Sign in to use this feature.

Years

Between: -

Subjects

remove_circle_outline
remove_circle_outline
remove_circle_outline
remove_circle_outline
remove_circle_outline

Journals

Article Types

Countries / Regions

Search Results (22)

Search Parameters:
Keywords = Xiaomi Mi 8

Order results
Result details
Results per page
Select all
Export citation of selected articles as:
12 pages, 3301 KB  
Article
Comparison of Smart Bands with MEMS and Motion Tracking Systems Used in Running
by Andy Stamm, Ronny Hartanto and Noah Becker
Sensors 2025, 25(8), 2354; https://doi.org/10.3390/s25082354 - 8 Apr 2025
Viewed by 2499
Abstract
This research utilizes a self-developed inertial sensor in conjunction with a motion tracking system and four Smart Bands to record a runner’s movements and extract parameters such as step numbers, length, and frequencies at different running speeds. The data obtained were processed to [...] Read more.
This research utilizes a self-developed inertial sensor in conjunction with a motion tracking system and four Smart Bands to record a runner’s movements and extract parameters such as step numbers, length, and frequencies at different running speeds. The data obtained were processed to find the number of steps taken. These steps were also recorded by an IMU (inertial measurement unit) and motion tracking system (MoCap—Motion Capturing) and used to compare the different systems and find their agreement at different running speeds. The results show a very strong correlation between the IMU and the motion tracking system with r2 = 0.968 at 6 km/h, r2 = 0.991 at 8 km/h, r2 = 0.991 at 10 km/h, and r2 = 0.996 at 12 km/h. The Xiaomi Mi Band 2 showed an r2 = 0.861 at 6 km/h, r2 = 0.985 at 8 km/h, r2 = 0.977 at 10 km/h, and r2 = 0.987 at 12 km/h and can therefore be considered a good replacement for an IMU. Full article
(This article belongs to the Special Issue Inertial Sensing System for Motion Monitoring)
Show Figures

Figure 1

24 pages, 13331 KB  
Article
Decimeter-Level Accuracy for Smartphone Real-Time Kinematic Positioning Implementing a Robust Kalman Filter Approach and Inertial Navigation System Infusion in Complex Urban Environments
by Amir Hossein Pourmina, Mohamad Mahdi Alizadeh and Harald Schuh
Sensors 2024, 24(18), 5907; https://doi.org/10.3390/s24185907 - 11 Sep 2024
Cited by 3 | Viewed by 5930
Abstract
New smartphones provide real-time access to GNSS pseudorange, Doppler, or carrier-phase measurement data at 1 Hz. Simultaneously, they can receive corrections broadcast by GNSS reference stations to perform real-time kinematic (RTK) positioning. This study aims at the real-time positioning capabilities of smartphones using [...] Read more.
New smartphones provide real-time access to GNSS pseudorange, Doppler, or carrier-phase measurement data at 1 Hz. Simultaneously, they can receive corrections broadcast by GNSS reference stations to perform real-time kinematic (RTK) positioning. This study aims at the real-time positioning capabilities of smartphones using raw GNSS measurements as a conventional method and proposes an improvement to the positioning through the integration of Inertial Navigation System (INS) measurements. A U-Blox GNSS receiver, model ZED-F9R, was used as a benchmark for comparison. We propose an enhanced ambiguity resolution algorithm that integrates the traditional LAMBDA method with an adaptive thresholding mechanism based on real-time quality metrics. The RTK/INS fusion method integrates RTK and INS measurements using an extended Kalman filter (EKF), where the state vector x includes the position, velocity, orientation, and their respective biases. The innovation here is the inclusion of a real-time weighting scheme that adjusts the contribution of the RTK and INS measurements based on their current estimated accuracy. Also, we use the tightly coupled (TC) RTK/INS fusion framework. By leveraging INS data, the system can maintain accurate positioning even when the GNSS data are unreliable, allowing for the detection and exclusion of abnormal GNSS measurements. However, in complex urban areas such as Qazvin City in Iran, the fusion method achieved positioning accuracies of approximately 0.380 m and 0.415 m for the Xiaomi Mi 8 and Samsung Galaxy S21 Ultra smartphones, respectively. The subsequent detailed analysis across different urban streets emphasized the significance of choosing the right positioning method based on the environmental conditions. In most cases, RTK positioning outperformed Single-Point Positioning (SPP), offering decimeter-level precision, while the fusion method bridged the gap between the two, showcasing improved stability accuracy. The comparative performance between the Samsung Galaxy S21 Ultra and Xiaomi Mi 8 revealed minor differences, likely attributed to variations in the hardware design and software algorithms. The fusion method emerged as a valuable alternative when the RTK signals were unavailable or impractical. This demonstrates the potential of integrating RTK and INS measurements for enhanced real-time smartphone positioning, particularly in challenging urban environments. Full article
(This article belongs to the Section Navigation and Positioning)
Show Figures

Figure 1

23 pages, 17978 KB  
Article
Comprehensive Analysis of Xiaomi Mi 8 GNSS Antenna Performance
by Mónica Zabala Haro, Ángel Martín Furones, Ana Anquela Julián and María Jesús Jiménez-Martínez
Sensors 2024, 24(8), 2569; https://doi.org/10.3390/s24082569 - 17 Apr 2024
Cited by 4 | Viewed by 5799
Abstract
The interest in precise point positioning techniques using smartphones increased with the launch of the world’s first dual-frequency L1/L5 GNSS smartphone, Xiaomi Mi 8. The smartphone GNSS antenna is low-cost, sensitive to multipath, and limited by physical space and design. The main purpose [...] Read more.
The interest in precise point positioning techniques using smartphones increased with the launch of the world’s first dual-frequency L1/L5 GNSS smartphone, Xiaomi Mi 8. The smartphone GNSS antenna is low-cost, sensitive to multipath, and limited by physical space and design. The main purpose of this work is to determine the mechanical location and antenna performance in terms of radiation pattern in an anechoic chamber using a Vector Network Analyzer (VNA) and robotic positioning platform by varying the elevation and azimuth angles between the transmitter and smartphone GNSS antennas; the power received and satellite visibility are developed in an outdoor scenario. The results show a Planar Inverted-F Antenna with an omnidirectional radiation pattern without gain. The L1/E1/B1 and L5/E5a/B2a GNSS antennas are physically located at the top face of the screen, with dimensions of 48 × 17 mm and 60 × 13 mm, respectively. With the screen with line-of-sight toward the sky, L5 satellites have a better signal–noise ratio (SNR), unlike the back side, which loses 99% of the data in the PPP solution. Under multipath scenarios, the L1 GNSS smartphone antenna works with 25% less power than the GPS user segment recommendation, showing high sensitivity to track weak signals. Full article
(This article belongs to the Section Navigation and Positioning)
Show Figures

Figure 1

5 pages, 1049 KB  
Proceeding Paper
Performance of Assisted-Global Navigation Satellite System from Network Mobile to Precise Positioning on Smartphones
by Mónica Zabala Haro, Ángel Martín, Ana Anquela and María Jesús Jiménez
Environ. Sci. Proc. 2023, 28(1), 23; https://doi.org/10.3390/environsciproc2023028023 - 15 Jan 2024
Viewed by 1535
Abstract
Indoor navigation is the most challenging environment regarding precise positioning service for a smartphone’s physical quality limitations and interferences for high buildings, trees and multipath fading in the GNSS signal received. A GPS by itself cannot offer a solution; the A-GNSS from a [...] Read more.
Indoor navigation is the most challenging environment regarding precise positioning service for a smartphone’s physical quality limitations and interferences for high buildings, trees and multipath fading in the GNSS signal received. A GPS by itself cannot offer a solution; the A-GNSS from a network mobile provided through telecommunication infrastructure provides information that is useful to counteract these issues. A smartphone has full connectivity to the mobile network 24/7 and has access to the GNSS database when required, and the assisted information is sent over an Internet Protocol (IP) and processed by the GNSS chip, increasing the accuracy, TTFF, and availability of data even in harsh environments. The outdoor, light indoor, and urban canyon scenarios are experienced when driving in some places in the city, and they are recorded with Geo++ and processed with RTKlib using a single frequency in a standalone and multi-constellation double-frequency smartphone, Xiaomi Mi 8, with A-GNSS. The results show good accuracy in the SPS for over 10 (m) and in assisted positioning over 50 (m); the TTFF in assisted positioning is always 5 (s), and in the SPS, it reaches 20 (s). Finally, during the trajectory, only the assisted positioning can compute the position; this is because of the data availability from a mobile network. Full article
(This article belongs to the Proceedings of IV Conference on Geomatics Engineering)
Show Figures

Figure 1

10 pages, 3364 KB  
Proceeding Paper
Addressing the Potential of L5/E5a Signals for Road ITS Applications in GNSS-Harsh Environments
by Amarildo Haxhi, Manos Orfanos, Harris Perakis and Vassilis Gikas
Eng. Proc. 2023, 54(1), 11; https://doi.org/10.3390/ENC2023-15430 - 6 Dec 2023
Cited by 1 | Viewed by 1371
Abstract
This study explores the potential of satellite signals L5, E5a and B2a tracked by contemporary Android smartphones. Particularly, the objective is to investigate their performance capabilities and vulnerabilities concerned with L1, E1 and B1 bandwidths and a focus on land vehicle ITS (Intelligent [...] Read more.
This study explores the potential of satellite signals L5, E5a and B2a tracked by contemporary Android smartphones. Particularly, the objective is to investigate their performance capabilities and vulnerabilities concerned with L1, E1 and B1 bandwidths and a focus on land vehicle ITS (Intelligent Transportation Systems) applications aiming to address low to medium PVT (Positioning, Velocity and Timing) solutions. In this regard raw, kinematic GNSS measurements from two Android smartphones were collected (Xiaomi Mi 8 and One Plus Nord 2 5G) under GNSS-harsh environments. The Single Point Positioning (SPP) technique was adopted for processing the single-frequency, multi-constellation raw GNSS measurements through an Extended Kalman Filter (EKF). The results obtained indicate the benefits and difficulties of exploiting modernized GNSS signals for road ITS applications. Full article
(This article belongs to the Proceedings of European Navigation Conference ENC 2023)
Show Figures

Figure 1

20 pages, 4881 KB  
Article
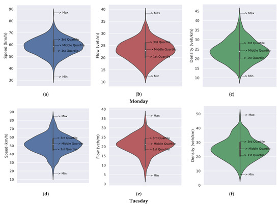
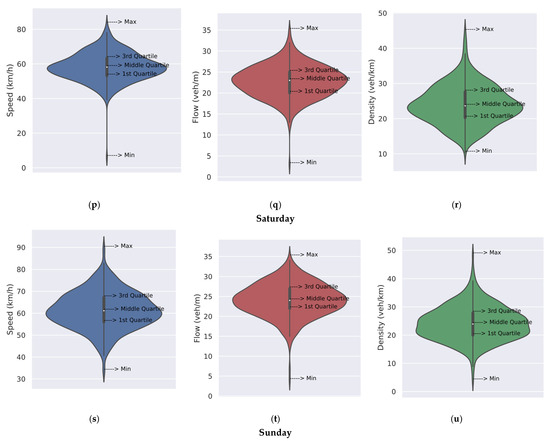
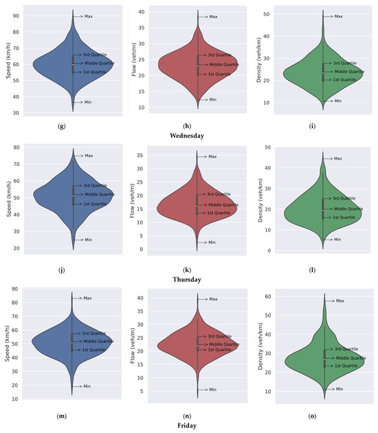
Edge Computing for Effective and Efficient Traffic Characterization
by Asif Khan, Khurram S. Khattak, Zawar H. Khan, Thomas Aaron Gulliver and Abdullah
Sensors 2023, 23(23), 9385; https://doi.org/10.3390/s23239385 - 24 Nov 2023
Cited by 10 | Viewed by 4747
Abstract
Traffic flow analysis is essential to develop smart urban mobility solutions. Although numerous tools have been proposed, they employ only a small number of parameters. To overcome this limitation, an edge computing solution is proposed based on nine traffic parameters, namely, vehicle count, [...] Read more.
Traffic flow analysis is essential to develop smart urban mobility solutions. Although numerous tools have been proposed, they employ only a small number of parameters. To overcome this limitation, an edge computing solution is proposed based on nine traffic parameters, namely, vehicle count, direction, speed, and type, flow, peak hour factor, density, time headway, and distance headway. The proposed low-cost solution is easy to deploy and maintain. The sensor node is comprised of a Raspberry Pi 4, Pi camera, Intel Movidius Neural Compute Stick 2, Xiaomi MI Power Bank, and Zong 4G Bolt+. Pre-trained models from the OpenVINO Toolkit are employed for vehicle detection and classification, and a centroid tracking algorithm is used to estimate vehicle speed. The measured traffic parameters are transmitted to the ThingSpeak cloud platform via 4G. The proposed solution was field-tested for one week (7 h/day), with approximately 10,000 vehicles per day. The count, classification, and speed accuracies obtained were 79.8%, 93.2%, and 82.9%, respectively. The sensor node can operate for approximately 8 h with a 10,000 mAh power bank and the required data bandwidth is 1.5 MB/h. The proposed edge computing solution overcomes the limitations of existing traffic monitoring systems and can work in hostile environments. Full article
(This article belongs to the Section Internet of Things)
Show Figures

Figure 1

21 pages, 11486 KB  
Article
Performance of Smartphone BDS-3/GPS/Galileo Multi-Frequency Ionosphere-Free Precise Code Positioning
by Ruiguang Wang, Chao Hu, Zhongyuan Wang, Fang Yuan and Yangyang Wang
Remote Sens. 2023, 15(22), 5371; https://doi.org/10.3390/rs15225371 - 15 Nov 2023
Cited by 2 | Viewed by 2840
Abstract
The continuously improving performance of mass-market global navigation satellite system (GNSS) chipsets is enabling the prospect of high-precision GNSS positioning for smartphones. Nevertheless, a substantial portion of Android smartphones lack the capability to access raw carrier phase observations. Therefore, this paper introduces a [...] Read more.
The continuously improving performance of mass-market global navigation satellite system (GNSS) chipsets is enabling the prospect of high-precision GNSS positioning for smartphones. Nevertheless, a substantial portion of Android smartphones lack the capability to access raw carrier phase observations. Therefore, this paper introduces a precise code positioning (PCP) method, which utilizes Doppler-smoothed pseudo-range and inter-satellite single-difference methods. For the first time, the results of a quality investigation involving BDS-3 B1C/B2a/B1I, GPS L1/L5, and Galileo E1/E5a observed using smartphones are presented. The results indicated that Xiaomi 11 Lite (Mi11) exhibited a superior satellite data decoding performance compared to Huawei P40 (HP40), but it lagged behind HP40 in terms of satellite tracking. In the static open-sky scenario, the carrier-to-noise ratio (CNR) values were mostly above 25 dB-Hz. Additionally, for B1C/B1I/L1/E1, they were approximately 8 dB-Hz higher than those for B2a/L5/E5a. Second, various PCP models were developed to address ionospheric delay. These models include the IF-P models, which combine traditional dual-frequency IF pseudo-ranges with single-frequency ionosphere-corrected pseudo-ranges using precise ionospheric products, and IFUC models, which rely solely on single-frequency ionosphere-corrected pseudo-ranges. Finally, static and dynamic tests were conducted using datasets collected from various real-world scenarios. The static tests demonstrated that the PCP models could achieve sub-meter-level accuracy in the east (E) and north (N) directions, while achieving meter-level accuracy in the upward (U) direction. Numerically, the root mean square error (RMSE) improvement percentages were approximately 93.8%, 75%, and 82.8% for HP40 in the E, N, and U directions, respectively, in both open-sky and complex scenarios compared to single-point positioning (SPP). In the open-sky scenario, Mi11 showed an average increase of about 85.6%, 87%, and 16% in the E, N, and U directions, respectively, compared to SPP. In complex scenarios, Mi11 exhibited an average increase of roughly 68%, 75.9%, and 90% in the E, N, and U directions, respectively, compared to SPP. Dynamic tests showed that the PCP models only provided an improvement of approximately 10% in the horizontal plane or U direction compared to SPP. The triple-frequency IFUC (IFUC123) model outperforms others due to its lower noise and utilization of multi-frequency pseudo-ranges. The PCP models can enhance smartphone positioning accuracy. Full article
(This article belongs to the Special Issue GNSS Advanced Positioning Algorithms and Innovative Applications)
Show Figures

Figure 1

19 pages, 5364 KB  
Article
An Improved Ambiguity Resolution Algorithm for Smartphone RTK Positioning
by Yang Jiang, Yuting Gao, Wei Ding, Fei Liu and Yang Gao
Sensors 2023, 23(11), 5292; https://doi.org/10.3390/s23115292 - 2 Jun 2023
Cited by 14 | Viewed by 3734
Abstract
Ambiguity resolution based on smartphone GNSS measurements can enable various potential applications that currently remain difficult due to ambiguity biases, especially under kinematic conditions. This study proposes an improved ambiguity resolution algorithm, which uses the search-and-shrink procedure coupled with the methods of the [...] Read more.
Ambiguity resolution based on smartphone GNSS measurements can enable various potential applications that currently remain difficult due to ambiguity biases, especially under kinematic conditions. This study proposes an improved ambiguity resolution algorithm, which uses the search-and-shrink procedure coupled with the methods of the multi-epoch double-differenced residual test and the ambiguity majority tests for candidate vectors and ambiguities. By performing a static experiment with Xiaomi Mi 8, the AR efficiency of the proposed method is evaluated. Furthermore, a kinematic test with Google Pixel 5 verifies the effectiveness of the proposed method with improved positioning performance. In conclusion, centimeter-level smartphone positioning accuracy is achieved in both experiments, which is greatly improved compared with the float and traditional AR solutions. Full article
(This article belongs to the Special Issue Precise Positioning with Smartphones)
Show Figures

Figure 1

27 pages, 29777 KB  
Article
The Efficiency of Geodetic and Low-Cost GNSS Devices in Urban Kinematic Terrestrial Positioning in Terms of the Trajectory Generated by MMS
by Filip Viler, Raffaela Cefalo, Tatiana Sluga, Paolo Snider and Polona Pavlovčič-Prešeren
Remote Sens. 2023, 15(4), 957; https://doi.org/10.3390/rs15040957 - 9 Feb 2023
Cited by 10 | Viewed by 4312
Abstract
The quality of geospatial data collection depends, among other things, on the reliability and efficiency of the GNSS receivers or even better integrated GNSS/INS systems used for positioning. High-precision positioning is currently not only the domain of professional receivers but can also be [...] Read more.
The quality of geospatial data collection depends, among other things, on the reliability and efficiency of the GNSS receivers or even better integrated GNSS/INS systems used for positioning. High-precision positioning is currently not only the domain of professional receivers but can also be achieved by using simple devices, including smartphones. This research focused on the quality of 2D and 3D kinematic positioning of different geodetic and low-cost GNSS devices, using the professional mobile mapping system (MMS) as a reference. Kinematic positioning was performed simultaneously with a geodetic Septentrio AsteRx-U receiver, two u-blox receivers—ZED-F9P and ZED-F9R—and a Xiaomi Mi 8 smartphone and then compared with an Applanix Corporation GPS/INS MMS reference trajectory. The field tests were conducted in urban and non-urban environments with and without obstacles, on road sections with large manoeuvres and curves, and under overpasses and tunnels. Some general conclusions can be drawn from the analysis of the different scenarios. As expected, some results in GNSS positioning are subject to position losses, large outliers and multipath effects; however, after removing them, they are quite promising, even for the Xiaomi Mi8 smartphone. From the comparison of the GPS and GNSS solutions, as expected, GNSS processing achieved many more solutions for position determination and allowed a relevant higher number of fixed ambiguities, even if this was not true in general for the Septentrio AsteRx-U, in particular in a surveyed non-urban area with curves and serpentines characterised by a reduced signal acquisition. In GNSS mode, the Xiaomi Mi8 smartphone performed well in situations with a threshold of less than 1 m, with the percentages varying from 50% for the urban areas to 80% for the non-urban areas, which offers potential in view of future improvements for applications in terrestrial navigation. Full article
Show Figures

Graphical abstract

12 pages, 2407 KB  
Article
Smartphone GNSS Performance in an Urban Scenario with RAIM Application
by Antonio Angrisano and Salvatore Gaglione
Sensors 2022, 22(3), 786; https://doi.org/10.3390/s22030786 - 20 Jan 2022
Cited by 20 | Viewed by 4750
Abstract
In an urban scenario, GNSS performance is strongly influenced by gross errors in the measurements, usually related to multipath and non-line-of-sight phenomena. The use of RAIM algorithms is a common approach to solve this issue. A significant amount of the existing GNSS receivers [...] Read more.
In an urban scenario, GNSS performance is strongly influenced by gross errors in the measurements, usually related to multipath and non-line-of-sight phenomena. The use of RAIM algorithms is a common approach to solve this issue. A significant amount of the existing GNSS receivers is currently mounted on smart devices, above all, smartphones. A typical drawback of these devices is the unavailability of raw measurements, which does not allow fully exploiting the GNSS potential; in particular, this feature limits the use of RAIM algorithms. Since 2016, for few smart devices, it has been finally possible to access GNSS raw measurements, allowing the implementation of specific algorithms and enabling new services. The Xiaomi Mi 8 is equipped with the Broadcom BCM47755 receiver, able to provide dual-frequency raw measurements from quad-constellation GPS, Glonass, Galileo, BeiDou. In this work, the performance in an urban area of the Xiaomi Mi8 GNSS was analyzed. An important issue of smartphone GNSS is related to the antenna, which is not able to protect from the multipath phenomenon; this issue has a large probability to emerge in hostile environments like urban areas. As a term of comparison, the high-sensitivity receiver NVS NV08C-CSM, connected to a patch antenna, was used. In particular, the considered receivers were placed in the same location, and their positions were estimated in single point positioning, applying a classical RAIM algorithm. An error analysis was carried out, and the obtained results demonstrated the effectiveness of RAIM when applied to Xiaomi Mi8 GNSS measurements. Full article
Show Figures

Figure 1

16 pages, 6186 KB  
Article
The EGNOS Augmentation in Maritime Navigation
by Anna Innac, Antonio Angrisano, Silvio Del Pizzo, Giovanni Cappello and Salvatore Gaglione
Sensors 2022, 22(3), 775; https://doi.org/10.3390/s22030775 - 20 Jan 2022
Cited by 5 | Viewed by 3780
Abstract
The objective of this work is the evaluation of the performances of EGNOS (European Geostationary Navigation Overlay System) augmentation system in maritime navigation by comparing them with those obtained by other positioning methods as Single Point Positioning (SPP) and Differential Global Positioning System [...] Read more.
The objective of this work is the evaluation of the performances of EGNOS (European Geostationary Navigation Overlay System) augmentation system in maritime navigation by comparing them with those obtained by other positioning methods as Single Point Positioning (SPP) and Differential Global Positioning System (DGPS). Preliminarily, EGNOS performances in an open-sky context were evaluated through static data downloaded by EGNOS RIMS (Ranging and Integrity Monitoring Stations) located in Rome. Then, for the maritime test carried out onboard a boat in the Gulf of Naples, two dual-frequency receivers were used: Xiaomi Mi 8 smartphone and u-blox ZED-F9P multi-band GNSS (Global Navigation Satellite System) receiver, both in kinematic mode. At last, IMO (International Maritime Organization) requirements, established in IMO Resolution A.1046 (27), that a SBAS (Satellite Based Augmentation System) system in particular scenarios (coastal, inland-water, harbor navigation and ocean waters) must respect, were verified. Full article
Show Figures

Figure 1

21 pages, 6391 KB  
Article
Evaluation of Real-Time Kinematic Positioning and Deformation Monitoring Using Xiaomi Mi 8 Smartphone
by Shulin Zeng, Cuilin Kuang and Wenkun Yu
Appl. Sci. 2022, 12(1), 435; https://doi.org/10.3390/app12010435 - 3 Jan 2022
Cited by 14 | Viewed by 3831
Abstract
Modern low-cost electronic devices can achieve high precision for global navigation satellite systems (GNSSs) and related applications. Recently, the pseudo-range and carrier phase have been directly obtained from a smartphone to establish a professional-level surveying device. Although promising results have been obtained by [...] Read more.
Modern low-cost electronic devices can achieve high precision for global navigation satellite systems (GNSSs) and related applications. Recently, the pseudo-range and carrier phase have been directly obtained from a smartphone to establish a professional-level surveying device. Although promising results have been obtained by linking to an external GNSS antenna, the real-time kinematic (RTK) positioning performance requires further improvement when using the embedded smartphone antenna. We first investigate the observation quality characteristics of the Xiaomi Mi 8 smartphone. The carrier-to-noise-density ratio of L5/E5a signals is below that of L1/E1 signals, and the cycle slip and loss of lock are severe, especially for L5/E5a signals. Therefore, we use an improved stochastic model and ambiguity-resolution strategies to improve the short-baseline RTK positioning accuracy. Experimental results show that the ambiguity fixing rate can reach approximately 90% in 3 h of observations when using the embedded antenna, while the GPS/Galileo/BDS single-frequency combination is more suitable for smartphones. On the other hand, convergence takes 10–30 min, and the RTK positioning accuracy can reach 1 and 2 cm along the horizontal and vertical directions, respectively, if ambiguity is resolved correctly. Moreover, we verify the feasibility of using a mass-produced smartphone for deformation monitoring. Results from a simulated dynamic deformation experiment indicate that a smartphone can recognise deformations as small as 2 cm. Full article
(This article belongs to the Special Issue GNSS Techniques for Land and Structure Monitoring)
Show Figures

Figure 1

29 pages, 6194 KB  
Article
The Highest Peaks of the Mountains: Comparing the Use of GNSS, LiDAR Point Clouds, DTMs, Databases, Maps, and Historical Sources
by Stanisław Szombara, Marta Róg, Krystian Kozioł, Kamil Maciuk, Bogdan Skorupa, Jacek Kudrys, Tomáš Lepeška and Michal Apollo
Energies 2021, 14(18), 5731; https://doi.org/10.3390/en14185731 - 11 Sep 2021
Cited by 5 | Viewed by 4759
Abstract
Advances in remote data acquisition techniques have contributed to the flooding of society with spatial data sets and information. Widely available spatial data sets, including digital terrain models (DTMs) from aerial laser scanning (ALS) data, are finding more and more new applications. The [...] Read more.
Advances in remote data acquisition techniques have contributed to the flooding of society with spatial data sets and information. Widely available spatial data sets, including digital terrain models (DTMs) from aerial laser scanning (ALS) data, are finding more and more new applications. The article analyses and compares the heights of the 14 highest peaks of the Polish Carpathians derived from different data sources. Global navigation satellite system (GNSS) geodetic measurements were used as reference. The comparison primarily involves ALS data, and selected peaks’ GNSS measurements carried out with Xiaomi Mi 8 smartphones were also compared. Recorded raw smartphone GNSS measurements were used for calculations in post-processing mode. Other data sources were, among others, global and local databases and models and topographic maps (modern and old). The article presents an in-depth comparison of Polish and Slovak point clouds for two peaks. The results indicate the possible use of large-area laser scanning in determining the maximum heights of mountain peaks and the need to use geodetic GNSS measurements for selected peaks. For the Polish peak of Rysy, the incorrect classification of point clouds causes its height to be overestimated. The conclusions presented in the article can be used in the dissemination of knowledge and to improve positioning methods. Full article
Show Figures

Figure 1

19 pages, 6520 KB  
Article
Observation Quality Assessment and Performance of GNSS Standalone Positioning with Code Pseudoranges of Dual-Frequency Android Smartphones
by Umberto Robustelli, Jacek Paziewski and Giovanni Pugliano
Sensors 2021, 21(6), 2125; https://doi.org/10.3390/s21062125 - 18 Mar 2021
Cited by 48 | Viewed by 6058
Abstract
The new generation of Android smartphones is equipped with GNSS chips capable of tracking multi-frequency and multi-constellation data. In this work, we evaluate the positioning performance and analyze the quality of observations collected by three recent smartphones, namely Xiaomi Mi 8, Xiaomi Mi [...] Read more.
The new generation of Android smartphones is equipped with GNSS chips capable of tracking multi-frequency and multi-constellation data. In this work, we evaluate the positioning performance and analyze the quality of observations collected by three recent smartphones, namely Xiaomi Mi 8, Xiaomi Mi 9, and Huawei P30 pro that take advantage of such chips. The analysis of the GNSS observation quality implies that the commonly employed elevation-dependent function is not optimal for smartphone GNSS observation weighting and suggests an application of the C/N0-dependent one. Regarding smartphone code signals on L5 and E5a frequency bands, we found that they are characterized with noticeably lower noise as compared to E1 and L1 ones. The single point positioning results confirm an improvement in the performance when the weights are a function of the C/N0-rather than those dependent on the satellite elevation and that a smartphone positioning with E5a code observations significantly outperforms that with E1 signals. The latter is expressed by a drop of the horizontal RMS from 8.44 m to 3.17 m for Galileo E1 and E5a solutions of Xiaomi Mi 9 P30, respectively. The best positioning accuracy of multi-GNSS single-frequency (L1/E1/B1/G1) solution was obtained by Huawei P30 with a horizontal RMS of 3.24 m. Xiaomi Mi 8 and Xiaomi Mi 9 show a horizontal RMS error of 4.14 m and 4.90 m, respectively. Full article
Show Figures

Figure 1

28 pages, 9981 KB  
Article
Characteristics Analysis of Raw Multi-GNSS Measurement from Xiaomi Mi 8 and Positioning Performance Improvement with L5/E5 Frequency in an Urban Environment
by Lei Guo, Fuhong Wang, Jizhang Sang, Xiaohu Lin, Xuewen Gong and Wanwei Zhang
Remote Sens. 2020, 12(4), 744; https://doi.org/10.3390/rs12040744 - 24 Feb 2020
Cited by 57 | Viewed by 7643
Abstract
Achieving continuous and high-precision positioning services via smartphone under a Global Navigation Satellite System (GNSS)-degraded environment is urgently demanded by the mass market. In 2018, Xiaomi launched the world’s first dual-frequency GNSS smartphone, Xiaomi Mi 8. The newly added L5/E5 signals are more [...] Read more.
Achieving continuous and high-precision positioning services via smartphone under a Global Navigation Satellite System (GNSS)-degraded environment is urgently demanded by the mass market. In 2018, Xiaomi launched the world’s first dual-frequency GNSS smartphone, Xiaomi Mi 8. The newly added L5/E5 signals are more precise and less prone to distortions from multipath reflections. This paper discusses the characteristics of raw dual-frequency GNSS observations from Xiaomi Mi 8 in urban environments; they are characterized by high pseudorange noise and frequent signal interruption. The traditional dual-frequency ionosphere-free combination is not suitable for Xiaomi Mi 8 raw GNSS data processing, since the noise of the combined measurements is much larger than the influence of the ionospheric delay. Therefore, in order to reasonably utilize the high precision carrier phase observations, a time differenced positioning filter is presented in this paper to deliver continuous and smooth navigation results in urban environments. The filter first estimates the inter-epoch position variation (IEPV) with time differenced uncombined L1/E1 and L5/E5 carrier phase observations and constructs the state equation with IEPV to accurately describe the user’s movement. Secondly, the observation equations are formed with uncombined L1/E1 and L5/E5 pseudorange observations. Then, kinematic experiments in open-sky and GNSS-degraded environments are carried out, and the proposed filter is assessed in terms of the positioning accuracy and solution availability. The result in an open-sky environment shows that, assisted with L5/E5 observations, the root mean square (RMS) of the stand-alone horizontal and vertical positioning errors are about 1.22 m and 1.94 m, respectively, with a 97.8% navigation availability. Encouragingly, even in a GNSS-degraded environment, smooth navigation services with accuracies of 1.61 m and 2.16 m in the horizontal and vertical directions are obtained by using multi-GNSS and L5/E5 observations. Full article
Show Figures

Graphical abstract

Back to TopTop