Sign in to use this feature.

Years

Between: -

Subjects

remove_circle_outline
remove_circle_outline
remove_circle_outline
remove_circle_outline
remove_circle_outline
remove_circle_outline
remove_circle_outline
remove_circle_outline

Journals

Article Types

Countries / Regions

Search Results (42)

Search Parameters:
Keywords = Voronoi partition

Order results
Result details
Results per page
Select all
Export citation of selected articles as:
34 pages, 1340 KB  
Article
Metric-Driven Voronoi Diagrams: A Comprehensive Mathematical Framework
by Vishnu G. Nair
Computation 2025, 13(9), 212; https://doi.org/10.3390/computation13090212 - 3 Sep 2025
Viewed by 1236
Abstract
Voronoi partitioning is a fundamental geometric concept with applications across computational geometry, robotics, optimization, and resource allocation. While Euclidean distance is the most commonly used metric, alternative distance functions can significantly influence the shape and properties of Voronoi cells. This paper presents a [...] Read more.
Voronoi partitioning is a fundamental geometric concept with applications across computational geometry, robotics, optimization, and resource allocation. While Euclidean distance is the most commonly used metric, alternative distance functions can significantly influence the shape and properties of Voronoi cells. This paper presents a comprehensive mathematical analysis of various distance metrics used in Voronoi partitioning, including Euclidean, Manhattan, Minkowski, weighted, anisotropic, and geodesic metrics. We analyze their mathematical formulations, geometric properties, topological implications, and computational complexity. This work aims to provide a theoretical framework for selecting appropriate metrics for Voronoi-based modeling in diverse applications. Full article
(This article belongs to the Section Computational Engineering)
Show Figures

Figure 1

23 pages, 13164 KB  
Article
A Spatial Co-Location Pattern Mining Method Based on Hausdorff Distance Alignment
by Xichen Liu, Yajie Li and Muquan Zou
ISPRS Int. J. Geo-Inf. 2025, 14(9), 331; https://doi.org/10.3390/ijgi14090331 - 26 Aug 2025
Viewed by 784
Abstract
Spatial co-location patterns are used to describe the spatial associations between features, finding wide applications in geographic information systems, urban planning, and other fields. Traditional frameworks for mining spatial features typically consist of two stages: constructing spatial proximity relationships and discovering frequent patterns. [...] Read more.
Spatial co-location patterns are used to describe the spatial associations between features, finding wide applications in geographic information systems, urban planning, and other fields. Traditional frameworks for mining spatial features typically consist of two stages: constructing spatial proximity relationships and discovering frequent patterns. However, existing methods have limitations: the construction of proximity relationships relies on fixed distance thresholds or clustering centers, making it difficult to adapt to spatial density heterogeneity; meanwhile, frequency metrics overly depend on participation indices, lacking quantitative analysis of the strength of geometric associations between features. To address these issues, a spatial co-location pattern mining method based on Hausdorff distance is proposed. Drawing on the concept of Hausdorff distance, this method employs Voronoi tessellation to achieve data-adaptive partitioning of the spatial domain. Combined with a K-dimensional tree, it adopts an iterative strategy of direct allocation, proportional allocation, and residual allocation to align instances, generating a spatial proximity relationship graph. Additionally, a new frequency metric based on instance distribution—alignment rate—is introduced, leveraging the decreasing trend of alignment rate in conjunction with a pruning optimization algorithm. Experimental results demonstrate that this method excels in handling noise points, effectively addressing the challenges of uneven data density distribution while enhancing the identification of weakly associated yet potentially valuable patterns. Full article
Show Figures

Figure 1

19 pages, 15931 KB  
Article
Voronoi-GRU-Based Multi-Robot Collaborative Exploration in Unknown Environments
by Yang Lei, Jian Hou, Peixin Ma and Mingze Ma
Appl. Sci. 2025, 15(6), 3313; https://doi.org/10.3390/app15063313 - 18 Mar 2025
Viewed by 1512
Abstract
In modern society, the autonomous exploration of unknown environments has attracted extensive attention due to its broad applications, such as in search and rescue operations, planetary exploration, and environmental monitoring. This paper proposes a novel collaborative exploration strategy for multiple mobile robots, aiming [...] Read more.
In modern society, the autonomous exploration of unknown environments has attracted extensive attention due to its broad applications, such as in search and rescue operations, planetary exploration, and environmental monitoring. This paper proposes a novel collaborative exploration strategy for multiple mobile robots, aiming to quickly realize the exploration of entire unknown environments. Specifically, we investigate a hierarchical control architecture, comprising an upper decision-making layer and a lower planning and mapping layer. In the upper layer, the next frontier point for each robot is determined using Voronoi partitioning and the Multi-Agent Twin Delayed Deep Deterministic policy gradient (MATD3) deep reinforcement learning algorithm in a centralized training and decentralized execution framework. In the lower layer, navigation planning is achieved using A* and Timed Elastic Band (TEB) algorithms, while an improved Cartographer algorithm is used to construct a joint map for the multi-robot system. In addition, the improved Robot Operating System (ROS) and Gazebo simulation environments speed up simulation times, further alleviating the slow training of high-precision simulation engines. Finally, the simulation results demonstrate the superiority of the proposed strategy, which achieves over 90% exploration coverage in unknown environments with a significantly reduced exploration time. Compared to MATD3, Multi-Agent Proximal Policy Optimization (MAPPO), Rapidly-Exploring Random Tree (RRT), and Cost-based methods, our strategy reduces time consumption by 41.1%, 47.0%, 63.9%, and 74.9%, respectively. Full article
(This article belongs to the Special Issue Advanced Technologies in AI Mobile Robots)
Show Figures

Figure 1

9 pages, 2042 KB  
Communication
Structure of Argon Solid Phases Formed from the Liquid State at Different Isobaric Cooling Rates
by Eugeny I. German, Shulun B. Tsydypov, Michael I. Ojovan and Migmar V. Darmaev
Appl. Sci. 2024, 14(3), 1295; https://doi.org/10.3390/app14031295 - 4 Feb 2024
Cited by 2 | Viewed by 2146
Abstract
By the method of molecular dynamics, computer simulation of the processes of isobaric cooling of argon particle systems under initial conditions with a temperature of 150 K at pressure values from 0.1 to 4 MPa to a temperature of 40 K with cooling [...] Read more.
By the method of molecular dynamics, computer simulation of the processes of isobaric cooling of argon particle systems under initial conditions with a temperature of 150 K at pressure values from 0.1 to 4 MPa to a temperature of 40 K with cooling rates of 108, 109, 1010, 1011 and 1012 K/s was performed. As a result of a computer experiment, coordinate arrays of particles were obtained, which were subjected to the procedure of three-dimensional Voronoi partitioning to identify and calculate the number of elementary cells of the crystal structure. Analysis of the structure of argon solid phases formed during isobaric cooling allowed us to deduce an estimated pattern between the concentration of FCC (face-centered cubic) cells in solid argon and the cooling rate from the liquid state. The evaluation of the orientation of the axes of translation of crystal cells in the array of particle coordinates made it possible to classify the solid phases formed as a result of cooling as single crystals, glassy media with the inclusion of clusters and single cells of FCC structures. It was revealed that during isobaric cooling at a rate not exceeding 108 K/s, argon completely crystallizes, at isobaric cooling rates of 109–1010 K/s, the union of elementary cells of the crystal structure into clusters is observed in glassy argon, and at rates of 1011 K/s and higher at pressures of 1 MPa and lower, solid vitreous phases of argon are formed in which no crystal structure cells are detected. Full article
Show Figures

Figure 1

31 pages, 2344 KB  
Article
Properties of a Random Bipartite Geometric Associator Graph Inspired by Vehicular Networks
by Kaushlendra Pandey, Abhishek K. Gupta, Harpreet S. Dhillon and Kanaka Raju Perumalla
Entropy 2023, 25(12), 1619; https://doi.org/10.3390/e25121619 - 4 Dec 2023
Cited by 1 | Viewed by 2335
Abstract
We consider a point process (PP) generated by superimposing an independent Poisson point process (PPP) on each line of a 2D Poisson line process (PLP). Termed PLP-PPP, this PP is suitable for modeling networks formed on an irregular collection of lines, such as [...] Read more.
We consider a point process (PP) generated by superimposing an independent Poisson point process (PPP) on each line of a 2D Poisson line process (PLP). Termed PLP-PPP, this PP is suitable for modeling networks formed on an irregular collection of lines, such as vehicles on a network of roads and sensors deployed along trails in a forest. Inspired by vehicular networks in which vehicles connect with their nearest wireless base stations (BSs), we consider a random bipartite associator graph in which each point of the PLP-PPP is associated with the nearest point of an independent PPP through an edge. This graph is equivalent to the partitioning of PLP-PPP by a Poisson Voronoi tessellation (PVT) formed by an independent PPP. We first characterize the exact distribution of the number of points of PLP-PPP falling inside the ball centered at an arbitrary location in R2 as well as the typical point of PLP-PPP. Using these distributions, we derive cumulative distribution functions (CDFs) and probability density functions (PDFs) of kth contact distance (CD) and the nearest neighbor distance (NND) of PLP-PPP. As intermediate results, we present the empirical distribution of the perimeter and approximate distribution of the length of the typical chord of the zero-cell of this PVT. Using these results, we present two close approximations of the distribution of node degree of the random bipartite associator graph. In a vehicular network setting, this result characterizes the number of vehicles connected to each BS, which models its load. Since each BS has to distribute its limited resources across all the vehicles connected to it, a good statistical understanding of load is important for an efficient system design. Several applications of these new results to different wireless network settings are also discussed. Full article
(This article belongs to the Section Statistical Physics)
Show Figures

Figure 1

23 pages, 4285 KB  
Article
Distributed Control for Multi-Robot Interactive Swarming Using Voronoi Partioning
by Alexandre Eudes, Sylvain Bertrand, Julien Marzat and Ioannis Sarras
Drones 2023, 7(10), 598; https://doi.org/10.3390/drones7100598 - 23 Sep 2023
Cited by 4 | Viewed by 2948
Abstract
The problem of safe navigation of a human-multi-robot system is addressed in this paper. More precisely, we propose a novel distributed algorithm to control a swarm of unmanned ground robots interacting with human operators in presence of obstacles. Contrary to many existing algorithms [...] Read more.
The problem of safe navigation of a human-multi-robot system is addressed in this paper. More precisely, we propose a novel distributed algorithm to control a swarm of unmanned ground robots interacting with human operators in presence of obstacles. Contrary to many existing algorithms that consider formation control, the proposed approach results in non-rigid motion for the swarm, which more easily enables interactions with human operators and navigation in cluttered environments. Each vehicle calculates distributively and dynamically its own safety zone in which it generates a reference point to be tracked. The algorithm relies on purely geometric reasoning through the use of Voronoi partitioning and collision cones, which allows to naturally account for inter-robot, human-robot and robot-obstacle interactions. Different interaction modes have been defined from this common basis to address the following practical problems: autonomous waypoint navigation, velocity-guided motion, and follow a localized operator. The effectiveness of the algorithm is illustrated by outdoor and indoor field experiments. Full article
Show Figures

Figure 1

22 pages, 27530 KB  
Article
Distributed Weighted Coverage for Multi-Robot Systems in Non-Convex Environment
by Kai Cao, Yangquan Chen, Song Gao, Haixin Dang and Di An
Appl. Sci. 2023, 13(14), 8530; https://doi.org/10.3390/app13148530 - 24 Jul 2023
Cited by 4 | Viewed by 1957
Abstract
Multi-robot coverage systems are widely used in operations such as environmental monitoring, disaster rescue, and pollution prevention. This study considers inherent positioning errors in positioning systems and ground mobile robots with limited communication distance and poor quality in practice. A centroidal Voronoi tessellation [...] Read more.
Multi-robot coverage systems are widely used in operations such as environmental monitoring, disaster rescue, and pollution prevention. This study considers inherent positioning errors in positioning systems and ground mobile robots with limited communication distance and poor quality in practice. A centroidal Voronoi tessellation algorithm-based formation control technology for multi-robots is optimized. First, by constructing buffered Voronoi cells (BUVCs) for each robot, the collision avoidance ability of the multi-robot formation movement is improved. Next, the formation control problem of multi-robots in a limited communication range and non-convex environment is realized via discrete Voronoi partitioning, a communication distance constraint, and an obstacle avoidance strategy. Simulation and experiment results demonstrate that the proposed method can effectively solve the position generation problem of multi-robot coverage systems in a non-convex environment with actual sizes of the robots and positioning system errors and can further improve the collision avoidance performance of robots and the robustness of BUVC algorithms. Full article
(This article belongs to the Section Robotics and Automation)
Show Figures

Figure 1

23 pages, 2530 KB  
Article
Detection of Hidden Moving Targets by a Group of Mobile Agents with Deep Q-Learning
by Barouch Matzliach, Irad Ben-Gal and Evgeny Kagan
Robotics 2023, 12(4), 103; https://doi.org/10.3390/robotics12040103 - 14 Jul 2023
Cited by 2 | Viewed by 1721
Abstract
In this paper, we propose a solution for the problem of searching for multiple targets by a group of mobile agents with sensing errors of the first and the second types. The agents’ goal is to plan the search and follow its trajectories [...] Read more.
In this paper, we propose a solution for the problem of searching for multiple targets by a group of mobile agents with sensing errors of the first and the second types. The agents’ goal is to plan the search and follow its trajectories that lead to target detection in minimal time. Relying on real sensors’ properties, we assume that the agents can detect the targets in various directions and distances; however, they are exposed to first- and second-type statistical errors. Furthermore, we assume that the agents in the group have errorless communication with each other. No central station or coordinating agent is assumed to control the search. Thus, the search follows a fully distributed decision-making process, in which each agent plans its path independently based on the information about the targets, which is collected independently or received from the other agents. The suggested solution includes two algorithms: the Distributed Expected Information Gain (DEIG) algorithm, which implements dynamic Voronoi partitioning of the search space and plans the paths by maximizing the expected one-step look-ahead information per region, and the Collective Q-max (CQM) algorithm, which finds the shortest paths of the agents in the group by maximizing the cumulative information about the targets’ locations using deep Q-learning techniques. The developed algorithms are compared against previously developed reactive and learning methods, such as the greedy centralized Expected Information Gain (EIG) method. It is demonstrated that these algorithms, specifically the Collective Q-max algorithm, considerably outperform existing solutions. In particular, the proposed algorithms improve the results by 20% to 100% under different scenarios of noisy environments and sensors’ sensitivity. Full article
(This article belongs to the Section AI in Robotics)
Show Figures

Figure 1

15 pages, 6758 KB  
Article
Decentralized Multi-UAV Cooperative Exploration Using Dynamic Centroid-Based Area Partition
by Jianjun Gui, Tianyou Yu, Baosong Deng, Xiaozhou Zhu and Wen Yao
Drones 2023, 7(6), 337; https://doi.org/10.3390/drones7060337 - 23 May 2023
Cited by 8 | Viewed by 3648
Abstract
Efficient exploration is a critical issue in swarm UAVs with substantial research interest due to its applications in search and rescue missions. In this study, we propose a cooperative exploration approach that uses multiple unmanned aerial vehicles (UAVs). Our approach allows UAVs to [...] Read more.
Efficient exploration is a critical issue in swarm UAVs with substantial research interest due to its applications in search and rescue missions. In this study, we propose a cooperative exploration approach that uses multiple unmanned aerial vehicles (UAVs). Our approach allows UAVs to explore separate areas dynamically, resulting in increased efficiency and decreased redundancy. We use a novel dynamic centroid-based method to partition the 3D working area for each UAV, with each UAV generating new targets in its partitioned area only using the onboard computational resource. To ensure the cooperation and exploration of the unknown, we use a next-best-view (NBV) method based on rapidly-exploring random tree (RRT), which generates a tree in the partitioned area until a threshold is reached. We compare this approach with three classical methods using Gazebo simulation, including a Voronoi-based area partition method, a coordination method for reducing scanning repetition between UAVs, and a greedy method that works according to its exploration planner without any interaction. We also conduct practical experiments to verify the effectiveness of our proposed method. Full article
(This article belongs to the Special Issue Multi-UAV Networks)
Show Figures

Figure 1

23 pages, 5903 KB  
Article
Efficient Algorithm for Constructing Order K Voronoi Diagrams in Road Networks
by Bi Yu Chen, Huihuang Huang, Hui-Ping Chen, Wenxuan Liu, Xuan-Yan Chen and Tao Jia
ISPRS Int. J. Geo-Inf. 2023, 12(4), 172; https://doi.org/10.3390/ijgi12040172 - 19 Apr 2023
Cited by 1 | Viewed by 3313
Abstract
The order k Voronoi diagram (OkVD) is an effective geometric construction to partition the geographical space into a set of Voronoi regions such that all locations within a Voronoi region share the same k nearest points of interest (POIs). Despite the broad applications [...] Read more.
The order k Voronoi diagram (OkVD) is an effective geometric construction to partition the geographical space into a set of Voronoi regions such that all locations within a Voronoi region share the same k nearest points of interest (POIs). Despite the broad applications of OkVD in various geographical analysis, few efficient algorithms have been proposed to construct OkVD in real road networks. This study proposes a novel algorithm consisting of two stages. In the first stage, a new one-to-all k shortest path finding procedure is proposed to efficiently determine the shortest paths to k nearest POIs for each node. In the second stage, a new recursive procedure is introduced to effectively divide boundary links within different Voronoi regions using the hierarchical tessellation property of the OkVD. To demonstrate the applicability of the proposed OkVD construction algorithm, a case study of place-based accessibility evaluation is carried out. Computational experiments are also conducted on five real road networks with different sizes, and results show that the proposed OkVD algorithm performed significantly better than state-of-the-art algorithms. Full article
Show Figures

Figure 1

21 pages, 6193 KB  
Article
Improved Optimization Strategy Based on Region Division for Collaborative Multi-Agent Coverage Path Planning
by Yijie Qin, Lei Fu, Dingxin He and Zhiwei Liu
Sensors 2023, 23(7), 3596; https://doi.org/10.3390/s23073596 - 30 Mar 2023
Cited by 11 | Viewed by 4078
Abstract
In this paper, we investigate the algorithms for traversal exploration and path coverage of target regions using multiple agents, enabling the efficient deployment of a set of agents to cover a complex region. First, the original multi-agent path planning problem (mCPP) is transformed [...] Read more.
In this paper, we investigate the algorithms for traversal exploration and path coverage of target regions using multiple agents, enabling the efficient deployment of a set of agents to cover a complex region. First, the original multi-agent path planning problem (mCPP) is transformed into several single-agent sub-problems, by dividing the target region into multiple balanced sub-regions, which reduces the explosive combinatorial complexity; subsequently, closed-loop paths are planned in each sub-region by the rapidly exploring random trees (RRT) algorithm to ensure continuous exploration and repeated visits to each node of the target region. On this basis, we also propose two improvements: for the corner case of narrow regions, the use of geodesic distance is proposed to replace the Eulerian distance in Voronoi partitioning, and the iterations for balanced partitioning can be reduced by more than one order of magnitude; the Dijkstra algorithm is introduced to assign a smaller weight to the path cost when the geodesic direction changes, which makes the region division more “cohesive”, thus greatly reducing the number of turns in the path and making it more robust. The final optimization algorithm ensures the following characteristics: complete coverage of the target area, wide applicability of multiple area shapes, reasonable distribution of exploration tasks, minimum average waiting time, and sustainable exploration without any preparation phase. Full article
(This article belongs to the Special Issue Intelligent Sensing, Control and Optimization of Networks)
Show Figures

Figure 1

26 pages, 11380 KB  
Article
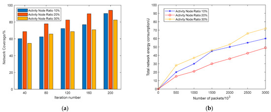
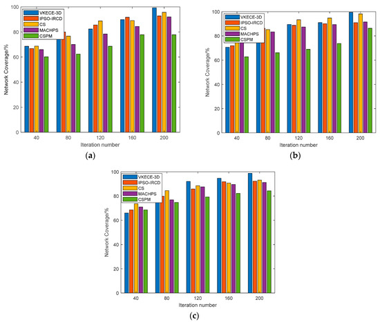
VKECE-3D: Energy-Efficient Coverage Enhancement in Three-Dimensional Heterogeneous Wireless Sensor Networks Based on 3D-Voronoi and K-Means Algorithm
by Pingzhang Gou, Baoyong Guo, Miao Guo and Shun Mao
Sensors 2023, 23(2), 573; https://doi.org/10.3390/s23020573 - 4 Jan 2023
Cited by 19 | Viewed by 2882
Abstract
During these years, the 3D node coverage of heterogeneous wireless sensor networks that are closer to the actual application environment has become a strong focus of research. However, the direct application of traditional two-dimensional planar coverage methods to three-dimensional space suffers from high [...] Read more.
During these years, the 3D node coverage of heterogeneous wireless sensor networks that are closer to the actual application environment has become a strong focus of research. However, the direct application of traditional two-dimensional planar coverage methods to three-dimensional space suffers from high application complexity, a low coverage rate, and a short life cycle. Most methods ignore the network life cycle when considering coverage. The network coverage and life cycle determine the quality of service (QoS) in heterogeneous wireless sensor networks. Thus, energy-efficient coverage enhancement is a significantly pivotal and challenging task. To solve the above task, an energy-efficient coverage enhancement method, VKECE-3D, based on 3D-Voronoi partitioning and the K-means algorithm is proposed. The quantity of active nodes is kept to a minimum while guaranteeing coverage. Firstly, based on node deployment at random, the nodes are deployed twice using a highly destructive polynomial mutation strategy to improve the uniformity of the nodes. Secondly, the optimal perceptual radius is calculated using the K-means algorithm and 3D-Voronoi partitioning to enhance the network coverage quality. Finally, a multi-hop communication and polling working mechanism are proposed to lower the nodes’ energy consumption and lengthen the network’s lifetime. Its simulation findings demonstrate that compared to other energy-efficient coverage enhancement solutions, VKECE-3D improves network coverage and greatly lengthens the network’s lifetime. Full article
(This article belongs to the Section Sensor Networks)
Show Figures

Figure 1

14 pages, 6436 KB  
Article
Free-Form Surface Partitioning and Simulation Verification Based on Surface Curvature
by Hongwei Liu, Enzhong Zhang, Ruiyang Sun, Wenhui Gao and Zheng Fu
Micromachines 2022, 13(12), 2163; https://doi.org/10.3390/mi13122163 - 7 Dec 2022
Cited by 6 | Viewed by 2412
Abstract
To address the problem of low overall machining efficiency of free-form surfaces and difficulty in ensuring machining quality, this paper proposes a MATLAB-based free-form surface division method. The surface division is divided into two stages: Partition area identification and area boundary determination. In [...] Read more.
To address the problem of low overall machining efficiency of free-form surfaces and difficulty in ensuring machining quality, this paper proposes a MATLAB-based free-form surface division method. The surface division is divided into two stages: Partition area identification and area boundary determination. In the first stage, the free-form surface is roughly divided into convex, concave, and saddle regions according to the curvature of the surface, and then the regions are subdivided based on the fuzzy c-means clustering algorithm. In the second stage, according to the clustering results, the Voronoi diagram algorithm is used to finally determine the boundary of the surface patch. We used NURBS to describe free-form surfaces and edit a set of MATLAB programs to realize the division of surfaces. The proposed method can easily and quickly divide the surface area, and the simulation results show that the proposed method can shorten machining time by 36% compared with the traditional machining method. It is proved that the method is practical and can effectively improve the machining efficiency and quality of complex surfaces. Full article
(This article belongs to the Special Issue Advanced Manufacturing Technology and Systems, 2nd Edition)
Show Figures

Figure 1

21 pages, 3970 KB  
Article
The Distribution Model and Spatial Structure of Market Towns in the Pearl River Delta during the Ming, Qing, and Min-Guo Periods: A Case Study of Taishan County
by Shuyin Feng, Qi Lu, Zhaohui Wu and Zihui Guo
Land 2022, 11(8), 1354; https://doi.org/10.3390/land11081354 - 19 Aug 2022
Cited by 4 | Viewed by 2757
Abstract
Previous studies have clarified that there are certain regularities in the spatial organization of traditional Chinese rural market towns as viewed from the perspective of the economic geography and local society. Nevertheless, the results of some studies concerning distribution patterns and factors influencing [...] Read more.
Previous studies have clarified that there are certain regularities in the spatial organization of traditional Chinese rural market towns as viewed from the perspective of the economic geography and local society. Nevertheless, the results of some studies concerning distribution patterns and factors influencing these patterns are contradictory, and there are few comprehensive analyses of the influence of interconnected variables. Taishan County in the Pearl River Delta of Guangdong Province is used as an example, and the results of the identification of the distribution pattern of market towns within this county are determined as clustered by using the Voronoi method and the calculated coefficients of variation (Cv). The correlation between the market towns and the physical and social environment is quantified and illustrated through Geographic Information Systems (GIS), logistic regression analysis, and graphic methods, and the application of nuclear density change rates clarifies the development trajectory, which explains the phenomenon of market town clustering with ecological and cultural significance. Overall, the results indicate traditional preferences for sites characterized by low elevation, little slope, proximity to water, and productive agricultural land, while at the local scale, the spatial–temporal arrangement of market towns reflects partitioning and interactions between distinct clans. Further integrating the perspective of environmental history, we propose that the structural relationships of natural ecology, subsistence mode, and social organization crucially constitute the site selection and layout logic of market towns. Full article
Show Figures

Figure 1

16 pages, 3799 KB  
Article
IoT and Satellite Sensor Data Integration for Assessment of Environmental Variables: A Case Study on NO2
by Jernej Cukjati, Domen Mongus, Krista Rizman Žalik and Borut Žalik
Sensors 2022, 22(15), 5660; https://doi.org/10.3390/s22155660 - 28 Jul 2022
Cited by 8 | Viewed by 2808
Abstract
This paper introduces a novel approach to increase the spatiotemporal resolution of an arbitrary environmental variable. This is achieved by utilizing machine learning algorithms to construct a satellite-like image at any given time moment, based on the measurements from IoT sensors. The target [...] Read more.
This paper introduces a novel approach to increase the spatiotemporal resolution of an arbitrary environmental variable. This is achieved by utilizing machine learning algorithms to construct a satellite-like image at any given time moment, based on the measurements from IoT sensors. The target variables are calculated by an ensemble of regression models. The observed area is gridded, and partitioned into Voronoi cells based on the IoT sensors, whose measurements are available at the considered time. The pixels in each cell have a separate regression model, and take into account the measurements of the central and neighboring IoT sensors. The proposed approach was used to assess NO2 data, which were obtained from the Sentinel-5 Precursor satellite and IoT ground sensors. The approach was tested with three different machine learning algorithms: 1-nearest neighbor, linear regression and a feed-forward neural network. The highest accuracy yield was from the prediction models built with the feed-forward neural network, with an RMSE of 15.49 ×106 mol/m2. Full article
(This article belongs to the Section Intelligent Sensors)
Show Figures

Figure 1

Back to TopTop