Sign in to use this feature.

Years

Between: -

Subjects

remove_circle_outline
remove_circle_outline
remove_circle_outline
remove_circle_outline
remove_circle_outline
remove_circle_outline
remove_circle_outline
remove_circle_outline
remove_circle_outline

Journals

Article Types

Countries / Regions

Search Results (59)

Search Parameters:
Keywords = amorphous Silicon (a-Si)

Order results
Result details
Results per page
Select all
Export citation of selected articles as:
13 pages, 4449 KB  
Article
Design of High-Efficiency Silicon Nitride Grating Coupler with Self-Compensation for Temperature Drift
by Qianwen Lin, Yunxin Wang, Yu Zhang, Chang Liu and Wenqi Wei
Photonics 2025, 12(10), 959; https://doi.org/10.3390/photonics12100959 - 28 Sep 2025
Viewed by 625
Abstract
In order to solve the problem of the efficiency reduction and complex manufacturing of traditional grating couplers under environmental temperature fluctuations, a Si3N4 high-efficiency grating coupler integrating a distributed Bragg reflector (DBR) and thermo-optical tuning layer is proposed. In this [...] Read more.
In order to solve the problem of the efficiency reduction and complex manufacturing of traditional grating couplers under environmental temperature fluctuations, a Si3N4 high-efficiency grating coupler integrating a distributed Bragg reflector (DBR) and thermo-optical tuning layer is proposed. In this paper, the double-layer DBR is used to make the down-scattered light interfere with other light and reflect it back into the waveguide. The finite difference time domain (FDTD) method is used to simulate and optimize the key parameters such as grating period, duty cycle, incident angle and cladding thickness, achieving a coupling efficiency of −1.59 dB and a 3 dB bandwidth of 106 nm. In order to further enhance the temperature stability, the amorphous silicon (a-Si) thermo-optical material layer and titanium metal serpentine heater are embedded in the DBR. The reduction in coupling efficiency caused by fluctuations in environmental temperature is compensated via local temperature control. The simulation results show that within the wide temperature range from −55 °C to 150 °C, the compensated coupling efficiency fluctuation is less than 0.02 dB, and the center wavelength undergoes a blue shift. This design is compatible with complementary metal-oxide-semiconductor (CMOS) processes, which not only simplifies the fabrication process but also significantly improves device stability over a wide temperature range. This provides a feasible and efficient coupling solution for photonic integrated chips in non-temperature-controlled environments, such as optical communications, data centers, and automotive systems. Full article
Show Figures

Figure 1

45 pages, 4358 KB  
Article
Parameter Extraction of Photovoltaic Cells and Panels Using a PID-Based Metaheuristic Algorithm
by Aseel Bennagi, Obaida AlHousrya, Daniel T. Cotfas and Petru A. Cotfas
Appl. Sci. 2025, 15(13), 7403; https://doi.org/10.3390/app15137403 - 1 Jul 2025
Cited by 1 | Viewed by 864
Abstract
In the world of solar technology, precisely extracting photovoltaic cell and panel parameters is key to efficient energy production. This paper presents a new metaheuristic algorithm for extracting parameters from photovoltaic cells using the functionality of the PID-based search algorithm (PSA). The research [...] Read more.
In the world of solar technology, precisely extracting photovoltaic cell and panel parameters is key to efficient energy production. This paper presents a new metaheuristic algorithm for extracting parameters from photovoltaic cells using the functionality of the PID-based search algorithm (PSA). The research includes single-diode (SDM) and double-diode (DDM) models applied to RTC France, amorphous silicon (aSi), monocrystalline silicon (mSi), PVM 752 GaAs, and STM6-40 panels. Datasets from multijunction solar cells at three temperatures (41.5 °C, 51.3 °C, and 61.6 °C) were used. PSA performance was assessed using root mean square error (RMSE), mean bias error (MBE), and absolute error (AE). A strategy was introduced by refining PID parameters and relocating error calculations outside the main loop to enhance exploration and exploitation. A Lévy flight-based zero-output mechanism was integrated, enabling shorter extraction times and requiring a smaller population, while enhancing search diversity and mitigating local optima entrapment. PSA was compared against 26 top-performing algorithms. RTC France showed RMSE improvements of 0.67–2.10% in 3.35 s, while for the mSi model, PSA achieved up to 40.9% improvement in 5.57 s and 22.18% for PVM 752 in 8.52 s. PSA’s accuracy and efficiency make it a valuable tool for advancing renewable energy technologies. Full article
(This article belongs to the Section Electrical, Electronics and Communications Engineering)
Show Figures

Figure 1

14 pages, 1053 KB  
Article
Machine Learning for the Prediction of Thermodynamic Properties in Amorphous Silicon
by Nicolás Amigo
Appl. Sci. 2025, 15(10), 5574; https://doi.org/10.3390/app15105574 - 16 May 2025
Cited by 1 | Viewed by 1516
Abstract
This study integrated molecular dynamics (MD) simulations with machine learning techniques, specifically Linear, Ridge, and Support Vector Regression, to predict the thermodynamic properties of amorphous silicon (a-Si) under varying conditions. The MD simulations provided a detailed dataset that captured the atomic-level behavior of [...] Read more.
This study integrated molecular dynamics (MD) simulations with machine learning techniques, specifically Linear, Ridge, and Support Vector Regression, to predict the thermodynamic properties of amorphous silicon (a-Si) under varying conditions. The MD simulations provided a detailed dataset that captured the atomic-level behavior of the a-Si, which enabled exploration of how thermodynamic factors, such as the cooling rate, temperature, and pressure, affect the material’s density, internal energy, and enthalpy. Machine learning models were trained on this dataset and demonstrated exceptional predictive accuracy with R2 values that exceeded 0.95 and minimal root-mean-square errors. The results reveal that the temperature and pressure significantly influenced the thermodynamic properties of the a-Si, while the cooling rate had a minor effect. The models generated isobaric and isothermal curves, which offered deeper insights into the thermodynamic behavior of the a-Si and complemented traditional MD simulations by providing a more efficient means to explore thermodynamic states. This work highlights the potential of machine learning to accelerate the study of materials by enabling faster exploration of thermodynamic behavior and the generation of additional data. This approach enhances the understanding of the equation of state of a-Si and opens new avenues for applying this hybrid modeling technique to other materials. Full article
(This article belongs to the Section Materials Science and Engineering)
Show Figures

Figure 1

22 pages, 2821 KB  
Review
Pixel Circuit Designs for Active Matrix Displays
by Dan-Mei Wei, Hua Zheng, Chun-Hua Tan, Shenghao Zhang, Hua-Dan Li, Lv Zhou, Yuanrui Chen, Chenchen Wei, Miao Xu, Lei Wang, Wei-Jing Wu, Honglong Ning and Baohua Jia
Appl. Syst. Innov. 2025, 8(2), 46; https://doi.org/10.3390/asi8020046 - 31 Mar 2025
Cited by 2 | Viewed by 5836
Abstract
Pixel circuits are key components of flat panel displays, including liquid crystal displays (LCDs), organic light-emitting diode displays (OLEDs), and micro light-emitting diode displays (micro-LEDs). Depending on the active layer material of the thin film transistor (TFT), pixel circuits are categorised into amorphous [...] Read more.
Pixel circuits are key components of flat panel displays, including liquid crystal displays (LCDs), organic light-emitting diode displays (OLEDs), and micro light-emitting diode displays (micro-LEDs). Depending on the active layer material of the thin film transistor (TFT), pixel circuits are categorised into amorphous silicon (a-Si) technology, low-temperature polycrystalline silicon (LTPS) technology, metal oxide (MO) technology, and low-temperature polycrystalline silicon and oxide (LTPO) technology. In this review, we outline the fundamental display principles and four major TFT technologies, covering conventional single-gated TFTs to novel two-gated TFTs. We focus on novel pixel circuits for three glass-based display technologies with additional mention of pixel circuits for silicon-based OLED and silicon-based micro-LED. Full article
(This article belongs to the Section Control and Systems Engineering)
Show Figures

Figure 1

40 pages, 1207 KB  
Review
Recent Advances in Flexible Solar Cells; Materials, Fabrication, and Commercialization
by Maoz Maoz, Zohair Abbas, Syed Abdul Basit Shah and Vanni Lughi
Sustainability 2025, 17(5), 1820; https://doi.org/10.3390/su17051820 - 21 Feb 2025
Cited by 6 | Viewed by 9946
Abstract
Flexibility, light weight, and mechanical robustness are the key advantages of flexible photovoltaic (PV) modules, making them highly versatile for sustainable energy solutions. Unlike traditional rigid PV modules, their flexible nature makes them incredibly versatile for harnessing energy in places where doing so [...] Read more.
Flexibility, light weight, and mechanical robustness are the key advantages of flexible photovoltaic (PV) modules, making them highly versatile for sustainable energy solutions. Unlike traditional rigid PV modules, their flexible nature makes them incredibly versatile for harnessing energy in places where doing so was once impossible. They have a wide range of applications due to their flexibility and moldability, making it possible to conform these modules to surfaces like curved rooftops and other irregular structures. In this paper, we provide a comprehensive review of all the materials used in flexible PV modules with a focus on their role in sustainability. We thoroughly discuss the active-layer materials for crystalline silicon (c-Si)-based solar cells (SC) and thin-film solar cells such as cadmium telluride (CdTe), as well as copper indium gallium diselenide (CIGS), amorphous thin-film silicon (a-Si), perovskite and organic solar cells. Various properties, such as the optical, barrier, thermal, and mechanical properties of different substrate materials, are reviewed. Transport layers and conductive electrode materials are discussed with a focus on emerging trends and contributions to sustainable PV technology. Various fabrication techniques involved in making flexible PV modules, along with advantages, disadvantages, and future trends, are highlighted in the paper. The commercialization of flexible PV is also discussed, which is a crucial milestone in advancing and adapting new technologies in the PV industry with a focus on contributing toward sustainability. Full article
Show Figures

Figure 1

39 pages, 2858 KB  
Review
Thin-Film Technologies for Sustainable Building-Integrated Photovoltaics
by Andrew R. Smith, Mehrdad Ghamari, Sasireka Velusamy and Senthilarasu Sundaram
Energies 2024, 17(24), 6363; https://doi.org/10.3390/en17246363 - 18 Dec 2024
Cited by 8 | Viewed by 4818
Abstract
This study investigates the incorporation of thin-film photovoltaic (TFPV) technologies in building-integrated photovoltaics (BIPV) and their contribution to sustainable architecture. The research focuses on three key TFPV materials: amorphous silicon (a-Si), cadmium telluride (CdTe), and copper indium gallium selenide (CIGS), examining their composition, [...] Read more.
This study investigates the incorporation of thin-film photovoltaic (TFPV) technologies in building-integrated photovoltaics (BIPV) and their contribution to sustainable architecture. The research focuses on three key TFPV materials: amorphous silicon (a-Si), cadmium telluride (CdTe), and copper indium gallium selenide (CIGS), examining their composition, efficiency, and BIPV applications. Recent advancements have yielded impressive results, with CdTe and CIGS achieving laboratory efficiencies of 22.10% and 23.35%, respectively. The study also explores the implementation of building energy management systems (BEMS) for optimizing energy use in BIPV-equipped buildings. Financial analysis indicates that despite 10.00–30.00% higher initial costs compared to conventional materials, BIPV systems can generate 50–150 kWh/m2 annually, with simple payback periods of 5–15 years. The research emphasizes the role of government incentives and innovative financing in promoting BIPV adoption. As BIPV technology progresses, it offers a promising solution for transforming buildings from energy consumers to producers, significantly contributing to sustainable urban development and climate change mitigation. Full article
(This article belongs to the Special Issue Energy Efficiency and Energy Performance in Buildings)
Show Figures

Figure 1

14 pages, 1546 KB  
Article
Mobility Gaps of Hydrogenated Amorphous Silicon Related to Hydrogen Concentration and Its Influence on Electrical Performance
by Francesca Peverini, Saba Aziz, Aishah Bashiri, Marco Bizzarri, Maurizio Boscardin, Lucio Calcagnile, Carlo Calcatelli, Daniela Calvo, Silvia Caponi, Mirco Caprai, Domenico Caputo, Anna Paola Caricato, Roberto Catalano, Roberto Cirro, Giuseppe Antonio Pablo Cirrone, Michele Crivellari, Tommaso Croci, Giacomo Cuttone, Gianpiero de Cesare, Paolo De Remigis, Sylvain Dunand, Michele Fabi, Luca Frontini, Livio Fanò, Benedetta Gianfelici, Catia Grimani, Omar Hammad, Maria Ionica, Keida Kanxheri, Matthew Large, Francesca Lenta, Valentino Liberali, Nicola Lovecchio, Maurizio Martino, Giuseppe Maruccio, Giovanni Mazza, Mauro Menichelli, Anna Grazia Monteduro, Francesco Moscatelli, Arianna Morozzi, Augusto Nascetti, Stefania Pallotta, Andrea Papi, Daniele Passeri, Marco Petasecca, Giada Petringa, Igor Pis, Pisana Placidi, Gianluca Quarta, Silvia Rizzato, Alessandro Rossi, Giulia Rossi, Federico Sabbatini, Andrea Scorzoni, Leonello Servoli, Alberto Stabile, Silvia Tacchi, Cinzia Talamonti, Jonathan Thomet, Luca Tosti, Giovanni Verzellesi, Mattia Villani, Richard James Wheadon, Nicolas Wyrsch, Nicola Zema and Maddalena Pedioadd Show full author list remove Hide full author list
Nanomaterials 2024, 14(19), 1551; https://doi.org/10.3390/nano14191551 - 25 Sep 2024
Cited by 3 | Viewed by 2508
Abstract
This paper presents a comprehensive study of hydrogenated amorphous silicon (a-Si)-based detectors, utilizing electrical characterization, Raman spectroscopy, photoemission, and inverse photoemission techniques. The unique properties of a-Si have sparked interest in its application for radiation detection in both physics and medicine. Although amorphous [...] Read more.
This paper presents a comprehensive study of hydrogenated amorphous silicon (a-Si)-based detectors, utilizing electrical characterization, Raman spectroscopy, photoemission, and inverse photoemission techniques. The unique properties of a-Si have sparked interest in its application for radiation detection in both physics and medicine. Although amorphous silicon (a-Si) is inherently a highly defective material, hydrogenation significantly reduces defect density, enabling its use in radiation detector devices. Spectroscopic measurements provide insights into the intricate relationship between the structure and electronic properties of a-Si, enhancing our understanding of how specific configurations, such as the choice of substrate, can markedly influence detector performance. In this study, we compare the performance of a-Si detectors deposited on two different substrates: crystalline silicon (c-Si) and flexible Kapton. Our findings suggest that detectors deposited on Kapton exhibit reduced sensitivity, despite having comparable noise and leakage current levels to those on crystalline silicon. We hypothesize that this discrepancy may be attributed to the substrate material, differences in film morphology, and/or the alignment of energy levels. Further measurements are planned to substantiate these hypotheses. Full article
(This article belongs to the Special Issue Advanced Nanotechnology in Intelligent Flexible Devices)
Show Figures

Figure 1

10 pages, 2781 KB  
Article
Interface and Size Effects of Amorphous Si/Amorphous Silicon Oxynitride Multilayer Structures on the Photoluminescence Spectrum
by Chao Song, Jie Song and Xiang Wang
Coatings 2024, 14(8), 977; https://doi.org/10.3390/coatings14080977 - 2 Aug 2024
Cited by 2 | Viewed by 1586
Abstract
A room-temperature photoluminescence (PL) study of amorphous Si/amorphous silicon oxynitride multilayer films prepared by plasma-enhanced chemical vapor deposition is reported. The PL peak position can be tuned from 800 nm to 660 nm by adjusting the oxygen/nitride ratio in the a-SiOxN [...] Read more.
A room-temperature photoluminescence (PL) study of amorphous Si/amorphous silicon oxynitride multilayer films prepared by plasma-enhanced chemical vapor deposition is reported. The PL peak position can be tuned from 800 nm to 660 nm by adjusting the oxygen/nitride ratio in the a-SiOxNy:H sublayer. The Fourier transform infrared (FTIR) absorption spectra indicate that the shift of the PL peak position is accompanied by an increase in the Si-O-Si absorption peak’s intensity, which induces the structural disorder at the interface, resulting in an increase in band gap energy. The effects of size on the photoluminescence spectrum have been studied. As a result, it has been observed that the addition of oxygen atoms introduces a large number of localized states at the interface, causing a blue shift in the emission peak position. With an increase in oxygen atoms, the localized states tend to saturate, and the quantum phenomenon caused by the a-Si sublayer becomes more pronounced. It is found that, as the thickness of the a-Si sublayer decreases, the increase in the [O/N] ratio is more likely to cause an increase in disordered states, leading to a decrease in luminescence intensity. For a-Si/a-SiOxNy:H samples with thinner a-Si sublayers, an appropriate value of [O/N] is required to achieve luminescence enhancement. When the value of [O/N] is one, the enhanced luminescence is obtained. It is also suggested that the PL originates from the radiative recombination in the localized states’ T3- level-related negatively charged silicon dangling bond in the band tail of the a-Si:H sublayer embedded in an a-Si/a-SiOxNy:H multilayer structure. Full article
Show Figures

Figure 1

10 pages, 1584 KB  
Communication
Quantum Mechanical Comparison between Lithiated and Sodiated Silicon Nanowires
by Donald C. Boone
Appl. Nano 2024, 5(2), 48-57; https://doi.org/10.3390/applnano5020005 - 1 Apr 2024
Viewed by 1716
Abstract
This computational research study will compare the specific charge capacity (SCC) between lithium ions inserted into crystallized silicon (c-Si) nanowires with that of sodium ions inserted into amorphous silicon (a-Si) nanowires. It will be demonstrated that the potential energy V(r) within a lithium–silicon [...] Read more.
This computational research study will compare the specific charge capacity (SCC) between lithium ions inserted into crystallized silicon (c-Si) nanowires with that of sodium ions inserted into amorphous silicon (a-Si) nanowires. It will be demonstrated that the potential energy V(r) within a lithium–silicon nanowire supports a coherent energy state model with discrete electron particles, while the potential energy of a sodium–silicon nanowire will be discovered to be essentially zero, and, thus, the electron current that travels through a sodiated silicon nanowire will be modeled as a free electron with wave-like characteristics. This is due to the vast differences in the electric fields of lithiated and sodiated silicon nanowires, where the electric fields are of the order of 1010 V/m and 1015 V/m, respectively. The main reason for the great disparity in electric fields is the presence of optical amplification within lithium ions and the absence of this process within sodium ions. It will be shown that optical amplification develops coherent optical interactions, which is the primary reason for the surge of specific charge capacity in the lithiated silicon nanowire. Conversely, the lack of optical amplification is the reason for the incoherent optical interactions within sodium ions, which is the reason for the low presence of SCC in sodiated silicon nanowires. Full article
(This article belongs to the Collection Feature Papers for Applied Nano)
Show Figures

Figure 1

11 pages, 8897 KB  
Communication
Dual-Band All-Optical Logic Gates by Coherent Absorption in an Amorphous Silicon Graphene Metasurface
by Yixiao Chen, Chongyang Shen, Qingyuan Li, Jianyao Li and Xiaoxu Deng
Nanomaterials 2024, 14(4), 335; https://doi.org/10.3390/nano14040335 - 8 Feb 2024
Cited by 5 | Viewed by 1915
Abstract
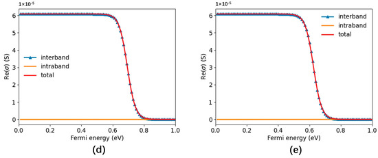
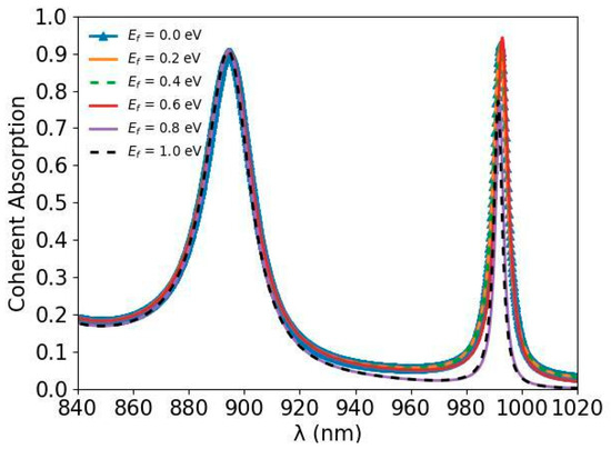
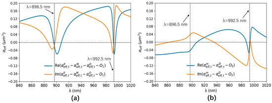
The dual-band polarization-independent all-optical logic gate by coherent absorption effect in an amorphous silicon (a-Si) graphene metasurface is investigated theoretically and numerically. Taking the substrate effect into consideration, the coherent perfect absorption condition of the a-Si graphene metasurface is derived on the basis [...] Read more.
The dual-band polarization-independent all-optical logic gate by coherent absorption effect in an amorphous silicon (a-Si) graphene metasurface is investigated theoretically and numerically. Taking the substrate effect into consideration, the coherent perfect absorption condition of the a-Si graphene metasurface is derived on the basis of the Cartesian multipole method. The coherent nearly perfect absorption of the a-Si graphene metasurface is realized by the interference of multipole moments and the interband transition of monolayer graphene, achieving peak values of 91% and 92% at 894.5 nm and 991.5 nm, respectively. The polarization independence of the coherent absorption is revealed due to the center symmetry of the structure of the a-Si graphene metasurface. The dual-band polarization-independent all-optical XOR and OR logic gates are implemented at 894.5 nm and 991.5 nm by the a-Si graphene metasurface based on the coherent nearly perfect absorption, which has the opportunity to be utilized in all-optical computing, all-optical data processing, and future all-optical networks. Full article
Show Figures

Figure 1

24 pages, 10034 KB  
Article
Thermokinetic Study of Aluminum-Induced Crystallization of a-Si: The Effect of Al Layer Thickness
by Sergey M. Zharkov, Vladimir V. Yumashev, Evgeny T. Moiseenko, Roman R. Altunin, Leonid A. Solovyov, Mikhail N. Volochaev, Galina M. Zeer, Nataliya S. Nikolaeva and Oleg V. Belousov
Nanomaterials 2023, 13(22), 2925; https://doi.org/10.3390/nano13222925 - 10 Nov 2023
Cited by 6 | Viewed by 2027
Abstract
The effect of the aluminum layer on the kinetics and mechanism of aluminum-induced crystallization (AIC) of amorphous silicon (a-Si) in (Al/a-Si)n multilayered films was studied using a complex of in situ methods (simultaneous thermal analysis, transmission electron microscopy, electron diffraction, and four-point [...] Read more.
The effect of the aluminum layer on the kinetics and mechanism of aluminum-induced crystallization (AIC) of amorphous silicon (a-Si) in (Al/a-Si)n multilayered films was studied using a complex of in situ methods (simultaneous thermal analysis, transmission electron microscopy, electron diffraction, and four-point probe resistance measurement) and ex situ methods (X-ray diffraction and optical microscopy). An increase in the thickness of the aluminum layer from 10 to 80 nm was found to result in a decrease in the value of the apparent activation energy Ea of silicon crystallization from 137 to 117 kJ/mol (as estimated by the Kissinger method) as well as an increase in the crystallization heat from 12.3 to 16.0 kJ/(mol Si). The detailed kinetic analysis showed that the change in the thickness of an individual Al layer could lead to a qualitative change in the mechanism of aluminum-induced silicon crystallization: with the thickness of Al ≤ 20 nm. The process followed two parallel routes described by the n-th order reaction equation with autocatalysis (Cn-X) and the Avrami–Erofeev equation (An): with an increase in the thickness of Al ≥ 40 nm, the process occurred in two consecutive steps. The first one can be described by the n-th order reaction equation with autocatalysis (Cn-X), and the second one can be described by the n-th order reaction equation (Fn). The change in the mechanism of amorphous silicon crystallization was assumed to be due to the influence of the degree of Al defects at the initial state on the kinetics of the crystallization process. Full article
(This article belongs to the Section Nanoelectronics, Nanosensors and Devices)
Show Figures

Figure 1

13 pages, 3836 KB  
Article
Effect of Plasma Oxygen Content on the Size and Content of Silicon Nanoclusters in Amorphous SiOx Films Obtained with Plasma-Enhanced Chemical Vapor Deposition
by Vladimir A. Terekhov, Evgeniy I. Terukov, Yurii K. Undalov, Konstantin A. Barkov, Nikolay A. Kurilo, Sergey A. Ivkov, Dmitry N. Nesterov, Pavel V. Seredin, Dmitry L. Goloshchapov, Dmitriy A. Minakov, Elena V. Popova, Anatoly N. Lukin and Irina N. Trapeznikova
Symmetry 2023, 15(9), 1800; https://doi.org/10.3390/sym15091800 - 21 Sep 2023
Cited by 8 | Viewed by 1708
Abstract
The influence of Ar + SiH4 + O2 plasma formulation on the phase composition and optical properties of amorphous SiOx films with silicon nanoclusters obtained using PECVD with DC discharge modulation was studied. Using a unique technique of ultrasoft X-ray [...] Read more.
The influence of Ar + SiH4 + O2 plasma formulation on the phase composition and optical properties of amorphous SiOx films with silicon nanoclusters obtained using PECVD with DC discharge modulation was studied. Using a unique technique of ultrasoft X-ray emission spectroscopy, it was found that at a 0.15 mol.% plasma oxygen content, amorphous silicon a-Si films are formed. At a high oxygen content (≥21.5 mol.%), nanocomposite films based on SiOx silicon suboxide containing silicon nanoclusters ncl-Si are formed. It was found that the suboxide matrix consists of a mixture of SiO1.3 and SiO2 phases, and the average oxidation state x in the SiOx suboxide matrix is ~1.5. An increase in the concentration of O2 in the reactor atmosphere from 21.5 to 23 mol.% leads to a decrease in ncl-Si content from 40 to 15% and an increase in the average oxidation state x of SiOx from 1.5 to 1.9. In this case, the suboxide matrix consists of two phases of silicon dioxide SiO2 and non-stoichiometric silicon oxide SiO1.7. Thus, according to the experimental data obtained using USXES, the phase composition of these films in pure form differs in their representation in both random coupling and random mixture models. A decrease in the ncl-Si content of SiOx films is accompanied by a decrease in their sizes from ~3 to ~2 nm and a shift in the photoluminescence band from 1.9 eV to 2.3 eV, respectively. Full article
(This article belongs to the Special Issue Symmetry in Physics of Plasma Technologies II)
Show Figures

Figure 1

31 pages, 5028 KB  
Review
Inorganic Thin-Film Solar Cells: Challenges at the Terawatt-Scale
by Maria Giovanna Buonomenna
Symmetry 2023, 15(9), 1718; https://doi.org/10.3390/sym15091718 - 7 Sep 2023
Cited by 23 | Viewed by 8381
Abstract
Thin-film solar cells have been referred to as second-generation solar photovoltaics (PV) or next-generation solutions for the renewable energy industry. The layer of absorber materials used to produce thin-film cells can vary in thickness, from nanometers to a few micrometers. This is much [...] Read more.
Thin-film solar cells have been referred to as second-generation solar photovoltaics (PV) or next-generation solutions for the renewable energy industry. The layer of absorber materials used to produce thin-film cells can vary in thickness, from nanometers to a few micrometers. This is much thinner than conventional solar cells. This review focuses on inorganic thin films and, therefore, hybrid inorganic–organic perovskite, organic solar cells, etc., are excluded from the discussion. Two main families of thin-film solar cells, i.e., silicon-based thin films (amorphous (a-Si) and micromorph silicon (a-Si/c-Si), and non-silicon-based thin films (cadmium telluride (CdTe) and copper–indium–gallium diselenide (CIGS)), are being deployed on a commercial scale. These commercial technologies, until a few years ago, had lower efficiency values compared to first-generation solar PV. In this regard, the concept of driving enhanced performance is to employ low/high-work-function metal compounds to form asymmetric electron and hole heterocontacts. Moreover, there are many emerging thin-film solar cells conceived to overcome the issue of using non-abundant metals such as indium (In), gallium (Ga), and tellurium (Te), which are components of the two commercial thin-film technologies, and therefore to reduce the cost-effectiveness of mass production. Among these emerging technologies are kesterite CZTSSE, intensively investigated as an alternative to CIGS, and Sb2(S,Se)3. In this review, after a general overview of the current scenario of PV, the three main challenges of inorganic thin-film solar cells, i.e., the availability of (safe) metals, power conversion efficiency (PCE), and long-term stability, are discussed. Full article
Show Figures

Figure 1

13 pages, 5256 KB  
Article
Over- and Undercoordinated Atoms as a Source of Electron and Hole Traps in Amorphous Silicon Nitride (a-Si3N4)
by Christoph Wilhelmer, Dominic Waldhoer, Lukas Cvitkovich, Diego Milardovich, Michael Waltl and Tibor Grasser
Nanomaterials 2023, 13(16), 2286; https://doi.org/10.3390/nano13162286 - 9 Aug 2023
Cited by 9 | Viewed by 3114
Abstract
Silicon nitride films are widely used as the charge storage layer of charge trap flash (CTF) devices due to their high charge trap densities. The nature of the charge trapping sites in these materials responsible for the memory effect in CTF devices is [...] Read more.
Silicon nitride films are widely used as the charge storage layer of charge trap flash (CTF) devices due to their high charge trap densities. The nature of the charge trapping sites in these materials responsible for the memory effect in CTF devices is still unclear. Most prominently, the Si dangling bond or K-center has been identified as an amphoteric trap center. Nevertheless, experiments have shown that these dangling bonds only make up a small portion of the total density of electrical active defects, motivating the search for other charge trapping sites. Here, we use a machine-learned force field to create model structures of amorphous Si3N4 by simulating a melt-and-quench procedure with a molecular dynamics algorithm. Subsequently, we employ density functional theory in conjunction with a hybrid functional to investigate the structural properties and electronic states of our model structures. We show that electrons and holes can localize near over- and under-coordinated atoms, thereby introducing defect states in the band gap after structural relaxation. We analyze these trapping sites within a nonradiative multi-phonon model by calculating relaxation energies and thermodynamic charge transition levels. The resulting defect parameters are used to model the potential energy curves of the defect systems in different charge states and to extract the classical energy barrier for charge transfer. The high energy barriers for charge emission compared to the vanishing barriers for charge capture at the defect sites show that intrinsic electron traps can contribute to the memory effect in charge trap flash devices. Full article
(This article belongs to the Special Issue Nanoscale Science and Technology on Semiconductor Device Physics)
Show Figures

Figure 1

20 pages, 3557 KB  
Article
Parameters Identification of Photovoltaic Cell and Module Models Using Modified Social Group Optimization Algorithm
by Habib Kraiem, Ezzeddine Touti, Abdulaziz Alanazi, Ahmed M. Agwa, Tarek I. Alanazi, Mohamed Jamli and Lassaad Sbita
Sustainability 2023, 15(13), 10510; https://doi.org/10.3390/su151310510 - 4 Jul 2023
Cited by 11 | Viewed by 2105
Abstract
Photovoltaic systems have become more attractive alternatives to be integrated into electrical power systems. Therefore, PV cells have gained immense interest in studies related to their operation. A photovoltaic module’s performance can be optimized by identifying the parameters of a photovoltaic cell to [...] Read more.
Photovoltaic systems have become more attractive alternatives to be integrated into electrical power systems. Therefore, PV cells have gained immense interest in studies related to their operation. A photovoltaic module’s performance can be optimized by identifying the parameters of a photovoltaic cell to understand its behavior and simulate its characteristics from a given mathematical model. This work aims to extract and identify the parameters of photovoltaic cells using a novel metaheuristic algorithm named Modified Social Group Optimization (MSGO). First, a comparative study was carried out based on various technologies and models of photovoltaic modules. Then, the proposed MSGO algorithm was tested on a monocrystalline type of panel with its single-diode and double-diode models. Then, it was tested on an amorphous type of photovoltaic cell (hydrogenated amorphous silicon (a-Si: H)). Finally, an experimental validation was carried out to test the proposed MSGO algorithm and identify the parameters of the polycrystalline type of panel. All obtained results were compared to previous research findings. The present study showed that the MSGO is highly competitive and demonstrates better efficiency in parameter identification compared to other optimization algorithms. The Individual Absolute Error (IAE) obtained by the MSGO is better than the other errors for most measurement values in the case of single- and double-diode models. Relatedly, the average fitness function obtained by the MSGO algorithm has the fastest convergence rate. Full article
Show Figures

Figure 1

Back to TopTop