to the Special Issue Reproductive Behaviour in Insects and other Non-Marine Arthropods)
Show Figures

Figure 1

16 pages, 5217 KB  
Article
Detection of Aquatic Plants Using Multispectral UAV Imagery and Vegetation Index
by Bonggeun Song and Kyunghun Park
Remote Sens. 2020, 12(3), 387; https://doi.org/10.3390/rs12030387 - 25 Jan 2020
Cited by 75 | Viewed by 9029
Abstract
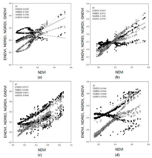
In this study, aquatic plants in a small reservoir were detected using multispectral UAV (Unmanned Aerial Vehicle) imagery and various vegetation indices. A Firefly UAV, which has both fixed-wing and rotary-wing flight modes, was flown over the study site four times. A RedEdge [...] Read more.
In this study, aquatic plants in a small reservoir were detected using multispectral UAV (Unmanned Aerial Vehicle) imagery and various vegetation indices. A Firefly UAV, which has both fixed-wing and rotary-wing flight modes, was flown over the study site four times. A RedEdge camera was mounted on the UAV to acquire multispectral images. These images were used to analyze the NDVI (Normalized Difference Vegetation Index), ENDVI (Enhance Normalized Difference Vegetation Index), NDREI (Normalized Difference RedEdge Index), NGRDI (Normalized Green-Red Difference Index), and GNDVI (Green Normalized Difference Vegetation Index). As for multispectral characteristics, waterside plants showed the highest reflectance in Rnir, while floating plants had a higher reflectance in Rre. During the hottest season (on 25 June), the vegetation indices were the highest, and the habitat expanded near the edge of the reservoir. Among the vegetation indices, NDVI was the highest and NGRDI was the lowest. In particular, NGRDI had a higher value on the water surface and was not useful for detecting aquatic plants. NDVI and GNDVI, which showed the clearest difference between aquatic plants and water surface, were determined to be the most effective vegetation indices for detecting aquatic plants. Accordingly, the vegetation indices using multispectral UAV imagery turned out to be effective for detecting aquatic plants. A further study will be accompanied by a field survey in order to acquire and analyze more accurate imagery information. Full article
(This article belongs to the Section Remote Sensing in Agriculture and Vegetation)
Show Figures

Graphical abstract

Back to TopTop