Sign in to use this feature.

Years

Between: -

Subjects

remove_circle_outline
remove_circle_outline
remove_circle_outline
remove_circle_outline
remove_circle_outline
remove_circle_outline
remove_circle_outline
remove_circle_outline
remove_circle_outline

Journals

remove_circle_outline
remove_circle_outline
remove_circle_outline
remove_circle_outline
remove_circle_outline
remove_circle_outline
remove_circle_outline
remove_circle_outline
remove_circle_outline
remove_circle_outline
remove_circle_outline
remove_circle_outline
remove_circle_outline
remove_circle_outline
remove_circle_outline
remove_circle_outline
remove_circle_outline
remove_circle_outline

Article Types

Countries / Regions

remove_circle_outline
remove_circle_outline
remove_circle_outline
remove_circle_outline
remove_circle_outline
remove_circle_outline
remove_circle_outline
remove_circle_outline
remove_circle_outline
remove_circle_outline

Search Results (4,014)

Search Parameters:
Keywords = Zn content

Order results
Result details
Results per page
Select all
Export citation of selected articles as:
25 pages, 1822 KB  
Article
Differential Effects of Four Materials on Soil Properties and Phaseolus coccineus L. Growth in Contaminated Farmlands in Alpine Lead–Zinc Mining Areas, Southwest China
by Xiuhua He, Qian Yang, Weixi Meng, Xiaojia He, Yongmei He, Siteng He, Qingsong Chen, Fangdong Zhan, Jianhua He and Hui Bai
Agronomy 2025, 15(11), 2467; https://doi.org/10.3390/agronomy15112467 - 23 Oct 2025
Abstract
Soils in alpine mining areas suffer from severe heavy metal contamination and infertility, yet little is known about the effects of different materials on soil improvement in such regions. In this study, a field experiment was conducted in farmlands contaminated by the Lanping [...] Read more.
Soils in alpine mining areas suffer from severe heavy metal contamination and infertility, yet little is known about the effects of different materials on soil improvement in such regions. In this study, a field experiment was conducted in farmlands contaminated by the Lanping lead–zinc mine in Yunnan, China, to compare the effects of four materials (biochar, organic fertilizer, lime, and sepiolite) on soil properties, heavy metal (lead (Pb), cadmium (Cd), copper (Cu), and zinc (Zn) fractions and their availability, and the growth of Phaseolus coccineus L. Results showed that biochar and organic fertilizer significantly enhanced soil nutrient content and enzyme activities. Lime, biochar, and sepiolite effectively reduced heavy metal bioavailability by promoting their transition to residual fractions. Notably, biochar outperformed other materials by substantially increasing grain yield (by 82%), improving nutritional quality (sugars, protein, and starch contents raised by 20–88%), and reducing heavy metal accumulation in grains (by 36–50%). A comprehensive evaluation based on subordinate function values confirmed biochar as the most effective amendment. Structural equation modeling further revealed that biochar promoted plant growth and grain quality primarily by enhancing soil available nutrients and immobilizing heavy metals. These findings demonstrate the strong potential of biochar for remediating heavy metal-contaminated farmlands in alpine lead–zinc mining regions. Full article
(This article belongs to the Section Soil and Plant Nutrition)
23 pages, 4653 KB  
Article
Assessment of the Accumulation Characteristics of Pollutants in the Soil of Permeable Pavement and the Risk of Heavy Metal Pollution Based on the Simulated Rainfall Experiment
by Bukai Song, Rubin Han, Hui Luo, Huiteng Wang, Hongxiu Leng, Wenbo Wu and Baojie He
Appl. Sci. 2025, 15(21), 11369; https://doi.org/10.3390/app152111369 - 23 Oct 2025
Abstract
In this study, aiming to determine the potential pollution risks to the soil foundation caused by permeable pavement after its operation, a fully permeable asphalt pavement system is constructed. Through an accelerated simulation of a three-year cumulative rainfall test, the cumulative characteristics of [...] Read more.
In this study, aiming to determine the potential pollution risks to the soil foundation caused by permeable pavement after its operation, a fully permeable asphalt pavement system is constructed. Through an accelerated simulation of a three-year cumulative rainfall test, the cumulative characteristics of pollutants in the soil foundation of the permeable asphalt pavement were studied, and a risk assessment of heavy metal pollution was carried out. The results show that N and P pollution is relatively serious. TN and NH4+-N decrease with the increase of the soil foundation depth (0–50 cm), and there is an obvious surface accumulation phenomenon. The average contents at a depth of 0–10 cm are 1219 mg/kg and 443 mg/kg, respectively. The content of TP first shows a decreasing trend and then an increasing one, and it faces the risks of surface accumulation and leaching loss in the middle and lower parts. Although the average contents of Cu, Pb and Zn at different depths all meet the requirements of the Soil Environmental Quality Standard (for agricultural land), they are all higher than the background values of soil elements in Jiangsu Province. Among them, Cu and Zn pose a considerable ecological risk to the environment, especially with serious enrichment in the surface layer. The above cumulative characteristics of pollutants in the fully permeable asphalt pavement provide reference value for extending the service life of the permeable pavement system. Full article
Show Figures

Figure 1

27 pages, 6753 KB  
Article
Holistic Ecosystem Assessment of the Mangalia–Limanu Coastal Lake (Black Sea, Romania)
by Ana Bianca Pavel, Catalina Gavrila, Irina Catianis, Gabriel Iordache, Florina Radulescu, Adrian Teaca and Laura Dutu
Limnol. Rev. 2025, 25(4), 51; https://doi.org/10.3390/limnolrev25040051 - 23 Oct 2025
Abstract
The Mangalia–Limanu coastal lake system, located in southeastern Romania along the Black Sea, represents a transitional aquatic environment shaped by the interplay between freshwater and marine influences. This study provides an integrated assessment of its physicochemical water parameters, sedimentological and geochemical properties, and [...] Read more.
The Mangalia–Limanu coastal lake system, located in southeastern Romania along the Black Sea, represents a transitional aquatic environment shaped by the interplay between freshwater and marine influences. This study provides an integrated assessment of its physicochemical water parameters, sedimentological and geochemical properties, and benthic macroinvertebrate communities, aiming to evaluate its current ecological status and environmental dynamics. Field measurements using a multiparameter sonde revealed a predominantly freshwater to oligohaline system with moderate spatial heterogeneity. DO levels frequently reached supersaturation (>180%), coupled with high pH (~9.1), indicating intense daytime photosynthetic activity. Conductivity, TDS, and salinity increased longitudinally toward the port water area, while nitrate concentrations showed stronger signals upstream. Sediments were dominated by organic matter (18–88%), with lower carbonate (3–53%) and siliciclastic (8–49%) contents. Organic-rich deposits prevailed in the western-central sector, where reduced hydrodynamics and submerged vegetation favor autochthonous organic accumulation, whereas the eastern sector, exposed to marine action, showed more siliciclastic-rich substrates. Geochemical analyses revealed localized exceedances of Cr, Ni, Cu, Zn, and Pb regulatory thresholds (Order 161/2006), suggesting potential contamination hotspots. Benthic communities included 26 taxa, dominated by polychaetas, gammarids, and gastropods, with moderate diversity (H′ < 2). The results highlight a system under moderate anthropogenic pressure but retaining transitional lagoon characteristics, emphasizing the need for continued ecological monitoring and integrated management measures. Full article
Show Figures

Figure 1

15 pages, 1260 KB  
Article
Effects of Tetrabasic Zinc Chloride as Alternative to High Doses of Zinc Oxide on Growth Performance, Nutrient Digestibility, Intestinal Morphology, Immune Function, and Gut Microbiota in Weaned Piglets
by Shuyu Peng, Jingzi Fang, Nan Zhang, Yi Chen, Yongxi Ma and Chunlin Wang
Animals 2025, 15(21), 3071; https://doi.org/10.3390/ani15213071 - 23 Oct 2025
Abstract
This study aimed to investigate the effects of dietary supplementation with TBZC on the growth performance, diarrhea incidence, antioxidant ability, immune function, and intestinal health of weaned piglets. A total of 120 weaned piglets were randomly allocated to one of three dietary treatments [...] Read more.
This study aimed to investigate the effects of dietary supplementation with TBZC on the growth performance, diarrhea incidence, antioxidant ability, immune function, and intestinal health of weaned piglets. A total of 120 weaned piglets were randomly allocated to one of three dietary treatments with six replicate pens and eight piglets per pen: CON—a basal diet; ZnO—a basal diet with 1500 mg Zn/kg from ZnO; and TBZC—a basal diet with 680 mg Zn/kg from TBZC. Following a 42-day period of consuming the zinc-enriched diet, the piglets were switched to a basal diet for the remaining 28 days of the trial. The dietary TBZC increased the average daily feed intake of weaned piglets (ADFI) from days 1 to 14 and the average daily growth (ADG) from days 43 to 70 compared with the ZnO group (p < 0.05). The supplementation with TBZC decreased the acid-binding capacity compared with the ZnO group (p < 0.05). Moreover, dietary TBZC decreased the MDA concentration and increased the GSH-Px concentration on day 14 and increased the SOD activity on day 28 and the GSH-Px concentration on day 70 compared with the ZnO group (p < 0.05). Compared with the ZnO group, the dietary TBAC supplementation increased (p < 0.05) the relative abundance of cecal Lactobacillus spp. and Blautia spp., while decreasing Blautia spp. in the colonic contents; increased (p < 0.05) the relative abundance of Prevotella spp. and Clostridium_sensu_stricto_1; and reduced (p < 0.05) Streptococcus spp. Therefore, replacing 1500 mg/kg of ZnO with 680 mg/kg of TBZC improves growth performance and antioxidant capacity and regulates gut microbes in weaned piglets. Full article
(This article belongs to the Section Pigs)
Show Figures

Figure 1

22 pages, 2214 KB  
Article
Influence of Calcination Temperature on the Structure and Antimicrobial Properties of Arthrospira platensis-Mediated Zinc Oxide Nanoparticles
by Noor Akhras, Abuzer Çelekli and Hüseyin Bozkurt
Pharmaceutics 2025, 17(11), 1367; https://doi.org/10.3390/pharmaceutics17111367 - 23 Oct 2025
Abstract
Background/Objectives: Arthrospira platensis (A. platensis) is a cyanobacterium rich in bioactive compounds with proven antioxidant, antimicrobial, and stabilizing properties, making it an ideal candidate for the green synthesis of zinc oxide nanoparticles (ZnO NPs). This study aimed to synthesize ZnO [...] Read more.
Background/Objectives: Arthrospira platensis (A. platensis) is a cyanobacterium rich in bioactive compounds with proven antioxidant, antimicrobial, and stabilizing properties, making it an ideal candidate for the green synthesis of zinc oxide nanoparticles (ZnO NPs). This study aimed to synthesize ZnO NPs using A. platensis extract and to evaluate the influence of post-synthesis temperature on their physicochemical and antimicrobial properties. Methods: ZnO NPs were synthesized via a co-precipitation method using A. platensis extract, followed by post-synthesis treatments at 80 °C and 400 °C. Comprehensive characterization was performed using Ultraviolet–Visible Spectroscopy (UV–Vis), Fourier Transform Infrared Spectroscopy (FT–IR), Field Emission Scanning Electron Microscopy (FE–SEM), and Energy Dispersive X-ray Spectroscopy (EDX) to assess optical, structural, and compositional features. Antioxidant activity (DPPH assay) and antimicrobial properties against Staphylococcus aureus, Escherichia coli, and Candida albicans were also evaluated. Results: FE–SEM analysis confirmed a temperature-dependent effect, with ZnO NPs synthesized at 80 °C appearing as polydispersed, irregular aggregates (45.2 ± 8.6 nm), while calcination at 400 °C yielded compact, angular nanoparticles (37.1 ± 6.3 nm). In contrast, pure ZnO NPs were smaller (26.4 ± 4.1 nm), and A. platensis extract alone showed amorphous, irregular structures. FTIR spectra demonstrated the involvement of biomolecules in nanoparticle capping and stabilization, whereas EDX analysis revealed that higher calcination reduced organic residues and increased zinc purity. Antioxidant assays indicated a decrease in phenolic and flavonoid content with increasing temperature, leading to reduced DPPH radical scavenging activity. Antimicrobial evaluation showed superior inhibition zones (17.8–26.0 mm) for A. platensis-ZnO NPs compared to the crude extract, with S. aureus being most susceptible, particularly to the 400 °C nanoparticles. Conclusions: The study demonstrates that A. platensis extract provides a sustainable and efficient route for ZnO NP biosynthesis. Calcination temperature significantly affects nanoparticle morphology, biochemical composition, and antimicrobial performance. These findings highlight the potential of A. platensis-ZnO NPs as eco-friendly antimicrobial agents for biomedical, pharmaceutical, and food preservation applications. Full article
Show Figures

Graphical abstract

16 pages, 3446 KB  
Article
Groundwater Heavy Metal Contamination and Health Risk Assessment: A Case Study of South Dongting Lake, China
by Shun Zhang and Bozhi Ren
Water 2025, 17(21), 3036; https://doi.org/10.3390/w17213036 - 22 Oct 2025
Abstract
To investigate the heavy metal contamination status and associated health risks in the groundwater of South Dongting Lake, China, 88 groundwater samples were collected and analyzed for the contents of heavy metals (Fe, Mn, Cu, Zn, As, Cd, Pb). The heavy metal pollution [...] Read more.
To investigate the heavy metal contamination status and associated health risks in the groundwater of South Dongting Lake, China, 88 groundwater samples were collected and analyzed for the contents of heavy metals (Fe, Mn, Cu, Zn, As, Cd, Pb). The heavy metal pollution characteristics and human health risks were comprehensively analyzed using a combined approach of the Heavy Metal Pollution Index (HPI), Heavy Metal Evaluation Index (HEI), Water Quality Index (WQI), and by integrating traditional health risk assessment with Monte Carlo simulation. The results indicated that manganese (Mn) and iron (Fe) were the most prominent pollutants in the regional groundwater, with exceedance rates of 35.3% and 25.0%, respectively. Arsenic (As) showed localized exceedances (13.91 μg/L, 1.39 times the standard limit). Spatially, contamination levels were higher in the north and lower in the south, with Fe, Mn, and As enrichment concentrated in the northern region, correlating with geological structures and industrial discharges. Health risk assessment revealed that the total carcinogenic risk (TCR) for children (1.82 × 10−4) exceeded the safety threshold by 82%, with arsenic being the primary carcinogen (contribution rate: 74.7%). The non-carcinogenic total hazard index (HI) reached 3.59 for adults and 6.54 for children, significantly exceeding the acceptable level of 1.0. Manganese was identified as the core non-carcinogenic risk source (Hazard Quotient (HQ) for children = 3.35). Monte Carlo simulation confirmed that pollutant concentration and exposure time were the most sensitive risk-driving factors. This study provides a scientific basis for prioritizing the control of As and Mn pollution in the northern region and implementing protective measures against children’s exposure. Full article
(This article belongs to the Section Hydrogeology)
Show Figures

Figure 1

16 pages, 820 KB  
Article
Sustainable Recovery of Valuable Constituents from Octopus (Octopus vulgaris) Cooking Liquor
by Ricardo Prego, Antonio Cobelo-García, Marcos Trigo, Susana Calvo and Santiago P. Aubourg
Sustainability 2025, 17(21), 9391; https://doi.org/10.3390/su17219391 - 22 Oct 2025
Abstract
Cooking liquor (CL) from marine species processing has been reported to include a wide range of valuable constituents. In this study, the chemical composition of CL from octopus (Octopus vulgaris) processing, with and without a filtration process, was analysed. Regarding non-filtered [...] Read more.
Cooking liquor (CL) from marine species processing has been reported to include a wide range of valuable constituents. In this study, the chemical composition of CL from octopus (Octopus vulgaris) processing, with and without a filtration process, was analysed. Regarding non-filtered CL, values of 15.30, 0.29, 8.85 and 174.53 g·L−1 CL for protein, lipids, ash, and total volatile base-nitrogen (TVB-N), respectively, were detected. The most abundant fatty acids (FAs) (g·100 g−1 total FAs) were C16:0 (37.8), C18:0 (20.8), and C22:6ω3 (13.4). Values of 0.40 and 2.10 were obtained for polyunsaturated FA/saturated FA and ω3 FA/ω6 FA ratios. Macroelement content varied from 0.036 (Ca) to 1.81 (Na) g·L−1 CL. For microelements, values ranged between 0.0015 (Co) and 1.95 (As) mg·L−1 CL. Industrial filtration of CL led to decreased values of protein, lipid, ash, TVB-N, and C22:5ω3; in contrast, an increased presence of C14:0, C18:1ω9, C20:1ω9, and C22:1ω9 was detected. Filtration led to a ca. 50% decrease in macroelement presence. For microelements, this process led to losses of 20–40% (Ba, Pb), 40–60% (As, Fe, Mn), 60–70% (Co, Zn), and 84% (Cd). This study provides a first comprehensive characterisation of octopus cooking liquor as a potential source of bioactive compounds. Full article
Show Figures

Figure 1

19 pages, 3686 KB  
Article
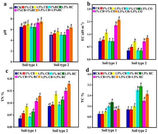
Crab Shell Biochar and Compost Synergistically Mitigate Heavy Metal Toxicity in Soil–Plant System
by Fozia Aslam, Arbab Jamait, Shengsen Wang, Muhammad Mahroz Hussain and Xiaozhi Wang
Agronomy 2025, 15(10), 2427; https://doi.org/10.3390/agronomy15102427 - 20 Oct 2025
Viewed by 153
Abstract
Addressing the threat of heavy metal contamination in agriculture, this study evaluated the efficacy of crab shell biochar (CB) and compost (CO) in immobilizing copper (Cu), zinc (Zn), and lead (Pb). The objective was to determine the impact of solitary and combined applications [...] Read more.
Addressing the threat of heavy metal contamination in agriculture, this study evaluated the efficacy of crab shell biochar (CB) and compost (CO) in immobilizing copper (Cu), zinc (Zn), and lead (Pb). The objective was to determine the impact of solitary and combined applications of CB and CO on soil physicochemical properties, nutrient availability, HMs bioavailability, subsequent growth, and oxidative stress responses in spinach plants. The experiment involved two soil types (clay loam and sandy clay loam) with differing initial properties, which were simultaneously spiked with 300 mg kg−1 Cu, 500 mg kg−1 Zn, and 400 mg kg−1 Pb, aged for 30 days, and then treated with varying doses of CB and CO (e.g., 1% and 1.5% w/w). Key results demonstrated that the combined application of 1.5% CB + 1.5% CO was most effective, significantly (p < 0.05) increasing soil pH and reducing DTPA-extractable Cu (by 53–64%), Zn (42–50%), and Pb (57–59%) in both soil types. This treatment also led to a pronounced decrease in the bioaccumulation factor (BF) of HMs in spinach, coupled with improved plant growth parameters (height, fresh/dry weight, chlorophyll content) and reduced oxidative stress (as indicated by lower levels of MDA and antioxidant enzymes). We conclude that the synergistic interaction between CB and CO creates a multi-mechanistic immobilization system, offering a highly effective strategy for the remediation of heavy metal-contaminated soils and the safe cultivation of crops. Full article
Show Figures

Figure 1

15 pages, 3248 KB  
Article
Toxic Metals in Surface Dust in Underground Parking Garages: Pollution Status, Risk and Disease Burden Assessment, and Source Apportionment
by Yong Wang, Tong Chao, Qidi Li, Zhiqiang Jiao, Xinling Ruan, Yuguang Wang, Shiji Ge and Yangyang Wang
Toxics 2025, 13(10), 895; https://doi.org/10.3390/toxics13100895 - 19 Oct 2025
Viewed by 217
Abstract
Surface dust serves as a significant carrier and potential source of various pollutants in urban environments. However, limited attention has been paid to toxic metals in underground parking garages’ (UPGs) surface dust. In this study, thirty surface dust samples were collected from UPGs [...] Read more.
Surface dust serves as a significant carrier and potential source of various pollutants in urban environments. However, limited attention has been paid to toxic metals in underground parking garages’ (UPGs) surface dust. In this study, thirty surface dust samples were collected from UPGs to determine the toxic metals contents, their risk and disease burden to local residents, and their potential source. The mean contents of V, Cr, Co, Ni, Cu, Zn, Cd, Sb, Pb, Hg, and As were 68.06, 126.48, 8.73, 27.68, 76.25, 287.07, 0.74, 4.28, 172.67, 0.24, and 8.66 mg/kg, respectively. Accumulation index revealed that the geoaccumulation index of Cr, Cu, Cd, Zn, Sb, Pb, and Hg ranged from 0.52 to 1.85. Pollution load index verified that the surface dust was slightly (56.67%), moderately (30.00%), or heavily polluted (13.33%). Risk assessment revealed that the total non-carcinogenic risks for children all exceeded the acceptable level (HI > 1.0). Notably, the carcinogenic burden reached 12.9 disability-adjusted life years per 100,000 population, with Cr contributing 84.1%. Furthermore, these toxic metals mainly derived from vehicle-related activities, use of coal, and the aging of decoration materials, and their accumulation in UPGs’ surface dust was almost unaffected by the essential conditions of residential areas. Full article
(This article belongs to the Special Issue Assessment and Remediation of Heavy Metal Contamination in Soil)
Show Figures

Graphical abstract

34 pages, 4311 KB  
Article
Impact of Pollution on Physico-Chemical Parameters and Diatom Communities Diversity in the Main Tributaries of the Arieș River, Romania
by Mirel Glevitzky, Mihai Teopent Corcheş and Doriana Maria Popa
Environments 2025, 12(10), 389; https://doi.org/10.3390/environments12100389 - 18 Oct 2025
Viewed by 264
Abstract
Human activities in the Apuseni Mountains region, Romania, especially in the Roșia Montană mining area, have significantly impacted water quality in the Arieș River tributaries. This study assessed the main physico-chemical and salinity parameters, along with the contents of trace elements (As, Cd, [...] Read more.
Human activities in the Apuseni Mountains region, Romania, especially in the Roșia Montană mining area, have significantly impacted water quality in the Arieș River tributaries. This study assessed the main physico-chemical and salinity parameters, along with the contents of trace elements (As, Cd, Co, Cr, Cu, Fe, Mn, and Ni) dissolved in water, as well as in the Abrud, Ștefanca, Valea Seșii, and Sârtaș rivers, the main tributaries of the Arieș River. Maximum concentrations of trace elements were observed in Valea Seșii (e.g., Zn up to 716 µg/L, Fe up to 562 µg/L), while Abrud and Sartăș showed moderate contamination. Diatom analysis revealed a high prevalence of Achnanthidium minutissimum and Planothidium lanceolatum, with teratological forms of A. minutissimum being the most frequent, indicating stress from pollutants. Saprobic index values ranged from 1.21 to 1.91, reflecting water quality from good to moderately impacted. The integration of chemical and biological data highlights the cumulative effects of mining and agricultural activities, demonstrating the utility of combined monitoring for effective freshwater management. Our results showed that numerous diatom taxa are currently present in samples collected from various watercourses within the Aries River basin, reflecting both the biological diversity and the variable influence of environmental factors on aquatic communities. Full article
Show Figures

Figure 1

20 pages, 2807 KB  
Article
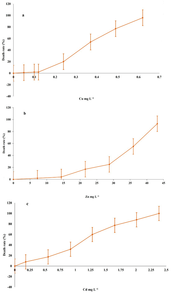
Heavy Metals Affect the Antioxidant Defences in the Soil Ciliate Rigidohymena tetracirrata
by Govindhasamay R. Varatharajan, Antonio Calisi, Santosh Kumar, Daizy Bharti, Arnab Ghosh, Shikha Singh, Amit C. Kharkwal, Martina Coletta, Francesco Dondero and Antonietta La Terza
J. Xenobiot. 2025, 15(5), 169; https://doi.org/10.3390/jox15050169 - 17 Oct 2025
Viewed by 280
Abstract
In this study, we evaluated the cytotoxicity and antioxidant activity of the soil ciliate Rigidohymena tetracirrata (Gellért, 1942) Berger 2011, exposed to single and bimetallic mixtures of heavy metals (HMs) for 24 h. Ecotoxicological tests showed LC20 values of 0.16, 19.86 and [...] Read more.
In this study, we evaluated the cytotoxicity and antioxidant activity of the soil ciliate Rigidohymena tetracirrata (Gellért, 1942) Berger 2011, exposed to single and bimetallic mixtures of heavy metals (HMs) for 24 h. Ecotoxicological tests showed LC20 values of 0.16, 19.86 and 0.68 mg L−1 to Copper (Cu), Zinc (Zn), and Cadmium (Cd), respectively, and LC50 values of 0.25, 44.12 and 1.12 mg L−1, respectively. Furthermore, it was observed that the mixture of Cd and Zn exhibited antagonism in comparison to other mixtures, (Cd + Cu and Cu + Zn). In the total phenolic content (TPC) assay, a higher phenolic content was observed for the LC20 of extracellular Cu (p ≤ 0.01) and the LC20 of intracellular Cd (p ≤ 0.001). The LC50 values for Cd and Zn in both extracellular and intracellular contents demonstrated increased α,α-diphenyl-β-picrylhydrazyl (DPPH) scavenging activity with significant values of p ≤ 0.05, respectively. Regarding hydroxyl scavenging activity (HRSA), the LC50 of extracellular Cd (p ≤ 0.001) and LC50 of intracellular Cu (p ≤ 0.001) exhibited higher antioxidant activity. Therefore, the present study suggests that R. tetracirrata holds considerable potential as bioindicators and could be used as a model organism in ecotoxicological studies of soil polluted by HMs. Full article
Show Figures

Graphical abstract

22 pages, 2147 KB  
Article
Assessment of the Impact of Metals in Wild Edible Mushrooms from Dambovita County, Romania, on Human Health
by Claudia Stihi and Crinela Dumitrescu
Foods 2025, 14(20), 3540; https://doi.org/10.3390/foods14203540 - 17 Oct 2025
Viewed by 294
Abstract
Edible wild mushrooms have considerable nutritional value, being widely used in Romania as a traditional food. Mushrooms are an important source of essential minerals for the optimal functioning of the body and can accumulate some toxic metals that affect human health, this being [...] Read more.
Edible wild mushrooms have considerable nutritional value, being widely used in Romania as a traditional food. Mushrooms are an important source of essential minerals for the optimal functioning of the body and can accumulate some toxic metals that affect human health, this being the reason to investigate their metal content, and the possible risks to human health associated with consuming mushrooms. Eighteen wild edible mushroom species from the forestry areas of Dâmbovița County, Romania, were analyzed for metal content using Energy-Dispersive X-ray Fluorescence with fundamental parameter methods (EDXRF-FP). The detected concentrations varied among species as follows: 6.309–88.745 mg/kg for Fe; 0.679–3.480 mg/kg for Cu; 5.115–25.942 mg/kg for Zn; 0.236–32.025 mg/kg for Mn; 0.033–4.507 mg/kg for Ni and 0.003–0.760 mg/kg for Cr. Pb and Cd were observed at low levels, with maximum concentrations of 0.886 mg/kg and 0.850 mg/kg, respectively, highlighting significant interspecific differences in metal content. The consumption of the studied mushroom species presents variable health risks associated with metal content. Adults were generally exposed to acceptable non-carcinogenic risks, although certain species possessed elevated carcinogenic risks due to Cu, Cr, and Cd. For children, non-carcinogenic risks were significant in cases of multiple species, indicating heightened vulnerability. Full article
(This article belongs to the Section Food Microbiology)
Show Figures

Figure 1

22 pages, 2510 KB  
Article
Bioavailable Forms of Heavy Metals and Se in Soil in the Vicinity of the Pechenganikel Smelting Plant and the Relationship with Mineral Composition and Antioxidant Status of Biocrusts
by Nadezhda Golubkina, Sergey Sheshnitsan, Andrew Koshevarov, Uliana Plotnikova, Evgeniya Sosna, Vladimir Lapchenko, Marina Antoshkina, Olga Khlebosolova, Natalia Polikarpova, Daniele Todisco and Gianluca Caruso
Standards 2025, 5(4), 28; https://doi.org/10.3390/standards5040028 - 14 Oct 2025
Viewed by 187
Abstract
The evaluation of bioavailable forms of heavy metals in zones of anthropogenic pollution is the basis of ecological risk assessment. The characterization of the consequences of the operation of the Pechenganikel smelting plant was carried out using AAS and two methods of soil [...] Read more.
The evaluation of bioavailable forms of heavy metals in zones of anthropogenic pollution is the basis of ecological risk assessment. The characterization of the consequences of the operation of the Pechenganikel smelting plant was carried out using AAS and two methods of soil bioavailable forms of heavy metal extraction (3% nitric acid and ammonium acetate buffer with pH 4.8) along three directions from the plant, corresponding to the wind prevalence. Buffer extraction provided more significant correlations between Ni, Co, Cu, Pb, and Zn, compared to nitric acid application, indicating a negative correlation between soil Cu, Co, and the distance from the plant, while no significant correlations were recorded for nitric acid extracts. A higher significant correlation number arose between soil elements in buffer extracts along the N-E direction than the S-W one. In the former direction, the number of the mentioned correlations decreased according to the following sequence: Zn (6) > Cu (5) > Se and Co (4) > Ni and Fe (3); in nitric acid extract, only significant correlations of Cu, Zn, and Se with Co and Ni were recorded. Biocrust formation was revealed only along the N-E direction, characterized by unexpected high Se concentrations and intensive correlation between Zn and all the elements extracted by the buffer. Biocrust accumulated high levels of all the elements tested and showed antioxidant activity and polyphenol content significantly correlated with soil organic matter. The biocrust mineral content demonstrated a complex relationship with soil Fe, Cu (buffer extract), and Se, as well as Co and Zn (nitric acid extract). Application of linear mixed-effects modelling and transfer factor analysis indicate that biocrusts may serve as effective bioindicators of both absolute metal contamination and its bioavailable fractions. The results indicate the expediency of using both methods of soil extraction for assessing the ecological risk and soil–biocrust relationships. Full article
Show Figures

Figure 1

16 pages, 2343 KB  
Article
The Vasomotor Impact of Cu/ZnSODs Is Higher in Arterial Smooth Muscle of Early Postnatal Rats Compared to Adult Animals
by Anastasia A. Shvetsova, Valentina S. Shateeva, Dmitry S. Semenovich, Rudolf Schubert and Dina K. Gaynullina
Antioxidants 2025, 14(10), 1231; https://doi.org/10.3390/antiox14101231 - 14 Oct 2025
Viewed by 376
Abstract
The mechanisms of vascular tone regulation during early postnatal ontogenesis differ considerably from those in adulthood. We tested the hypothesis that the vasomotor influence of superoxide dismutases is higher in arteries of rats shortly after birth compared to adult animals. Saphenous arteries of [...] Read more.
The mechanisms of vascular tone regulation during early postnatal ontogenesis differ considerably from those in adulthood. We tested the hypothesis that the vasomotor influence of superoxide dismutases is higher in arteries of rats shortly after birth compared to adult animals. Saphenous arteries of 10 to 15 day (“young”) and 3 to 4 month (“adult”) old rats were studied using quantitative PCR, spectrophotometry, Western blotting, and isometric myography. Sod3 mRNA was most abundant in both adult and young saphenous arteries. Total SOD activity, Cu/ZnSODs activity, and SOD3 protein content were higher in young compared to adult arteries. H2O2 caused vessel contraction, while elimination of H2O2 weakened contractile responses of endothelium-denuded young arteries. The Cu/ZnSOD inhibitor DETC had no influence on contraction of adult arteries, but weakened contraction of endothelium-denuded, but not endothelium-intact arteries of young rats. The latter effect was observed in the presence of the NO-synthase inhibitor L-NNA, but not with the soluble guanylate cyclase inhibitor ODQ. DETC had no effect in the presence of sodium nitroprusside. Thus, Cu/ZnSODs promote contraction of saphenous arteries in the early postnatal period, but not in adult age. This influence of Cu/ZnSODs is counteracted by endothelial NO in early postnatal arteries. Full article
(This article belongs to the Special Issue Oxidative Stress in the Newborn)
Show Figures

Figure 1

18 pages, 5063 KB  
Article
Analysis of the Effect of Transition-Metal Oxide Content on Reducing the Flammability of Polypropylene
by Jacek Iwko, Beata Anwajler, Roman Wróblewski, Oliwia Trzaska, Przemysław Postawa and Tomasz Jaruga
Polymers 2025, 17(20), 2734; https://doi.org/10.3390/polym17202734 - 12 Oct 2025
Viewed by 288
Abstract
Polypropylene (PP) exhibits high flammability (LOI ≈ 17.5%), which limits its industrial applications. Previous studies have primarily focused on the flame-retardant mechanisms of intumescent flame-retardant (IFR) systems, while less attention has been given to the role of inorganic synergistic additives in balancing flame [...] Read more.
Polypropylene (PP) exhibits high flammability (LOI ≈ 17.5%), which limits its industrial applications. Previous studies have primarily focused on the flame-retardant mechanisms of intumescent flame-retardant (IFR) systems, while less attention has been given to the role of inorganic synergistic additives in balancing flame retardancy with mechanical performance—an aspect crucial for commercial applications This study investigated the effect of small additions of zinc oxide (ZnO) and manganese oxide (MnO) on the flame-retardant, mechanical, and thermal properties of PP/IFR (APP + PER) composites. The oxide content was varied between 0 and 2 wt.%. LOI and UL-94 tests showed that as little as 0.25 wt.% increased LOI to 30% and enabled all materials to achieve a UL-94 V-0 classification. The highest performance was observed for ZnO (LOI = 43.7% at 1.5 wt.%), while MnO induced a linear increase up to 38.6% at 2 wt.%. SEM analysis confirmed the formation of a compact, foamed char layer. Mechanical testing revealed improved stiffness (~15%) and flexural strength (~20%), with unchanged tensile strength but reduced impact strength (−50% for ZnO, −30% for MnO). The HDT increased from 55 °C to 65 °C. These findings demonstrate that small amounts of ZnO and MnO act as effective and economically viable IFR synergists in PP composites. Full article
Show Figures

Figure 1

Back to TopTop