Sign in to use this feature.

Years

Between: -

Subjects

remove_circle_outline
remove_circle_outline
remove_circle_outline
remove_circle_outline
remove_circle_outline
remove_circle_outline
remove_circle_outline
remove_circle_outline
remove_circle_outline

Journals

remove_circle_outline
remove_circle_outline
remove_circle_outline
remove_circle_outline
remove_circle_outline
remove_circle_outline
remove_circle_outline
remove_circle_outline
remove_circle_outline
remove_circle_outline
remove_circle_outline
remove_circle_outline
remove_circle_outline
remove_circle_outline
remove_circle_outline
remove_circle_outline
remove_circle_outline
remove_circle_outline
remove_circle_outline
remove_circle_outline
remove_circle_outline
remove_circle_outline

Article Types

Countries / Regions

remove_circle_outline
remove_circle_outline
remove_circle_outline
remove_circle_outline
remove_circle_outline

Search Results (870)

Search Parameters:
Keywords = Wilcoxon signed-rank test

Order results
Result details
Results per page
Select all
Export citation of selected articles as:
15 pages, 4800 KB  
Article
Impact of Dry Eye Disease and Lipid-Containing Artificial Tears on Keratometric Reproducibility and Intraocular Lens Calculation in Cataract Patients
by Valentina Lacmanović Lončar, Danijel Mikulić, Vedrana Aljinović-Vučić, Zoran Vatavuk and Ivanka Petric Vicković
Medicina 2026, 62(1), 179; https://doi.org/10.3390/medicina62010179 - 15 Jan 2026
Abstract
Background and Objectives: Tear film instability and corneal surface irregularity are important sources of variability in keratometric and corneal topographic measurements, particularly affecting astigmatic magnitude and axis. Accurate preoperative biometry is crucial for optimal refractive outcomes in cataract surgery. Dry eye disease [...] Read more.
Background and Objectives: Tear film instability and corneal surface irregularity are important sources of variability in keratometric and corneal topographic measurements, particularly affecting astigmatic magnitude and axis. Accurate preoperative biometry is crucial for optimal refractive outcomes in cataract surgery. Dry eye disease (DED) may compromise the reproducibility of keratometric parameters, leading to errors in intraocular lens (IOL) power calculation. This study aimed to evaluate the impact of DED on the reproducibility of keratometric measurements and to assess the effect of a four-week treatment with lipid-containing artificial tears on these parameters in cataract patients. Materials and Methods: This cross-sectional study included 116 patients scheduled for cataract surgery, of whom 65 (56.0%) had DED and 51 (44.0%) served as controls. All patients underwent two preoperative keratometric measurements 10–20 min apart (IOL1 and IOL2). The control group proceeded to surgery the next day, while surgery in the DED group was postponed. Patients with DED received preoperative therapy with lipid-containing artificial tears. Follow-up assessments occurred one month after therapy (keratometric measurement named IOL3) and eight weeks postoperatively. Clinical evaluation included slit-lamp examination, dry eye testing according to Dry eye Workshop II (DEWS II) criteria: Ocular surface Disease Index (OSDI), Tear Break-Up Time (TBUT), Schirmer I, Oxford staining, and meibomian gland assessment), ocular biometry, and postoperative spherical equivalent measurement using an auto ref-keratometer. Nonparametric statistical analyses were applied to evaluate associations between parameters. Results: In the DED group, corneal astigmatism showed a significant difference between IOL1 and IOL2 (Wilcoxon signed-rank test {Z = 2.43; p = 0.015}). Significant changes in predicted IOL power were observed between pretreatment and posttreatment values (t = 2.57; p = 0.013) and between IOL2 and IOL3 (t = 2.23; p = 0.029), indicating improved keratometric stability following tear film therapy. No additional significant correlations were identified. Conclusions: DED adversely affects the reproducibility of keratometric measurements and may compromise IOL power selection. Preoperative identification and treatment of DED, followed by repeated biometry after tear film stabilization, are strongly recommended to enhance refractive accuracy and optimize surgical outcomes in cataract patients. Full article
(This article belongs to the Special Issue Advances in Corneal Management)
Show Figures

Figure 1

20 pages, 3549 KB  
Article
Tumor Microenvironment: Insights from Multiparametric MRI in Pancreatic Ductal Adenocarcinoma
by Ramesh Paudyal, James Russell, H. Carl Lekaye, Joseph O. Deasy, John L. Humm, Muhammad Awais, Saad Nadeem, Richard K. G. Do, Eileen M. O’Reilly, Lawrence H. Schwartz and Amita Shukla-Dave
Cancers 2026, 18(2), 273; https://doi.org/10.3390/cancers18020273 - 15 Jan 2026
Abstract
Background/Objectives: The tumor microenvironment (TME) of pancreatic ductal adenocarcinoma (PDAC) is characterized by an enriched stroma, hampering the effectiveness of therapy. This co-clinical study aimed to (1) provide insight into early post-treatment changes in the TME using multiparametric magnetic resonance imaging (mpMRI)-derived quantitative [...] Read more.
Background/Objectives: The tumor microenvironment (TME) of pancreatic ductal adenocarcinoma (PDAC) is characterized by an enriched stroma, hampering the effectiveness of therapy. This co-clinical study aimed to (1) provide insight into early post-treatment changes in the TME using multiparametric magnetic resonance imaging (mpMRI)-derived quantitative imaging biomarkers (QIBs) in a preclinical PDAC model treated with radiotherapy and correlate these QIBs with histology; (2) evaluate the feasibility of obtaining these QIBs in patients with PDAC using clinically approved mpMRI data acquisitions. Methods: Athymic mice (n = 12) at pre- and post-treatment as well as patients with PDAC (n = 11) at pre-treatment underwent mpMRI including diffusion-weighted (DW) and dynamic contrast-enhanced (DCE) data acquisition sequences. DW and DCE data were analyzed using monoexponential and extended Tofts models, respectively. DeepLIIF quantified the total percentage (%) of tumor cells in hematoxylin and eosin (H&E)-stained tissues from athymic mice. Spearman correlation and Wilcoxon signed rank tests were performed for statistical analysis. Results: In the preclinical PDAC model, mean pre- and post-treatment ADC and Ktrans values differed significantly (p < 0.01), changing by 20.50% and 20.41%, respectively, and the median total tumor cells quantified by DeepLIIF was 24% (range: 15–53%). Post-treatment ADC values and relative change in ve (rΔve) showed a significant negative correlation with total tumor cells (ρ = −0.77, p < 0.014 for ADC and ρ = −0.77, p = 0.009 for rΔve). In patients with PDAC, pre-treatment mean ADC and Ktrans values were 1.76 × 10−3 (mm2/s) and 0.24 (min−1), respectively. Conclusions: QIBs in both preclinical and clinical settings underscore their potential for future co-clinical research to evaluate emerging drug combinations targeting both tumor and stroma. Full article
(This article belongs to the Special Issue Image-Assisted High-Precision Radiation Oncology)
Show Figures

Figure 1

36 pages, 9854 KB  
Article
Direct and Semi-Direct Composite Techniques in Posterior Teeth: A Two-Year Follow-Up Comparative Study
by Adriana Saceleanu, Anca Maria Fratila, Vasile Calin Arcas, Cristina Ana-Maria Arcas, Dragos Anton Dadarlat and Laura Stef
J. Clin. Med. 2026, 15(2), 687; https://doi.org/10.3390/jcm15020687 - 14 Jan 2026
Abstract
Background: Composite restorations are the standard of care for posterior teeth due to their aesthetic properties and conservative nature. However, the choice between direct and semi-direct techniques can influence clinical longevity and performance. Objectives: This study aimed to compare the clinical performance of [...] Read more.
Background: Composite restorations are the standard of care for posterior teeth due to their aesthetic properties and conservative nature. However, the choice between direct and semi-direct techniques can influence clinical longevity and performance. Objectives: This study aimed to compare the clinical performance of two restorative approaches: a direct technique and the semi-direct onlay technique in terms of aesthetic quality, surface finish, wear resistance, marginal integrity, and overall clinical efficiency over a two-year period. Methods: A total of 348 composite restorations were placed in 192 patients. Each restoration was evaluated at four timepoints: baseline (T0), 6 months (T1), 1 year (T2), and 2 years (T3). Clinical performance was assessed using standardised 5-point rating scales across the five dimensions. Repeated-measures ANOVA assessed changes over time, while Wilcoxon signed-rank and Mann–Whitney U tests were used for intra- and inter-group comparisons. Results: Significant time effects were observed across all clinical parameters (p < 0.0001). The direct technique exhibited superior initial results in aesthetics and surface finish at T0 and T1 (p < 0.001), but differences diminished by T3. In contrast, the semi-direct technique demonstrated improved performance in wear resistance and marginal integrity at T2 and T3. Both techniques showed progressive deterioration, particularly in marginal adaptation. Conclusions: The direct technique offers enhanced short-term aesthetics and procedural efficiency, while the semi-direct approach provides superior long-term durability and marginal adaptation. Full article
(This article belongs to the Special Issue Updates on the Clinical Applications of Dental Restorative Materials)
Show Figures

Figure 1

17 pages, 285 KB  
Article
Exploring the Use of AI-Based Patient Simulations to Support Cultural Competence Development in Nursing Students: A Mixed-Methods Study
by Małgorzata Lesińska-Sawicka and Bartłomiej Michalak
Educ. Sci. 2026, 16(1), 126; https://doi.org/10.3390/educsci16010126 - 14 Jan 2026
Abstract
(1) Background: Developing cultural competence and reflective communication skills remains a challenge in nursing education. Traditional teaching methods often provide limited opportunities for safe practice of culturally sensitive interactions in emotionally complex situations. Artificial intelligence (AI)–based patient simulations may offer a scalable approach [...] Read more.
(1) Background: Developing cultural competence and reflective communication skills remains a challenge in nursing education. Traditional teaching methods often provide limited opportunities for safe practice of culturally sensitive interactions in emotionally complex situations. Artificial intelligence (AI)–based patient simulations may offer a scalable approach to experiential and reflective learning. (2) Aim: This study explored the educational potential of AI-based patient simulations in supporting nursing students’ self-assessed cultural competence, reflective awareness, and communication confidence. (3) Methods: A convergent mixed-methods pre–post study was conducted among 24 s-cycle nursing students. Participants engaged in individual AI-based patient simulations with simulated patients representing diverse cultural contexts. Quantitative data were collected using an exploratory cultural competence self-assessment scale administered before and after the simulation. Qualitative data included post-simulation reflection forms and AI-student interaction transcripts, analysed using inductive thematic analysis. (4) Results: A statistically significant increase in overall self-assessed cultural competence was observed (Wilcoxon signed-rank test: Z = 4.05, p < 0.001, r = 0.59), with the greatest improvements in communication adaptability and perceived communication sufficiency. Qualitative findings indicated an emotional shift from uncertainty to engagement, heightened awareness of cultural complexity, reflective reassessment of assumptions, and high perceived educational value of AI simulations. (5) Conclusions: AI-based patient simulations represent a promising pedagogical tool for fostering reflective and communication-oriented learning in culturally complex nursing contexts. Their primary value lies in supporting experiential learning, emotional engagement, and the development of cultural humility, suggesting their potential role as a complementary educational strategy in advanced nursing education. Full article
12 pages, 1892 KB  
Article
Effects of Bubbles During Water Resistance Therapy on the Vibration Characteristics of Vocal Folds During the Phonation of Different Vowels
by Marie-Anne Kainz, Rebekka Hoppermann, Theresa Pilsl, Marie Köberlein, Jonas Kirsch, Michael Döllinger and Matthias Echternach
J. Clin. Med. 2026, 15(2), 669; https://doi.org/10.3390/jcm15020669 - 14 Jan 2026
Abstract
Background: Semi-occluded vocal tract exercises (SOVTE) improve vocal quality and capacity. Water resistance therapy (WRT), a specific form of SOVTE with a tube submerged under water, generates increased and oscillating oral pressure through bubble formation during phonation, thereby influencing transglottal pressure and vocal [...] Read more.
Background: Semi-occluded vocal tract exercises (SOVTE) improve vocal quality and capacity. Water resistance therapy (WRT), a specific form of SOVTE with a tube submerged under water, generates increased and oscillating oral pressure through bubble formation during phonation, thereby influencing transglottal pressure and vocal fold dynamics. While the physiological effects of WRT using tube-based systems have been extensively studied, the influence of vowel-specific vocal tract configurations during WRT remains unclarified. This study examined how different vowel qualities during WRT affect vocal fold oscillation using the DoctorVox® mask, which allows near-natural mouth opening and vowel articulation. Methods: Ten vocally healthy, untrained adults (25–50 years) performed a continuous vowel glide (/i/–/a/–/u/-/i/) at constant fundamental frequency and habitual loudness during WRT using the DoctorVox® mask, with the tube submerged 2 cm in water. Simultaneous recordings included transnasal high-speed videoendoscopy (20,000 fps), electroglottography (EGG), acoustic signals and intra-tube oral pressure measurements. Glottal area waveforms (GAW) were derived to calculate the open quotient (OQGAW) and closing quotient (ClQGAW). Analyses were conducted separately for intra-tube pressure maxima, minima and intermediate phases within the bubble cycle during WRT. Statistical analysis used Wilcoxon signed-rank tests with Bonferroni correction. Results: In the baseline condition without WRT, significant vowel-related differences were found: /u/ showed a higher open quotient than /i/ and /a/ (p < 0.05) and a higher closing quotient than /a/ (p < 0.05). During WRT, these vowel-specific differences were no longer statistically significant. A non-significant trend toward reduced OQGAW during WRT was observed, most notably for /u/, while differences between pressure phases within the bubble cycle were minimal. Conclusions: WRT using the DoctorVox® mask reduces vowel-specific differences in vocal fold vibration patterns, suggesting that for voice therapy, vowel quality modifications during WRT have little impact on vocal outcomes. Full article
(This article belongs to the Special Issue New Advances in the Management of Voice Disorders: 2nd Edition)
Show Figures

Figure 1

20 pages, 979 KB  
Article
Long-Term Auditory, Tinnitus, and Psychological Outcomes After Cochlear Implantation in Single-Sided Deafness: A Two-Year Prospective Study
by Jasper Karl Friedrich Schrader, Moritz Gröschel, Agnieszka J. Szczepek and Heidi Olze
J. Clin. Med. 2026, 15(2), 644; https://doi.org/10.3390/jcm15020644 - 13 Jan 2026
Abstract
Background/Objectives: Single-sided deafness (SSD) impairs speech perception, reduces spatial hearing, decreases quality of life, and is frequently accompanied by tinnitus. Cochlear implantation (CI) has become an established treatment option, but long-term prospective evidence across multiple functional and psychological domains remains limited. This [...] Read more.
Background/Objectives: Single-sided deafness (SSD) impairs speech perception, reduces spatial hearing, decreases quality of life, and is frequently accompanied by tinnitus. Cochlear implantation (CI) has become an established treatment option, but long-term prospective evidence across multiple functional and psychological domains remains limited. This study investigated auditory performance, subjective hearing outcomes, tinnitus burden, and psychological well-being over a two-year follow-up in a large SSD cohort. Methods: Seventy adults with SSD underwent unilateral CI. Assessments were conducted preoperatively and at 6 months, 1 year, and 2 years postoperatively. Outcome measures included the Freiburg Monosyllable Test (FS), Oldenburg Inventory (OI), Nijmegen Cochlear Implant Questionnaire (NCIQ), Tinnitus Questionnaire (TQ), Perceived Stress Questionnaire (PSQ), Generalized Anxiety Disorder scale (GAD-7), and General Depression Scale (ADS-L). Longitudinal changes were analyzed using Wilcoxon signed-rank tests with effect sizes; Holm-adjusted p-values were applied for baseline-to-follow-up comparisons. Results: Speech perception improved markedly within the first 6 months and remained stable through 2 years, with large effect sizes. All OI subdomains demonstrated early and sustained improvements in subjective hearing ability. Several hearing-related quality-of-life domains assessed by the NCIQ, particularly social interaction, self-esteem, and activity participation, showed medium-to-large long-term improvements. Tinnitus severity decreased substantially, with marked reductions observed by 6 months and maintained thereafter; the proportion of tinnitus-free patients increased at follow-up, although tinnitus symptoms persisted in a substantial subset of participants. Perceived stress was reduced initially at the early follow-up and remained below baseline thereafter. Anxiety and depressive symptoms mostly stayed within nonclinical ranges, showing no lasting changes after adjusting for multiple comparisons. Conclusions: In this prospective cohort, cochlear implantation was associated with durable improvements in auditory outcomes, tinnitus burden, and selected patient-reported quality-of-life domains over two years. Although significant functional and patient-centered improvements were noted, persistent tinnitus and diverse psychosocial outcomes underscore the need for personalized counseling and comprehensive follow-up that incorporate patient-reported outcomes and psychological assessments. Full article
Show Figures

Figure 1

32 pages, 999 KB  
Article
A Robust Hybrid Metaheuristic Framework for Training Support Vector Machines
by Khalid Nejjar, Khalid Jebari and Siham Rekiek
Algorithms 2026, 19(1), 70; https://doi.org/10.3390/a19010070 - 13 Jan 2026
Abstract
Support Vector Machines (SVMs) are widely used in critical decision-making applications, such as precision agriculture, due to their strong theoretical foundations and their ability to construct an optimal separating hyperplane in high-dimensional spaces. However, the effectiveness of SVMs is highly dependent on the [...] Read more.
Support Vector Machines (SVMs) are widely used in critical decision-making applications, such as precision agriculture, due to their strong theoretical foundations and their ability to construct an optimal separating hyperplane in high-dimensional spaces. However, the effectiveness of SVMs is highly dependent on the efficiency of the optimization algorithm used to solve their underlying dual problem, which is often complex and constrained. Classical solvers, such as Sequential Minimal Optimization (SMO) and Stochastic Gradient Descent (SGD), present inherent limitations: SMO ensures numerical stability but lacks scalability and is sensitive to heuristics, while SGD scales well but suffers from unstable convergence and limited suitability for nonlinear kernels. To address these challenges, this study proposes a novel hybrid optimization framework based on Open Competency Optimization and Particle Swarm Optimization (OCO–PSO) to enhance the training of SVMs. The proposed approach combines the global exploration capability of PSO with the adaptive competency-based learning mechanism of OCO, enabling efficient exploration of the solution space, avoidance of local minima, and strict enforcement of dual constraints on the Lagrange multipliers. Across multiple datasets spanning medical (diabetes), agricultural yield, signal processing (sonar and ionosphere), and imbalanced synthetic data, the proposed OCO-PSO–SVM consistently outperforms classical SVM solvers (SMO and SGD) as well as widely used classifiers, including decision trees and random forests, in terms of accuracy, macro-F1-score, Matthews correlation coefficient (MCC), and ROC-AUC. On the Ionosphere dataset, OCO-PSO achieves an accuracy of 95.71%, an F1-score of 0.954, and an MCC of 0.908, matching the accuracy of random forest while offering superior interpretability through its kernel-based structure. In addition, the proposed method yields a sparser model with only 66 support vectors compared to 71 for standard SVC (a reduction of approximately 7%), while strictly satisfying the dual constraints with a near-zero violation of 1.3×103. Notably, the optimal hyperparameters identified by OCO-PSO (C=2, γ0.062) differ substantially from those obtained via Bayesian optimization for SVC (C=10, γ0.012), indicating that the proposed approach explores alternative yet equally effective regions of the hypothesis space. The statistical significance and robustness of these improvements are confirmed through extensive validation using 1000 bootstrap replications, paired Student’s t-tests, Wilcoxon signed-rank tests, and Holm–Bonferroni correction. These results demonstrate that the proposed metaheuristic hybrid optimization framework constitutes a reliable, interpretable, and scalable alternative for training SVMs in complex and high-dimensional classification tasks. Full article
Show Figures

Figure 1

12 pages, 2455 KB  
Article
Fontan Route Remodeling over Time: A Longitudinal Quantitative 3D Case Series
by Raquel dos Santos, Amartya Dave, Mohammed Usmaan Siddiqi, Aashi Dharia, Deqa Muse, Junsung Kim, Kameel Khabaz, Nhung Nguyen, Luka Pocivavsek and Narutoshi Hibino
J. Cardiovasc. Dev. Dis. 2026, 13(1), 45; https://doi.org/10.3390/jcdd13010045 - 13 Jan 2026
Viewed by 36
Abstract
Fontan patients experience anatomical remodeling over time, yet the mechanisms driving these changes remain unclear. This study aimed to characterize full-route Fontan remodeling and evaluate whether observed morphological changes arise from somatic growth alone or from the combined influence of conduit properties, surgical [...] Read more.
Fontan patients experience anatomical remodeling over time, yet the mechanisms driving these changes remain unclear. This study aimed to characterize full-route Fontan remodeling and evaluate whether observed morphological changes arise from somatic growth alone or from the combined influence of conduit properties, surgical design, thoracic anatomy, and mechanical forces. Five Fontan patients (four extracardiac, one lateral tunnel) underwent analysis using two MRI-derived 3D models obtained between 1 and 4 years apart. Directional displacement was assessed using 3D shape overlays, surface geometry was quantified using the Koenderink Shape Index (KSI), and patient-specific growth mapping estimated localized tissue dynamics. Statistical analyses included a one-sample t-test for mean anterior displacement, the Grubbs’ test for outlier detection, and the Wilcoxon signed-rank test for KSI comparisons across time points. All patients exhibited anterior displacement of the Fontan route, with a mean shift of 0.29″ ± 0.33″ and one significant outlier (lateral tunnel, 0.87″). Four of five patients showed increased convexity over time. Growth mapping revealed minimal, heterogeneous native-tissue expansion, with localized growth up to 0.2 mm/year. Individual remodeling trajectories varied and did not consistently align with localized anterior growth, indicating that Fontan route remodeling is highly individualized and cannot be explained by somatic growth alone. This retrospective longitudinal case series study highlights the value of quantitative 3D geometric tools for assessing subtle Fontan route remodeling and supports the feasibility of growth-aware, patient-specific modeling frameworks in single-ventricle physiology. Full article
(This article belongs to the Section Pediatric Cardiology and Congenital Heart Disease)
Show Figures

Figure 1

16 pages, 569 KB  
Article
A Nursing-Focused Quasi-Experimental Study on Compressive Cryotherapy for Postoperative Recovery in Knee Arthroscopy Patients
by Ibrahim Alasqah, Mona Metwally El-Sayed, Helalia Shalabi Mohamed Shalab and Mahmoud Abdelwahab Khedr
J. Clin. Med. 2026, 15(2), 586; https://doi.org/10.3390/jcm15020586 - 11 Jan 2026
Viewed by 157
Abstract
Background: Compressive cryotherapy, which combines cold therapy with compression, has gained attention to relieve pain and swelling after the Knee arthroscopy. However, there is still limited evidence specifically related to its use after knee arthroscopy. Objective: This study investigated the efficacy of compressive [...] Read more.
Background: Compressive cryotherapy, which combines cold therapy with compression, has gained attention to relieve pain and swelling after the Knee arthroscopy. However, there is still limited evidence specifically related to its use after knee arthroscopy. Objective: This study investigated the efficacy of compressive cryotherapy in decreasing postoperative pain and swelling in patients following knee arthroscopy. Methods: A quasi-experimental study was conducted at the Kasr Al-Ainy Hospital. Sixty patients scheduled for knee arthroscopy were divided into two groups. The intervention group (n = 30) received compressive cryotherapy using a cold-pack knee wrap set at 2 to 5 °C for 15 to 20 min, three times daily. The control group (n = 30) received standard postoperative care. Pain was assessed with the Numerical Rating Scale. Swelling was measured by assessing knee circumference at the mid-patella. Assessments occurred immediately after surgery (baseline), and on the first and second postoperative days. Non-parametric tests used in the analysis included the Chi-square test, the Mann–Whitney U test, the Friedman test, and the Wilcoxon signed-rank test with Bonferroni–Holm correction. Results: Patients in the compressive cryotherapy group experienced a greater reduction in pain than those in the control group. By the first postoperative day, none of the patients in the intervention group reported severe pain (p < 0.001). Knee circumference decreased significantly in the intervention group, from a median of 51.05 cm [IQR: 49.1–53.2] at baseline to 40.90 cm [39.8–42.1] by the second day. In comparison, the control group showed a smaller reduction, from 52.70 cm [50.8–54.5] to 48.55 cm [46.8–50.9]. Between-group differences in swelling were significant at the first postoperative assessment (U = 105.0, p < 0.001) and on day 2 (U = 62.5, p < 0.001). Overall, differences in both pain intensity and knee swelling between groups were statistically significant across all time points (p < 0.001). Conclusions: Compressive cryotherapy is an effective non-pharmacological intervention for reducing pain and swelling in the early postoperative period following knee arthroscopy. These results suggest that it could be a valuable addition to routine postoperative care, helping patients recover more comfortably and quickly. Full article
(This article belongs to the Section Orthopedics)
Show Figures

Figure 1

39 pages, 5643 KB  
Article
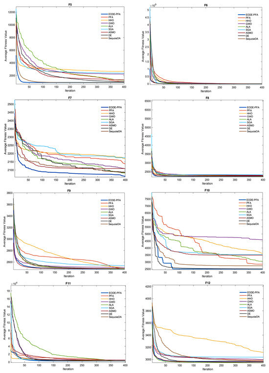
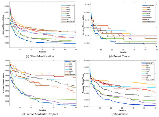
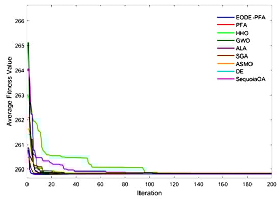
EODE-PFA: A Multi-Strategy Enhanced Pathfinder Algorithm for Engineering Optimization and Feature Selection
by Meiyan Li, Chuxin Cao and Mingyang Du
Biomimetics 2026, 11(1), 57; https://doi.org/10.3390/biomimetics11010057 - 8 Jan 2026
Viewed by 187
Abstract
The Pathfinder Algorithm (PFA) is a bionic swarm intelligence optimization algorithm inspired by simulating the cooperative movement of animal groups in nature to search for prey. Based on fitness, the algorithm classifies search individuals into leaders and followers. However, PFA fails to effectively [...] Read more.
The Pathfinder Algorithm (PFA) is a bionic swarm intelligence optimization algorithm inspired by simulating the cooperative movement of animal groups in nature to search for prey. Based on fitness, the algorithm classifies search individuals into leaders and followers. However, PFA fails to effectively balance the optimization capabilities of leaders and followers, leading to problems such as insufficient population diversity and slow convergence speed in the original algorithm. To address these issues, this paper proposes an enhanced pathfinder algorithm based on multi-strategy (EODE-PFA). Through the synergistic effects of multiple improved strategies, it effectively solves the balance problem between global exploration and local optimization of the algorithm. To verify the performance of EODE-PFA, this paper applies it to CEC2022 benchmark functions, three types of complex engineering optimization problems, and six sets of feature selection problems, respectively, and compares it with eight mature optimization algorithms. Experimental results show that in three different scenarios, EODE-PFA has significant advantages and competitiveness in both convergence speed and solution accuracy, fully verifying its engineering practicality and scenario universality. To highlight the synergistic effects and overall gains of multiple improved strategies, ablation experiments are conducted on key strategies. To further verify the statistical significance of the experimental results, the Wilcoxon signed-rank test is performed in this study. In addition, for feature selection problems, this study selects UCI real datasets with different real-world scenarios and dimensions, and the results show that the algorithm can still effectively balance exploration and exploitation capabilities in discrete scenarios. Full article
Show Figures

Figure 1

13 pages, 657 KB  
Article
Pre- and Post-Evaluation of an Interprofessional Education Program Combining Online and In-Person Instruction on Enhancing Empathy of Medical Students
by Kaori Yamada, Yoko Inaguma, Sayuri Nakamura, Masatsugu Ohtsuki, Hitomi Kataoka and Atsuhiko Ota
Int. Med. Educ. 2026, 5(1), 11; https://doi.org/10.3390/ime5010011 - 8 Jan 2026
Viewed by 140
Abstract
This pre–post study aimed to determine whether interprofessional education (IPE) combining online and in-person instruction enhanced medical students’ empathy. The IPE program was conducted during the academic years 2022 and 2023 for medical (n = 240) and other healthcare students. Subjects discussed [...] Read more.
This pre–post study aimed to determine whether interprofessional education (IPE) combining online and in-person instruction enhanced medical students’ empathy. The IPE program was conducted during the academic years 2022 and 2023 for medical (n = 240) and other healthcare students. Subjects discussed a case scenario involving a patient with chronic myeloid leukemia, sharing their ideas within their team and with other teams. The medical students’ empathy was assessed before and after the IPE program using the Japanese version of the Jefferson Scale of Empathy for Health Professions Students (JSE-HPS). Medical students provided written responses to the question, “What do you think is necessary for the care of patients with cancer, besides medical skills and knowledge?” Empathy-related terms were identified using frequency and co-occurrence analyses. The frequencies before and after the IPE were compared. The median JSE-HPS score rose from 98.0 to 114.0 (p < 0.001, Wilcoxon signed-rank test). The frequency of words categorized as demonstrating empathy increased from 37.9% to 52.9% after the IPE (p < 0.01, chi-square test). Our hybrid IPE program enhanced medical students’ empathy, which was supported by both quantitative and qualitative methods. Full article
Show Figures

Figure 1

31 pages, 3764 KB  
Article
Design and Fabrication of a Compact Evaporator–Absorber Unit with Mechanical Enhancement for LiBr–H2O Vertical Falling Film Absorption, Part II: Control-Volume Modeling and Thermodynamic Performance Analysis
by Genis Díaz-Flórez, Teodoro Ibarra-Pérez, Carlos Alberto Olvera-Olvera, Santiago Villagrana-Barraza, Ma. Auxiliadora Araiza-Esquivel, Hector A. Guerrero-Osuna, Ramón Jaramillo-Martínez, Mayra A. Torres-Hernández and Germán Díaz-Flórez
Technologies 2026, 14(1), 33; https://doi.org/10.3390/technologies14010033 - 4 Jan 2026
Viewed by 252
Abstract
This study reports the thermodynamic performance of a patented compact vertical evaporator–absorber unit for LiBr–H2O absorption cooling, extending Part I by translating validated prototype data into a rigorous control-volume assessment of coupled transport. Coolant-side calorimetry was used to determine the absorption [...] Read more.
This study reports the thermodynamic performance of a patented compact vertical evaporator–absorber unit for LiBr–H2O absorption cooling, extending Part I by translating validated prototype data into a rigorous control-volume assessment of coupled transport. Coolant-side calorimetry was used to determine the absorption heat-transfer rate (Qabs), while a mass–energy balance provided an estimate of the absorption mass-transfer rate (m˙abs) across twelve manually imposed thermal-load phases with tagged fan-OFF/ON sub-intervals. Linear trend (slope) analysis was applied to quantify phase-resolved dynamic behavior. Fan assistance produced three load-dependent regimes: (i) stabilization of downward trends under low and zero loads, yielding slope-based relative improvements above 100% in the most critical weak-gradient phases; (ii) acceleration of recovery at intermediate loads; and (iii) moderation of strongly positive drifts at high loads. The global thermal resistance (Rth) decreased by more than 30% in passive and low-load phases, and Wilcoxon signed-rank tests confirmed statistically significant reductions in most intervals (p < 0.05). Uncertainty contributions and robustness were quantified through an uncertainty budget decomposition and sensitivity analyses, and a subsystem-level normalization (ηEA = Qabs/Qin) is reported to support comparisons across loads without invoking cycle COP. Overall, active vapor-flow management using a low-power internal fan widens the useful operating envelope of compact absorbers and provides a validated thermodynamic baseline with practical, regime-aware control guidelines for decentralized low-carbon cooling technologies. Full article
Show Figures

Figure 1

9 pages, 610 KB  
Article
Monitoring Vital Parameters Enhanced by Wireless Devices Related to Bariatric Surgery (MOVIES-Trial)
by Jai Scheerhoorn, Max Herman Funnekotter, Friso Schonck, R. Arthur Bouwman and Simon W. Nienhuijs
Surg. Tech. Dev. 2026, 15(1), 2; https://doi.org/10.3390/std15010002 - 3 Jan 2026
Viewed by 189
Abstract
Background: Obesity and its accompanying complications have an influence on diurnal rhythm, potentially causing cardiometabolic disease. This study explores how weight loss due to bariatric surgery affects circadian rhythm disruptions measurable through wearable heart rate monitors. Methods: A single-center observational study was performed, [...] Read more.
Background: Obesity and its accompanying complications have an influence on diurnal rhythm, potentially causing cardiometabolic disease. This study explores how weight loss due to bariatric surgery affects circadian rhythm disruptions measurable through wearable heart rate monitors. Methods: A single-center observational study was performed, in which patients who had undergone primary bariatric surgery 3 years ago with telemonitoring of vital parameters using a wireless accelerometer were eligible to participate. A Wilcoxon signed-rank test was conducted to evaluate the delta of, or amount of change in, circadian patterns between the baseline (before) and post-weight-loss peak, nadir, and peak–nadir heart rates. Results: In this cohort of 69 patients, 70% were female, with a median total weight loss of 31.4% towards a median BMI of 28.4 kg/m2. Analysis revealed significant changes in peak–nadir excursions post-weight loss. Peak, nadir, and peak–nadir differences showed a significant reduction in values in the post-weight-loss group. No significant correlations between other clinical endpoints and change in peak–nadir excursion were found in the multivariable regression models. Conclusions: In conclusion, this study reveals significant changes in circadian heart rate patterns before and after weight loss due to metabolic surgery. The results could add to the health benefits of bariatric surgery, as it could lower the incidence of diseases associated with changes in diurnal rhythm due to obesity. However, a clear clinical explanation is lacking, as no correlation with total weight loss nor other variables was substantiated. Full article
Show Figures

Figure 1

34 pages, 2671 KB  
Article
A Tuning-Free Constrained Team-Oriented Swarm Optimizer (CTOSO) for Engineering Problems
by Adel BenAbdennour and Abdulmajeed M. Alenezi
Mathematics 2026, 14(1), 176; https://doi.org/10.3390/math14010176 - 2 Jan 2026
Viewed by 183
Abstract
Constrained optimization problems (COPs) are frequent in engineering design yet remain challenging due to complex search spaces and strict feasibility requirements. Existing swarm-based optimizers often rely on penalty functions or algorithm-specific control parameters, whose performance is sensitive to problem-dependent tuning and may lead [...] Read more.
Constrained optimization problems (COPs) are frequent in engineering design yet remain challenging due to complex search spaces and strict feasibility requirements. Existing swarm-based optimizers often rely on penalty functions or algorithm-specific control parameters, whose performance is sensitive to problem-dependent tuning and may lead to premature convergence or infeasible solutions when feasible regions are narrow. This paper introduces the Constrained Team-Oriented Swarm Optimizer (CTOSO), a tuning-free metaheuristic that adapts the ETOSO framework by replacing linear exploiter movement with spiral search and integrating Deb’s feasibility rule. The population divides into Explorers, promoting diversity through neighbor-guided navigation, and Exploiters, performing intensified local search around the global best solution. Extensive evaluation on twelve constrained engineering benchmark problems shows that CTOSO achieves a 100% feasibility rate and attains the highest overall composite performance score among the compared algorithms under limited function-evaluation budgets. On the CEC 2017 constrained benchmark suite, CTOSO attains an average feasibility rate of 79.78%, generating feasible solutions on 14 out of 15 problems. Statistical analysis using Wilcoxon signed-rank tests and Friedman ranking with Nemenyi post hoc comparison indicates that CTOSO performs significantly better than several baseline optimizers, while exhibiting no statistically significant differences with leading evolutionary methods under the same experimental conditions. The algorithm’s design, requiring no tuning of algorithm-specific control parameters, makes it suitable for real-world engineering applications where tuning effort must be minimized. Full article
Show Figures

Figure 1

30 pages, 482 KB  
Article
Chromatic Asymmetry in Visual Attention: Dissociable Effects of Background Color on Capture and Processing During Reading—An Eye-Tracking Study
by Ana Teixeira, Pedro Martins, Sónia Brito-Costa and Maryam Abbasi
Symmetry 2026, 18(1), 76; https://doi.org/10.3390/sym18010076 - 2 Jan 2026
Viewed by 179
Abstract
Visual attention mechanisms are modulated by chromatic properties of the environment, with significant implications for human–computer interaction, interface design, and cognitive ergonomics. Despite extensive research on color perception, a critical gap remains in understanding how background colors differentially affect initial attentional capture versus [...] Read more.
Visual attention mechanisms are modulated by chromatic properties of the environment, with significant implications for human–computer interaction, interface design, and cognitive ergonomics. Despite extensive research on color perception, a critical gap remains in understanding how background colors differentially affect initial attentional capture versus sustained processing efficiency during text reading. This study investigates how seven different background colors (yellow, orange, red, green, blue, purple, and black) influence visual attention and cognitive load during standardized reading tasks with white text, revealing a fundamental asymmetry in chromatic processing stages. Using high-frequency eye-tracking at 120 Hz with 30 participants in a within-subjects design, we measured time-to-first fixation, total viewing duration, fixation count, and revisitation frequency across chromatic conditions. Non-parametric statistical analyses (Friedman test for omnibus comparisons, Wilcoxon signed-rank test for pairwise comparisons) revealed a systematic dissociation between preattentive capture and sustained processing. Yellow backgrounds enabled the fastest initial attentional capture (0.65 s), while black backgrounds produced the slowest detection (1.75 s). However, this pattern reversed during sustained processing: black backgrounds enabled the shortest total viewing time (0.88 s) through efficient information sampling (median 5.0 fixations), while yellow required the longest viewing duration (1.75 s) with fewer fixations (median 3.0). Statistical comparisons confirmed significant differences across conditions (Friedman test: χ2(6)=138.4154.2, all p<0.001; pairwise comparisons with Bonferroni correction: α=0.0024). We note that luminance and chromatic contrast were not independently controlled, as colors inherently vary in both dimensions in realistic interface design. Consequently, the observed effects reflect the combined influence of hue, saturation, and luminance contrast as they naturally co-occur. These findings reveal a descriptive pattern consistent with functionally distinct mechanisms, where chromatic salience appears to facilitate preattentive capture while luminance contrast appears to determine sustained processing efficiency, with optimal colors for one stage being suboptimal for the other under the present experimental conditions. This observed chromatic asymmetry suggests potential implications for interface design: warm colors like yellow may optimize rapid attention capture for alerts and warnings, while high-contrast combinations like white-on-black may optimize sustained reading efficiency, though these preliminary patterns require validation across diverse contexts. Green and purple backgrounds offer balanced performance across both processing stages, representing near-symmetric solutions suitable for mixed-task interfaces. Given the controlled laboratory setting, university student sample, and 15 s exposure duration, design recommendations should be considered preliminary and validated in diverse real-world contexts. Full article
Show Figures

Figure 1

Back to TopTop