Sign in to use this feature.

Years

Between: -

Subjects

remove_circle_outline
remove_circle_outline
remove_circle_outline
remove_circle_outline
remove_circle_outline
remove_circle_outline

Journals

Article Types

Countries / Regions

Search Results (21)

Search Parameters:
Keywords = amaranth dye

Order results
Result details
Results per page
Select all
Export citation of selected articles as:
12 pages, 2787 KB  
Article
Rapid Biodecolorization of Azo Dyes by Shewanella oneidensis MR-1 Under Aerobic Conditions
by Yuelei Wang, Yuqi Liu, Xiaojun Zhang, Lu Cheng, Daizong Cui, Min Zhao and Xianchun Zong
Catalysts 2025, 15(8), 796; https://doi.org/10.3390/catal15080796 - 21 Aug 2025
Viewed by 653
Abstract
This study investigated the aerobic biodecolorization of azo dyes by Shewanella oneidensis MR-1. S. oneidensis MR-1 can rapidly degrade azo dyes under aerobic conditions, even at high concentrations of up to 270 mg/L, demonstrating remarkable dye decolorization capabilities. This decolorization efficiency persists even [...] Read more.
This study investigated the aerobic biodecolorization of azo dyes by Shewanella oneidensis MR-1. S. oneidensis MR-1 can rapidly degrade azo dyes under aerobic conditions, even at high concentrations of up to 270 mg/L, demonstrating remarkable dye decolorization capabilities. This decolorization efficiency persists even under high concentrations of oxygen. The introduction of different environmental metal ions led to either inhibitory or stimulatory effects on the decolorization of Methyl Orange and Amaranth. Furthermore, the addition of extracellular electron shuttles and electron scavengers confirmed that dyes were being reduced via electron transfer, and the decolorization capability of S. oneidensis MR-1 correlated with electron density. Our study unveils the rapid degradation ability of S. oneidensis MR-1 for dyes under aerobic conditions, which is closely linked to its electron transfer capacity. This research holds significant implications for a deeper understanding of the biodegradation mechanisms of azo dyes under aerobic conditions. Full article
(This article belongs to the Section Biocatalysis)
Show Figures

Graphical abstract

13 pages, 4476 KB  
Article
Green Preparation of ZnO Nanoparticles Using Citrus aurantium L. Extract for Dye Adsorption, Antibacterial, and Antioxidant Activities
by Xitao Yang, Liangliang Liu, Chenxiao Chen, Liping Liao and Siqi Huang
Separations 2025, 12(2), 18; https://doi.org/10.3390/separations12020018 - 21 Jan 2025
Cited by 2 | Viewed by 1506
Abstract
In this study, ZnO nanoparticles (ZnO NPs) were synthesized using a green method employing fresh Citrus aurantium L. aqueous extract (CA) as a reducing agent. After preparation, the ZnO NPs were characterized by transmission electron microscopy (TEM), scanning electron microscopy (SEM), energy-dispersive X-ray [...] Read more.
In this study, ZnO nanoparticles (ZnO NPs) were synthesized using a green method employing fresh Citrus aurantium L. aqueous extract (CA) as a reducing agent. After preparation, the ZnO NPs were characterized by transmission electron microscopy (TEM), scanning electron microscopy (SEM), energy-dispersive X-ray analysis (EDAX), X-ray diffraction (XRD), and infrared spectroscopy (IR). The products displayed irregular particle shapes on a nanoscale. The adsorption ability of ZnO NPs was tested with amaranth red dye, and the result showed that it had a satisfied capacity for amaranth red. The adsorption data followed the pseudo-second-order model and the Langmuir model, which indicated the adsorption process was controlled by a chemical adsorption process and occurred homogeneously on the surface of absorbents. In addition, the prepared ZnO NPs also exhibited antibacterial abilities against Staphylococcus aureus and Escherichia coli bacteria; antioxidant activities were observed in 2-2-diphenyl-1-picrylhydrazyl (DPPH) and 2,2′-azino-di(3-ethylbenzthiazoline sulphonate) (ABTS) radicals scavenging assays and the ferric ion reducing antioxidant power (FRAP) assay, which were better than those of traditional ZnO NPs except in the FRAP assay. Based on these findings, the ZnO NPs fabricated with CA aqueous extract displayed promising abilities in the environmental remediation of dye wastewater. Full article
(This article belongs to the Special Issue Removal of Organic Pollutants from Aqueous Systems)
Show Figures

Figure 1

16 pages, 5734 KB  
Article
Facile Fabrication of Porous Adsorbent with Multiple Amine Groups for Efficient and Selective Removal of Amaranth and Tartrazine Dyes from Water
by Qingli Chen, Jie Liao, Sihua Zeng and Li Zhou
Materials 2024, 17(10), 2391; https://doi.org/10.3390/ma17102391 - 16 May 2024
Cited by 2 | Viewed by 1421
Abstract
The development of an advanced dye adsorbent that possesses a range of beneficial characteristics, such as high adsorption capacity, swift adsorption kinetics, selective adsorption capability, and robust reusability, remains a challenge. This study introduces a facile method for fabricating an amine-rich porous adsorbent [...] Read more.
The development of an advanced dye adsorbent that possesses a range of beneficial characteristics, such as high adsorption capacity, swift adsorption kinetics, selective adsorption capability, and robust reusability, remains a challenge. This study introduces a facile method for fabricating an amine-rich porous adsorbent (ARPA), which is specifically engineered for the adsorptive removal of anionic dyes from aqueous solutions. Through a comprehensive assessment, we have evaluated the adsorption performance of ARPA using two benchmark dyes: amaranth (ART) and tartrazine (TTZ). Our findings indicate that the adsorption process reaches equilibrium in a remarkably short timeframe of just 20 min, and it exhibits an excellent correlation with both the Langmuir isotherm model and the pseudo-second-order kinetic model. Furthermore, ARPA has demonstrated an exceptional maximum adsorption capacity, with values of 675.68 mg g−1 for ART and 534.76 mg g−1 for TTZ. In addition to its high adsorption capacity, ARPA has also shown remarkable selectivity, as evidenced by its ability to selectively adsorb TTZ from a mixed dye solution, a feature that is highly desirable for practical applications. Beyond its impressive adsorption capabilities, ARPA can be efficiently regenerated and recycled. It maintains a high level of original removal efficiency for both ART (76.8%) and TTZ (78.9%) even after five consecutive cycles of adsorption and desorption. Considering the simplicity of its synthesis and its outstanding adsorption performance, ARPA emerges as a highly promising material for use in dye removal applications. Consequently, this paper presents a straightforward and feasible method for the production of an effective dye adsorbent for environmental remediation. Full article
(This article belongs to the Special Issue Adsorption Materials and Their Applications)
Show Figures

Figure 1

11 pages, 3150 KB  
Article
Titanium Nanostructures: Advancing Photocatalysis in Complex Systems
by Alondra A. Lugo-Ruiz and Sonia J. Bailón-Ruiz
Photochem 2024, 4(2), 222-232; https://doi.org/10.3390/photochem4020014 - 6 May 2024
Cited by 3 | Viewed by 1754
Abstract
The use of semiconductor materials, specifically TiO2, for photocatalysis of organic pollutants has gained global interest as an effective method for contaminant removal from wastewater. Titanium dioxide (TiO2) is a widely studied photocatalyst and is considered one of the [...] Read more.
The use of semiconductor materials, specifically TiO2, for photocatalysis of organic pollutants has gained global interest as an effective method for contaminant removal from wastewater. Titanium dioxide (TiO2) is a widely studied photocatalyst and is considered one of the best for wastewater treatments due to its high stability, affordability, and nontoxicity. The discharge of wastewater from the textile industries, which constitutes around 20% of total textile effluent, has become a significant environmental concern, posing a threat to both the aquatic ecosystem and human health. We aimed to investigate the photodegradation of organic dyes like Amaranth (AM), Methyl Orange (MO), and Quinoline Yellow (QY), individually and in combination, in an aqueous suspension with varying concentrations of TiO2. Results indicate a significant degradation of all three dyes in the multicomponent, with approximately 40% degradation in the presence of the 0.050 g/L TiO2 after 360 min. These findings suggest that TiO2 has a significant potential as a nanocatalyst in complex matrices. Full article
Show Figures

Figure 1

10 pages, 3034 KB  
Proceeding Paper
Spectrophotometric Determination of Amaranth Dye Using a Two-Step Green Cloud Point and Magnetic Solid-Phase Extraction Approach
by Remah A. Hassan and Zianab Tariq
Eng. Proc. 2023, 59(1), 244; https://doi.org/10.3390/engproc2023059244 - 4 Apr 2024
Cited by 4 | Viewed by 1468
Abstract
The present study introduces a two-step extraction methodology that integrates cloud point extraction (CPE) with magnetic solid-phase extraction (MSPE) for the extraction and quantification of amaranth dye. Initially, the dye is extracted using CPE in the micellar phase of the non-ionic surfactant Triton [...] Read more.
The present study introduces a two-step extraction methodology that integrates cloud point extraction (CPE) with magnetic solid-phase extraction (MSPE) for the extraction and quantification of amaranth dye. Initially, the dye is extracted using CPE in the micellar phase of the non-ionic surfactant Triton X-114. Subsequently, hydrophobic tetraethyl orthosilicate (TEOS)-modified Fe 3O 4 magnetic nanoparticles (MNPs) are employed to recover the micellar phase. A comprehensive evaluation was conducted to optimize the key parameters influencing the efficacy of both CPE and MSPE techniques, as well as signal enhancement. Under optimized conditions, the proposed methodology exhibited a linear response in the concentration range of 10 to 90 μg Kg 1, with a correlation coefficient (R2) of 0.9945. The detection limit was determined to be 8.443 μg g 1. This robust and environmentally friendly approach offers a promising avenue for the accurate and efficient determination of amaranth dye in various applications. Full article
(This article belongs to the Proceedings of Eng. Proc., 2023, RAiSE-2023)
Show Figures

Figure 1

11 pages, 3523 KB  
Article
Combination of Artificial Neural Networks and Principal Component Analysis for the Simultaneous Quantification of Dyes in Multi-Component Aqueous Mixtures
by Julio Cesar Estrada-Moreno, Eréndira Rendon-Lara and María de la Luz Jiménez-Núñez
Appl. Sci. 2024, 14(2), 809; https://doi.org/10.3390/app14020809 - 17 Jan 2024
Cited by 1 | Viewed by 1554
Abstract
Dyes are organic compounds capable of transmitting their color to materials, which is why they are widely used, for example, in textile fibers, leather, paper, plastic, and the food industry. In the dying process, measuring the dye’s content is extremely important to evaluate [...] Read more.
Dyes are organic compounds capable of transmitting their color to materials, which is why they are widely used, for example, in textile fibers, leather, paper, plastic, and the food industry. In the dying process, measuring the dye’s content is extremely important to evaluate the process efficiency and minimize the dye’s discharge in wastewater, but most of the time, dyes are present in multi-component mixtures; hence, quantification by spectrophotometric methods presents a great challenge because the signal obtained in the measurement overlaps the components in the mixture. In order to overcome this issue, the use of the high-performance liquid chromatography (HPLC) method is recommended; however, it has the disadvantage of being an expensive technique, complex, and requiring excessive sample preparation. In recent years, some direct spectrophotometric methods based on multivariate regression algorithms for the quantification of dyes in bicomponent mixtures have been reported. This study presents a new framework that uses a combined ANN and principal component analysis (PCA) model for the determination of the concentration of three dyes in aqueous mixtures: Tartrazine (TZ), Amaranth Red (AR), and Blue 1 CFC (B1) dyes. The PCA–ANN model was trained and validated with ternary mixture samples of TZ, AR, and B1, and with known different compositions, spectra absorbance samples were measured in a UV-Vis spectrophotometer at wavelengths between 350–700 nm with intervals of 1 nm. The PCA–ANN model showed a mean absolute prediction error and correlation coefficient (r2) of less than 1% and greater than 0.99, respectively. The results demonstrate that the PCA–ANN model is a quick and highly accurate alternative in the simultaneous determination of dyes in ternary aqueous mixtures. Full article
Show Figures

Figure 1

17 pages, 6704 KB  
Article
Preparation of g-C3N4/Bismuth Iodide/Tourmaline Composites and Their Photodegradation Performance of Amaranthine
by Junsheng Li, Jiahui Li, Liming Jiang, Meiyan Xu, Zhi Xia, Chong Tan, Yuyang Wang and Jinlong Zuo
Coatings 2023, 13(12), 1983; https://doi.org/10.3390/coatings13121983 - 22 Nov 2023
Cited by 1 | Viewed by 1270
Abstract
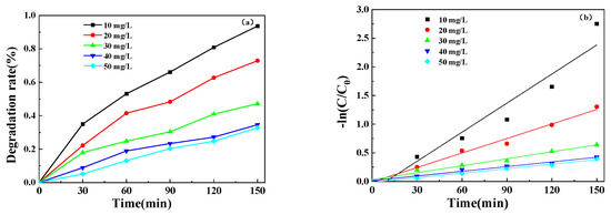
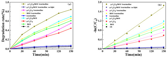
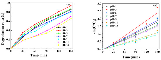
In this study, g-C3N4/BiOI/tourmaline composites were synthesized by loading BiOI and tourmaline on g-C3N4 nanofilms using g-C3N4, BiOI, and tourmaline as raw materials, aiming to optimize the photocatalytic degradation of amaranth red [...] Read more.
In this study, g-C3N4/BiOI/tourmaline composites were synthesized by loading BiOI and tourmaline on g-C3N4 nanofilms using g-C3N4, BiOI, and tourmaline as raw materials, aiming to optimize the photocatalytic degradation of amaranth red dye wastewater (AR). Single-factor experiments were conducted to optimize the degradation process. The findings indicate that a degradation rate of 95.88% can be achieved for AR within 150 min of light exposure, given a g-C3N4/BiOI/tourmaline dosage of 1 g/L, an initial pH level of 3 for the AR, and an initial AR concentration of 10 mg/L. Upon repeating the experiment for five cycles, the composite exhibited 83.10% activity, demonstrating its stability. Various analytical techniques were employed for material characterization: X-ray diffractometry (XRD) to ascertain the crystalline structure, field-emission scanning electron microscopy (FESEM) to evaluate morphology, X-ray photoelectron spectroscopy (XPS) for elemental analysis, ultraviolet–visible diffuse reflectance spectroscopy (UV-vis DRS) for optical properties, and photoluminescence (PL) spectroscopy to analyze the recombination of excited electrons and holes. Free radical masking experiments further elucidated the photocatalytic mechanism, revealing that the primary active species in the degradation process is the superoxide anion (O2). This research offers a novel approach to address the limitations of n-type metal-free semiconductor photocatalysts. Full article
Show Figures

Figure 1

16 pages, 4828 KB  
Article
Surface Modification of ZnO with Sn(IV)-Porphyrin for Enhanced Visible Light Photocatalytic Degradation of Amaranth Dye
by Nirmal Kumar Shee and Hee-Joon Kim
Molecules 2023, 28(18), 6481; https://doi.org/10.3390/molecules28186481 - 7 Sep 2023
Cited by 19 | Viewed by 1977
Abstract
Two hybrid composite photocatalysts, denoted as SnP/AA@ZnO and SnP@ZnO, were fabricated by a reaction of trans-dihydroxo[5,10,15,20-tetrakis(4-pyridyl)porphyrinato]tin(IV) (SnP) and ZnO with and without pretreatment of adipic acid (AA), respectively. In SnP@ZnO, SnP and ZnO are likely held together by a coordinative interaction between [...] Read more.
Two hybrid composite photocatalysts, denoted as SnP/AA@ZnO and SnP@ZnO, were fabricated by a reaction of trans-dihydroxo[5,10,15,20-tetrakis(4-pyridyl)porphyrinato]tin(IV) (SnP) and ZnO with and without pretreatment of adipic acid (AA), respectively. In SnP@ZnO, SnP and ZnO are likely held together by a coordinative interaction between the pyridyl N atoms of SnP and the Zn atoms on the surface of ZnO. In the case of SnP/AA@ZnO, the SnP centers were robustly coupled with ZnO nanoparticles through the AA anchors. SnP/AA@ZnO exhibited largely enhanced photocatalytic activities for the degradation of anionic amaranth (AM) dye under a visible light irradiation, compared to SnP, ZnO, and SnP@ZnO. The degradation efficiency of AM by SnP/AA@ZnO was 95% within 60 min at a rate constant of 0.048 min−1. The remarkable photocatalytic oxidation performance of SnP/AA@ZnO was mainly attributed to the synergistic effect between SnP and ZnO. This study is valuable for the development of highly effective composite photocatalytic systems in advanced oxidation processes and is of importance for the treatment of wastewater containing dyes. Full article
Show Figures

Figure 1

18 pages, 6974 KB  
Article
Application of Micron-Sized Zero-Valent Iron (ZVI) for Decomposition of Industrial Amaranth Dyes
by Dominika Ścieżyńska, Dominika Bury, Michał Jakubczak, Jan Bogacki, Agnieszka Jastrzębska and Piotr Marcinowski
Materials 2023, 16(4), 1523; https://doi.org/10.3390/ma16041523 - 11 Feb 2023
Cited by 1 | Viewed by 2569
Abstract
Dyes are highly toxic and persistent in the environment. Their presence in water causes environmental and social problems. Dyes must be effectively removed from the water. A UV/ZVI/H2O2 process was applied to decompose two organic dyes, AM E123 and AM [...] Read more.
Dyes are highly toxic and persistent in the environment. Their presence in water causes environmental and social problems. Dyes must be effectively removed from the water. A UV/ZVI/H2O2 process was applied to decompose two organic dyes, AM E123 and AM ACID. A commercial ZVI product, Ferox Flow, was used, and its properties were determined using SEM and XRF. The zeta potential, surface area, and optical properties of ZVI were also determined. The efficiency of dye removal in optimal conditions was 85.5% and 80.85% for AM E123 and AM ACID, respectively. Complete decolorization was observed in all samples. The decomposition of both dyes occurred according to a modified pseudo-second-order reaction and there was a statistically significant correlation between the TOC decrease, pH, and process time. The catalyst was observed to have high stability, and this was not affected by the performance of the treatment process even after the third cycle, as confirmed by the results of the catalyst surface analysis and iron diffusion test. Slight differences in process efficiency were observed after each cycle. The need for only a small amount of catalyst to decompose AM E123 and AM ACID, coupled with the ability to reuse the catalyst without the need for prior preparation, may reduce catalyst purchase costs. Full article
(This article belongs to the Special Issue Novel Materials for Wastewater Treatment and Environmental Protection)
Show Figures

Figure 1

19 pages, 4678 KB  
Article
CuO Nanorods Immobilized Agar-Alginate Biopolymer: A Green Functional Material for Photocatalytic Degradation of Amaranth Dye
by Akshara Bassi, Kushal Qanungo, Imran Hasan, Alanoud Abdullah Alshayiqi, Alanood Sulaiman Ababtain and Fahad A. Alharthi
Polymers 2023, 15(3), 553; https://doi.org/10.3390/polym15030553 - 21 Jan 2023
Cited by 13 | Viewed by 2934
Abstract
The contamination of water is increasing day by day due to the increase of urbanization and population. Textile industries contribute to this by discarding their waste directly into water streams without proper treatment. A recent study explores the treatment potential of copper oxide [...] Read more.
The contamination of water is increasing day by day due to the increase of urbanization and population. Textile industries contribute to this by discarding their waste directly into water streams without proper treatment. A recent study explores the treatment potential of copper oxide nanorods (CuO NRs) synthesized on a green basis in the presence of a biopolymer matrix of agar (AA) and alginate (Alg), in terms of cost effectiveness and environmental impact. The synthesized bio nanocomposite (BNC) was characterized by using different instrumental techniques such as Fourier transform infrared spectroscopy (FTIR), X-ray diffraction (XRD), ultra-violet spectroscopy (UV-Vis), scanning electron microscopy-energy dispersive X-ray-elemental analysis (SEM-EDX), transmission electron microscopy (TEM), selected area diffraction pattern (SAED) and X-ray photoelectron spectroscopy (XPS). The optical studies revealed that immobilization of CuO NRs with Alg-Agar biopolymer blend resulted in an increase in light absorption capacity by decreasing the energy bandgap from 2.53 eV to 2.37 eV. The bio nanocomposite was utilized as a photocatalyst for the degradation of amaranth (AN) dye from an aquatic environment under visible light irradiation. A statistical tool known as central composite design (CCD) associated with response surface methodology (RSM) was taken into consideration to evaluate the optimized values of process variables and their synergistic effect on photocatalytic efficiency. The optimized values of process variables were found to be irradiation time (45 min), AN concentration (80 ppm), catalyst dose (20 mg), and pH (4), resulting in 95.69% of dye degradation at 95% confidence level with desirability level 1. The rate of AN degradation was best defined by pseudo-first-order reaction based on the correlation coefficient value (R2 = 0.99) suggesting the establishment of adsorption-desorption equilibrium initially at the catalyst surface then photogenerated O2 radicals interacting with AN molecule to mineralize them into small non-toxic entities like CO2, H2O. The material used has high efficiency and stability in photocatalytic degradation experiments up to four cycles of reusability. Full article
(This article belongs to the Special Issue Functional Alginate-Based Materials III)
Show Figures

Figure 1

13 pages, 2947 KB  
Article
In Situ Electrospun Porous MIL-88A/PAN Nanofibrous Membranes for Efficient Removal of Organic Dyes
by Hao Wu, Le Xu, Jiao Jia, Fengchun Dong, Yongtang Jia and Xi Liu
Molecules 2023, 28(2), 760; https://doi.org/10.3390/molecules28020760 - 12 Jan 2023
Cited by 17 | Viewed by 3581
Abstract
In recent years, metal–organic framework (MOF)-based nanofibrous membranes (NFMs) have received extensive attention in the application of water treatment. Hence, it is of great significance to realize a simple and efficient preparation strategy of MOF-based porous NFMs. Herein, we developed a direct in [...] Read more.
In recent years, metal–organic framework (MOF)-based nanofibrous membranes (NFMs) have received extensive attention in the application of water treatment. Hence, it is of great significance to realize a simple and efficient preparation strategy of MOF-based porous NFMs. Herein, we developed a direct in situ formation of MOF/polymer NFMs using an electrospinning method. The porous MOF/polymer NFMs were constructed by interconnecting mesopores in electrospun composite nanofibers using poly(vinylpolypyrrolidone) (PVP) as the sacrificial pore-forming agent. MOF (MIL-88A) particles were formed inside the polyacrylonitrile (PAN)/PVP nanofibers in situ during electrospinning, and the porous MIL-88A/PAN (pMIL-88A/PAN) NFM was obtained after removing PVP by ethanol and water washing. The MOF particles were uniformly distributed throughout the pMIL-88A/PAN NFM, showing a good porous micro-nano morphological structure of the NFM with a surface area of 143.21 m2 g−1, which is conducive to its efficient application in dye adsorption and removal. Specifically, the dye removal efficiencies of the pMIL-88A/PAN NFM for amaranth red, rhodamine B, and acid blue were as high as 99.2, 94.4, and 99.8%, respectively. In addition, the NFM still showed over 80% dye removal efficiencies after five adsorption cycles. The pMIL-88A/PAN NFM also presented high adsorption capacities, fast adsorption kinetics, and high cycling stabilities during the processes of dye adsorption and removal. Overall, this work demonstrates that the in situ electrospun porous MOF/polymer NFMs present promising application potential in water treatment for organic dyestuff removal. Full article
(This article belongs to the Special Issue Metal Organic Frameworks: Synthesis and Application II)
Show Figures

Figure 1

12 pages, 6278 KB  
Article
Role of Post-Hydrothermal Treatment on the Microstructures and Photocatalytic Activity of TiO2-Based Nanotubes
by Mohammad Qamar, Shabi Abbas Zaidi, Mohd Rafatullah, Mohammad Qutob, Sun-Jae Kim and Qasem A. Drmosh
Catalysts 2022, 12(7), 702; https://doi.org/10.3390/catal12070702 - 27 Jun 2022
Cited by 8 | Viewed by 2447
Abstract
The present study demonstrates the thermal stability and photocatalytic activity of TiO2-based nanotubes with respect to post-hydrothermal treatment. Titanate nanotubes were synthesized by adapting an alkali hydrothermal method from TiO2 sol using NaOH as a catalyst. The effect of post-hydrothermal [...] Read more.
The present study demonstrates the thermal stability and photocatalytic activity of TiO2-based nanotubes with respect to post-hydrothermal treatment. Titanate nanotubes were synthesized by adapting an alkali hydrothermal method from TiO2 sol using NaOH as a catalyst. The effect of post-hydrothermal heating on the properties—such as structure, morphology, textural properties, and activity—of as-synthesized one-dimensional titania nanostructure is investigated in detail. The characterizations are carried out using SEM, EDX, TEM, XRD, and a BET surface area analyzer. When heated in the presence of water in an autoclave, the protonated titanate phase of the nanotubes converts to anatase phase. Meanwhile, the tubular morphology is gradually lost as the post-hydrothermal heating duration increases. The photocatalytic activity was assessed utilizing the photo-oxidation of an amaranth dye. It is discerned that the as-prepared nanotubes are photocatalytically inactive but become active after post-hydrothermal processing. The activity trend follows the formation of the active phase—the titanate phase crystallizes into a photocatalytically-active anatase phase during post-hydrothermal heating. The effect of experimental parameters, such as reaction pH, dye concentration, and amount of catalyst, on the dye removal is studied. The findings also highlight that the role of holes/OH is more prominent as compared to conduction band electron/O2−• for the removal of the dye. In addition, the photocatalyst exhibited excellent stability and reusability. Full article
(This article belongs to the Section Environmental Catalysis)
Show Figures

Figure 1

18 pages, 4445 KB  
Article
Ultralight, Mechanically Enhanced, and Thermally Improved Graphene-Cellulose-Polyethyleneimine Aerogels for the Adsorption of Anionic and Cationic Dyes
by Xiuya Wang, Pengbo Xie, Lan He, Yuwei Liang, Liang Zhang, Yuanyuan Miao and Zhenbo Liu
Nanomaterials 2022, 12(10), 1727; https://doi.org/10.3390/nano12101727 - 18 May 2022
Cited by 20 | Viewed by 2538
Abstract
Graphene-cellulose-polyethyleneimine aerogels (GA-MCC-PEI) were prepared using a simple, environmentally friendly method to remove anionic and cationic dyes in water. Graphene-cellulose hydrogels were prepared using a hydrothermal method and then immersed in a polyethyleneimine aqueous solution for 48 h to obtain graphene-cellulose-polyethyleneimine hydrogels, which [...] Read more.
Graphene-cellulose-polyethyleneimine aerogels (GA-MCC-PEI) were prepared using a simple, environmentally friendly method to remove anionic and cationic dyes in water. Graphene-cellulose hydrogels were prepared using a hydrothermal method and then immersed in a polyethyleneimine aqueous solution for 48 h to obtain graphene-cellulose-polyethyleneimine hydrogels, which were then freeze-dried. The light and porous composite aerogels had a good compression resistance, and the maximum allowable pressure of the graphene-cellulose-polyethyleneimine aerogel with a cellulose content of 43% was 21.76 kPa, which was 827 times its weight. Adsorption of the anionic dye amaranth and the cationic dye methylene blue by the graphene-cellulose-polyethyleneimine aerogel was satisfactorily modeled using the Langmuir isothermal equation, indicating monolayer adsorption. When the cellulose content was 39%, the equilibrium adsorption capacities of the composite aerogel for amaranth and methylene blue were 369.37 mg/g and 237.33 mg/g, respectively. This graphene-cellulose-polyethyleneimine aerogel can be used to remove dye pollutants in water to maintain ecological balance, thus broadening the application space of aerogel materials, that is, as adsorbents in different environments. Full article
Show Figures

Figure 1

12 pages, 2741 KB  
Article
Glassy Carbon Electrode Modified with N-Doped Reduced Graphene Oxide Sheets as an Effective Electrochemical Sensor for Amaranth Detection
by Hediyeh Moradpour, Hadi Beitollahi, Fariba Garkani Nejad and Antonio Di Bartolomeo
Materials 2022, 15(9), 3011; https://doi.org/10.3390/ma15093011 - 21 Apr 2022
Cited by 15 | Viewed by 2467
Abstract
Amaranth is one of the synthetic azo colorants used to improve the appearance and to increase the appeal of some foods and soft drinks. The excessive consumption of amaranth can be associated with health side effects, emphasizing the need to monitor this food [...] Read more.
Amaranth is one of the synthetic azo colorants used to improve the appearance and to increase the appeal of some foods and soft drinks. The excessive consumption of amaranth can be associated with health side effects, emphasizing the need to monitor this food dye. Accordingly, the present study aimed to introduce an electrochemical sensor of glassy carbon electrode (GCE) modified with N-doped reduced graphene oxide (N-rGO), N-rGO/GCE, to detect the amaranth sensitively and rapidly. Several electrochemical techniques such as differential pulse voltammetry (DPV), linear sweep voltammetry (LSV), chronoamperometry (CHA), and cyclic voltammetry (CV) are exploited for the evaluation of the efficiency of the developed electrode for the detection of amaranth. We found that N-rGO/GCE enhanced amaranth oxidation, thus significantly elevating the current signal. Amaranth showed that calibration curves ranged from 0.1 to 600.0 µM, and the limit of detection (LOD) (S/N = 3) was 0.03 μM. Finally, the developed sensor was effectively applied for real samples (tap water, apple juice, and orange juice) with acceptable recovery values from 96.0 to 104.3%. Full article
Show Figures

Figure 1

14 pages, 3260 KB  
Article
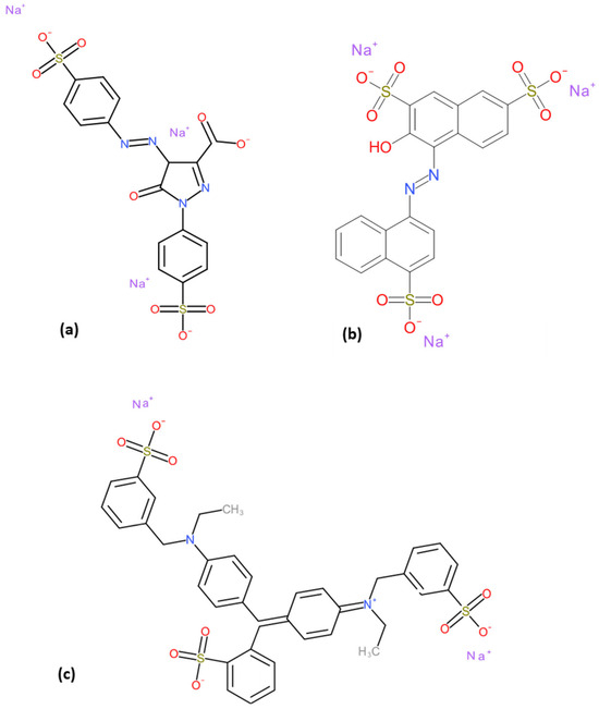
Simple HPLC-PDA Analysis to Determine Illegal Synthetic Dyes in Herbal Medicines
by Kyung-Yuk Ko, Eun-Young Choi, Se-Hee Jeong, Sohwa Kim, Choon-Kil Lee, Chulhyun Lee and Sooyeul Cho
Appl. Sci. 2021, 11(14), 6641; https://doi.org/10.3390/app11146641 - 20 Jul 2021
Cited by 2 | Viewed by 5176
Abstract
Various synthetic dyes are artificially added to herbal medicines for the purpose of visual attraction. In order to monitor the illegal usage of synthetic dyes in herbal medication, a rapid and straightforward analysis method to determine synthetic dyes is required. The study aimed [...] Read more.
Various synthetic dyes are artificially added to herbal medicines for the purpose of visual attraction. In order to monitor the illegal usage of synthetic dyes in herbal medication, a rapid and straightforward analysis method to determine synthetic dyes is required. The study aimed to develop and validate a high-performance liquid chromatography (HPLC) analysis to determine ten synthetic dyes in Hawthorn fruit, Cornus fruit, and Schisandra fruit. Ten synthetic dyes such as Tartrazine, Sunset yellow, Metanil yellow, Auramine O, Amaranth, Orange II, Acid red 73, Amaranth, New Coccine, Azorubine, and Erythrosine B, were extracted using 50 mM ammonium acetate in 70% MeOH; then separated by gradient elution with a mobile phase consisting of acetonitrile and 50 mM ammonium acetate in distilled water using a photodiode array detector (PDA) at 428 nm or 500 nm. In addition, this study established the LC-MS/MS method to confirm the existence of synthetic dyes in the positive sample solution. The HPLC analysis had good linearity (r2 > 0.999). The recoveries of this method ranged from 74.6~132.1%, and the relative standard deviation (RSD) values were less than 6.9%. Most of the samples fulfilled the acceptance criteria of the AOAC guideline. This study demonstrates that the HPLC analysis can be applied to determine ten synthetic dyes in herbal medication. Full article
(This article belongs to the Special Issue Novel Achievements in Food Analytical Methodologies)
Show Figures

Graphical abstract

Back to TopTop