Sign in to use this feature.

Years

Between: -

Subjects

remove_circle_outline
remove_circle_outline
remove_circle_outline
remove_circle_outline
remove_circle_outline
remove_circle_outline
remove_circle_outline

Journals

Article Types

Countries / Regions

Search Results (29)

Search Parameters:
Keywords = anestrous

Order results
Result details
Results per page
Select all
Export citation of selected articles as:
14 pages, 454 KB  
Article
Importance of Social Hierarchy in Morphometry, and Socio-Sexual and Reproductive Behaviors in Dorper Sheep in Northern Mexico
by Silvestre Moreno-Avalos, Miguel Angel Gaytan-Aguilera, Aracely Zuñiga-Serrano, Francisco Gerardo Véliz-Romero, Edgar Díaz-Rojas, Rafael Rodríguez-Martínez, Viridiana Contreras-Villarreal, Martín Alfredo Legarreta-González, Cayetano Navarrete-Molina and Francisco Gerardo Véliz-Deras
Animals 2026, 16(6), 994; https://doi.org/10.3390/ani16060994 - 23 Mar 2026
Viewed by 654
Abstract
One of the most important aspects of animal production is the reproductive behavior, where a widely used strategy in small ruminants is the “male effect”. However, the response to this effect can vary depending on several factors, including the social rank (SR) of [...] Read more.
One of the most important aspects of animal production is the reproductive behavior, where a widely used strategy in small ruminants is the “male effect”. However, the response to this effect can vary depending on several factors, including the social rank (SR) of both sexes. The objective of this study was to evaluate how SR influences morphometric and socio-sexual variables in Dorper sheep in Northern Mexico. Through behavioral tests, 33 rams and 59 ewes were divided into two groups taking into account their SR. Rams included high SR (HSR; n = 14) and low SR (LSR; n = 19), while ewes included HSR (n = 23) and LSR (n = 36). Morphometric response variables included age, live weight, body condition, thoracic circumference, wither height, presence of horns, and testicular circumference, whereas reproductive variables included estrus rate, ovulation rate, corpus luteum, left ovary, right ovary, pregnancy rate, and embryos’ number. The results showed no differences (p > 0.05) for the morphometric variables considered, whilst, regarding the reproductive variables, the LSR rams × HSR ewes group showed the highest number of embryos (p < 0.05), and the corpus luteum number was higher in the HSR rams × HSR ewes group (p < 0.05). However, no significant differences were found for the remaining variables (p > 0.05). Improving productive and reproductive performance can contribute to increased income for sheep farmers. Full article
(This article belongs to the Section Small Ruminants)
Show Figures

Figure 1

13 pages, 463 KB  
Article
Selenium + Vitamin E Supplementation in Anestrus Goats: A Strategy to Enhance Reproductive Outcomes Under a Semi-Arid Production System
by Raquel Santos-Silva, Cesar A. Meza-Herrera, Brenda Castro-Roque, Guadalupe Calderón-Leyva, Cayetano Navarrete-Molina, Oscar Angel-García, Jessica M. Flores-Salas, Angeles De Santiago-Miramontes, Fernando Arellano-Rodriguez and Cesar A. Rosales-Nieto
Animals 2025, 15(10), 1421; https://doi.org/10.3390/ani15101421 - 14 May 2025
Cited by 1 | Viewed by 2361
Abstract
Goats are primarily raised in marginal, arid, and semi-arid production systems and exhibit a seasonal reproductive pattern. Extending their reproductive season would enhance food security and improve the economic viability of goat production. Therefore, the objective of this study was to assess the [...] Read more.
Goats are primarily raised in marginal, arid, and semi-arid production systems and exhibit a seasonal reproductive pattern. Extending their reproductive season would enhance food security and improve the economic viability of goat production. Therefore, the objective of this study was to assess the effects of SeVE supplementation during the anestrus season on ovarian activity in anestrous goats subjected to an estrus synchronization protocol. The response variables included estrus induction (EI), ovulatory rate (OR), corpus luteum diameter (CLD), left and right ovary diameters (LOD and ROD), embryo implantation (EMBRYO), and pregnancy rates (PREG). Adult, anestrous, crossbred dairy goats (n = 32) from northern semi-arid Mexico (i.e., Comarca Lagunera, 26° N) were randomly assigned to two homogeneous groups based on age, live weight (LW), and body condition score (BCS): (1) the supplemented group (SeVE; n = 16), received 5 mg selenium plus 350 IU vitamin E, and (2) the control group (CONT; n = 16), received physiological saline. Estrus was induced using a combination of progesterone (P4, 20 mg), equine chorionic gonadotropin (eCG, 400 IU), and exposure to the male effect. While no differences (p > 0.05) were observed between the groups for LW and BCS, the variables EI, OR, EMBRYO, and PREG rates were higher (p < 0.05) in the SeVE group than the CONT group. No differences (p > 0.05) were observed between the groups for CLD, LOD, or ROD. Thus, SeVE-targeted supplementation improved reproductive outcomes without affecting ovarian structure size (i.e., a non-dimensional ovarian SeVE action), suggesting that this precision supplementation strategy certainly enhances reproductive efficiency. This was possibly related to selenium-induced increases in P4 synthesis, and the antioxidant effects on follicular development correlate with improved endometrial development, conceptus survival, embryo growth, and pregnancy maintenance. Such improvements could contribute to the sustainability of marginal production systems in the semi-arid regions of northern Mexico, supporting food security and increasing economic returns for goat producers and their families. Full article
(This article belongs to the Special Issue Nutrition and Reproduction Relationships in Animals)
Show Figures

Figure 1

14 pages, 461 KB  
Article
Tandem Administration of Prostaglandin F and Gonadotropin-Releasing Hormone in Beef Heifers and Cows as a Convergent Presynchronization Method in the 7 & 7 Synch Protocol
by Lucas J. Palcheff, Genevieve M. VanWye, Kimberly R. Ricardo, Kendal L. Green, Franklin J. Even, Samantha R. Roberts, Adella B. Lonas, Christine M. Spinka, Scott E. Poock, Saulo Menegatti Zoca, Jessica N. Drum and Jordan M. Thomas
Animals 2025, 15(9), 1329; https://doi.org/10.3390/ani15091329 - 5 May 2025
Viewed by 1552
Abstract
An experiment was designed to evaluate modifications to the 7 & 7 Synch protocol, with the hypothesis that tandem administration of prostaglandin F2α (PG) and gonadotropin-releasing hormone (GnRH) during the presynchronization portion of the protocol would generate a convergent ovarian response among anestrous [...] Read more.
An experiment was designed to evaluate modifications to the 7 & 7 Synch protocol, with the hypothesis that tandem administration of prostaglandin F2α (PG) and gonadotropin-releasing hormone (GnRH) during the presynchronization portion of the protocol would generate a convergent ovarian response among anestrous and estrous cycling females. Nulliparous, primiparous, and multiparous Angus and Angus-cross females were blocked based on parity and pre-treatment luteal status and, within a block, randomly assigned to one of three treatments. The females assigned to the 7 & 7 Synch treatment (n = 765) received an intravaginal progesterone-releasing insert (CIDR®) and an administration of PG on Day 0, GnRH on Day 7, and PG concurrent with CIDR removal on Day 14. Estrotect™ estrus detection aids were applied on Day 14 at the time of CIDR removal and PG administration. The females assigned to the 7 & 7 + G treatment (n = 769) received the same treatment schedule, with the modification that GnRH was administered in tandem with PG on Day 0. The females assigned to the 7 & 7 + G + P treatment (n = 786) received the same treatment schedule, with the modification that GnRH was administered in tandem with PG on both Days 0 and 7. Fixed-time artificial insemination (FTAI) was performed at 54 ± 2 h (nulliparous) or 66 ± 2 h (primiparous and multiparous) after CIDR removal. Transrectal ovarian ultrasonography was performed on Days 7 and 14 to characterize the largest follicle diameter (LFD) and the presence of corpora lutea (CL). Estrus prior to FTAI was characterized using estrus detection aids. Pregnancy status was determined via transrectal ultrasonography approximately 60–100 days after FTAI. The proportion of multiparous females with CL on Day 14 tended to be greater following treatment with 7 & 7 Synch or 7 & 7 + G (90% and 87%, respectively), as compared to females treated with 7 & 7 + G + P (82%; p = 0.09). A greater proportion of multiparous females expressed behavioral estrus prior to FTAI when treated with 7 & 7 + G + P (90%) as compared to multiparous females treated with 7 & 7 + G (79%; p < 0.002) or 7 & 7 Synch (78%; p = 0.0004); however, pregnancy rates resulting from FTAI did not differ based on treatment. In summary, tandem administration of GnRH and PG on Days 0 and 7 of the 7 & 7 Synch protocol effectively generated a convergent ovarian response among females with variable pretreatment luteal status but failed to enhance pregnancy rates to FTAI. Full article
(This article belongs to the Special Issue Reproductive Management Strategies for Dairy and Beef Cows)
Show Figures

Figure 1

15 pages, 1121 KB  
Article
Gene Expression and Activity of Selected Antioxidant and DNA Repair Enzymes in the Prefrontal Cortex of Sheep as Affected by Kynurenic Acid
by Elżbieta Marciniak, Bartosz Osuch, Patrycja Młotkowska, Paweł Kowalczyk, Katarzyna Roszkowicz-Ostrowska and Tomasz Misztal
Int. J. Mol. Sci. 2025, 26(6), 2381; https://doi.org/10.3390/ijms26062381 - 7 Mar 2025
Cited by 2 | Viewed by 1904
Abstract
The prefrontal cortex (PCx) is involved in many higher-order cognitive processes, including decision making, reasoning, personality expression, and social cognition. These functions are associated with high energy demand and the production of harmful oxygen radicals. Recent studies indicate that kynurenic acid (KYNA) exerts [...] Read more.
The prefrontal cortex (PCx) is involved in many higher-order cognitive processes, including decision making, reasoning, personality expression, and social cognition. These functions are associated with high energy demand and the production of harmful oxygen radicals. Recent studies indicate that kynurenic acid (KYNA) exerts neuroprotective effects, largely due to its anti-inflammatory and antioxidant properties. To further evaluate the antioxidant potential of this compound, we tested the hypothesis that increasing KYNA levels in the sheep cerebroventricular circulation would positively affect the mRNA expression and activity of selected antioxidant and DNA repair enzymes in the distal part of the brain, i.e., the PCx. Anestrous sheep were infused intracerebroventricularly with a series of two KYNA doses: lower (4 × 5 μg/60 μL/30 min) and higher (4 × 25 μg/60 μL/30 min) at 30 min intervals. The results demonstrated that KYNA exerted significant dose-dependent stimulatory effects on the activity of superoxide dismutase 2, catalase, and glutathione peroxidase 1 while inhibiting their transcription in a similar manner. In addition, KYNA was also found to dose-dependently activate the base excision repair pathway, as determined by the increased transcript levels of glycosylases: N-methylpurine DNA glycosylase, thymine-DNA glycosylase, 8-oxoguanine DNA glycosylase-1, and apurinic/apyrimidinic endonuclease 1. The excision efficiency of damaged nucleobases, such as εA, εC and 8-oxoG, by these enzymes was also increased in response to central KYNA infusion. These findings expand the knowledge on KYNA as a potential protective factor against oxidative stress in the central nervous system. Full article
(This article belongs to the Section Molecular Neurobiology)
Show Figures

Figure 1

15 pages, 1123 KB  
Article
Activation of BDNF–TrkB Signaling in Specific Structures of the Sheep Brain by Kynurenic Acid
by Katarzyna Roszkowicz-Ostrowska, Patrycja Młotkowska, Elżbieta Marciniak, Michał Szlis, Marcin Barszcz and Tomasz Misztal
Cells 2024, 13(23), 1928; https://doi.org/10.3390/cells13231928 - 21 Nov 2024
Cited by 2 | Viewed by 2107
Abstract
Fluctuations in kynurenic acid (KYNA) and brain-derived neurotrophic factor (BDNF) levels in the brain reflect its neurological status. The aim of the study was to investigate the effect of transiently elevated KYNA concentrations in the cerebroventricular circulation on the expression of BDNF and [...] Read more.
Fluctuations in kynurenic acid (KYNA) and brain-derived neurotrophic factor (BDNF) levels in the brain reflect its neurological status. The aim of the study was to investigate the effect of transiently elevated KYNA concentrations in the cerebroventricular circulation on the expression of BDNF and its high-affinity tropomyosin-related kinase receptor B (TrkB) in specific structures of the sheep brain. Intracerebroventricularly cannulated anestrous sheep were subjected to a series of four 30 min infusions of KYNA: 4 × 5 μg/60 μL/30 min (KYNA20, n = 6) and 4 × 25 μg/60 μL/30 min (KYNA100, n = 6) or a control infusion (n = 6), at 30 min intervals. Sections of the hippocampal CA3 field, amygdala (AMG), prefrontal cortex (PCx), and the hypothalamic medial-basal (MBH) and preoptic (POA) areas were dissected from the brain immediately after the experiment. The highest concentration of BDNF protein was found in the CA3 field (p < 0.001), which was 8-fold higher than in the AMG and 12-fold higher than that in the PCx (MBH and POA were not analyzed). The most pronounced BDNF mRNA expression was observed in the MBH, followed by the PCx, POA, AMG and CA3, while the highest abundance of TrkB mRNA was recorded in the AMG, followed by the MBH, PCx, CA3, and POA. KYNA increased (p < 0.05–p < 0.01) BDNF protein levels and the expression of its gene in the brain structures were examined, with the effect varying by dose and brain region. KYNA, particularly at the KYNA100 dose, also increased (p < 0.01) TrkB gene expression, except for the AMG, where the lower KYNA20 dose was more effective (p < 0.01). These findings suggest a positive relationship between KYNA levels in the cerebroventricular circulation and BDNF–TrkB expression in specific brain regions in a sheep model. This indicates that a transient increase in the CSF KYNA concentration can potentially restore BDNF production, for which deficiency underlies numerous neurological disorders. Full article
(This article belongs to the Section Cellular Neuroscience)
Show Figures

Figure 1

12 pages, 1273 KB  
Article
Kynurenic Acid Modulates the Expression of Genes and the Activity of Cellular Antioxidant Enzymes in the Hypothalamus and Hippocampus in Sheep
by Tomasz Misztal, Katarzyna Roszkowicz-Ostrowska, Paweł Kowalczyk, Patrycja Młotkowska and Elżbieta Marciniak
Int. J. Mol. Sci. 2024, 25(17), 9428; https://doi.org/10.3390/ijms25179428 - 30 Aug 2024
Cited by 5 | Viewed by 1781
Abstract
Kynurenic acid (KYNA), a tryptophan metabolite, is believed to exert neuromodulatory and neuroprotective effects in the brain. This study aimed to examine KYNA’s capacity to modify gene expression and the activity of cellular antioxidant enzymes in specific structures of the sheep brain. Anestrous [...] Read more.
Kynurenic acid (KYNA), a tryptophan metabolite, is believed to exert neuromodulatory and neuroprotective effects in the brain. This study aimed to examine KYNA’s capacity to modify gene expression and the activity of cellular antioxidant enzymes in specific structures of the sheep brain. Anestrous sheep were infused intracerebroventricularly with two KYNA doses—lower (4 × 5 μg/60 μL/30 min, KYNA20) and higher (4 × 25 μg/60 μL/30 min, KYNA100)—at 30 min intervals. The abundance of superoxide dismutase 2 (SOD2), catalase (CAT), and glutathione peroxidase 1 (GPx1) mRNA, as well as enzyme activities, were determined in the medial–basal hypothalamus (MBH), the preoptic (POA) area of the hypothalamus, and in the hippocampal CA1 field. Both doses of KYNA caused a decrease (p < 0.01) in the expression of SOD2 and CAT mRNA in all structures examined compared to the control group (except for CAT in the POA at the KYNA100 dose). Furthermore, lower levels of SOD2 mRNA (p < 0.05) and CAT mRNA (p < 0.01) were found in the MBH and POA and in the POA and CA, respectively, in sheep administered with the KYNA20 dose. Different stimulatory effects on GPx1 mRNA expression were observed for both doses (p < 0.05-p < 0.01). KYNA exerted stimulatory but dose-dependent effects on SOD2, CAT, and GPx1 activities (p < 0.05-p < 0.001) in all brain tissues examined. The results indicate that KYNA may influence the level of oxidative stress in individual brain structures in sheep by modulating the expression of genes and the activity of at least SOD2, CAT, and GPx1. The present findings also expand the general knowledge about the potential neuroprotective properties of KYNA in the central nervous system. Full article
Show Figures

Figure 1

15 pages, 1225 KB  
Article
Performance and Cost-Efficiency of Single Hormonal Treatment Protocols in Tropical Anestrous Dairy Cows
by Thitiwich Changtes, Javier Sanchez, Pipat Arunvipas, Thitiwan Patanasatienkul, Passawat Thammahakin, Jiranij Jareonsawat, David Hall, Luke Heider and Theera Rukkwamsuk
Animals 2024, 14(11), 1564; https://doi.org/10.3390/ani14111564 - 25 May 2024
Cited by 3 | Viewed by 3003
Abstract
This retrospective study aimed to evaluate the performance of hormone treatment protocols, determine the factors associated with pregnancy success after hormone treatment, and compare the cost-efficiencies of two types of hormone treatment among cyclic and noncyclic anestrous dairy cows. The clinical records of [...] Read more.
This retrospective study aimed to evaluate the performance of hormone treatment protocols, determine the factors associated with pregnancy success after hormone treatment, and compare the cost-efficiencies of two types of hormone treatment among cyclic and noncyclic anestrous dairy cows. The clinical records of 279 anestrous cows that received hormone treatment for artificial insemination (AI) from 64 herds in the western region of Thailand were obtained from Kasetsart University Veterinary Teaching Hospital from January to August 2017. The performance of the hormone treatment protocols, fixed-time AI (TAI) and estrus detection before AI (EAI), showed that the pregnancy risk for the TAI protocol was higher than that for the EAI protocol, but pregnancy per AI did not differ significantly between the two protocols in cyclic and noncyclic cows. Multivariate logistic regression analysis showed that cows receiving the TAI protocol were more likely to be pregnant compared to those treated with the EAI protocol. Cows with a 3.00 body condition score (BCS) < 3.75 after treatment and loose-housed cows were more likely to become pregnant. Treatment during winter showed higher pregnancy success than that in the summer and rainy seasons. The cost-efficiency analysis showed that the TAI protocol was the most cost-efficient option for noncyclic cows, whereas the EAI protocol was the most cost-efficient option for cyclic cows. Full article
(This article belongs to the Section Cattle)
Show Figures

Figure 1

11 pages, 1589 KB  
Article
Monitoring of Body Condition in Dairy Cows to Assess Disease Risk at the Individual and Herd Level
by Ramiro Rearte, Santiago Nicolas Lorenti, German Dominguez, Rodolfo Luzbel de la Sota, Isabel María Lacau-Mengido and Mauricio Javier Giuliodori
Animals 2023, 13(19), 3114; https://doi.org/10.3390/ani13193114 - 6 Oct 2023
Viewed by 2303
Abstract
A retrospective longitudinal study assessing the explanatory and predictive capacity of body condition score (BCS) in dairy cows on disease risk at the individual and herd level was carried out. Data from two commercial grazing herds from the Argentinean Pampa were gathered (Herd [...] Read more.
A retrospective longitudinal study assessing the explanatory and predictive capacity of body condition score (BCS) in dairy cows on disease risk at the individual and herd level was carried out. Data from two commercial grazing herds from the Argentinean Pampa were gathered (Herd A = 2100 and herd B = 2600 milking cows per year) for 4 years. Logistic models were used to assess the association of BCS indicators with the odds for anestrus at the cow and herd level. Population attributable fraction (AFP) was estimated to assess the anestrus rate due to BCS indicators. We found that anestrus risk decreased in cows calving with BCS ≥ 3 and losing ≤ 0.5 (OR: 0.07–0.41), and that anestrus rate decreased in cohorts with a high frequency of cows with proper BCS (OR: 0.22–0.45). Despite aggregated data having a good explanatory power, their predictive capacity for anestrus rate at the herd level is poor (AUC: 0.574–0.679). The AFP varied along the study in both herds and tended to decrease every time the anestrous rate peaked. We conclude that threshold-based models with BCS indicators as predictors are useful to understand disease risk (e.g., anestrus), but conversely, they are useless to predict such multicausal disease events at the herd level. Full article
(This article belongs to the Collection Monitoring of Cows: Management and Sustainability)
Show Figures

Figure 1

7 pages, 1530 KB  
Brief Report
Effect of a GnRH Antagonist on Anti-Müllerian Hormone and Follicular Population in Anestrous Bitches
by Cynthia Marchetti, Mariela Grisolia Romero, Marcelo Priotto, Marcela Faya and Cristina Gobello
Animals 2023, 13(15), 2511; https://doi.org/10.3390/ani13152511 - 3 Aug 2023
Cited by 6 | Viewed by 2293
Abstract
The objective of this study was to describe the effect of the third-generation GnRH antagonist, acyline, on ovarian follicular population and serum anti-Müllerian hormone (AMH) concentrations in female dogs. Four late anestrous bitches were administered 330 μg/kg SC acyline every 10 days for [...] Read more.
The objective of this study was to describe the effect of the third-generation GnRH antagonist, acyline, on ovarian follicular population and serum anti-Müllerian hormone (AMH) concentrations in female dogs. Four late anestrous bitches were administered 330 μg/kg SC acyline every 10 days for 60 days and followed up for 45 days. Blood samples were drawn on days −1, 15, 30, 45, 60, 75, 90 and 105 for AMH determination. Then, the females were ovariectomized and the excised ovaries were gross and histologically evaluated. The total ovarian follicles were counted. None of the female dogs presented estrus during treatment. Only one bitch presented an ovulatory estrus 20 days after treatment. The total number of ovarian follicles in these bitches was 96,200.10 ± 26,125.12, with 84.13%, 11.36%, 7.8% and 0.01% corresponding to primordial, primary, secondary and antral structures, respectively. Pretreatment AMH concentrations were 0.62 ± 0.17 ng/mL. This hormone varied throughout the study period (p < 0.01), diminishing to nadir values during treatment to then rapidly recover after its effect (0.2 ± 0.05 vs. 0.67 ± 0.22 ng/mL; p < 0.01). Acyline rapidly and reversibly prevented the initiation of cycling without affecting follicle count but diminishing serum AMH concentrations. Full article
(This article belongs to the Special Issue Advances in Small Animal Endocrinology and Reproductive Physiology)
Show Figures

Figure 1

11 pages, 659 KB  
Article
A Circular Economy Approach to Integrate Divergent Ruminant Production Systems: Using Dairy Cow Feed Leftovers to Enhance the Out-of-Season Reproductive Performance in Goats
by Maria G. Machado-Ramos, Cesar A. Meza-Herrera, Angeles De Santiago-Miramontes, Miguel Mellado, Francisco G. Véliz-Deras, Fernando Arellano-Rodríguez, Viridiana Contreras-Villarreal, José R. Arévalo, Dalia I. Carrillo-Moreno and Jessica M. Flores-Salas
Animals 2023, 13(15), 2431; https://doi.org/10.3390/ani13152431 - 27 Jul 2023
Cited by 4 | Viewed by 2702
Abstract
Based on a circular economy approach, we evaluated the possible effect of targeted supplementation with leftover feed from dairy cows (i.e., intensive system) on the reproductive performance of crossbred/rangeland goats (i.e., extensive system) in arid Northern Mexico. During the deep-anestrous season (i.e., March–April, [...] Read more.
Based on a circular economy approach, we evaluated the possible effect of targeted supplementation with leftover feed from dairy cows (i.e., intensive system) on the reproductive performance of crossbred/rangeland goats (i.e., extensive system) in arid Northern Mexico. During the deep-anestrous season (i.e., March–April, 25° North), multiparous goats (n = 38) with a similar body weight (BW) and body condition score (BCS) were randomly assigned to two groups: (1) supplemented group (SG; n = 19; BCS: 1.76 ± 0.07; BW: 43.7 ± 1.8 kg), receiving 400 g goat d−1 of dairy-cow-feed leftovers prior to grazing; and (2) non-supplemented group (NS; n = 19; BCS: 1.76 ± 0.06; BW: 44.3 ± 2.5 kg). Both groups were directed to the rangeland for a period of ≈8 h. While the experimental period lasted 36 d, the experimental breeding considered 11 d (d0–d10). The anovulatory status of goats was ultrasonographically confirmed on days −20, −10, and −1 prior to male–female interaction. Previously, bucks were separated for 3 weeks from the experimental females and received exogenous testosterone every third day (i.e., 50 mg i.m.) prior to mating. With respect to the response variables, namely BW, BCS, blood glucose levels (BGLs), estrus induction (GIE, %), latency to estrus (LTE, h), estrus duration (ED, h), and luteal tissue volume (LTV, mm), no differences (p > 0.05) occurred between experimental groups. However, the response variables, namely goats ovulating (GO, %; 78.9 vs. 47.3), total number of corpuses luteum (TNCL, n; 27 vs. 13), ovulation rate (OR, n; 1.42 vs. 0.73), multiple ovulation (MO, %; 73.3 vs. 55.5), and pregnancy rate on d 36 (PRd36, %, 68.4 vs. 36.8), favored (p < 0.05) the SG over the NS goats. Our results demonstrate that connecting the circularity of two divergent ruminant production systems (i.e., cow-intensive and goat-extensive) by using dairy cows’ feed leftovers as a targeted supplementation strategy in anestrous goats under a marginal-rangeland production system enhanced out-of-season reproductive outcomes (i.e., ovulation rate and pregnancy rate), thus benefiting marginal goat producers and their families. Full article
(This article belongs to the Section Animal System and Management)
Show Figures

Figure 1

10 pages, 1271 KB  
Article
Targeted Glutamate Supply Boosts Insulin Concentrations, Ovarian Activity, and Ovulation Rate in Yearling Goats during the Anestrous Season
by Luis A. Luna-Garcia, Cesar A. Meza-Herrera, Carlos C. Perez-Marin, Angeles De Santiago-Miramontes, Jessica M. Flores-Salas, Rebeca Corona, Guadalupe Calderon-Leyva, Francisco G. Veliz-Deras, Cayetano Navarrete-Molina and Ruben I. Marin-Tinoco
Biology 2023, 12(7), 1041; https://doi.org/10.3390/biology12071041 - 24 Jul 2023
Cited by 3 | Viewed by 2148
Abstract
The neuroendocrine regulation of the seasonal reproductive axis requires the integration of internal and external signals to ensure synchronized physiological and behavioral responses. Seasonal reproductive changes contribute to intermittent production, which poses challenges for optimizing goat product yields. Consequently, a significant objective in [...] Read more.
The neuroendocrine regulation of the seasonal reproductive axis requires the integration of internal and external signals to ensure synchronized physiological and behavioral responses. Seasonal reproductive changes contribute to intermittent production, which poses challenges for optimizing goat product yields. Consequently, a significant objective in seasonal reproduction research is to attain continuous reproduction and enhance profitability in goat farming. Glutamate plays a crucial role as a modulator in several reproductive and metabolic processes. Hence, the aim of this study was to evaluate the potential impact of exogenous glutamate administration on serum insulin concentration and ovarian function during the out-of-season period in yearling goats. During the anestrous season, animals were randomly located in individual pens to form two experimental groups: (1) glutamate (n = 10, live weight (LW) = 29.1 ± 1.02 kg, body condition score (BCS) = 3.4 ± 0.2 units) and (2) control (n = 10; LW = 29.2 ± 1.07 kg, BCS = 3.5 ± 0.2), with no differences (p < 0.05) regarding LW and BCS. Then, goats were estrus-synchronized, and blood sampling was carried out for insulin quantification. Ovaries were ultrasonographically scanned to assess ovulation rate (OR), number of antral follicles (AFs), and total ovarian activity (TOA = OR + AF). The research outcomes support our working hypothesis. Certainly, our study confirms that those yearling goats treated with exogenous glutamate displayed the largest (p < 0.05) insulin concentrations across time as well as an augmented (p < 0.05) out-of-season ovarian activity. Full article
(This article belongs to the Section Developmental and Reproductive Biology)
Show Figures

Figure 1

11 pages, 1634 KB  
Article
Use of GnRH-Encapsulated Chitosan Nanoparticles as an Alternative to eCG for Induction of Estrus and Ovulation during Non-Breeding Season in Sheep
by Nesrein M. Hashem, Ahmed S. El-Hawy, Moharram F. El-Bassiony, Ibrahim S. Abd El-Hamid, Antonio Gonzalez-Bulnes and Paula Martinez-Ros
Biology 2023, 12(3), 351; https://doi.org/10.3390/biology12030351 - 22 Feb 2023
Cited by 12 | Viewed by 3617
Abstract
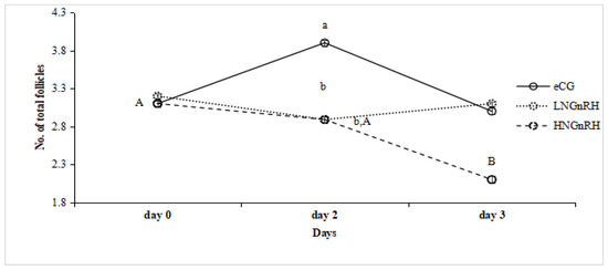
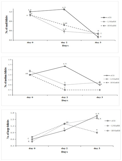
This study is aimed at determining the reproductive performance of anestrous ewes treated with nanoencapsulated GnRH after a progesterone-based protocol for estrus induction was proposed as a way of replacing eCG. A total of sixty anestrous, multiparous, non-lactating Barki ewes were randomly allocated [...] Read more.
This study is aimed at determining the reproductive performance of anestrous ewes treated with nanoencapsulated GnRH after a progesterone-based protocol for estrus induction was proposed as a way of replacing eCG. A total of sixty anestrous, multiparous, non-lactating Barki ewes were randomly allocated into three homogenous groups and subjected to a CIDR-based estrus induction protocol. The first group (eCG) received an intramuscular (i.m.) injection of 350 IU of eCG at CIDR removal. The second (LNGnRH) and third (HLNGnR) groups received either 25 µg or 50 µg of encapsulated GnRH nanoparticles by the i.m. route in the form of spherical GnRH-encapsulated chitosan–TPP nanoparticles (which were 490.8 nm and had a 13.6 mV positive charge) 48 h after CIDR removal. Follicular dynamics, estrous behavior, luteal activity, and pregnancy outcomes were evaluated. Three days after CIDR removal, the number of large follicles increased by similar amounts in the LNGnRH and eCG groups and were significantly higher in both groups than in the HNGnRH group. However, no differences were observed in the numbers and diameters of CLs among the experimental groups and, on the other hand, treatment with HNGnRH significantly increased blood serum progesterone levels compared with eCG and LNGnRH. Treatment with HNGnRH increased conception, lambing, and fecundity rates (p < 0.05), with the trend of a higher litter size (p = 0.081) compared with eCG, whereas LNGnRH resulted in intermediate values. In conclusion, a dose of 50 µg of GnRH encapsulated in chitosan-TPP nanoparticles can be used as an alternative to eCG in progesterone-based estrus induction protocols in sheep. Full article
(This article belongs to the Section Developmental and Reproductive Biology)
Show Figures

Graphical abstract

11 pages, 6751 KB  
Article
Serum Anti-Müllerian Hormone Levels and Estrous Monitoring of GnRH Agonist Deslorelin-Induced Estrus in Bitches: A Pilot Study
by Sroisuda Chotimanukul, Sandra Goericke-Pesch, Junpen Suwimonteerabutr, Jinda Singlor, Ekkaphot Sangkrachang, Padet Tummaruk and Suppawiwat Ponglowhapan
Animals 2023, 13(2), 258; https://doi.org/10.3390/ani13020258 - 12 Jan 2023
Cited by 6 | Viewed by 4046
Abstract
This study was performed to monitor estrous patterns and, more importantly, changes in anti-Müllerian hormone (AMH) concentrations during the peri-ovulatory period in deslorelin-induced estrous bitches. Healthy anestrous bitches (n = 4) were used. Estrus and ovulation were monitored after deslorelin implantation. Blood [...] Read more.
This study was performed to monitor estrous patterns and, more importantly, changes in anti-Müllerian hormone (AMH) concentrations during the peri-ovulatory period in deslorelin-induced estrous bitches. Healthy anestrous bitches (n = 4) were used. Estrus and ovulation were monitored after deslorelin implantation. Blood samples were collected for analysis of progesterone, estradiol-17ß and AMH concentrations before implantation (day 0) and on days 6, 8, 10, 12, 14, 16, 18, 20 and 22 after implantation. Six days following treatment, all bitches showed estrus signs. Ovulation took place between days 12 and 15. Circulating AMH concentrations varied among bitches from 0.12 to 3.08 ng/mL. However, no significant differences in AMH levels (mean ± SD) were observed between day 0 and days following post-implantation (p > 0.05). There were no significant correlations between AMH and estradiol or AMH and progesterone (p > 0.05). Ultrasonographically, the number of clearly identifiable ovarian follicles was higher before ovulation and the area of ovaries increased after ovulation (p < 0.05). Except for AMH, changes in vaginal cytology, estradiol-17ß and progesterone levels observed in our study were similar to naturally occurring estrus. Large intra- and inter-individual variation in AMH were observed suggesting that AMH is currently not suitable as a canine fertility marker to monitor ovarian response to deslorelin treatment for estrus induction. Full article
Show Figures

Figure 1

9 pages, 716 KB  
Article
Ovarian Response and Fertility after Short-Term Progestagen/eCG Treatments Are Compromised in Nulliparous Sheep during Non-Breeding Season
by Zurisaday Santos-Jimenez, Paula Martínez-Ros, Teresa Encinas, Juan Luis Morales-Cruz, Hugo Zuriel Guerrero-Gallegos, Ramiro Gonzalez-Avalos, Antonio Gonzalez-Bulnes and Juan Manuel Guillen-Muñoz
Vet. Sci. 2022, 9(12), 663; https://doi.org/10.3390/vetsci9120663 - 28 Nov 2022
Cited by 7 | Viewed by 3324
Abstract
The objective of this investigation was to determine the ovarian response, fertility, and prolificacy of nulliparous sheep when compared to multiparous sheep after a short-term (7 days) CIDR/eCG treatment which was administered during the non-breeding season. All the multiparous sheep, whereas only 54% [...] Read more.
The objective of this investigation was to determine the ovarian response, fertility, and prolificacy of nulliparous sheep when compared to multiparous sheep after a short-term (7 days) CIDR/eCG treatment which was administered during the non-breeding season. All the multiparous sheep, whereas only 54% of the nulliparous ewes, showed signs of estrus. However, 81.8% of the multiparous sheep and 100% of the nulliparous ewes ovulated. Fertility was also low after short-term progesterone treatments during the anestrous season in maiden sheep (30.8 vs. 72.7% in multiparous ewes). Such results indicate significant differences in the response to CIDR/eCG protocols for induction and synchronization of estrus and ovulation between nulliparous and multiparous sheep during the non-breeding season. Full article
Show Figures

Figure 1

11 pages, 1611 KB  
Article
Periovulatory Hormonal Profiles after Estrus Induction and Conception Rate by Fixed-Time AI in Payoya Goats during the Anestrous Season
by Francisco A. Arrebola, Rafael Torres-Martell, Olga González-Casquet, Cesar A. Meza-Herrera and Carlos C. Pérez-Marín
Animals 2022, 12(20), 2853; https://doi.org/10.3390/ani12202853 - 20 Oct 2022
Cited by 4 | Viewed by 3577
Abstract
Sexual activity in domestic goats is positively influenced by reducing the photoperiod. Various protocols have therefore been developed in goats for the induction and synchronization of estrus during those months in which their sexual activity is reduced. The present observational study evaluates the [...] Read more.
Sexual activity in domestic goats is positively influenced by reducing the photoperiod. Various protocols have therefore been developed in goats for the induction and synchronization of estrus during those months in which their sexual activity is reduced. The present observational study evaluates the periovulatory hormonal profile in Payoya goats (n = 24), during a non-favorable photoperiod (i.e., spring), being treated for estrus induction. The treatment comprised the vaginal insertion of sponges impregnated with progestogen (fluorogestone acetate, FGA), together with cloprostenol and equine chorionic gonadotrophin (eCG), 48 h before the end of the treatment. When the treatment ended, the plasma concentrations of the LH, FSH, progesterone and estradiol were determined. The goats were inseminated 46 h after the sponge withdrawal, and a pregnancy diagnosis was carried out 40–45 days after the insemination. Various parameters were monitored, such as the peaks of luteinizing hormone (LH), follicle-stimulating hormone (FSH) and estradiol, and their respective intervals, in reference to the time of the sponge withdrawal. The conception rate was 62.5%, and the kidding rate was 50%. The results record the hormonal release pattern after the estrus synchronization treatment based on the FGA, and the differences between the pregnant and non-pregnant goats. The findings suggest that the LH peak produced after the estrus synchronization treatment, both in terms of the amplitude and the time of increment, is involved in the reproductive failure detected. Full article
Show Figures

Figure 1

Back to TopTop