Sign in to use this feature.

Years

Between: -

Subjects

remove_circle_outline
remove_circle_outline
remove_circle_outline
remove_circle_outline
remove_circle_outline
remove_circle_outline
remove_circle_outline
remove_circle_outline
remove_circle_outline

Journals

remove_circle_outline
remove_circle_outline
remove_circle_outline
remove_circle_outline
remove_circle_outline
remove_circle_outline
remove_circle_outline
remove_circle_outline
remove_circle_outline

Article Types

Countries / Regions

remove_circle_outline
remove_circle_outline
remove_circle_outline
remove_circle_outline
remove_circle_outline

Search Results (1,013)

Search Parameters:
Keywords = adaptive gate

Order results
Result details
Results per page
Select all
Export citation of selected articles as:
38 pages, 1559 KB  
Article
ALF-MoE: An Attention-Based Learnable Fusion of Specialized Expert Networks for Accurate Traffic Classification
by Jisi Chandroth, Gabriel Stoian and Daniela Danciulescu
Mathematics 2026, 14(3), 525; https://doi.org/10.3390/math14030525 (registering DOI) - 1 Feb 2026
Abstract
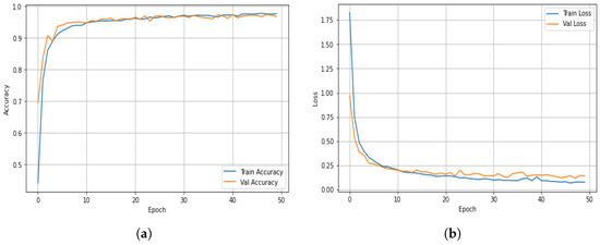
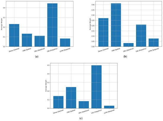
Traffic classification remains a critical challenge in the Internet of Things (IoT), particularly for enhancing security and ensuring Quality of Service (QoS). Although deep learning methods have shown strong performance in traffic classification, learning diverse and complementary representations across heterogeneous network traffic patterns [...] Read more.
Traffic classification remains a critical challenge in the Internet of Things (IoT), particularly for enhancing security and ensuring Quality of Service (QoS). Although deep learning methods have shown strong performance in traffic classification, learning diverse and complementary representations across heterogeneous network traffic patterns remains difficult. To address this issue, this study proposes a novel Mixture of Experts (MoE) architecture for multiclass traffic classification in IoT environments. The proposed model integrates five specialized expert networks, each targeting a distinct feature category in network traffic. Specifically, it employs a Dense Neural Network for general features, a Convolutional Neural Network (CNN) for spatial patterns, a Gated Recurrent Unit (GRU)-based model for statistical variations, a Convolutional Autoencoder (CAE) for frequency-domain representations, and a Long Short-Term Memory (LSTM) for temporal dependencies. A dynamic gating mechanism, coupled with an Attention-based Learnable Fusion (ALF) module, adaptively aggregates the experts’ outputs to produce the final classification decision. The proposed ALF-MoE model was evaluated on three public benchmark datasets, such as ISCX VPN-nonVPN, Unicauca, and UNSW-IoTraffic, achieving accuracies of 98.43%, 98.96%, and 97.93%, respectively. These results confirm its effectiveness and reliability across diverse scenarios. It also outperforms baseline methods in terms of its accuracy and the F1-score. Full article
Show Figures

Figure 1

19 pages, 772 KB  
Article
EVformer: A Spatio-Temporal Decoupled Transformer for Citywide EV Charging Load Forecasting
by Mengxin Jia and Bo Yang
World Electr. Veh. J. 2026, 17(2), 71; https://doi.org/10.3390/wevj17020071 (registering DOI) - 31 Jan 2026
Abstract
Accurate forecasting of citywide electric vehicle (EV) charging load is critical for alleviating station-level congestion, improving energy dispatching, and supporting the stability of intelligent transportation systems. However, large-scale EV charging networks exhibit complex and heterogeneous spatio-temporal dependencies, and existing approaches often struggle to [...] Read more.
Accurate forecasting of citywide electric vehicle (EV) charging load is critical for alleviating station-level congestion, improving energy dispatching, and supporting the stability of intelligent transportation systems. However, large-scale EV charging networks exhibit complex and heterogeneous spatio-temporal dependencies, and existing approaches often struggle to scale with increasing station density or long forecasting horizons. To address these challenges, we develop a modular spatio-temporal prediction framework that decouples temporal sequence modeling from spatial dependency learning under an encoder–decoder paradigm. For temporal representation, we introduce a global aggregation mechanism that compresses multi-station time-series signals into a shared latent context, enabling efficient modeling of long-range interactions while mitigating the computational burden of cross-channel correlation learning. For spatial representation, we design a dynamic multi-scale attention module that integrates graph topology with data-driven neighbor selection, allowing the model to adaptively capture both localized charging dynamics and broader regional propagation patterns. In addition, a cross-step transition bridge and a gated fusion unit are incorporated to improve stability in multi-horizon forecasting. The cross-step transition bridge maps historical information to future time steps, reducing error propagation. The gated fusion unit adaptively merges the temporal and spatial features, dynamically adjusting their contributions based on the forecast horizon, ensuring effective balance between the two and enhancing prediction accuracy across multiple time steps. Extensive experiments on a real-world dataset of 18,061 charging piles in Shenzhen demonstrate that the proposed framework achieves superior performance over state-of-the-art baselines in terms of MAE, RMSE, and MAPE. Ablation and sensitivity analyses verify the effectiveness of each module, while efficiency evaluations indicate significantly reduced computational overhead compared with existing attention-based spatio-temporal models. Full article
(This article belongs to the Section Vehicle Management)
34 pages, 5295 KB  
Article
Adaptive Local–Global Synergistic Perception Network for Hydraulic Concrete Surface Defect Detection
by Zhangjun Peng, Li Li, Chuanhao Chang, Mingfei Wan, Guoqiang Zheng, Zhiming Yue, Shuai Zhou and Zhigui Liu
Sensors 2026, 26(3), 923; https://doi.org/10.3390/s26030923 (registering DOI) - 31 Jan 2026
Abstract
Surface defects in hydraulic concrete structures exhibit extreme topological heterogeneity. and are frequently obscured by unstructured environmental noise. Conventional detection models, constrained by fixed-grid convolutions, often fail to effectively capture these irregular geometries or suppress background artifacts. To address these challenges, this study [...] Read more.
Surface defects in hydraulic concrete structures exhibit extreme topological heterogeneity. and are frequently obscured by unstructured environmental noise. Conventional detection models, constrained by fixed-grid convolutions, often fail to effectively capture these irregular geometries or suppress background artifacts. To address these challenges, this study proposes the Adaptive Local–Global Synergistic Perception Network (ALGSP-Net). First, to overcome geometric constraints, the Defect-aware Receptive Field Aggregation and Adaptive Dynamic Receptive Field modules are introduced. Instead of rigid sampling, this design adaptively modulates the receptive field to align with defect morphologies, ensuring the precise encapsulation of slender cracks and interlaced spalling. Second, a dual-stream gating fusion strategy is employed to mitigate semantic ambiguity. This mechanism leverages global context to calibrate local feature responses, effectively filtering background interference while enhancing cross-scale alignment. Experimental results on the self-constructed SDD-HCS dataset demonstrate that the method achieves an average Precision of 77.46% and an mAP50 of 72.78% across six defect categories. Comparative analysis confirms that ALGSP-Net outperforms state-of-the-art benchmarks in both accuracy and robustness, providing a reliable solution for the intelligent maintenance of hydraulic infrastructure. Full article
(This article belongs to the Section Fault Diagnosis & Sensors)
30 pages, 1904 KB  
Review
Motion-Induced Errors in Buoy-Based Wind Measurements: Mechanisms, Compensation Methods, and Future Perspectives for Offshore Applications
by Dandan Cao, Sijian Wang and Guansuo Wang
Sensors 2026, 26(3), 920; https://doi.org/10.3390/s26030920 (registering DOI) - 31 Jan 2026
Abstract
Accurate measurement of sea-surface winds is critical for climate science, physical oceanography, and the rapidly expanding offshore wind energy sector. Buoy-based platforms—moored meteorological buoys, drifters, and floating LiDAR systems (FLS)—provide practical alternatives to fixed offshore structures, especially in deep water where bottom-founded installations [...] Read more.
Accurate measurement of sea-surface winds is critical for climate science, physical oceanography, and the rapidly expanding offshore wind energy sector. Buoy-based platforms—moored meteorological buoys, drifters, and floating LiDAR systems (FLS)—provide practical alternatives to fixed offshore structures, especially in deep water where bottom-founded installations are economically prohibitive. Yet these floating platforms are subject to continuous pitch, roll, heave, and yaw motions forced by wind, waves, and currents. Such six-degree-of-freedom dynamics introduce multiple error pathways into the measured wind signal. This paper synthesizes the current understanding of motion-induced measurement errors and the techniques developed to compensate for them. We identify four principal error mechanisms: (1) geometric biases caused by sensor tilt, which can underestimate horizontal wind speed by 0.4–3.4% depending on inclination angle; (2) contamination of the measured signal by platform translational and rotational velocities; (3) artificial inflation of turbulence intensity by 15–50% due to spectral overlap between wave-frequency buoy motions and atmospheric turbulence; and (4) beam misalignment and range-gate distortion specific to scanning LiDAR systems. Compensation strategies have progressed through four recognizable stages: fundamental coordinate-transformation and velocity-subtraction algorithms developed in the 1990s; Kalman-filter-based multi-sensor fusion emerging in the 2000s; Response Amplitude Operator modeling tailored to FLS platforms in the 2010s; and data-driven machine-learning approaches under active development today. Despite this progress, key challenges persist. Sensor reliability degrades under extreme sea states precisely when accurate data are most needed. The coupling between high-frequency platform vibrations and turbulence remains poorly characterized. No unified validation framework or benchmark dataset yet exists to compare methods across platforms and environments. We conclude by outlining research priorities: end-to-end deep-learning architectures for nonlinear error correction, adaptive algorithms capable of all-sea-state operation, standardized evaluation protocols with open datasets, and tighter integration of intelligent software with next-generation low-power sensors and actively stabilized platforms. Full article
(This article belongs to the Section Industrial Sensors)
20 pages, 59687 KB  
Article
GPRAformer: A Geometry-Prior Rational-Activation Transformer for Denoising Multibeam Sonar Point Clouds of Exposed Subsea Pipelines
by Jingyao Zhang, Song Dai, Weihua Jiang, Xuerong Cui and Juan Li
Remote Sens. 2026, 18(3), 439; https://doi.org/10.3390/rs18030439 - 30 Jan 2026
Viewed by 27
Abstract
The detection of exposed subsea pipelines is a key task in current marine remote sensing, and multibeam echosounders (MBESs) are a primary instrument for detecting exposed pipelines. However, complex seabed environments interfere with acoustic echoes, introducing substantial noise points into MBES point-cloud data [...] Read more.
The detection of exposed subsea pipelines is a key task in current marine remote sensing, and multibeam echosounders (MBESs) are a primary instrument for detecting exposed pipelines. However, complex seabed environments interfere with acoustic echoes, introducing substantial noise points into MBES point-cloud data and substantially degrading its quality. Conventional point-cloud denoising methods struggle to suppress noise while simultaneously preserving pipeline integrity, whereas point-cloud noise-segmentation methods can better address this challenge. Nevertheless, noise-segmentation methods remain constrained by the lack of geometric priors and the presence of class imbalance. To address these issues, this paper proposes a geometry-prior and rational-activation Transformer for the MBES point-cloud denoising of exposed subsea pipelines (GPRAformer). The method comprises the following three core designs: a pipeline-informed prior encoder (PIPE) sampling module to enhance the separability between pipeline points and noise points; a rational-activated Kolmogorov–Arnold network transformer (RaKANsformer) feature extraction module that couples gated self-attention with KAN structures using rational-function activations for joint feature extraction, thereby strengthening global dependency modeling and nonlinear expressivity; and class-adaptive loss (CAL)-constrained noise-segmentation module that introduces intra-class consistency and inter-class separation constraints to mitigate false detections and miss detections arising from class imbalance. Evaluations on actual measured MBES point-cloud datasets show that, compared with the suboptimal model under each metric, GPRAformer achieves improvements of 6.83%, 1.78%, 5.12%, and 6.20% in mean intersection over union (mIoU), Accuracy, F1-score, and Recall, respectively. These results indicate a significant enhancement in overall segmentation performance. Therefore, GPRAformer can achieve high-precision and robust MBES point-cloud noise segmentation in complex seabed environments. Full article
23 pages, 5636 KB  
Article
Research on Interpretable Tourism Demand Forecasting Based on VSN–xLSTM Model
by Hanpo Hou and Haiying Wang
Systems 2026, 14(2), 146; https://doi.org/10.3390/systems14020146 - 30 Jan 2026
Viewed by 40
Abstract
To address the limitations of traditional tourism demand forecasting models in leveraging multi-source data and their lack of interpretability, this study proposes an integrated multi-data-driven interpretable forecasting framework incorporating historical visitor volumes, social media activities, holiday schedules, weather conditions, and seasonal indicators. This [...] Read more.
To address the limitations of traditional tourism demand forecasting models in leveraging multi-source data and their lack of interpretability, this study proposes an integrated multi-data-driven interpretable forecasting framework incorporating historical visitor volumes, social media activities, holiday schedules, weather conditions, and seasonal indicators. This study develops a system-oriented tourism demand forecasting framework that integrates a Variable Selection Network (VSN) and an enhanced long short-term memory (xLSTM) architecture to jointly model and interpret multi-source demand drivers. The VSN module employs a dynamic feature weighting mechanism to automatically discern distribution characteristics and relevance variations across heterogeneous data sources, thereby assigning adaptive weights to input variables. The xLSTM model incorporates innovative exponential gating and matrix memory structures, enabling rapid adaptation to sudden tourist flow fluctuations while effectively capturing long-term cyclical dependencies. By combining VSN-derived feature importance weights with SHAP-based prediction attribution analysis, this framework offers dual-level interpretability—in both input feature selection and output explanation. Experimental results demonstrate that social media data significantly reflect tourist attention and travel intention and reveal distinctive demand-driving mechanisms for various types of tourism destinations. The study provides theoretical insights and empirical support for advancing tourism demand forecasting and management strategies. Full article
Show Figures

Figure 1

28 pages, 8359 KB  
Article
Intelligent Evolutionary Optimisation Method for Ventilation-on-Demand Airflow Augmentation in Mine Ventilation Systems Based on JADE
by Gengxin Niu and Cunmiao Li
Buildings 2026, 16(3), 568; https://doi.org/10.3390/buildings16030568 - 29 Jan 2026
Viewed by 55
Abstract
For mine ventilation-on-demand (VOD) scenarios, conventional joint optimisation of airflow augmentation and energy saving in mine ventilation systems is often constrained in practical engineering applications by shrinkage of the feasible region, limited adjustable resistance margins, and strongly multi-modal objective functions. These factors tend [...] Read more.
For mine ventilation-on-demand (VOD) scenarios, conventional joint optimisation of airflow augmentation and energy saving in mine ventilation systems is often constrained in practical engineering applications by shrinkage of the feasible region, limited adjustable resistance margins, and strongly multi-modal objective functions. These factors tend to result in low solution efficiency, pronounced sensitivity to initial values and insufficient solution robustness. In response to these challenges, a two-layer intelligent evolutionary optimisation framework, termed ES–Hybrid JADE with Competitive Niching, is developed in this study. In the outer layer, four classes of evolutionary algorithms—CMAES, DE, ES, and GA—are comparatively assessed over 50 repeated test runs, with a combined ranking based on convergence speed and solution quality adopted as the evaluation metric. ES, with a rank_mean of 2.0, is ultimately selected as the global hyper-parameter self-adaptive regulator. In the inner layer, four algorithms—COBYLA, JADE, PSO and TPE—are compared. The results indicate that JADE achieves the best overall performance in terms of terminal objective value, multi-dimensional performance trade-offs and robustness across random seeds. Furthermore, all four inner-layer algorithms attain feasible solutions with a success rate of 1.0 under the prescribed constraints, thereby ensuring that the entire optimisation process remains within the feasible domain. The proposed framework is applied to an exhaust-type dual-fan ventilation system in a coal mine in Shaanxi Province as an engineering case study. By integrating GA-based automatic ventilation network drawing (longest-path/connected-path) with roadway sensitivity analysis and maximum resistance increment assessment, two solution schemes—direct optimisation and composite optimisation—are constructed and compared. The results show that, within the airflow augmentation interval [0.40, 0.55], the two schemes are essentially equivalent in terms of the optimal augmentation effect, whereas the computation time of the composite optimisation scheme is reduced significantly from approximately 29 min to about 13 s, and a set of multi-modal elite solutions can be provided to support dispatch and decision-making. Under global constraints, a maximum achievable airflow increment of approximately 0.66 m3·s−1 is obtained for branch 10, and optimal dual-branch and triple-branch cooperative augmentation combinations, together with the corresponding power projections, are further derived. To the best of our knowledge, prior VOD airflow-augmentation studies have not combined feasibility-region contraction (via sensitivity- and resistance-margin gating) with a two-layer ES-tuned JADE optimiser equipped with Competitive Niching to output multiple feasible optima. This work provides new insight that the constrained airflow-augmentation problem is intrinsically multimodal, and that retaining multiple basins of attraction yields dispatch-ready elite solutions while achieving orders-of-magnitude runtime reduction through prediction-based constraints. The study demonstrates that the proposed two-layer intelligent evolutionary framework combines fast convergence with high solution stability under strict feasibility constraints, and can be employed as an engineering algorithmic core for energy-efficiency co-ordination in mine VOD control. Full article
(This article belongs to the Section Building Energy, Physics, Environment, and Systems)
19 pages, 1767 KB  
Article
GCMark: Robust Image Watermarking with Gated Feature Selection and Cover-Guided Expansion
by Lingjun Zou, Yuheng Li and Wei Liu
Symmetry 2026, 18(2), 241; https://doi.org/10.3390/sym18020241 - 29 Jan 2026
Viewed by 140
Abstract
Deep learning-based methods have achieved promising performance in image watermarking tasks due to their powerful capability to fully exploit the rich information present in images, which is crucial for ensuring watermark robustness. Although existing methods have improved robustness against various distortions, directly using [...] Read more.
Deep learning-based methods have achieved promising performance in image watermarking tasks due to their powerful capability to fully exploit the rich information present in images, which is crucial for ensuring watermark robustness. Although existing methods have improved robustness against various distortions, directly using deep neural networks for feature extraction and watermark expansion often introduces irrelevant and redundant features, thereby limiting the watermarking model’s imperceptibility and robustness. To address these limitations, in this paper, we introduce a robust image watermarking framework (GCMark) based on Gated Feature Selection and Cover-Guided Expansion, which consists of two key components: (1) the Dual-Stage Gated Modulation Block (DSGMB) that serves as the core backbone of both the encoder and decoder, adaptively suppressing irrelevant or redundant activations to enable more precise watermark embedding and extraction; (2) the Cover-Guided Message Expansion Block (CGMEB), which exploits the cover image’s structural features to guide watermark message expansion. By promoting a structurally consistent and well-balanced fusion between the watermark and host image, this implicit symmetry facilitates stable watermark propagation and enhances resilience against various distortions without introducing noticeable visual artifacts. Extensive experimental results demonstrate that the proposed GCMark framework outperforms existing methods with respect to both robustness and imperceptibility. Full article
(This article belongs to the Special Issue Symmetries and Symmetry-Breaking in Data Security, 2nd Edition)
Show Figures

Figure 1

19 pages, 795 KB  
Article
A Confidence-Gated Hybrid CNN Ensemble for Accurate Detection of Parkinson’s Disease Using Speech Analysis
by Salem Titouni, Nadhir Djeffal, Massinissa Belazzoug, Boualem Hammache, Idris Messaoudene and Abdallah Hedir
Electronics 2026, 15(3), 587; https://doi.org/10.3390/electronics15030587 - 29 Jan 2026
Viewed by 76
Abstract
Parkinson’s Disease (PD) is a progressive neurodegenerative disorder for which early and reliable diagnosis remains challenging. To address this challenge, the key innovation of this work is a confidence-gated fusion mechanism that dynamically weights classifier outputs based on per-sample prediction certainty, overcoming the [...] Read more.
Parkinson’s Disease (PD) is a progressive neurodegenerative disorder for which early and reliable diagnosis remains challenging. To address this challenge, the key innovation of this work is a confidence-gated fusion mechanism that dynamically weights classifier outputs based on per-sample prediction certainty, overcoming the limitations of static ensemble strategies. Building on this idea, we propose a Confidence-Gated Hybrid CNN Ensemble that integrates CNN-based acoustic feature extraction with heterogeneous classifiers, including XGBoost, Support Vector Machines, and Random Forest. By adaptively modulating the contribution of each classifier at the sample level, the proposed framework enhances robustness against data imbalance, inter-speaker variability, and feature complexity. The method is evaluated on two benchmark PD speech datasets, where it consistently outperforms conventional machine learning and ensemble approaches, achieving a best classification accuracy of up to 97.9% while maintaining computational efficiency compatible with real-time deployment. These results highlight the effectiveness and clinical potential of confidence-aware ensemble learning for non-invasive PD detection. Full article
(This article belongs to the Section Bioelectronics)
Show Figures

Figure 1

17 pages, 1437 KB  
Article
Traffic Flow Prediction in Complex Transportation Networks via a Spatiotemporal Causal–Trend Network
by Xingyu Feng, Lina Sheng, Linglong Zhu, Yishan Feng, Chen Wei, Xudong Xiao and Haochen Wang
Mathematics 2026, 14(3), 443; https://doi.org/10.3390/math14030443 - 27 Jan 2026
Viewed by 99
Abstract
Traffic systems are quintessential complex systems, characterized by nonlinear interactions, multiscale dynamics, and emergent spatiotemporal patterns over complex networks. These properties make traffic prediction highly challenging, as it requires jointly modeling stable global topology and time-varying local dependencies. Existing graph neural networks often [...] Read more.
Traffic systems are quintessential complex systems, characterized by nonlinear interactions, multiscale dynamics, and emergent spatiotemporal patterns over complex networks. These properties make traffic prediction highly challenging, as it requires jointly modeling stable global topology and time-varying local dependencies. Existing graph neural networks often rely on predefined or static learnable graphs, overlooking hidden dynamic structures, while most RNN- or CNN-based approaches struggle with long-range temporal dependencies. This paper proposes a Spatiotemporal Causal–Trend Network (SCTN) tailored to complex transportation networks. First, we introduce a dual-path adaptive graph learning scheme: a static graph that captures global, topology-aligned dependencies of the complex network, and a dynamic graph that adapts to localized, time-varying interactions. Second, we design a Gated Temporal Attention Module (GTAM) with a causal–trend attention mechanism that integrates 1D and causal convolutions to reinforce temporal causality and local trend awareness while maintaining long-range attention. Extensive experiments on two real-world PeMS traffic flow datasets demonstrate that SCTN consistently achieves superior accuracy compared to strong baselines, reducing by 3.5–4.5% over the best-performing existing methods, highlighting its effectiveness for modeling the intrinsic complexity of urban traffic systems. Full article
(This article belongs to the Special Issue Advanced Machine Learning Research in Complex System)
21 pages, 9088 KB  
Article
GMM-Enhanced Mixture-of-Experts Deep Learning for Impulsive Dam-Break Overtopping at Dikes
by Hanze Li, Yazhou Fan, Luqi Wang, Xinhai Zhang, Xian Liu and Liang Wang
Water 2026, 18(3), 311; https://doi.org/10.3390/w18030311 - 26 Jan 2026
Viewed by 177
Abstract
Impulsive overtopping generated by dam-break surges is a critical hazard for dikes and flood-protection embankments, especially in reservoirs and mountainous catchments. Unlike classical coastal wave overtopping, which is governed by long, irregular wave trains and usually characterized by mean overtopping discharge over many [...] Read more.
Impulsive overtopping generated by dam-break surges is a critical hazard for dikes and flood-protection embankments, especially in reservoirs and mountainous catchments. Unlike classical coastal wave overtopping, which is governed by long, irregular wave trains and usually characterized by mean overtopping discharge over many waves, these dam-break-type events are dominated by one or a few strongly nonlinear bores with highly transient overtopping heights. Accurately predicting the resulting overtopping levels under such impulsive flows is therefore important for flood-risk assessment and emergency planning. Conventional cluster-then-predict approaches, which have been proposed in recent years, often first partition data into subgroups and then train separate models for each cluster. However, these methods often suffer from rigid boundaries and ignore the uncertainty information contained in clustering results. To overcome these limitations, we propose a GMM+MoE framework that integrates Gaussian Mixture Model (GMM) soft clustering with a Mixture-of-Experts (MoE) predictor. GMM provides posterior probabilities of regime membership, which are used by the MoE gating mechanism to adaptively assign expert models. Using SPH-simulated overtopping data with physically interpretable dimensionless parameters, the framework is benchmarked against XGBoost, GMM+XGBoost, MoE, and Random Forest. Results show that GMM+MoE achieves the highest accuracy (R2=0.9638 on the testing dataset) and the most centralized residual distribution, confirming its robustness. Furthermore, SHAP-based feature attribution reveals that relative propagation distance and wave height are the dominant drivers of overtopping, providing physically consistent explanations. This demonstrates that combining soft clustering with adaptive expert allocation not only improves accuracy but also enhances interpretability, offering a practical tool for dike safety assessment and flood-risk management in reservoirs and mountain river valleys. Full article
Show Figures

Figure 1

27 pages, 49730 KB  
Article
AMSRDet: An Adaptive Multi-Scale UAV Infrared-Visible Remote Sensing Vehicle Detection Network
by Zekai Yan and Yuheng Li
Sensors 2026, 26(3), 817; https://doi.org/10.3390/s26030817 - 26 Jan 2026
Viewed by 184
Abstract
Unmanned Aerial Vehicle (UAV) platforms enable flexible and cost-effective vehicle detection for intelligent transportation systems, yet small-scale vehicles in complex aerial scenes pose substantial challenges from extreme scale variations, environmental interference, and single-sensor limitations. We present AMSRDet (Adaptive Multi-Scale Remote Sensing Detector), an [...] Read more.
Unmanned Aerial Vehicle (UAV) platforms enable flexible and cost-effective vehicle detection for intelligent transportation systems, yet small-scale vehicles in complex aerial scenes pose substantial challenges from extreme scale variations, environmental interference, and single-sensor limitations. We present AMSRDet (Adaptive Multi-Scale Remote Sensing Detector), an adaptive multi-scale detection network fusing infrared (IR) and visible (RGB) modalities for robust UAV-based vehicle detection. Our framework comprises four novel components: (1) a MobileMamba-based dual-stream encoder extracting complementary features via Selective State-Space 2D (SS2D) blocks with linear complexity O(HWC), achieving 2.1× efficiency improvement over standard Transformers; (2) a Cross-Modal Global Fusion (CMGF) module capturing global dependencies through spatial-channel attention while suppressing modality-specific noise via adaptive gating; (3) a Scale-Coordinate Attention Fusion (SCAF) module integrating multi-scale features via coordinate attention and learned scale-aware weighting, improving small object detection by 2.5 percentage points; and (4) a Separable Dynamic Decoder generating scale-adaptive predictions through content-aware dynamic convolution, reducing computational cost by 48.9% compared to standard DETR decoders. On the DroneVehicle dataset, AMSRDet achieves 45.8% mAP@0.5:0.95 (81.2% mAP@0.5) at 68.3 Frames Per Second (FPS) with 28.6 million (M) parameters and 47.2 Giga Floating Point Operations (GFLOPs), outperforming twenty state-of-the-art detectors including YOLOv12 (+0.7% mAP), DEIM (+0.8% mAP), and Mamba-YOLO (+1.5% mAP). Cross-dataset evaluation on Camera-vehicle yields 52.3% mAP without fine-tuning, demonstrating strong generalization across viewpoints and scenarios. Full article
(This article belongs to the Special Issue AI and Smart Sensors for Intelligent Transportation Systems)
Show Figures

Figure 1

15 pages, 6259 KB  
Article
TopoAD: Resource-Efficient OOD Detection via Multi-Scale Euler Characteristic Curves
by Liqiang Lin, Xueyu Ye, Zhiyu Lin, Yunyu Kang, Shuwu Chen and Xiaolong Liu
Sustainability 2026, 18(3), 1215; https://doi.org/10.3390/su18031215 - 25 Jan 2026
Viewed by 219
Abstract
Out-of-distribution (OOD) detection is essential for ensuring the reliability of machine learning models deployed in safety-critical applications. Existing methods often rely solely on statistical properties of feature distributions while ignoring the geometric structure of learned representations. We propose TopoAD, a topology-aware OOD detection [...] Read more.
Out-of-distribution (OOD) detection is essential for ensuring the reliability of machine learning models deployed in safety-critical applications. Existing methods often rely solely on statistical properties of feature distributions while ignoring the geometric structure of learned representations. We propose TopoAD, a topology-aware OOD detection framework that leverages Euler Characteristic Curves (ECCs) extracted from intermediate convolutional activation maps and fuses them with standardized energy scores. Specifically, we employ a computationally efficient superlevel-set filtration with a local estimator to capture topological invariants, avoiding the high cost of persistent homology. Furthermore, we introduce task-adaptive aggregation strategies to effectively integrate multi-scale topological features based on the complexity of distribution shifts. We evaluate our method on CIFAR-10 against four diverse OOD benchmarks spanning far-OOD (Textures), near-OOD (SVHN), and semantic shift scenarios. Our results demonstrate that TopoAD-Gated achieves superior performance on far-OOD data with 89.98% AUROC on Textures, while the ultra-lightweight TopoAD-Linear provides an efficient alternative for near-OOD detection. Comprehensive ablation studies reveal that cross-layer gating effectively captures multi-scale topological shifts, while threshold-wise attention provides limited benefit and can degrade far-OOD performance. Our analysis demonstrates that topological features are particularly effective for detecting OOD samples with distinct structural characteristics, highlighting TopoAD’s potential as a sustainable solution for resource-constrained applications in texture analysis, medical imaging, and remote sensing. Full article
(This article belongs to the Special Issue Sustainability of Intelligent Detection and New Sensor Technology)
Show Figures

Figure 1

17 pages, 1686 KB  
Article
Dual-Flow GRU and Residual MLP Fusion PROP Based Coordinated Automatic Generation Control with Renewable Energies
by Wenzao Chen, Jianyong Zheng and Xiaoshun Zhang
Energies 2026, 19(3), 610; https://doi.org/10.3390/en19030610 - 24 Jan 2026
Viewed by 201
Abstract
With the growing penetration of renewable energy, automatic generation control (AGC) faces challenges like frequent frequency fluctuations and tie-line power deviations. Traditional proportional (PROP) allocation algorithms, limited by fixed weights, struggle to adapt to dynamic system changes. To address this, this study proposes [...] Read more.
With the growing penetration of renewable energy, automatic generation control (AGC) faces challenges like frequent frequency fluctuations and tie-line power deviations. Traditional proportional (PROP) allocation algorithms, limited by fixed weights, struggle to adapt to dynamic system changes. To address this, this study proposes a coordinated AGC allocation framework fusing a dual-flow Gate Recurrent Unit (GRU) with residual Multilayer Perceptron (MLP) based on PROP, preserving physical prior knowledge while learning adaptive correction terms. Validated on a provincial power grid, the proposed method reduces the cumulative absolute ACE (Sum) by about 0.3–0.9% compared with PROP under 10–100 MW step disturbances. Under random disturbances, it achieves larger reductions of about 3.2% (vs. PROP) and 4.8% (vs. MLP), while maintaining interpretability and deployment feasibility, improving the relevant performance indicators of AGC unit allocation while maintaining interpretability and deployment feasibility, providing an effective solution for AGC under high renewable energy penetration. Full article
Show Figures

Figure 1

27 pages, 1996 KB  
Article
Salient Object Detection for Optical Remote Sensing Images Based on Gated Differential Unit
by Mingsi Sun, Ting Lan, Wei Wang and Pingping Liu
Remote Sens. 2026, 18(3), 389; https://doi.org/10.3390/rs18030389 - 23 Jan 2026
Viewed by 143
Abstract
Salient object detection in optical remote sensing images has attracted extensive research interest in recent years. However, CNN-based methods are generally limited by local receptive fields, while ViT-based methods suffer from common defects in noise suppression, channel selection, foreground-background distinction, and detail enhancement. [...] Read more.
Salient object detection in optical remote sensing images has attracted extensive research interest in recent years. However, CNN-based methods are generally limited by local receptive fields, while ViT-based methods suffer from common defects in noise suppression, channel selection, foreground-background distinction, and detail enhancement. To address these issues and integrate long-distance contextual dependencies, we introduce GDUFormer, an ORSI-SOD detection method based on the ViT backbone and Gated Differential Units (GDU). Specifically, the GDU consists of two key components—Full-Dimensional Gated Attention (FGA) and Hierarchical Differential Dynamic Convolution (HDDC). FGA consists of two branches aimed at filtering effective features from the information flow. The first branch focuses on aggregating spatial local information under multiple receptive fields and filters the local feature maps via a grouping mechanism. The second branch imitates the Vision Mamba to acquire high-level reasoning and abstraction capabilities, enabling weak channel filtering. HDDC primarily utilizes distance decay and hierarchical intensity difference capture mechanisms to generate dynamic kernel spatial weights, thereby facilitating the convolution kernel to fully mix long-range contextual dependencies. Among these, the intensity difference capture mechanism can adaptively divide hierarchies and allocate parameters according to kernel size, thus realizing varying levels of difference capture in the kernel space. Extensive quantitative and qualitative experiments demonstrate the effectiveness and rationality of GDUFormer and its internal components. Full article
Show Figures

Figure 1

Back to TopTop